Lessons from the Bone Chapter of the Malaysian Aging Men Study
Abstract
:1. Introduction
2. Study Design
3. The Prevalence of Suboptimal Bone Health Indicated by Calcaneal SOS in Malaysian Men
4. The Relationship between Age and Calcaneal SOS
5. The Relationship between Ethnicity and Calcaneal SOS
6. The Relationship between Body Anthropometry and Calcaneal SOS
7. The Relationship between Physical Activity and Calcaneal SOS
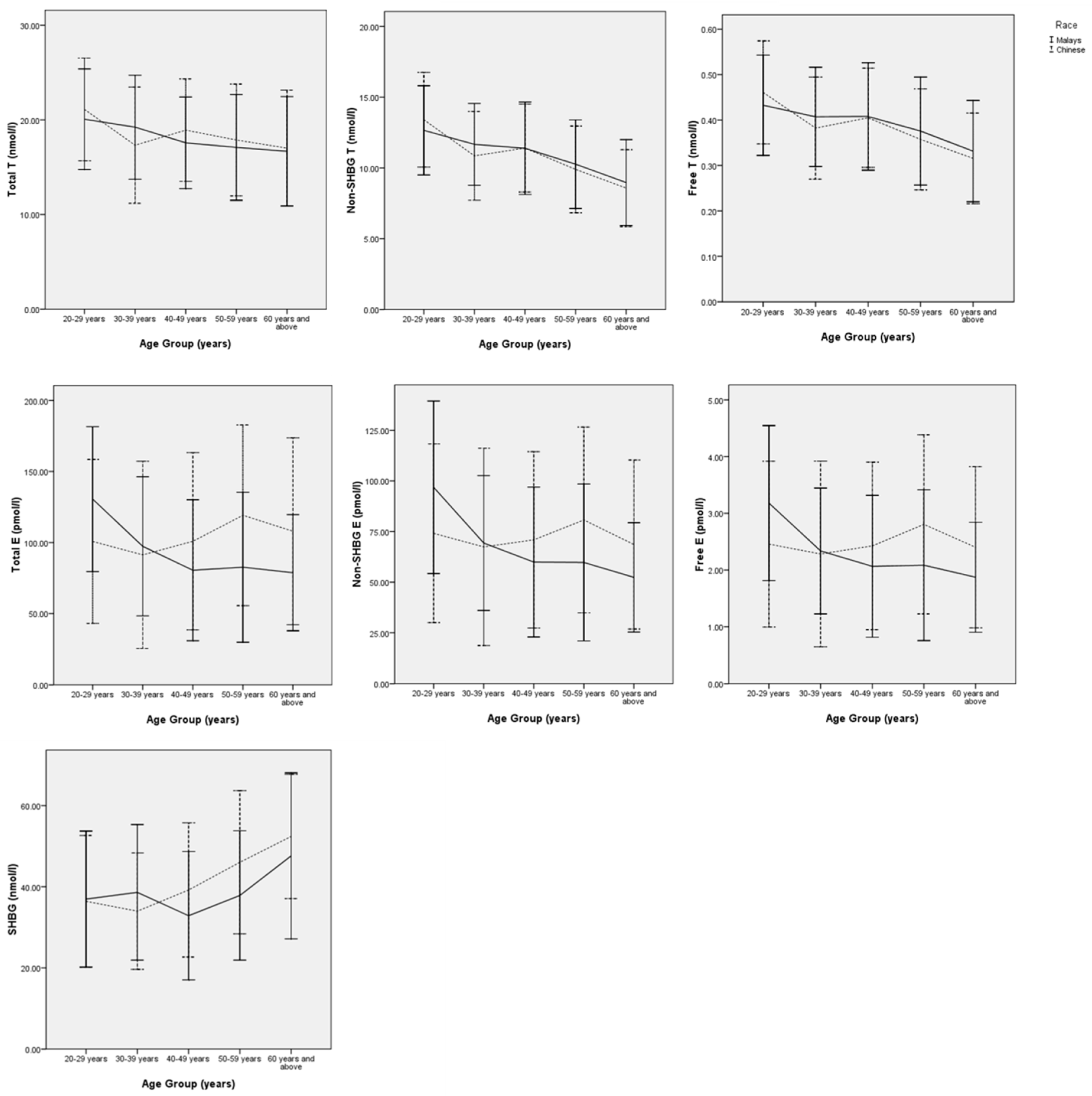
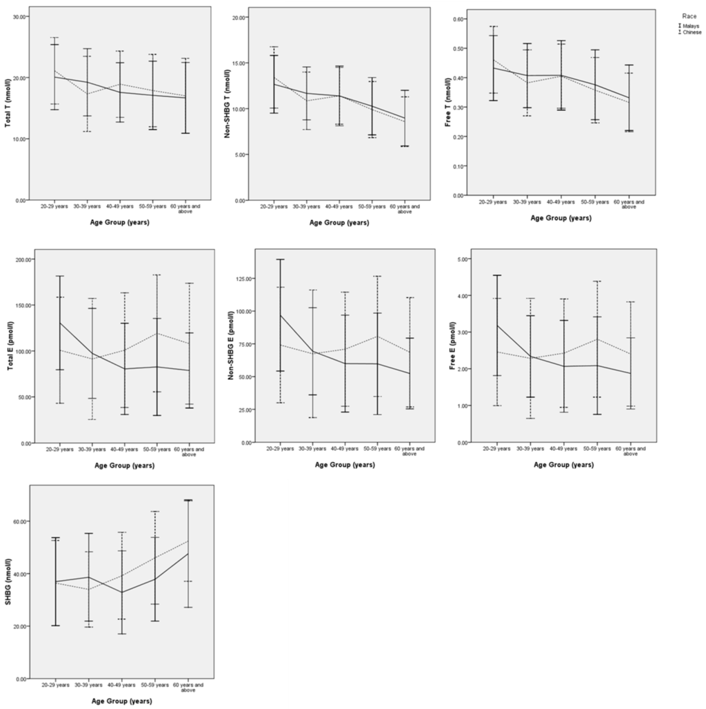
8. The Relationship between Sex Hormones and Calcaneal SOS
9. The Relationship between Calcium Homeostasis and Calcaneal SOS
10. The Relationship between Thyroid Hormones and Calcaneal SOS
11. The Relationship between Insulin-Like Growth Factor 1 and Calcaneal SOS
12. Limitations
13. Conclusions
Acknowledgments
Author Contributions
Conflicts of Interest
References
- Edwards, M.H.; Dennison, E.M.; Aihie Sayer, A.; Fielding, R.; Cooper, C. Osteoporosis and sarcopenia in older age. Bone 2015, 80, 126–130. [Google Scholar] [CrossRef] [PubMed]
- Kanis, J.A.; Oden, A.; McCloskey, E.V.; Johansson, H.; Wahl, D.A.; Cooper, C. A systematic review of hip fracture incidence and probability of fracture worldwide. Osteoporos. Int. 2012, 23, 2239–2256. [Google Scholar] [CrossRef] [PubMed]
- Hagino, H.; Furukawa, K.; Fujiwara, S.; Okano, T.; Katagiri, H.; Yamamoto, K.; Teshima, R. Recent trends in the incidence and lifetime risk of hip fracture in Tottori, Japan. Osteoporos. Int. 2008, 20, 543–548. [Google Scholar] [CrossRef] [PubMed]
- Gullberg, B.; Johnell, O.; Kanis, J.A. World-wide projections for hip fracture. Osteoporos. Int. 1997, 7, 407–413. [Google Scholar] [CrossRef] [PubMed]
- Kim, J.; Lee, E.; Kim, S.; Lee, T.J. Economic burden of osteoporotic fracture of the elderly in South Korea: A national survey. Value Health 2016, 9, 36–41. [Google Scholar] [CrossRef]
- Sadat-Ali, M.; Al-Dakheel, D.A.; Azam, M.Q.; Al-Bluwi, M.T.; Al-Farhan, M.F.; AlAmer, H.A.; Al-Meer, Z.; Al-Mohimeed, A.; Tabash, I.K.; Karry, M.O.; et al. Reassessment of osteoporosis-related femoral fractures and economic burden in Saudi Arabia. Arch. Osteoporos. 2015, 10, 37. [Google Scholar] [CrossRef] [PubMed]
- Johnell, O.; Kanis, J.A. An estimate of the worldwide prevalence and disability associated with osteoporotic fractures. Osteoporos. Int. 2006, 17, 1726–1733. [Google Scholar] [CrossRef] [PubMed]
- Penrod, J.D.; Litke, A.; Hawkes, W.G.; Magaziner, J.; Doucette, J.T.; Koval, K.J.; Silberzweig, S.B.; Egol, K.A.; Siu, A.L. The association of race, gender, and comorbidity with mortality and function after hip fracture. J. Gerontol. A Biol. Sci. Med. Sci. 2008, 63, 867–872. [Google Scholar] [CrossRef] [PubMed]
- Endo, Y.; Aharonoff, G.B.; Zuckerman, J.D.; Egol, K.A.; Koval, K.J. Gender differences in patients with hip fracture: A greater risk of morbidity and mortality in men. J. Orthop. Trauma 2005, 19, 29–35. [Google Scholar] [CrossRef] [PubMed]
- Holt, G.; Smith, R.; Duncan, K.; Hutchison, J.D.; Gregori, A. Gender differences in epidemiology and outcome after hip fracture: Evidence from the Scottish hip fracture audit. Bone Joint J. 2008, 90, 480–483. [Google Scholar] [CrossRef] [PubMed]
- Kiebzak, G.M.; Beinart, G.A.; Perser, K.; Ambrose, C.G.; Siff, S.J.; Heggeness, M.H. Undertreatment of osteoporosis in men with hip fracture. Arch. Intern. Med. 2002, 162, 2217–2222. [Google Scholar] [CrossRef] [PubMed]
