Marine-Derived Diterpenes from 2019 to 2024: Structures, Biological Activities, Synthesis and Potential Applications
Abstract
1. Introduction
2. Classification of Marine-Derived Diterpenoids
2.1. Acyclic or Monocyclic Diterpenes
2.2. Bicyclic Diterpenes (1–11)
2.3. Tricyclic Diterpene (12–23)
2.4. Tetracyclic Diterpene (24–51)
2.5. Pentacyclic Diterpenes (52–56)
2.6. Other Types of Diterpenes
2.6.1. Indole Diterpenes (57–103)
2.6.2. Alkaloids Diterpene (104–113)
2.6.3. Cembrane Diterpenoids (114–191)
2.6.4. Naphthene Diterpene (192–264)
2.6.5. Diterpenoid Glycosides (265–304)
2.6.6. Clerodane Diterpenes (305–311)
2.6.7. Eunicellin-Type Diterpenes (312–315)
2.6.8. Lobane Diterpenoids (316–333)
2.6.9. Diterpene Derivative (334–386)
2.6.10. Casbane-Type Diterpenoids (387–397)
2.6.11. Cembranoid Diterpene (398–413)
2.6.12. Acetoxy Diterpene (414–423)
2.6.13. Harziane-Type Diterpene (424–439)
2.6.14. Bis-Diterpenes (Diterpene Dimers) (440–441)
2.6.15. Capnosane Diterpenes (442–447)
3. Diterpenoids Biological Activities of Marine-Derived Diterpenoids
3.1. Antiviral Activity
3.2. Anti-Inflammatory Activity
3.3. Antibacterial Activity
3.4. Antineoplastic Activity
3.5. Antifouling Activity
3.6. Others Activity
4. Synthesis of Marine-Derived Diterpenoids
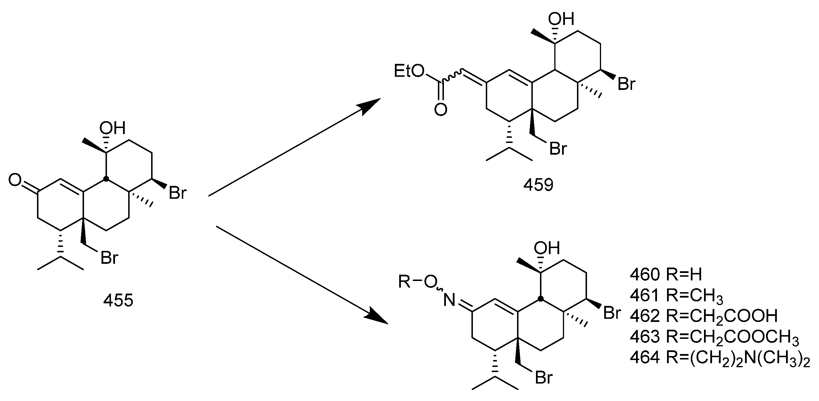
4.1. Synthesis of Analogs of Bromosphaerol
4.2. Synthesis of Diterpene-Type Aminotriol Derivatives
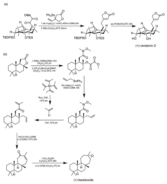
4.3. Synthetic of the Diterpenes (+)-Randainin D and (+)-Barekoxide
5. Conclusions
Author Contributions
Funding
Institutional Review Board Statement
Data Availability Statement
Conflicts of Interest
Abbreviations
| MIC | Minimum inhibitory concentration |
| MIC90 | 90% minimum inhibitory concentration |
| MRSA | Methicillin-resistant Staphylococcus aureus |
| E. coli | Escherichia coli |
| XDR | Extensively drug-resistant |
| NMR | Nuclear magnetic resonance |
| MS | Mass spectroscopic |
| QM | Quantum mechanics |
| QM-NMR | Quantum mechanics-nuclear magnetic resonance |
| TDDFT | Time-dependent density functional theory |
| ECD | Electronic circular dichroism |
| HRESIMS | High-resolution electrospray ionization mass spectrometry |
| CD | Circular dichroism |
| NOESY | Nuclear Overhauser effect spectroscopy |
| HSQC | Heteronuclear single-quantum coherence |
| HMBC | Heteronuclear multiple bond correlation |
| NOE | Nuclear overhauser effect |
| IC50 | Half-maximal inhibitory concentration |
| LC50 | Toxicity levels |
| EC50 | Anti-settlement activity |
| RDC | Residual dipolar coupling |
| TDDFT-ECD | Time-dependent density functional theory-electronic circular dichroism |
| FTIR | Fourier Transform Infrared Spectroscopy |
| OR | Optical Rotatory |
| LPS | Lipopolysaccharide |
| sEH | Soluble epoxide hydrolase |
| PBMC | Peripheral blood mononuclear cells |
| PTP1B | Protein tyrosine phosphatase 1B |
| RSV | Respiratory syncytial virus |
| MD | Molecular dynamics |
| fMLF/CB | Formyl-methionyl-leucyl-phenylalanine/cytochalasin B |
| COX-2 | Enzyme cyclooxygenase-2 |
| PGE2 | Prostaglandin E2 |
| IgE | Immunoglobulin E |
| IR | Infrared |
