Integrated Application of Multivariate Statistical Methods to Source Apportionment of Watercourses in the Liao River Basin, Northeast China
Abstract
:1. Introduction
2. Materials and Methods
2.1. Study Area and Monitoring Sites
2.2. Data Sources
2.3. Statistical Analysis
2.3.1. Data Treatment
2.3.2. Analysis of Variance (ANOVA)
2.3.3. Pearson Correlation
2.3.4. Cluster Analysis (CA)
2.3.5. Discriminant Analysis (DA)
2.3.6. Principal Component Analysis (PCA)
2.3.7. Positive Matrix Factorization (PMF)
3. Results
3.1. Temporal/Spatial Grouping
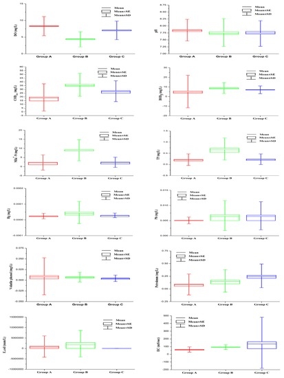
3.2. Temporal/Spatial Variations in River Water Quality
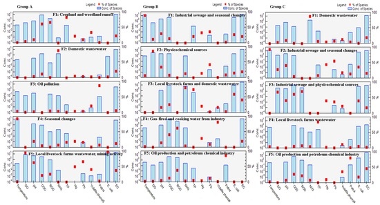
3.3. Identification of Latent Pollution Factors
4. Discussion
4.1. Temporal/Spatial Similarities and Groupings
4.2. Temporal/Spatial Variations in River Water Quality
4.3. Identification of Latent Pollution Factors
5. Conclusions
- (1)
- In the Liao River basin of Liaoning province, the 12 months of the year could be grouped into three periods (May–October, February–April and November–January), and all sites in the area could be divided into three significantly different groups. It was quite obvious that the CA method was effective in providing a reliable classification of river water in the Liao River basin of Northeast China, and the establishment of an optimal sampling strategy with a lower cost will become possible in the future [2,20].
- (2)
- Temperature, DO, pH, CODMn, BOD5, NH4+–N, TP and volatile phenols were discriminant variables showing temporal variations, with 81.2% correct assignments, and all water quality monitoring parameters were discriminant variables showing spatial variations, also with 81.2% correct assignments.
- (3)
- The patterns of pollution varied significantly on spatial and temporal scales. The results from PMF analysis are in close agreement with the results from the PCA method. For group A, oxygen-consuming organics from cropland and woodland runoff were the main latent pollution source. The main pollutants were oxygen-consuming organics, oil, nutrients and fecal matter for group B. The evaluated pollutants primarily included oxygen-consuming organics, oil and toxic organics for group C.
- (4)
- For group B, the main latent pollution factors were oxygen-consuming organics, oil, nutrients and fecal pollution during the HF and LF periods and oxygen-consuming organics, nutrients, fecal pollution and heavy metals during the NF period. For group C, the main pollutants evaluated mainly consisted of oxygen-consuming organics, oil, and heavy metal during the HF and LF periods and oxygen-consuming organics, toxic organics, oil and heavy metals during the NF period.
Acknowledgments
Author Contributions
Conflicts of Interest
Appendix A
| Parameters | Analytical Methods | Limits of Detection |
|---|---|---|
| Temperature (°C) | Thermometer | - |
| DO (Mg/L) | Iodimetry | 0.2 |
| pH | Glass Electrode | - |
| CODMn (mg/L) | Potassium Permanganate Method | 0.5 |
| BOD5 (mg/L) | Dilution and Inoculation Test | 0.5 |
| NH4+–N (mg/L) | N−Reagent Colorimetry | 0.05 |
| TP (mg/L) | Ammonium Molybdate Spectrophotometry | 0.01 |
| Hg (mg/L) | Cold vapor Atomic Absorption Spectrometry | 0.00005 |
| Pb (mg/L) | Atomic Absorption Spectrophotometry | 0.01 |
| Volatile phenols (mg/L) | Spectrophotometric Determination with 4−Amino−Antipyrin | 0.002 |
| Petrol (mg/L) | Infrared Spectrophotometry | 0.01 |
| E. coli (num/L) | Manifold Zymotechnics Method/Filter Membrane Method | - |
| EC (ms/s) | Electrometric | - |
| Periods | Mean ± SD/(104 m3) | Minimum/(104 m3) | Maximum/(104 m3) |
|---|---|---|---|
| HF | 26,916 ± 41,834 | 692 | 247,276 |
| LF | 4058 ± 3396 | 79 | 13,867 |
| NF | 4521 ± 6129 | 128 | 28,927 |

| Parameters | Period Mean Value | Region Mean Value | ||||
|---|---|---|---|---|---|---|
| HF | LF | NF | Group A | Group B | Group C | |