- Lee, J.-K.; Khir, A.S.M. The incidence of hip fracture in Malaysians above 50 years of age: Variation in different ethnic groups. APLAR J. Rheumatol. 2007, 10, 300–305. [Google Scholar] [CrossRef]
- Damodaran, P.; Subramaniam, R.; Omar, S.Z.; Nadkarni, P.; Paramsothy, M. Profile of a menopause clinic in an urban population in Malaysia. Singap. Med. J. 2000, 41, 431–435. [Google Scholar]
- Lim, P.S.; Ong, F.B.; Adeeb, N.; Seri, S.S.; Noor-Aini, M.Y.; Shamsuddin, K.; Hapizah, N.; Mohamed, A.L.; Mokhtar, A.; Wan, H.W. Bone health in urban midlife Malaysian women: Risk factors and prevention. Osteoporos. Int. 2005, 16, 2069–2079. [Google Scholar] [CrossRef] [PubMed]
- Zaini, W.M.; Md Ariff, A. Bone mineral density assessment in pre- and postmenopausal women: Comparison between t-scores by heel QUS and DXA in HRPZII. Med. J. Malays. 2012, 67, 487–490. [Google Scholar]
- Mithal, A.; Ebeling, P. The Asia-Pacific Regional Audit: Epidemiology, Costs & Burden of Osteoporosis in 2013; International Osteoporosis Foundation: Nyon, Switzerland, 2013. [Google Scholar]
- Chin, K.-Y.; Ima-Nirwana, S. Calcaneal quantitative ultrasound as a determinant of bone health status: What properties of bone does it reflect? Int. J. Med. Sci. 2013, 10, 1778–1783. [Google Scholar] [CrossRef] [PubMed]
- Hasnah, H.; Amin, I.; Suzana, S. Bone health status and lipid profile among post-menopausal Malay women in Cheras, Kuala Lumpur. Malays. J. Nutr. 2012, 18, 161–171. [Google Scholar] [PubMed]
- Chan, P.J.; Nurul, Z.Z.; Chuah, J.S.; Nabil, M.M.A.; Isa, N.M.; Sabarul, A.M.; Nazrun, A.S. Association between risk factors of osteoporosis and bone mineral density in women of different ethnic groups in a Malaysian hospital. Int. J. Osteoporos. Metab. Disord. 2014, 7, 1–11. [Google Scholar]
- Krieg, M.A.; Barkmann, R.; Gonnelli, S.; Stewart, A.; Bauer, D.C.; Del Rio Barquero, L.; Kaufman, J.J.; Lorenc, R.; Miller, P.D.; Olszynski, W.P.; et al. Quantitative ultrasound in the management of osteoporosis: The 2007 ISCD official positions. J. Clin. Densitom. 2008, 11, 163–187. [Google Scholar] [CrossRef] [PubMed]
- Sodergard, R.; Backstrom, T.; Shanbhag, V.; Carstensen, H. Calculation of free and bound fractions of testosterone and estradiol-17 beta to human plasma proteins at body temperature. J. Steroid Biochem. 1982, 16, 801–810. [Google Scholar] [CrossRef]
- Frost, M.L.; Blake, G.M.; Fogelman, I. Can the who criteria for diagnosing osteoporosis be applied to calcaneal quantitative ultrasound? Osteoporos. Int. 2000, 11, 321–330. [Google Scholar] [CrossRef] [PubMed]
- Kishimoto, H.; Yoh, K.; Ohta, H.; Gorai, I.; Hashimoto, J.; Nakatsuka, K.; Yoshimoto, Y.; Makita, K. Normative data and cut-off values determined using quantitative ultrasound CM-100 in Japanese women. Osteoporos. Jpn. 2003, 11, 129–132. [Google Scholar]
- Chin, K.-Y.; Soelaiman, I.-N.; Mohamed, I.N.; Mohamed, N.; Shuid, A.N.; Muhammad, N.; Wan Ngah, W.Z. Discrepancy between the quantitative ultrasound value of Malaysian men and the manufacturer’s reference and the impact on classification of bone health status. J. Clin. Densitom. 2013, 16, 189–195. [Google Scholar] [CrossRef] [PubMed]
- Zhang, Z.-Q.; Ho, S.C.; Chen, Z.-Q.; Zhang, C.-X.; Chen, Y.-M. Reference values of bone mineral density and prevalence of osteoporosis in Chinese adults. Osteoporos. Int. 2013, 25, 497–507. [Google Scholar] [CrossRef] [PubMed]
- Wang, Y.; Tao, Y.; Hyman, M.E.; Li, J.; Chen, Y. Osteoporosis in China. Osteoporos. Int. 2009, 20, 1651–1662. [Google Scholar] [CrossRef] [PubMed]