| HR-APCI-MS | High-Resolution Atmospheric Pressure Chemical Ionization Mass Spectrometry |
References
- Gao, Y.Y.; Liu, Q.M.; Liu, B.; Xie, C.L.; Cao, M.J.; Yang, X.W.; Liu, G.M. Inhibitory Activities of Compounds from the Marine Actinomycete Williamsia sp. MCCC 1A11233 Variant on IgE-Mediated Mast Cells and Passive Cutaneous Anaphylaxis. J. Agric. Food Chem. 2017, 65, 10749–10756. [Google Scholar] [CrossRef]
- Montuori, E.; Hyde, C.A.C.; Crea, F.; Golding, J.; Lauritano, C. Marine Natural Products with Activities against Prostate Cancer: Recent Discoveries. Int. J. Mol. Sci. 2023, 24, 1435. [Google Scholar] [CrossRef]
- Bisio, A.; Pedrelli, F.; D’ambola, M.; Labanca, F.; Schito, A.M.; Govaerts, R.; De Tommasi, N.; Milella, L. Quinone diterpenes from Salvia species: Chemistry, botany, and biological activity. Phytochem. Rev. 2019, 18, 665–842. [Google Scholar] [CrossRef]
- Chen, J.; Li, H.; Zhao, Z.; Xia, X.; Li, B.; Zhang, J.; Yan, X. Diterpenes from the marine algae of the genus Dictyota. Mar. Drugs. 2018, 16, 159. [Google Scholar] [CrossRef]
- Zhang, N.; Xu, W.; Yan, Y.; Chen, M.; Li, H.; Chen, L. Cembrane diterpenoids: Chemistry and pharmacological activities. Phytochemistry 2023, 212, 113703. [Google Scholar] [CrossRef] [PubMed]
- Ndjoubi, K.O.; Sharma, R.; Hussein, A.A. The Potential of Natural Diterpenes Against Tuberculosis: An Updated Review. Curr. Pharm. Des. 2020, 26, 2909–2932. [Google Scholar] [CrossRef] [PubMed]
- Paz, M.F.C.J.; Islam, M.T.; Tabrez, S.; Firoz, C.K.; Jabir, N.R.; Kamal, M.A.; Melo-Cavalcante, A.A.C.; Almeida, F.R.C. Effect of Diterpenes on Hepatic System. Curr. Pharm. Des. 2018, 24, 4093–4100. [Google Scholar] [CrossRef]
- Wu, P.Q.; Cui, Y.S.; Han, X.Y.; Wang, C.; An, P.P.; Zhou, J.S.; Ren, Y.H.; Liu, Z.L.; Lin, R.T.; Zhou, B.; et al. Diterpenoids from Sauropus spatulifolius Leaves with Antimicrobial Activities. J. Nat. Prod. 2022, 85, 1304–1314. [Google Scholar] [CrossRef]
- Siless, G.E.; García, M.; Pérez, M.; Blustein, G.; Palermo, J.A. Large-scale purification of pachydictyol A from the brown alga Dictyota dichotoma obtained from algal wash and evaluation of its antifouling activity against the freshwater mollusk Limnoperna fortunei. J. Appl. Phycol. 2018, 30, 629–636. [Google Scholar] [CrossRef]
- Wang, X.; Yu, H.; Zhang, Y.; Lu, X.; Wang, B.; Liu, X. Bioactive Pimarane-Type diterpenes from marine organisms. Chem. Biodivers 2018, 15, e1700276. [Google Scholar] [CrossRef]
- Yu, H.B.; Gu, B.B.; Wang, S.P.; Cheng, C.W.; Yang, F.; Lin, H.W. New diterpenoids from the marine sponge Dactylospongia elegans. Tetrahedron 2017, 73, 6657–6661. [Google Scholar] [CrossRef]
- Guo, L.; Tsang, S.W.; Zhang, T.X.; Liu, K.L.; Guan, Y.F.; Wang, B.; Sun, H.D.; Zhang, H.J.; Wong, M.S. Efficient Semisynthesis of (-)-Pseudoirroratin A from (-)-Flexicaulin A and Assessment of Their Antitumor Activities. ACS Med. Chem. Lett. 2017, 8, 372–376. [Google Scholar] [CrossRef]
- Smanski, M.J.; Peterson, R.M.; Shen, B. Platensimycin and platencin biosynthesis in Streptomyces platensis, showcasing discovery and characterization of novel bacterial diterpene synthases. Methods Enzymol. 2012, 515, 163–186. [Google Scholar] [PubMed]
