Menelloides C and D, New Sesquiterpenoids from the Gorgonian Coral Menella sp.
Abstract
:1. Introduction
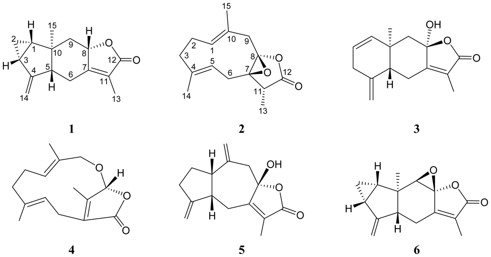
2. Results and Discussion
3. Experimental Section
3.1. General Experimental Procedures
3.2. Animal Material
3.3. Extraction and Isolation
3.4. Molecular Mechanics Calculations
3.5. Elastase Release by Human Neutrophils
4. Conclusions
Acknowledgments
- Samples Availability: Not available.
References and Notes
- Fabricius, K; Alderslade, P. Soft Corals and Sea Fans—A Comprehensive Guide to the Tropical Shallow-Water Genera of the Central-West Pacific, the Indian Ocean and the Red Sea, 1st ed; Australian Institute of Marine Science: Queensland, Australia, 2001; pp. 59–60. [Google Scholar]
- Deng, S; Peng, S; Li, F; Tan, X; Chen, J. A study on chemical constituents of South China Sea gorgonian Menella spinifera Kukenthal (I). Guangzhou Chem 1993, 44–47. [Google Scholar]
- Li, F; Deng, S; Rao, Z; Wu, H; Xu, J. Studies on chemical constituents of South China Sea gorgonian Menella spinifera Kukenthal (II). Guangzhou Chem 1996, 49–51. [Google Scholar]
- Deng, S; Li, F; Peng, S; Rao, Z; Wu, H; Xu, J. Chemical constituents of the South China Sea gorgonian Menella spinifera Kukenthal. Chin. J. Appl. Chem 1997, 14, 80–82. [Google Scholar]
- Zhang, W; Guo, Y-W; Mollo, E; Cimino, G. Menverins A–D, new highly oxygenated guaiane lactones from Hainan gorgonian Menella verrucosa (Brundin). Helv. Chim. Acta 2004, 87, 2919–2925. [Google Scholar]
- Zhang, W; Huang, H; Ding, Y; Gavagnin, M; Mollo, E; Cimino, G; Guo, Y-W. Three polyoxygenated steroids from two species of the South China Sea gorgonian Muricella flexuosa and Menella verrucosa Brundin. Helv. Chim. Acta 2006, 89, 813–820. [Google Scholar]
- Li, L; Wang, C-Y; Huang, H; Mollo, E; Cimino, G; Guo, Y-W. Further highly oxygenated guaiane lactones from the South China Sea gorgonian Menella sp. Helv. Chim. Acta 2008, 91, 111–117. [Google Scholar]
- Chai, X-Y; Sun, J-F; Tang, L-Y; Yang, X-W; Li, Y-Q; Huang, H; Zhou, X-F; Yang, B; Liu, Y. A novel cyclopentene derivative and a polyhydroxylated steroid from a South China Sea gorgonian Menella sp. Chem. Pharm. Bull 2010, 58, 1391–1394. [Google Scholar]
- Kao, S-Y; Chang, Y-C; Su, J-H; Lu, M-C; Chen, Y-H; Sheu, J-H; Wen, Z-H; Wang, W-H; Kuo, Y-H; Hwang, T-L; Sung, P-J. (−)-Hydroxylindestrenolide, a new sesquiterpenoid from a gorgonian coral Menella sp. (Plexauridae). Chem. Pharm. Bull 2011, 59, 1048–1050. [Google Scholar]
- Kao, S-Y; Su, J-H; Hwang, T-L; Sheu, J-H; Su, Y-D; Lin, C-S; Chang, Y-C; Wang, W-H; Fang, L-S; Sung, P-J. Discovery of novel sesquiterpenoids from a gorgonian Menella sp. Tetrahedron 2011, 67, 7311–7315. [Google Scholar]
- Uchida, M; Kusano, G; Kondo, Y; Nozoe, S; Takemoto, T. Two new sesquiterpenoids from Chloranthus glaber Makino. Heterocycles 1978, 9, 139–144. [Google Scholar]
- Uchida, M; Koike, Y; Kusano, G; Kondo, Y; Nozoe, S; Kabuto, C; Takemoto, T. Studies on the constituents of Chloranthus spp. III. Six sesquiterpenes from Chlorantus japonicus. Chem. Pharm. Bull 1980, 28, 92–102. [Google Scholar]
- The optical rotation value for chloranthalactone B (7) was reported as [α] −130.3 in the text of ref. 12. However, in the text of ref. 11 and in the experimental of ref. 12, the optical rotation values for chloranthalactone B (4) were reported as [α] −1303.3. The authors suggested that the optical rotation value [α] −1303.3 are typing errors in the text of ref. 11 and in the experimental of ref. 12.