- Lynn, H.S.; Lau, E.M.; Au, B.; Leung, P.C. Bone mineral density reference norms for Hong Kong Chinese. Osteoporos. Int. 2005, 16, 1663–1668. [Google Scholar] [CrossRef] [PubMed]
- Pongchaiyakul, C.; Apinyanurag, C.; Soontrapa, S.; Soontrapa, S.; Pongchaiyakul, C.; Nguyen, T.V.; Rajatanavin, R. Prevalence of osteoporosis in Thai men. J. Med. Assoc. Thail. 2006, 89, 160–169. [Google Scholar]
- Liu, W.; Xu, C.-L.; Zhu, Z.-Q.; Wang, W.; Han, S.-M.; Zu, S.-Y.; Zhu, G.-J. Characteristics of calcaneus quantitative ultrasound normative data in Chinese mainland men and women. Osteoporos. Int. 2006, 17, 1216–1224. [Google Scholar] [CrossRef] [PubMed]
- Riggs, B.L.; Melton, L.J.; Robb, R.A.; Camp, J.J.; Atkinson, E.J.; McDaniel, L.; Amin, S.; Rouleau, P.A.; Khosla, S. A population-based assessment of rates of bone loss at multiple skeletal sites: Evidence for substantial trabecular bone loss in young adult women and men. J. Bone Min. Res. 2008, 23, 205–214. [Google Scholar] [CrossRef] [PubMed]
- Rohrmann, S.; Nelson, W.G.; Rifai, N.; Brown, T.R.; Dobs, A.; Kanarek, N.; Yager, J.D.; Platz, E.A. Serum estrogen, but not testosterone, levels differ between black and white men in a nationally representative sample of Americans. J. Clin. Endocrinol. Metab. 2007, 92, 2519–2525. [Google Scholar] [CrossRef] [PubMed]
- Araujo, A.B.; Travison, T.G.; Harris, S.S.; Holick, M.F.; Turner, A.K.; McKinlay, J.B. Race/ethnic differences in bone mineral density in men. Osteoporos. Int. 2007, 18, 943–953. [Google Scholar] [CrossRef] [PubMed]
- Tracy, J.K.; Meyer, W.A.; Grigoryan, M.; Fan, B.; Flores, R.H.; Genant, H.K.; Resnik, C.; Hochberg, M.C. Racial differences in the prevalence of vertebral fractures in older men: The Baltimore men’s osteoporosis study. Osteoporos. Int. 2006, 17, 99–104. [Google Scholar] [CrossRef] [PubMed]
- Tracy, J.K.; Meyer, W.A.; Flores, R.H.; Wilson, P.D.; Hochberg, M.C. Racial differences in rate of decline in bone mass in older men: The Baltimore men’s osteoporosis study. J. Bone Min. Res. 2005, 20, 1228–1234. [Google Scholar] [CrossRef] [PubMed]
- Lau, E.M.; Lee, J.K.; Suriwongpaisal, P.; Saw, S.M.; Das De, S.; Khir, A.; Sambrook, P. The incidence of hip fracture in four Asian countries: The Asian osteoporosis study (AOS). Osteoporos. Int. 2001, 12, 239–243. [Google Scholar] [CrossRef] [PubMed]
- Chin, K.-Y.; Soelaiman, I.-N.; Mohamed, I.N.; Ibrahim, S.; Ngah, W.Z.W. The effects of age, physical activity level, and body anthropometry on calcaneal speed of sound value in men. Arch. Osteoporos. 2012, 7, 135–145. [Google Scholar] [CrossRef] [PubMed]
- World Health Organization. Obesity: Preventing and Managing the Global Epidemic: Report of a Who Consultation; World Health Organization: Geneva, Switzerland, 2000. [Google Scholar]
- Moy, F.M.; Atiya, A.S. Waist circumference as a screening tool for weight management: Evaluation using receiver operating characteristic curves for Malay subjects. Asia Pac. J. Public Health 2003, 15, 99–104. [Google Scholar] [CrossRef] [PubMed]
- Hemenway, D.; Feskanich, D.; Colditz, G.A. Body height and hip fracture: A cohort study of 90,000 women. Int. J. Epidemiol. 1995, 24, 783–786. [Google Scholar] [CrossRef] [PubMed]
- Joakimsen, R.M.; Fonnebo, V.; Magnus, J.H.; Tollan, A.; Sogaard, A.J. The Tromso study: Body height, body mass index and fractures. Osteoporos. Int. 1998, 8, 436–442. [Google Scholar] [CrossRef] [PubMed]
- Bjornerem, A.; Bui, Q.M.; Ghasem-Zadeh, A.; Hopper, J.L.; Zebaze, R.; Seeman, E. Fracture risk and height: An association partly accounted for by cortical porosity of relatively thinner cortices. J. Bone Min. Res. 2013, 28, 2017–2026. [Google Scholar] [CrossRef] [PubMed]