- Thawabteh, A.M.; Swaileh, Z.; Ammar, M.; Jaghama, W.; Yousef, M.; Karaman, R.; Bufo, S.A.; Scrano, L. Antifungal and Antibacterial Activities of Isolated Marine Compounds. Toxins 2023, 15, 93. [Google Scholar] [CrossRef] [PubMed]
- Brahmkshatriya, P.P.; Brahmkshatriya, P.S. Terpenes: Chemistry, Biological Role, and Therapeutic Applications; Springer: Berlin/Heidelberg, Germany, 2013. [Google Scholar]
- Davis, E.M.; Croteau, R. Cyclization Enzymes in the Biosynthesis of Monoterpenes, Sesquiterpenes, and Diterpenes. In Topics in Current Chemistry; Springer: Berlin/Heidelberg, Germany, 2000. [Google Scholar]
- Smyrniotopoulos, V.; de Andrade Tomaz, A.C.; Vanderlei de Souza, M.D.F.; Leitão da Cunha, E.V.; Kiss, R.; Mathieu, V.; Ioannou, E.; Roussis, V. Halogenated Diterpenes with In Vitro Antitumor Activity from the Red Alga Sphaerococcus coronopifolius. Mar. Drugs 2020, 18, 29. [Google Scholar] [CrossRef]
- Fukada, R.; Yamagishi, Y.; Nagasaka, M.; Osada, D.; Nimura, K.; Oshima, I.; Tsujimoto, K.; Kirihara, M.; Takizawa, S.; Kikuchi, N.; et al. Antifouling Brominated Diterpenoids from Japanese Marine Red Alga Laurencia venusta Yamada. Chem. Biodivers. 2023, 20, e202300888. [Google Scholar] [CrossRef] [PubMed]
- Afoullouss, S.; Young, R.M.; Jennings, L.K.; Doyle, J.; Croke, K.; Livorsi, D.; Adams, J.H.; Johnson, M.P.; Thomas, O.P.; Allcock, A.L. Xeniaphyllane and Xeniolide Diterpenes from the Deep-Sea Soft Coral Paragorgia arborea. ACS Omega 2024, 9, 41914–41922. [Google Scholar] [CrossRef]
- Yang, M.; Li, X.L.; Wang, J.R.; Lei, X.; Tang, W.; Li, X.W.; Sun, H.; Guo, Y.W. Sarcomililate A, an Unusual Diterpenoid with Tricyclo[11.3.0.02,16]hexadecane Carbon Skeleton, and Its Potential Biogenetic Precursors from the Hainan Soft Coral Sarcophyton mililatensis. J. Org. Chem. 2019, 84, 2568–2576. [Google Scholar] [CrossRef] [PubMed]
- Kurnianda, V.; Faradilla, S.; Karina, S.; Agustina, S.; Ulfah, M.; Octavina, C.; Syahliza, F.; Ramadhan, M.R.; Purnawan, S.; Musman, M. Polyoxygenated diterpene produced by the indonesian marine sponge Callyspongia sp. as an inhibitor of the human pancreatic cancer cells. Microbiol. Indones. 2019, 13, 70–74. [Google Scholar] [CrossRef]
- Liu, J.; Li, H.; Wu, M.J.; Tang, W.; Wang, J.R.; Gu, Y.C.; Wang, H.; Li, X.W.; Guo, Y.W. Sinueretone A, a Diterpenoid with Unprecedented Tricyclo[12.1.0.05,9]pentadecane Carbon Scaffold from the South China Sea Soft Coral Sinularia erecta. J. Org. Chem. 2021, 86, 10975–10981. [Google Scholar] [CrossRef]
- Prieto, I.M.; Paola, A.; Pérez, M.; García, M.; Blustein, G.; Schejter, L.; Palermo, J.A. Antifouling Diterpenoids from the Sponge Dendrilla antarctica. Chem. Biodivers. 2022, 19, e202100618. [Google Scholar] [CrossRef]
- Liang, Y.Q.; Liao, X.J.; Ling, L.; Yang, Y.T.; Zhao, B.X.; Xu, S.H. A New Dinorspongian Diterpene with Pyridyl D-Ring from the Marine Sponge Spongia sp. Chin. J. Org. Chem. 2022, 42, 901–904. [Google Scholar] [CrossRef]
- Harizani, M.; Diakaki, D.-I.; Perdikaris, S.; Roussis, V.; Ioannou, E. New C15 Acetogenins from Two Species of Laurencia from the Aegean Sea. Molecules 2022, 27, 1866. [Google Scholar] [CrossRef]