- Kawabata, J; Tahara, S; Mizutani, J; Furusaki, A; Hashiba, N; Matsumoto, T. Shizukanolides, two sesquiterpenoids from Chloranthus japonicus (Chloranthaceae). Agric. Biol. Chem 1979, 43, 885–887. [Google Scholar]
- Kawabata, J; Tahara, S; Mizutani, J. Isolation and structural elucidation of four sesquiterpenes from Chloranthus japonicus (Chloranthaceae). Agric. Biol. Chem 1981, 45, 1447–1453. [Google Scholar]
- Allinger, NL. Conformational analysis. 130. MM2. A hydrocarbon force field utilizing V1 and V2 torsional terms. J. Am. Chem. Soc 1977, 99, 8127–8134. [Google Scholar]
- Hwang, T-L; Su, Y-C; Chang, H-L; Leu, Y-L; Chung, P-J; Kuo, L-M; Chang, Y-J. Suppression of superoxide anion and elastase release by C18 unsaturated fatty acids in human neutrophils. J. Lipid Res 2009, 50, 1395–1408. [Google Scholar]


| Menelloide C (1)
| ||||
|---|---|---|---|---|
| Position | δC, Mult. | δH (J in Hz) | 1H–1H COSY | HMBC |
| 1 | 28.9, CH | 1.38, ddd (7.5, 7.5, 3.5) | 2, 3 | n.o. a |
| 2α | 16.6, CH2 | 0.70, m | 1, 2β, 3 | n.o. |
| β | 0.84, m | 1, 2α, 3 | 4, 10 | |
| 3 | 23.8, CH | 2.02, m | 1, 2 | n.o. |
| 4 | 151.4, C | |||
| 5 | 56.5, CH | 3.02, m | 6 | n.o. |
| 6α | 22.9, CH2 | 2.35, dd (18.0, 12.5) | 5, 6β | 5, 7, 8 |
| β | 2.54, m | 5, 6α | n.o. | |
| 7 | 162.4, C | |||
| 8 | 78.4, CH | 5.19, m | 9 | n.o. |
| 9α | 43.3, CH2 | 1.82, dd (13.0, 9.0) | 8, 9β | 5, 7, 8, 10, 15 |
| β | 2.62, dd (13.0, 11.5) | 8, 9α | 7, 8, 15 | |
| 10 | 38.9, C | |||
| 11 | 122.6, C | |||
| 12 | 174.8, C | |||
| 13 | 8.6, CH3 | 1.82, s | 7, 11, 12 | |
| 14a | 106.6, CH2 | 5.03, s | 14b | 5 |
| b | 4.75, s | 14a | 5 | |
| 15 | 21.2, CH3 | 0.51, s | 1, 5, 9, 10 | |
| Menelloide C (1) | H/H | (Å) |
|---|---|---|
![]() | H-1/H-3 | 2.43 |
| H-1/H-9β | 2.42 | |
| H-5/H-8 | 2.68 | |
| H-8/H-9β | 2.30 | |
| H-9α/H3-15 | 2.58 |
| Menelloide D (2)
| ||||
|---|---|---|---|---|
| Position | δC, Mult. | δH (J in Hz) | 1H–1H COSY | HMBC (H→C) |
| 1 | 129.6, CH | 4.93, dd (11.0, 5.0) | 2 | 2, 9, 15 |
| 2α | 26.7, CH2 | 2.03, m | 1, 2β, 3 | 1, 3, 4, 10 |