- De Laet, C.; Kanis, J.A.; Oden, A.; Johanson, H.; Johnell, O.; Delmas, P.; Eisman, J.A.; Kroger, H.; Fujiwara, S.; Garnero, P.; et al. Body mass index as a predictor of fracture risk: A meta-analysis. Osteoporos. Int. 2005, 16, 1330–1338. [Google Scholar] [CrossRef] [PubMed]
- Romero-Corral, A.; Somers, V.K.; Sierra-Johnson, J.; Thomas, R.J.; Collazo-Clavell, M.L.; Korinek, J.; Allison, T.G.; Batsis, J.A.; Sert-Kuniyoshi, F.H.; Lopez-Jimenez, F. Accuracy of body mass index in diagnosing obesity in the adult general population. Int. J. Obes. (Lond.) 2008, 32, 959–966. [Google Scholar] [CrossRef] [PubMed]
- Yoon, J.L.; Cho, J.J.; Park, K.M.; Noh, H.M.; Park, Y.S. Diagnostic performance of body mass index using the western pacific regional office of world health organization reference standards for body fat percentage. J. Korean Med. Sci. 2015, 30, 162–166. [Google Scholar] [CrossRef] [PubMed]
- Panagiotakos, D.B.; Pitsavos, C.; Yannakoulia, M.; Chrysohoou, C.; Stefanadis, C. The implication of obesity and central fat on markers of chronic inflammation: The Attica study. Atherosclerosis 2005, 183, 308–315. [Google Scholar] [CrossRef] [PubMed]
- Festa, A.; D’Agostino, R., Jr.; Williams, K.; Karter, A.J.; Mayer-Davis, E.J.; Tracy, R.P.; Haffner, S.M. The relation of body fat mass and distribution to markers of chronic inflammation. Int. J. Obes. 2001, 25, 1407–1415. [Google Scholar] [CrossRef] [PubMed]
- Ding, J.; Ghali, O.; Lencel, P.; Broux, O.; Chauveau, C.; Devedjian, J.C.; Hardouin, P.; Magne, D. TNF-alpha and IL-1beta inhibit RUNX2 and collagen expression but increase alkaline phosphatase activity and mineralization in human mesenchymal stem cells. Life Sci. 2009, 84, 499–504. [Google Scholar] [CrossRef] [PubMed]
- Kudo, O.; Sabokbar, A.; Pocock, A.; Itonaga, I.; Fujikawa, Y.; Athanasou, N.A. Interleukin-6 and interleukin-11 support human osteoclast formation by a RANKL-independent mechanism. Bone 2003, 32, 1–7. [Google Scholar] [CrossRef]
- Muruganandan, S.; Roman, A.A.; Sinal, C.J. Adipocyte differentiation of bone marrow-derived mesenchymal stem cells: Cross talk with the osteoblastogenic program. Cell. Mol. Life Sci. 2008, 66, 236–253. [Google Scholar] [CrossRef] [PubMed]
- Cousins, J.M.; Petit, M.A.; Paudel, M.L.; Taylor, B.C.; Hughes, J.M.; Cauley, J.A.; Zmuda, J.M.; Cawthon, P.M.; Ensrud, K.E. Muscle power and physical activity are associated with bone strength in older men: The osteoporotic fractures in men study. Bone 2010, 47, 205–211. [Google Scholar] [CrossRef] [PubMed]
- Kelley, G.A.; Kelley, K.S.; Tran, Z.V. Exercise and bone mineral density in men: A meta-analysis. J. Appl. Physiol. (1985) 2000, 88, 1730–1736. [Google Scholar]
- Blanchet, C.; Giguere, Y.; Prud’homme, D.; Turcot-Lemay, L.; Dumont, M.; Leduc, G.; Cote, S.; Laflamme, N.; Rousseau, F.; Dodin, S. Leisure physical activity is associated with quantitative ultrasound measurements independently of bone mineral density in postmenopausal women. Calcif. Tissue Int. 2003, 73, 339–349. [Google Scholar] [CrossRef] [PubMed]
- Wosk, J.; Voloshin, A. Wave attenuation in skeletons of young healthy persons. J. Biomech. 1981, 14, 261–267. [Google Scholar] [CrossRef]
- Yung, P.; Lai, Y.; Tung, P.; Tsui, H.; Wong, C.; Hung, V.; Qin, L. Effects of weight bearing and non-weight bearing exercises on bone properties using calcaneal quantitative ultrasound. Br. J. Sports Med. 2005, 39, 547–551. [Google Scholar] [CrossRef] [PubMed]