| Temperature (°C) | 20.0 ± 4.8c | 5.4 ± 3.3a | 7.6 ± 4.6b | 14.5 ± 7.6a | 16.1 ± 8.1b | 17.2 ± 7.8b |
| DO (Mg/L) | 6.78 ± 2.56a | 8.06 ± 3.37b | 8.00 ± 3.90b | 8.30 ± 2.87c | 4.37 ± 2.27a | 7.00 ± 2.77b |
| pH | 7.85 ± 0.44b | 7.74 ± 0.42a | 7.71 ± 0.41a | 7.85 ± 0.39b | 7.76 ± 0.50a | 7.73 ± 0.46a |
| CODMn (mg/L) | 22.49 ± 15.64a | 30.07 ± 21.73b | 22.98 ± 16.84a | 19.24 ± 18.19a | 36.13 ± 15.29c | 27.58 ± 13.88b |
| BOD5 (mg/L) | 5.57 ± 4.90a | 8.61 ± 24.81b | 5.92 ± 6.95a | 5.22 ± 16.90a | 8.87 ± 5.65c | 7.07 ± 4.00b |
| NH4+–N (mg/L) | 2.560 ± 3.897a | 5.289 ± 6.443c | 3.343 ± 4.083b | 2.255 ± 4.182a | 8.967 ± 5.800c | 2.363 ± 2.762b |
| TP (mg/L) | 0.266 ± 0.312a | 0.417 ± 0.455b | 0.244 ± 0.264a | 0.214 ± 0.257a | 0.693 ± 0.494c | 0.232 ± 0.238b |
| Hg (mg/L) | 0.000029 ± 0.000029a | 0.000031 ± 0.000046a | 0.000027 ± 0.000018a | 0.000025 ± 0.000018a | 0.000047 ± 0.000070c | 0.000029 ± 0.000015b |
| Pb (mg/L) | 0.00593 ± 0.00374a | 0.00559 ± 0.00305a | 0.00535 ± 0.00226a | 0.00504 ± 0.00112a | 0.00666 ± 0.00494b | 0.00658 ± 0.00463b |
| Volatile phenols (mg/L) | 0.0056 ± 0.0267a | 0.0123 ± 0.0481c | 0.0077 ± 0.0236b | 0.0092 ± 0.0434c | 0.0074 ± 0.0113b | 0.0045 ± 0.0076a |
| Petrol (mg/L) | 0.137 ± 0.220a | 0.171 ± 0.120b | 0.169 ± 0.291b | 0.088 ± 0.206c | 0.160 ± 0.221a | 0.258 ± 0.233b |
| E. coli (num/L) | 860,668 ± 5,082,132a | 660,360 ± 3,203,293a | 588,074 ± 3,250,654a | 902,564 ± 5,118,360b | 2280673 ± 6,333,392c | 7131 ± 22,844a |
| EC (ms/s) | 90.6 ± 225b | 103.7 ± 122.0a | 85.9 ± 76.6a | 62.1 ± 34.1a | 92.6 ± 33.3b | 149.2 ± 332c |
References
- Varol, M.; Gökot, B.; Bekleyen, A.; Şen, B. Spatial and temporal variations in surface water quality of the dam reservoirs in the Tigris River basin. Catena 2012, 92, 11–21. [Google Scholar] [CrossRef]
- Zhang, Y.; Guo, F.; Meng, W.; Wang, X.Q. Water quality assessment and source identification of Daliao river basin using multivariate statistical methods. Environ. Monit. Assess. 2009, 152, 105–121. [Google Scholar] [CrossRef] [PubMed]
- Huang, F.; Wang, X.; Lou, L.; Zhou, Z.; Wu, J. Spatial variation and source apportionment of water pollution in Qiantang River (China) using statistical techniques. Water Res. 2010, 44, 1562–1572. [Google Scholar] [CrossRef] [PubMed]
- Vega, M.; Pardo, R.; Barrado, E.; Debán, L. Assessment of seasonal and polluting effects on the quality of river water by exploratory data analysis. Water Res. 1998, 32, 3581–3592. [Google Scholar] [CrossRef]
- Chen, J.; Lu, J. Effects of Land use, topography and socio-economic factors on river water Quality in a mountainous watershed with intensive agricultural production in East China. PLoS ONE 2014, 9, e102714. [Google Scholar] [CrossRef] [PubMed]
- Zhao, J.; Fu, G.; Lei, K.; Li, Y. Multivariate analysis of surface water quality in the three Gorges area of China and implications for water management. J. Environ. Sci. (China) 2011, 23, 1460–1471. [Google Scholar] [CrossRef]
- Patel, V.; Parikh, P. Assessment of seasonal variation in water quality of River Mini, at Sindhrot, Vadodara. Int. J. Environ. Sci. 2013, 3, 1424–1436. [Google Scholar]
- Chen, X.; Zhu, L.; Pan, X.; Fang, S.; Zhang, Y.; Yang, L. Isomeric specific partitioning behaviors of perfluoroalkyl substances in water dissolved phase, suspended particulate matters and sediments in Liao River basin and Taihu Lake, China. Water Res. 2015, 80, 235–244. [Google Scholar] [CrossRef] [PubMed]
- Li, Y.L.; Liu, K.; Li, L.; Xu, Z.X. Relationship of land use/cover on water quality in the Liao River Basin, China. Proc. Environ. Sci. 2012, 13, 1484–1493. [Google Scholar] [CrossRef]
- Statistical Bureau of Liaoning Province (SBLP). Liaoning Statistical Yearbook, 3rd ed.China Statistics Press: Shenyang, China, 2012; pp. 104–196. (In Chinese)
- Zhou, L.J.; Ying, G.G.; Zhao, J.L.; Yang, J.F.; Wang, L.; Yang, B.; Liu, S. Trends in the occurrence of human and veterinary antibiotics in the sediments of the Yellow River, Hai River and Liao River in Northern China. Environ. Pollut. 2011, 159, 1877–1885. [Google Scholar] [CrossRef] [PubMed]