| β | 2.12, m | 1, 2α, 3 | n.o. a | |
| 3α | 38.9, CH2 | 2.20, ddd (12.0, 3.0, 3.0) | 2, 3β | 1 |
| β | 1.74, ddd (12.0, 12.0, 4.0) | 2, 3α | 1, 2, 4, 5, 14 | |
| 4 | 130.5, C | |||
| 5 | 121.3, CH | 4.41, d (11.0) | 6 | 3 |
| 6α | 25.9, CH2 | 2.91, d (17.0) | 5, 6β | 4, 5, 7, 8 |
| β | 2.62, dd (17.0, 11.0) | 5, 6α | 4, 5, 7, 8 | |
| 7 | 71.0, C | |||
| 8 | 92.8, C | |||
| 9α | 40.6, CH2 | 3.01, d (14.5) | 9β | 1, 8, 10, 15 |
| β | 3.14, d (14.5) | 9α | 1, 7, 8, 10, 15 | |
| 10 | 131.3, C | |||
| 11 | 43.4, CH | 2.72, q (7.0) | 13 | 6, 7, 12, 13 |
| 12 | 175.6, C | |||
| 13 | 10.1, CH3 | 1.36, d (7.0) | 11 | 7, 11, 12 |
| 14 | 17.0, CH3 | 1.59, s | 3, 4, 5 | |
| 15 | 17.0, CH3 | 1.34, s | 1, 9, 10 | |
| Menelloide D (2) | H/H | (Å) |
|---|---|---|
![]() | H-2α/H3-15 | 2.50 |
| H-5/H-6α | 2.89 | |
| H-6α/H3-13 | 2.44 | |
| H-6β/H3-14 | 2.45 |
© 2011 by the authors; licensee MDPI, Basel, Switzerland This article is an open-access article distributed under the terms and conditions of the Creative Commons Attribution license (http://creativecommons.org/licenses/by/3.0/).
Share and Cite
Kao, S.-Y.; Su, J.-H.; Hwang, T.-L.; Sheu, J.-H.; Wen, Z.-H.; Wu, Y.-C.; Sung, P.-J. Menelloides C and D, New Sesquiterpenoids from the Gorgonian Coral Menella sp. Mar. Drugs 2011, 9, 1534-1542. https://doi.org/10.3390/md9091534
Kao S-Y, Su J-H, Hwang T-L, Sheu J-H, Wen Z-H, Wu Y-C, Sung P-J. Menelloides C and D, New Sesquiterpenoids from the Gorgonian Coral Menella sp. Marine Drugs. 2011; 9(9):1534-1542. https://doi.org/10.3390/md9091534
Chicago/Turabian StyleKao, Shih-Yao, Jui-Hsin Su, Tsong-Long Hwang, Jyh-Horng Sheu, Zhi-Hong Wen, Yang-Chang Wu, and Ping-Jyun Sung. 2011. "Menelloides C and D, New Sesquiterpenoids from the Gorgonian Coral Menella sp." Marine Drugs 9, no. 9: 1534-1542. https://doi.org/10.3390/md9091534
APA StyleKao, S.-Y., Su, J.-H., Hwang, T.-L., Sheu, J.-H., Wen, Z.-H., Wu, Y.-C., & Sung, P.-J. (2011). Menelloides C and D, New Sesquiterpenoids from the Gorgonian Coral Menella sp. Marine Drugs, 9(9), 1534-1542. https://doi.org/10.3390/md9091534