- Riggs, B.L.; Khosla, S.; Melton, L.J. Sex steroids and the construction and conservation of the adult skeleton. Endocr. Rev. 2002, 23, 279–302. [Google Scholar] [CrossRef] [PubMed]
- Chen, H.; Hardy, M.P.; Huhtaniemi, I.; Zirkin, B.R. Age-related decreased leydig cell testosterone production in the brown Norway rat. J. Androl. 1994, 15, 551–557. [Google Scholar] [PubMed]
- Chen, H.; Hardy, M.P.; Zirkin, B.R. Age-related decreases in Leydig cell testosterone production are not restored by exposure to LH in vitro. Endocrinology 2002, 143, 1637–1642. [Google Scholar] [CrossRef] [PubMed]
- Kaufman, J.M.; Vermeulen, A. The decline of androgen levels in elderly men and its clinical and therapeutic implications. Endocr. Rev. 2005, 26, 833–876. [Google Scholar] [CrossRef] [PubMed]
- Sinnesael, M.; Boonen, S.; Claessens, F.; Gielen, E.; Vanderschueren, D. Testosterone and the male skeleton: A dual mode of action. J. Osteoporos. 2011, 2011, 240328. [Google Scholar] [CrossRef] [PubMed]
- Chin, K.Y.; Ima-Nirwana, S. Sex steroids and bone health status in men. Int. J. Endocrinol. 2012, 2012, 208719. [Google Scholar] [CrossRef] [PubMed]
- Falahati-Nini, A.; Riggs, B.L.; Atkinson, E.J.; O’Fallon, W.M.; Eastell, R.; Khosla, S. Relative contributions of testosterone and estrogen in regulating bone resorption and formation in normal elderly men. J. Clin. Investig. 2000, 106, 1553–1560. [Google Scholar] [CrossRef] [PubMed]
- Chin, K.-Y.; Soelaiman, I.-N.; Mohamed, I.N.; Ahmad, F.; Ramli, E.S.M.; Aminuddin, A.; Ngah, W.Z.W. Sex hormones in Malay and Chinese men in Malaysia: Are there age and race differences? Clinics 2013, 68, 159–166. [Google Scholar] [CrossRef]
- Winters, S.J.; Brufsky, A.; Weissfeld, J.; Trump, D.L.; Dyky, M.A.; Hadeed, V. Testosterone, sex hormone-binding globulin, and body composition in young adult African American and Caucasian men. Metabolism 2001, 50, 1242–1247. [Google Scholar] [CrossRef] [PubMed]
- Chin, K.-Y.; Soelaiman, I.-N.; Mohamed, I.N.; Wan Ngah, W.Z. Serum testosterone, sex hormone-binding globulin and total calcium levels predict the calcaneal speed of sound in men. Clinics 2012, 67, 911–916. [Google Scholar] [CrossRef]
- Chin, K.-Y.; Soelaiman, I.-N.; Naina Mohamed, I.; Shahar, S.; Teng, N.I.M.F.; Suhana Mohd Ramli, E.; Ahmad, F.; Aminuddin, A.; Zurinah Wan Ngah, W. Testosterone is associated with age-related changes in bone health status, muscle strength and body composition in men. Aging Male 2012, 15, 240–245. [Google Scholar] [CrossRef] [PubMed]
- Kuchuk, N.O.; van Schoor, N.M.; Pluijm, S.M.; Smit, J.H.; de Ronde, W.; Lips, P. The association of sex hormone levels with quantitative ultrasound, bone mineral density, bone turnover and osteoporotic fractures in older men and women. Clin. Endocrinol. (Oxf.) 2007, 67, 295–303. [Google Scholar] [CrossRef] [PubMed]
- Kyvernitakis, I.; Saeger, U.; Ziller, V.; Bauer, T.; Seker-Pektas, B.; Hadji, P. The effect of age, sex hormones, and bone turnover markers on calcaneal quantitative ultrasonometry in healthy german men. J. Clin. Densitom. 2013, 16, 320–328. [Google Scholar] [CrossRef] [PubMed]
- Vanderschueren, D.; Pye, S.; Venken, K.; Borghs, H.; Gaytant, J.; Huhtaniemi, I.; Adams, J.; Ward, K.; Bartfai, G.; Casanueva, F.; et al. Gonadal sex steroid status and bone health in middle-aged and elderly European men. Osteoporos. Int. 2010, 21, 1331–1339. [Google Scholar] [CrossRef] [PubMed]