- Lu, J.; Xu, J.; Guo, C.; Zhang, Y.; Bai, Y.; Meng, W. Spatial and temporal distribution of polycyclic aromatic hydrocarbons (PAHs) in surface water from Liaohe River Basin, northeast China. Environ. Sci. Pollut. Res. 2014, 21, 7088–7096. [Google Scholar]
- Wang, X.Q.; Zhang, Y.H. Pollution status and countermeasures of Liaohe Drainage Basin in Liaoning Province. Environ. Protect. Sci. 2007, 3, 26–28. (In Chinese) [Google Scholar]
- Singh, K.P.; Malik, A.; Singh, V.K.; Mohan, D.; Sinha, S. Chemometric analysis of groundwater quality data of alluvial aquifer of gangetic plain, North India. Anal. Chim. Acta 2005, 550, 82–91. [Google Scholar] [CrossRef]
- Alberto, W.D.; Del Pilar, D.M.; Valeria, A.M.; Fabiana, P.S.; Cecilia, H.A.; De Los Angeles, B.M. Pattern recognition techniques for the evaluation of spatial and temporal variations in water quality. A case study: Suquía River Basin (Cordoba-Argentina). Water Res. 2001, 35, 2881–2894. [Google Scholar] [CrossRef]
- Zhou, F.; Huang, G.H.; Guo, H.; Zhang, W.; Hao, Z. Spatio-temporal patterns and source apportionment of coastal water pollution in eastern Hong Kong. Water Res. 2007, 41, 3429–3439. [Google Scholar] [CrossRef] [PubMed]
- Wang, J.; Liu, R.; Wang, H.; Yu, W.; Xu, F.; Shen, Z. Identification and apportionment of hazardous elements in the sediments in the Yangtze River Estuary. Environ. Sci. Pollut. Res. 2015, 22, 20215–20225. [Google Scholar] [CrossRef] [PubMed]
- Selvaraju, N.; Pushpavanam, S.; Anu, N. A holistic approach combining factor analysis, positive matrix factorization, and chemical mass balance applied to receptor modeling. Environ. Monit. Assess. 2013, 185, 10115–10129. [Google Scholar] [CrossRef] [PubMed]
- Lu, P.; Mei, K.; Zhang, Y.; Liao, L.; Long, B.; Dahlgren, R.A.; Zhang, M. Spatial and temporal variations of nitrogen pollution in Wen-Rui Tang River watershed, Zhejiang, China. Environ. Monit. Assess. 2011, 180, 501–520. [Google Scholar] [CrossRef] [PubMed]
- Zhou, F.; Guo, H.; Liu, Y.; Jiang, Y. Chemometrics data analysis of marine water quality and source identification in Southern Hong Kong. Mar. Pollut. Bull. 2007, 54, 745–756. [Google Scholar] [CrossRef] [PubMed]
- Gao, X.; Zhang, Y.; Ding, S.; Zhao, R.; Meng, W. Response of fish communities to environmental changes in an agriculturally dominated watershed (Liao River Basin) in Northeastern China. Ecol. Eng. 2015, 76, 130–141. [Google Scholar] [CrossRef]
- Xu, X.L.; Pang, Z.G.; Yu, X.F. Spatial-Temporal Pattern Analysis of Land Use/Cover Change: Methods &Applications; Science and Technology Literature Press: Beijing, China, 2005; pp. 90–130. (In Chinese) [Google Scholar]
- Liu, J.Y. Macro-Scale Survey and Dynamic Study of Natural Resources and Environment of China by Remote Sensing; China Science and Technology Press: Beijing, China, 1996; pp. 100–200. (In Chineses) [Google Scholar]
- Zhu, D. Dictionary of the Chinese River, 3rd ed.; Qingdao Press: Qingdao, China, 2007; pp. 102–340. (In Chinese) [Google Scholar]
- Yue, F.; Li, S.; Liu, C.; Zhao, Z.; Hu, J. Using dual isotopes to evaluate sources and transformation of nitrogen in the Liao River, Northeast China. Appl. Geochem. 2013, 36, 1–9. [Google Scholar] [CrossRef]
- Bai, Y.; Meng, W.; Xu, J.; Zhang, Y.; Guo, C. Occurrence, distribution and bioaccumulation of antibiotics in the Liao River Basin in China. Environ. Sci. Proc. Impacts 2014, 16, 586–593. [Google Scholar] [CrossRef] [PubMed]
- State Environmental Protection Administration (SEPA). Water and Wastewater Analysis Method, 3rd ed.; China Environmental Science Press: Beijing, China, 2002; pp. 60–980. (In Chinese) [Google Scholar]
- Data Center for Resources and Environmental Sciences, Chinese Academy of Sciences (RESDC). Available online: http://www.resdc.cn (accessed on 10 July 2016).