- Paller, C.J.; Shiels, M.S.; Rohrmann, S.; Basaria, S.; Rifai, N.; Nelson, W.; Platz, E.A.; Dobs, A. Relationship of sex steroid hormones with bone mineral density (BMD) in a nationally representative sample of men. Clin. Endocrinol. (Oxf.) 2009, 70, 26–34. [Google Scholar] [CrossRef] [PubMed]
- Van den Beld, A.W.; de Jong, F.H.; Grobbee, D.E.; Pols, H.A.P.; Lamberts, S.W.J. Measures of bioavailable serum testosterone and estradiol and their relationships with muscle strength, bone density, and body composition in elderly men. J. Clin. Endocrinol. Metab. 2000, 85, 3276–3282. [Google Scholar] [CrossRef] [PubMed]
- Khosla, S.; Melton, L.J.; Atkinson, E.J.; O’Fallon, W.M.; Klee, G.G.; Riggs, B.L. Relationship of serum sex steroid levels and bone turnover markers with bone mineral density in men and women: A key role for bioavailable estrogen. J. Clin. Endocrinol. Metab. 1998, 83, 2266–2274. [Google Scholar] [CrossRef] [PubMed]
- Araujo, A.B.; Travison, T.G.; Leder, B.Z.; McKinlay, J.B. Correlations between serum testosterone, estradiol, and sex hormone-binding globulin and bone mineral density in a diverse sample of men. J. Clin. Endocrinol. Metab. 2008, 93, 2135–2141. [Google Scholar] [CrossRef] [PubMed]
- Knapp, K.M. Quantitative ultrasound and bone health. Salud Pub. Mex. 2009, 51 (Suppl. 1), S18–S24. [Google Scholar] [CrossRef]
- Greendale, G.A.; Tseng, C.-H.; Han, W.; Huang, M.-H.; Leung, K.; Crawford, S.; Gold, E.B.; Waetjen, L.E.; Karlamangla, A.S. Dietary isoflavones and bone mineral density during mid-life and the menopause transition: Cross-sectional and longitudinal results from the swan phytoestrogen study. Menopause 2015, 22, 279–288. [Google Scholar] [CrossRef] [PubMed]
- Holick, M.F. Vitamin D: Evolutionary, physiological and health perspectives. Curr. Drug Targets 2011, 12, 4–18. [Google Scholar] [CrossRef] [PubMed]
- Institute of Medicine. Dietary Reference Intakes for Calcium and Vitamin D; Institute of Medicine: Washington, DC, USA, 2011. [Google Scholar]
- Abiaka, C.; Delghandi, M.; Kaur, M.; Al-Saleh, M. Vitamin D status and anthropometric indices of an Omani study population. Sultan Qaboos Univ. Med. J. 2013, 13, 224–231. [Google Scholar] [CrossRef] [PubMed]
- Ardawi, M.S.; Sibiany, A.M.; Bakhsh, T.M.; Qari, M.H.; Maimani, A.A. High prevalence of Vitamin D deficiency among healthy Saudi Arabian men: Relationship to bone mineral density, parathyroid hormone, bone turnover markers, and lifestyle factors. Osteoporos. Int. 2012, 23, 675–686. [Google Scholar] [CrossRef] [PubMed]
- Moy, F.M.; Bulgiba, A. High prevalence of Vitamin D insufficiency and its association with obesity and metabolic syndrome among Malay adults in Kuala lumper, Malaysia. BMC Public Health 2011, 11, 735. [Google Scholar] [CrossRef] [PubMed]
- Ho-Pham, L.T.; Nguyen, N.D.; Lai, T.Q.; Eisman, J.A.; Nguyen, T.V. Vitamin D status and parathyroid hormone in a urban population in Vietnam. Osteoporos. Int. 2011, 22, 241–248. [Google Scholar] [CrossRef] [PubMed]
- Chin, K.Y.; Ima-Nirwana, S.; Ibrahim, S.; Mohamed, I.N.; Wan Ngah, W.Z. Vitamin D status in Malaysian men and its associated factors. Nutrients 2014, 6, 5419–5433. [Google Scholar] [CrossRef] [PubMed]
- Harris, S.S. Vitamin D and African Americans. J. Nutr. 2006, 136, 1126–1129. [Google Scholar] [PubMed]
- Hawkins, R. Total 25-oh Vitamin D concentrations in Chinese, Malays and Indians. Ann. Lab. Med. 2013, 33, 156–158. [Google Scholar] [CrossRef] [PubMed]
- Forrest, K.Y.; Stuhldreher, W.L. Prevalence and correlates of Vitamin D deficiency in us adults. Nutr. Res. 2011, 31, 48–54. [Google Scholar] [CrossRef] [PubMed]
- Jaaskelainen, T.; Knekt, P.; Marniemi, J.; Sares-Jaske, L.; Mannisto, S.; Heliovaara, M.; Jarvinen, R. Vitamin D status is associated with sociodemographic factors, lifestyle and metabolic health. Eur. J. Nutr. 2013, 52, 513–525. [Google Scholar] [CrossRef] [PubMed]
- Dhanwal, D.K. Thyroid disorders and bone mineral metabolism. Indian J. Endocrinol. Metab. 2011, 15, S107–S112. [Google Scholar] [CrossRef] [PubMed]
- Chin, K.-Y.; Ima-Nirwana, S.; Mohamed, I.N.; Aminuddin, A.; Johari, M.H.; Ngah, W.Z.W. Thyroid-stimulating hormone is significantly associated with bone health status in men. Int. J. Med. Sci. 2013, 10, 857. [Google Scholar] [CrossRef] [PubMed]
- Kim, B.-J.; Lee, S.H.; Bae, S.J.; Kim, H.K.; Choe, J.W.; Kim, H.Y.; Koh, J.-M.; Kim, G.S. The association between serum thyrotropin (TSH) levels and bone mineral density in healthy euthyroid men. Clin. Endocrinol. (Oxf.) 2010, 73, 396–403. [Google Scholar] [CrossRef] [PubMed]
- Kim, D.J.; Khang, Y.H.; Koh, J.-M.; Shong, Y.K.; Kim, G.S. Low normal TSH levels are associated with low bone mineral density in healthy postmenopausal women. Clin. Endocrinol. (Oxf.) 2006, 64, 86–90. [Google Scholar] [CrossRef] [PubMed]
- Grimnes, G.; Emaus, N.; Joakimsen, R.M.; Figenschau, Y.; Jorde, R. The relationship between serum TSH and bone mineral density in men and postmenopausal women: The Tromsø study. Thyroid 2008, 18, 1147–1155. [Google Scholar] [CrossRef] [PubMed]
- Morris, M.S. The association between serum thyroid-stimulating hormone in its reference range and bone status in postmenopausal American women. Bone 2007, 40, 1128–1134. [Google Scholar] [CrossRef] [PubMed]
- Morimura, T.; Tsunekawa, K.; Kasahara, T.; Seki, K.; Ogiwara, T.; Mori, M.; Murakami, M. Expression of type 2 iodothyronine deiodinase in human osteoblast is stimulated by thyrotropin. Endocrinology 2005, 146, 2077–2084. [Google Scholar] [CrossRef] [PubMed]
- Abe, E.; Marians, R.C.; Yu, W.; Wu, X.-B.; Ando, T.; Li, Y.; Iqbal, J.; Eldeiry, L.; Rajendren, G.; Blair, H.C.; et al. TSH is a negative regulator of skeletal remodeling. Cell 2003, 115, 151–162. [Google Scholar] [CrossRef]
- Baliram, R.; Latif, R.; Berkowitz, J.; Frid, S.; Colaianni, G.; Sun, L.; Zaidi, M.; Davies, T.F. Thyroid-stimulating hormone induces a WNT-dependent, feed-forward loop for osteoblastogenesis in embryonic stem cell cultures. Proc. Natl. Acad. Sci. USA 2011, 108, 16277–16282. [Google Scholar] [CrossRef] [PubMed]
- Hase, H.; Ando, T.; Eldeiry, L.; Brebene, A.; Peng, Y.; Liu, L.; Amano, H.; Davies, T.F.; Sun, L.; Zaidi, M.; et al. TNFα mediates the skeletal effects of thyroid-stimulating hormone. Proc. Natl. Acad. Sci. USA 2006, 103, 12849–12854. [Google Scholar] [CrossRef] [PubMed]
- Laron, Z. Insulin-like growth factor 1 (IGF-1): A growth hormone. Mol. Pathol. 2001, 54, 311–316. [Google Scholar] [CrossRef] [PubMed]
- Gillberg, P.; Olofsson, H.; Mallmin, H.; Blum, W.F.; Ljunghall, S.; Nilsson, A.G. Bone mineral density in femoral neck is positively correlated to circulating insulin-like growth factor (IGF)-I and IGF-binding protein (IGFBP)-3 in Swedish men. Calcif. Tissue Int. 2002, 70, 22–29. [Google Scholar] [CrossRef] [PubMed]
- Krassas, G.; Papadopoulou, P.; Koliakos, G.; Konstantinidis, T.; Kalothetou, K. Growth hormone, insulin growth factor-1, and IGF binding protein-3 axis relationship with bone mineral density among healthy men. Arch. Androl. 2003, 49, 191–199. [Google Scholar] [CrossRef] [PubMed]