- Qu, W.; Kelderman, P. Heavy metal contents in the Delft canal sediments and suspended solids of the river Rhine: Multivariate analysis for source tracing. Chemosphere 2001, 45, 919–925. [Google Scholar] [CrossRef]
- Lattin, J.M.; Carroll, J.D.; Green, P.E. Analyzing Multivariate Data, 3rd ed.; Duxbury Press: New York, NY, USA, 2003; pp. 60–180. [Google Scholar]
- Medina-Gómez, I.; Herrera-Silveira, J.A. Spatial characterization of water quality in a karstic coastal lagoon without anthropogenic disturbance: a multivariate approach. Estuar. Coast. Shelf Sci. 2003, 58, 455–465. [Google Scholar] [CrossRef]
- McKenna, J. An enhanced cluster analysis program with bootstrap significance testing for ecological community analysis. Environ. Model. Softw. 2003, 18, 205–220. [Google Scholar] [CrossRef]
- Shrestha, S.; Kazama, F. Assessment of surface water quality using multivariate statistical techniques: A case study of the Fuji River Basin, Japan. Environ. Model. Softw. 2007, 22, 464–475. [Google Scholar] [CrossRef]
- Simeonova, P.; Simeonov, V.; Andreev, G. Water quality study of the Struma river basin, Bulgaria (1989–1998). Open Chem. 2003, 1, 121–136. [Google Scholar] [CrossRef]
- Johnson, R.A.; Wichern, D.W. Applied Multivariate Statistical Analysis, 3rd ed.; Prentice Hall: Englewood Cliffs, NJ, USA, 2002. [Google Scholar]
- Zhou, F.; Liu, Y.; Guo, H. Application of multivariate statistical methods to water quality assessment of the watercourses in Northwestern New Territories, Hong Kong. Environ. Monit. Assess. 2007, 132, 1–13. [Google Scholar] [CrossRef] [PubMed]
- Chen, J.; Lu, J. Establishment of reference conditions for nutrients in an intensive agricultural watershed, Eastern China. Environ. Sci. Pollut. Res. 2014, 21, 2496–2505. [Google Scholar] [CrossRef] [PubMed]
- Pekey, H.; Karakaş, D.; Bakoğlu, M. Source apportionment of trace metals in surface waters of a polluted stream using multivariate statistical analyses. Mar. Pollut. Bull. 2004, 49, 809–818. [Google Scholar] [CrossRef] [PubMed]
- Brūmelis, G.; Lapiņa, L.; Nikodemus, O.; Tabors, G. Use of an artificial model of monitoring data to aid interpretation of principal component analysis. Environ. Model. Softw. 2000, 15, 755–763. [Google Scholar] [CrossRef]
- Helena, B.; Pardo, R.; Vega, M.; Barrado, E.; Fernandez, J.M. Temporal evolution of groundwater composition in an alluvial aquifer (Pisuerga River, Spain) by principal component analysis. Water Res. 2000, 34, 807–816. [Google Scholar] [CrossRef]
- Hannaford, J.; Buys, G. Trends in seasonal river flow regimes in the UK. J. Hydrol. 2012, 475, 158–174. [Google Scholar] [CrossRef]
- Duan, B.; Liu, F.; Zhang, W.; Zheng, H.; Zhang, Q.; Li, X.; Bu, Y. Evaluation and source apportionment of heavy metals (HMs) in sewage sludge of municipal wastewater treatment Plants (WWTPs) in Shanxi, China. Int. J. Environ. Res. Public Health 2015, 12, 15807–15818. [Google Scholar] [CrossRef] [PubMed]
- Yang, L.; Zhu, L.; Liu, Z. Occurrence and partition of perfluorinated compounds in water and sediment from Liao River and Taihu Lake, China. Chemosphere 2011, 83, 806–814. [Google Scholar] [CrossRef] [PubMed]
- Wang, L.; Ying, G.G.; Zhao, J.L.; Liu, S.; Yang, B.; Zhou, L.J.; Tao, R.; Su, H.C. Assessing estrogenic activity in surface water and sediment of the Liao River system in northeast China using combined chemical and biological tools. Environ. Pollut. 2011, 159, 148–156. [Google Scholar] [CrossRef] [PubMed]
- Kowalkowski, T.; Zbytniewski, R.; Szpejna, J.; Buszewski, B. Application of chemometrics in river water classification. Water Res. 2006, 40, 744–752. [Google Scholar] [CrossRef] [PubMed]