- Langlois, J.A.; Rosen, C.J.; Visser, M.; Hannan, M.T.; Harris, T.; Wilson, P.W.F.; Kiel, D.P. Association between insulin-like growth factor I and bone mineral density in older women and men: The Framingham heart study. J. Clin. Endocrinol. Metab. 1998, 83, 4257–4262. [Google Scholar] [CrossRef] [PubMed]
- Barrett-Connor, E.; Goodman-Gruen, D. Gender differences in insulin-like growth factor and bone mineral density association in old age: The Rancho Bernardo study. J. Bone Min. Res. 1998, 13, 1343–1349. [Google Scholar] [CrossRef] [PubMed]
- Nakasaki, M.; Yoshioka, K.; Miyamoto, Y.; Sasaki, T.; Yoshikawa, H.; Itoh, K. IGF-I secreted by osteoblasts acts as a potent chemotactic factor for osteoblasts. Bone 2008, 43, 869–879. [Google Scholar] [CrossRef] [PubMed]
- Tiago, D.M.; Cancela, M.L.; Laize, V. Proliferative and mineralogenic effects of insulin, IGF-1, and vanadate in fish osteoblast-like cells. J. Bone Min. Metab. 2011, 29, 377–382. [Google Scholar] [CrossRef] [PubMed]
- Zhang, M.; Xuan, S.; Bouxsein, M.L.; von Stechow, D.; Akeno, N.; Faugere, M.C.; Malluche, H.; Zhao, G.; Rosen, C.J.; Efstratiadis, A.; et al. Osteoblast-specific knockout of the insulin-like growth factor (IGF) receptor gene reveals an essential role of IGF signaling in bone matrix mineralization. J. Biol. Chem. 2002, 277, 44005–44012. [Google Scholar] [CrossRef] [PubMed]
- Cavani, F.; Giavaresi, G.; Fini, M.; Bertoni, L.; de Terlizzi, F.; Barkmann, R.; Cane, V. Influence of density, elasticity, and structure on ultrasound transmission through trabecular bone cylinders. IEEE Trans. Ultrason. Ferroelectr. Freq. Control 2008, 55, 1465–1472. [Google Scholar] [CrossRef] [PubMed]
- Guglielmi, G.; de Terlizzi, F. Quantitative ultrasound in the assessment of osteoporosis. Eur. J. Radiol. 2009, 71, 425–431. [Google Scholar] [CrossRef] [PubMed]
- Padilla, F.; Jenson, F.; Bousson, V.; Peyrin, F.; Laugier, P. Relationships of trabecular bone structure with quantitative ultrasound parameters: In vitro study on human proximal femur using transmission and backscatter measurements. Bone 2008, 42, 1193–1202. [Google Scholar] [CrossRef] [PubMed]
- Moayyeri, A.; Adams, J.; Adler, R.; Krieg, M.A.; Hans, D.; Compston, J.; Lewiecki, E. Quantitative ultrasound of the heel and fracture risk assessment: An updated meta-analysis. Osteoporos. Int. 2012, 23, 143–153. [Google Scholar] [CrossRef] [PubMed]




© 2016 by the authors; licensee MDPI, Basel, Switzerland. This article is an open access article distributed under the terms and conditions of the Creative Commons Attribution (CC-BY) license (http://creativecommons.org/licenses/by/4.0/).
Share and Cite
Chin, K.-Y.; Wan Ngah, W.Z.; Ima-Nirwana, S. Lessons from the Bone Chapter of the Malaysian Aging Men Study. Int. J. Environ. Res. Public Health 2016, 13, 531. https://doi.org/10.3390/ijerph13060531
Chin K-Y, Wan Ngah WZ, Ima-Nirwana S. Lessons from the Bone Chapter of the Malaysian Aging Men Study. International Journal of Environmental Research and Public Health. 2016; 13(6):531. https://doi.org/10.3390/ijerph13060531
Chicago/Turabian StyleChin, Kok-Yong, Wan Zurinah Wan Ngah, and Soelaiman Ima-Nirwana. 2016. "Lessons from the Bone Chapter of the Malaysian Aging Men Study" International Journal of Environmental Research and Public Health 13, no. 6: 531. https://doi.org/10.3390/ijerph13060531
APA StyleChin, K.-Y., Wan Ngah, W. Z., & Ima-Nirwana, S. (2016). Lessons from the Bone Chapter of the Malaysian Aging Men Study. International Journal of Environmental Research and Public Health, 13(6), 531. https://doi.org/10.3390/ijerph13060531