- Wang, L.; Ying, G.G.; Zhao, J.L.; Yang, X.B.; Chen, F.; Tao, R.; Liu, S.; Zhou, L.J. Occurrence and risk assessment of acidic pharmaceuticals in the Yellow River, Hai river and Liao River of North China. Sci. Total Environ. 2010, 408, 3139–3147. [Google Scholar] [CrossRef] [PubMed]
- Men, B.; He, M.; Tan, L.; Lin, C.; Quan, X. Distributions of polycyclic aromatic hydrocarbons in the Daliao River Estuary of Liaodong Bay, Bohai Sea (China). Mar. Pollut. Bull. 2009, 58, 818–826. [Google Scholar] [CrossRef] [PubMed]
- Kannel, P.R.; Lee, S.; Lee, Y.S. Assessment of spatial-temporal patterns of surface and ground water qualities and factors influencing management strategy of groundwater system in an urban river corridor of Nepal. J. Environ. Manag. 2008, 86, 595–604. [Google Scholar] [CrossRef] [PubMed]
- Jiang, J.; Wang, J.; Liu, S.; Lin, C.; He, M.; Liu, X. Background, baseline, normalization, and contamination of heavy metals in the Liao River watershed sediments of China. J. Asian Earth Sci. 2013, 73, 87–94. [Google Scholar] [CrossRef]
- Ke, X.; Gao, L.; Huang, H.; Kumar, S. Toxicity identification evaluation of sediments in Liaohe River. Mar. Pollut. Bull. 2015, 93, 259–265. [Google Scholar] [CrossRef] [PubMed]
- Maillard, P.; Santos, N.A. A spatial-statistical approach for modeling the effect of non-point source pollution on different water quality parameters in the Velhas river watershed—Brazil. J. Environ. Manag. 2008, 86, 158–170. [Google Scholar] [CrossRef] [PubMed]
- Bhuiyan, M.A.H.; Dampare, S.B.; Islam, M.A.; Suzuki, S. Source apportionment and pollution evaluation of heavy metals in water and sediments of Buriganga River, Bangladesh, using multivariate analysis and pollution evaluation indices. Environ. Monit. Assess. 2014, 187, 1–21. [Google Scholar] [CrossRef] [PubMed]
- Khan, M.F.; Hirano, K.; Masunaga, S. Assessment of the sources of suspended particulate matter aerosol using US EPA PMF 3.0. Environ. Monit. Assess. 2012, 184, 1063–1083. [Google Scholar] [CrossRef] [PubMed]
- Huang, L.; Li, Y.; Zhang, Y.; Guan, Y. A simple method to separate phosphorus sorption stages onto solid mediums. Ecol. Eng. 2014, 69, 63–69. [Google Scholar] [CrossRef]
- Huang, L.; Zhang, Y.; Shi, Y.; Liu, Y.; Wang, L.; Yan, N. Comparison of phosphorus fractions and phosphatase activities in coastal wetland soils along vegetation zones of Yancheng National Nature Reserve, China. Estuar. Coast. Shelf Sci. 2015, 157, 93–98. [Google Scholar] [CrossRef]
- Bu, H.; Wan, J.; Zhang, Y.; Meng, W. Spatial characteristics of surface water quality in the Haicheng river (Liao River Basin) in Northeast China. Environ. Earth Sci. 2013, 70, 2865–2872. [Google Scholar] [CrossRef]
- Yao, H.; Qian, X.; Gao, H.; Wang, Y.; Xia, B. Seasonal and spatial variations of heavy metals in two typical Chinese Rivers: Concentrations, environmental risks, and possible sources. Int. J. Environ. Res. Public Health 2014, 11, 11860–11878. [Google Scholar] [CrossRef] [PubMed]









| Number of Clusters | Temporal Variation | Spatial Variation | |||||||
|---|---|---|---|---|---|---|---|---|---|
| %Correct | 1st (HF) | 2nd (LF) | 3rd (NF) | %Correct | 1st (A) | 2nd (B) | 3rd (C) | ||
| Three Cluster | 1st | 57.6 | 98 | 58 | 14 | 83.4 | 493 | 24 | 74 |
| 2nd | 64.9 | 78 | 146 | 1 | 65.3 | 13 | 79 | 29 | |
| 3rd | 91.3 | 50 | 17 | 700 | 83.2 | 31 | 19 | 248 | |
| Total | 81.2 | 226 | 221 | 715 | 81.2 | 537 | 122 | 351 | |
| Parameters | Temperature | DO | pH | CODMn | BOD5 | NH4+–N | TP | Hg | Pb | Volatile Phenols | Petrol | E. coli | EC | |
|---|---|---|---|---|---|---|---|---|---|---|---|---|---|---|
| Group A | Temperature | 1 | - | - | - | - | - | - | - | - | - | - | - | - |
| DO | −0.057 | 1 | - | - | - | - | - | - | - | - | - | - | - | |
| pH | −0.308 | 0.132 | 1 | - | - | - | - | - | - | - | - | - | - | |
| CODMn | 0.256 | −0.739 ** | −0.333 | 1 | - | - | - | - | - | - | - | - | - | |
| BOD5 | 0.009 | −0.365 * | −0.068 | 0.644 ** | 1 | - | - | - | - | - | - | - | - | |
| NH4+–N | 0.087 | −0.490 ** | −0.038 | 0.679 ** | 0.836 ** | 1 | - | - | - | - | - | - | - | |
| TP | 0.310 | −0.703 ** | −0.431 * | 0.846 ** | 0.617 ** | 0.650 ** | 1 | - | - | - | - | |||
| Hg | 0.212 | −0.634 ** | 0.033 | 0.357 * | 0.126 | 0.149 | 0.388 * | 1 | - | - | - | - | ||
| Pb | 0.073 | 0.379 * | 0.244 | −0.157 | −0.109 | −0.238 | −0.321 | −0.161 | 1 | - | - | - | - | |
| Volatile phenols | −0.093 | −0.170 | 0.072 | 0.385 * | 0.637 ** | 0.475 ** | 0.394 * | −0.014 | −0.121 | 1 | - | - | - | |
| Petrol | −0.099 | −0.187 | 0.101 | 0.409 * | 0.904 ** | 0.792 ** | 0.340 | −0.034 | −0.116 | 0.500 ** | 1 | - | - | |
| E. coli | −0.049 | −0.556 ** | -0.172 | 0.755 ** | 0.633 ** | 0.374* | 0.592 ** | 0.357 * | 0.018 | 0.500 ** | 0.400 * | 1 | - | |
| EC | 0.192 | −0.616 ** | -0.173 | 0.665 ** | 0.451** | 0.626 ** | 0.540 ** | 0.278 | −0.143 | 0.096 | 0.402 * | 0.285 | 1 | |
| Group B | Temperature | 1 | - | - | - | - | - | - | - | - | - | - | - | - |
| DO | 0.360 | 1 | - | - | - | - | - | - | - | - | - | - | - | |
| pH | 0.544 | −0.104 | 1 | - | - | - | - | - | - | - | - | - | - | |
| CODMn | −0.102 | −0.863 ** | 0.456 | 1 | - | - | - | - | - | - | - | - | - | |
| BOD5 | -0.124 | −0.441 | −0.136 | 0.494 | 1 | - | - | - | - | - | - | - | - | |
| NH4+–N | −0.272 | −0.689 * | 0.187 | 0.790 ** | 0.731 * | 1 | - | - | - | - | - | - | - | |
| TP | −0.608 | −0.748 * | −0.178 | 0.486 | 0.419 | 0.570 | 1 | - | - | - | - | - | - | |
| Hg | 0.258 | −0.231 | 0.149 | 0.366 | 0.306 | 0.534 | −0.183 | 1 | - | - | - | - | - | |
| Pb | 0.003 | 0.420 | −0.613 | −0.544 | 0.434 | −0.104 | −0.096 | −0.045 | 1 | - | - | - | - | |
| Volatile Phenols | −0.152 | −0.670 * | −0.092 | 0.644 * | 0.588 | 0.808 ** | 0.404 | 0.732 * | −0.010 | 1 | - | - | - | |
| Petrol | −0.385 | −0.117 | −0.534 | −0.091 | 0.689 * | 0.286 | 0.549 | −0.252 | 0.747 * | 0.146 | 1 | - | - | |
| E. coli | 0.081 | −0.474 | 0.734 * | 0.786 ** | 0.094 | 0.598 | 0.219 | 0.291 | −0.752 * | 0.347 | −0.429 | 1 | - | |
| EC | −0.037 | −0.786 ** | 0.435 | 0.721 * | 0.165 | 0.558 | 0.510 | 0.413 | −0.586 | 0.468 | −0.184 | 0.562 | 1 | |
| Group C | Temperature | 1 | - | - | - | - | - | - | - | - | - | - | - | - |
| DO | 0.092 | 1 | - | - | - | - | - | - | - | - | - | - | - | |
| pH | 0.351 | 0.709 ** | 1 | - | - | - | - | - | - | - | - | - | - | |
| CODMn | 0.495 * | −0.039 | 0.229 | 1 | - | - | - | - | - | - | - | - | - | |
| BOD5 | 0.648 ** | 0.060 | 0.409 | 0.90 2 ** | 1 | - | - | - | - | - | - | - | - | |
| NH4+–N | 0.252 | −0.338 | −0.227 | 0.482 * | 0.588 ** | 1 | - | - | - | - | - | - | - | |
| TP | 0.407 | −0.136 | 0.384 | 0.607 ** | 0.665 ** | 0.299 | 1 | - | - | - | - | - | - | |
| Hg | 0.429 * | 0.162 | 0.500* | 0.195 | 0.320 | −0.086 | 0.673 ** | 1 | - | - | - | - | - | |
| Pb | 0.078 | −0.059 | 0.264 | −0.438 * | −0.297 | −0.318 | 0.218 | 0.468 * | 1 | - | - | - | - | |
| Volatile Phenols | 0.567 ** | −0.080 | 0.082 | 0.620 ** | 0.624 ** | 0.492 * | 0.442 * | 0.300 | −0.232 | 1 | - | - | - | |
| Petrol | 0.504 * | −0.023 | 0.077 | 0.744 ** | 0.722 ** | 0.639 ** | 0.306 | 0.000 | −0.510 * | 0.866 ** | 1 | - | - | |
| E. coli | 0.271 | −0.251 | −0.101 | 0.566 ** | 0.549 ** | 0.664 ** | 0.295 | −0.080 | −0.419 | 0.774 ** | 0.805 ** | 1 | - | |
| EC | −0.149 | −0.349 | −0.512* | 0.335 | 0.009 | 0.139 | −0.131 | −0.421 * | −0.522 * | −0.032 | 0.109 | 0.205 | 1 | |
| Parameters | Group A | Group B | Group C | |||||||||||||
|---|---|---|---|---|---|---|---|---|---|---|---|---|---|---|---|---|
| VF1 | VF2 | VF3 | VF4 | VF5 | VF1 | VF2 | VF3 | VF4 | VF5 | VF6 | VF1 | VF2 | VF3 | VF4 | VF5 | |
| Temperature | −0.163 | 0.625 | −0.076 | 0.549 | −0.072 | −0.042 | −0.102 | −0.867 | −0.006 | 0.094 | 0.139 | −0.119 | −0.085 | 0.836 | 0.003 | −0.033 |
| DO | −0.290 | −0.741 | −0.117 | 0.058 | −0.017 | −0.665 | −0.070 | 0.439 | 0.008 | −0.030 | 0.404 | −0.036 | 0.870 | −0.142 | −0.105 | −0.017 |
| pH | −0.122 | 0.021 | 0.035 | 0.795 | −0.004 | 0.124 | −0.033 | −0.221 | 0.075 | 0.015 | 0.851 | 0.228 | 0.739 | 0.396 | 0.170 | −0.058 |
| CODMn | 0.860 | 0.041 | 0.032 | 0.021 | 0.097 | 0.710 | 0.285 | 0.178 | −0.202 | −0.047 | 0.184 | 0.823 | −0.147 | −0.003 | −0.023 | 0.040 |
| BOD5 | 0.774 | 0.061 | −0.006 | −0.02 | 0.053 | 0.226 | 0.759 | 0.187 | 0.153 | 0.074 | 0.207 | 0.713 | 0.312 | 0.181 | 0.158 | 0.078 |
| NH4+–N | 0.785 | −0.108 | 0.125 | −0.009 | 0.031 | 0.684 | 0.277 | 0.223 | 0.149 | 0.030 | 0.125 | 0.590 | 0.032 | −0.439 | 0.243 | −0.041 |
| TP | 0.370 | 0.108 | 0.725 | −0.131 | 0.036 | 0.564 | −0.178 | 0.045 | 0.549 | −0.195 | 0.055 | 0.230 | −0.150 | −0.207 | 0.754 | −0.158 |
| Hg | 0.080 | 0.387 | −0.097 | 0.012 | 0.631 | 0.183 | −0.050 | 0.093 | −0.137 | 0.718 | 0.205 | 0.169 | 0.321 | 0.557 | −0.107 | −0.160 |
| Pb | −0.067 | −0.208 | 0.061 | −0.035 | 0.806 | −0.202 | 0.088 | −0.120 | 0.189 | 0.754 | −0.200 | −0.086 | 0.189 | 0.310 | 0.176 | −0.567 |
| Volatile Phenol | 0.455 | −0.371 | 0.002 | 0.413 | 0.015 | 0.331 | 0.022 | 0.434 | −0.122 | 0.245 | −0.151 | 0.510 | 0.145 | −0.242 | −0.134 | −0.142 |
| Petrol | 0.283 | 0.059 | 0.010 | −0.042 | −0.112 | −0.035 | 0.792 | −0.046 | −0.183 | −0.030 | −0.247 | 0.712 | 0.023 | 0.078 | −0.113 | 0.165 |
| E. coli | −0.139 | −0.026 | 0.865 | 0.116 | −0.038 | −0.128 | 0.013 | −0.057 | 0.882 | 0.071 | 0.057 | −0.295 | 0.137 | 0.112 | 0.759 | 0.180 |
| EC | 0.687 | 0.206 | 0.015 | −0.241 | −0.023 | 0.793 | −0.105 | 0.016 | −0.073 | 0.049 | 0.062 | 0.050 | 0.055 | 0.042 | 0.113 | 0.794 |
| Eigenvalue | 3.125 | 1.402 | 1.276 | 1.119 | 1.036 | 2.832 | 1.638 | 1.251 | 1.213 | 1.076 | 1.044 | 2.664 | 2.058 | 1.368 | 1.121 | 1.052 |
| %Total Variance | 24.036 | 10.786 | 9.817 | 8.608 | 7.971 | 21.781 | 12.599 | 9.620 | 9.331 | 8.280 | 8.033 | 20.494 | 15.835 | 10.523 | 8.623 | 8.095 |
| Cumulative% Variance | 24.036 | 34.822 | 44.639 | 53.246 | 61.217 | 21.781 | 34.381 | 44.001 | 53.331 | 61.611 | 69.645 | 20.494 | 36.329 | 46.852 | 55.474 | 63.570 |
| Periods | KMO | Bartlett’s Sphericity | Significance | |
|---|---|---|---|---|
| Group A | HF Period | 0.704 | 1487.28 | 0.000 |
| LF Period | 0.702 | 771.018 | 0.000 | |
| NF Period | 0.582 | 545.283 | 0.000 | |
| Group B | HF Period | 0.632 | 443.34 | 0.000 |
| LF Period | 0.533 | 173.94 | 0.000 | |
| NF Period | 0.597 | 169.06 | 0.000 | |
| Group C | HF period | 0.662 | 925.21 | 0.000 |
| LF period | 0.571 | 556.05 | 0.000 | |
| NF Period | 0.484 | 251.88 | 0.000 | |
| Periods | VF1 | VF2 | VF3 | VF4 | VF5 | |
|---|---|---|---|---|---|---|
| Group A | HF | Oxygen Consuming + Toxic Organic Pollution | Nutrient + Fecal Pollution | Heavy Metal Pollution (Hg) | Physicochemical Pollution | Heavy Metal Pollution (Pb) |
| LF | Oxygen Consuming Organic Pollution | Physicochemical Pollution | Nutrient + Fecal Pollution | Toxic Organic Pollution | Heavy Metal Pollution (Pb) | |
| NF | Oxygen Consuming Organic Pollution | Nutrient + Fecal Pollution | Nature Pollution | Toxic Organic Pollution | Physicochemical Pollution | |
| Group B | HF | Oxygen Consuming Organic Pollution | Oil Pollution | Nutrient + Fecal Pollution | Toxic Organic Pollution | Heavy Metal Pollution |
| LF | Oxygen Consuming Organic + Oil Pollution | Fecal Pollution | Physicochemical Pollution | Heavy Metal Pollution (Pb) | - | |
| NF | Oxygen Consuming Organic Pollution + Fecal Pollution | Nutrient + Heavy Metal Pollution (Hg) | Physicochemical Pollution | Toxic Organic Pollution | - | |
| Group C | HF | Oxygen Consuming Organic + Oil Pollution | Physicochemical Pollution | Nutrient + Fecal Pollution | Heavy Metal Pollution | - |
| LF | Oil + Oxygen Consuming Organic Pollution | Heavy Metal Pollution (Hg) | Nutrient Pollution | Fecal Pollution | Heavy Metal Pollution (Pb) | |
| NF | Oxygen Consuming Organic + Toxic Organic + Oil Pollution | Heavy Metal Pollution (Hg) | Heavy Metal Pollution (Pb) | Nutrient + Fecal Pollution | Physicochemical Pollution | |
| Groups | Principal Component Analysis (PCA) | Positive Matrix Factorization (PMF) | ||
|---|---|---|---|---|
| Source | Explained Variance (%) | Sources | Contribution to the Total Mass (%) | |
| Group A | Cropland and Woodland Runoff | 24.0 | Cropland and Woodland Runoff | 22.2 |
| Seasonal Changes | 10.8 | Domestic Wastewater | 5.0 | |
| Local Livestock Farms and Domestic Wastewater | 9.8 | Oil Pollution | 4.3 | |
| Physicochemical Source of the Variability | 8.6 | Seasonal Changes | 19.0 | |
| Mining Activity | 8.6 | Local Livestock Farms Wastewater, Mining Activity | 49.5 | |
| Others | 38.1 | - | - | |
| Group B | Domestic Wastewater and Sewage Treatment Works | 21.8 | Industrial Sewage and Seasonal Change | 33.2 |
| Oil Production and Petroleum Chemical Industry | 12.6 | Physicochemical Source | 13.7 | |
| Seasonal Changes | 9.6 | Local Livestock Farms and Domestic Wastewater | 20.3 | |
| Local Livestock Farms Wastewater | 9.3 | Gas-Fired and Cooking Water From Industry | 28.0 | |
| Industrial Sewage | 8.3 | Oil Production and Petroleum Chemical Industry | 4.8 | |
| Physicochemical Source | 8.0 | - | - | |
| Others | 30.4 | - | - | |
| Group C | Oil production and Petroleum Chemical Industry | 20.5 | Domestic Wastewater | 4.6 |
| Physicochemical Sources | 15.8 | Industrial Sewage and Seasonal Change | 44.0 | |
| Industrial Sewage | 10.5 | Industrial Sewage and Physicochemical Sources | 39.0 | |
| Local Livestock Farms and Domestic Wastewater | 8.6 | Local Livestock Farms Wastewater | 2.1 | |
| Seasonal Changes | 8.1 | Oil Production and Petroleum Chemical Industry | 10.0 | |
| Others | 36.4 | - | - | |
© 2016 by the authors; licensee MDPI, Basel, Switzerland. This article is an open access article distributed under the terms and conditions of the Creative Commons Attribution (CC-BY) license (http://creativecommons.org/licenses/by/4.0/).
Share and Cite
Chen, J.; Li, F.; Fan, Z.; Wang, Y. Integrated Application of Multivariate Statistical Methods to Source Apportionment of Watercourses in the Liao River Basin, Northeast China. Int. J. Environ. Res. Public Health 2016, 13, 1035. https://doi.org/10.3390/ijerph13101035
Chen J, Li F, Fan Z, Wang Y. Integrated Application of Multivariate Statistical Methods to Source Apportionment of Watercourses in the Liao River Basin, Northeast China. International Journal of Environmental Research and Public Health. 2016; 13(10):1035. https://doi.org/10.3390/ijerph13101035
Chicago/Turabian StyleChen, Jiabo, Fayun Li, Zhiping Fan, and Yanjie Wang. 2016. "Integrated Application of Multivariate Statistical Methods to Source Apportionment of Watercourses in the Liao River Basin, Northeast China" International Journal of Environmental Research and Public Health 13, no. 10: 1035. https://doi.org/10.3390/ijerph13101035
APA StyleChen, J., Li, F., Fan, Z., & Wang, Y. (2016). Integrated Application of Multivariate Statistical Methods to Source Apportionment of Watercourses in the Liao River Basin, Northeast China. International Journal of Environmental Research and Public Health, 13(10), 1035. https://doi.org/10.3390/ijerph13101035