- Tammam, M.A.; Daskalaki, M.G.; Tsoureas, N.; Kolliniati, O.; Mahdy, A.; Kampranis, S.C.; Tsatsanis, C.; Roussis, V.; Ioannou, E. Secondary Metabolites with Anti-Inflammatory Activity from Laurencia majuscula Collected in the Red Sea. Mar. Drugs 2023, 21, 79. [Google Scholar] [CrossRef]
- Leonelli, F.; Valletta, A.; Migneco, L.M.; Marini Bettolo, R. Stemarane Diterpenes and Diterpenoids. Int. J. Mol. Sci. 2019, 20, 2627. [Google Scholar] [CrossRef] [PubMed]
- Hayton, J.B.; Grant, G.D.; Carroll, A.R. Three New Spongian Diterpenes from the Marine Sponge Dendrilla rosea. Aust. J. Chem. 2019, 72, 964–968. [Google Scholar] [CrossRef]
- Niu, S.; Peng, G.; Xia, J.M.; Xie, C.L.; Li, Z.; Yang, X.W. A new pimarane diterpenoid from the Botryotinia fuckeliana fungus isolated from deep-sea water. Chem. Biodivers. 2019, 16, e1900519. [Google Scholar] [CrossRef]
- Niu, S.; Xie, C.L.; Xia, J.M.; Liu, Q.M.; Peng, G.; Liu, G.M.; Yang, X.W. Botryotins A–H, tetracyclic diterpenoids representing three carbon skeletons from a deep-sea-derived Botryotinia fuckeliana. Org. Lett. 2020, 22, 580–583. [Google Scholar] [CrossRef] [PubMed]
- Li, G.; Li, H.; Tang, W.; Guo, Y.W.; Li, X.W. Klyflaccilides A and B, Diterpenoids with 6/5/8/3 Fused Tetracyclic Carbon Skeleton from the Hainan Soft Coral Klyxum flaccidum. Org. Lett. 2019, 21, 5660–5664. [Google Scholar] [CrossRef] [PubMed]
- Pech-Puch, D.; Rodríguez, J.; Cautain, B.; Sandoval-Castro, C.A.; Jimenez, C. Cytotoxic furanoditerpenes from the sponge Spongia tubulifera collected in the Mexican Caribbean. Mar. Drugs 2019, 17, 416. [Google Scholar] [CrossRef]
- Chen, Q.; Mao, Q.; Bao, M.; Mou, Y.; Fang, C.; Zhao, M.; Jiang, W.; Yu, X.; Wang, C.; Dai, L.; et al. Spongian Diterpenes Including One with a Rearranged Skeleton from the Marine Sponge Spongia officinalis. J. Nat. Prod. 2019, 82, 1714–1718. [Google Scholar] [CrossRef] [PubMed]
- Liang, Y.Q.; Liao, X.J.; Lin, J.L.; Xu, W.; Chen, G.D.; Zhao, B.X.; Xu, S.H. Spongiains A–C: Three new spongian diterpenes with ring A rearrangement from the marine sponge Spongia sp. Tetrahedron 2019, 75, 3802–3808. [Google Scholar] [CrossRef]
- Nagasaka, M.; Isa, H.; Tahara, A.; Fukada, R.; Kamada, T.; Ishii, T. Diversity of Halogenated Secondary Metabolites in Okinawan Aplysia argus Including 12-Hydroxypinnaterpene C and Their Feeding Targets. Chem. Biodivers. 2023, 20, e202300791. [Google Scholar] [CrossRef] [PubMed]
- Tai, C.J.; Huang, C.Y.; Ahmed, A.F.; Orfali, R.S.; Alarif, W.M.; Huang, Y.M.; Wang, Y.-H.; Hwang, T.-L.; Sheu, J.-H. An Anti-Inflammatory 2,4-Cyclized-3,4-Secospongian Diterpenoid and Furanoterpene-Related Metabolites of a Marine Sponge Spongia sp. from the Red Sea. Mar. Drugs 2021, 19, 38. [Google Scholar] [CrossRef] [PubMed]
- Tai, C.J.; Ahmed, A.F.; Chao, C.-H.; Yen, C.-H.; Hwang, T.-L.; Chang, F.-R.; Huang, Y.M.; Sheu, J.-H. Spongenolactones A–C, Bioactive 5,5,6,6,5-Pentacyclic Spongian Diterpenes from the Red Sea Sponge Spongia sp. Mar. Drugs 2022, 20, 498. [Google Scholar] [CrossRef] [PubMed]
- Chen, M.Y.; Xie, Q.Y.; Kong, F.D.; Ma, Q.Y.; Zhou, L.M.; Yuan, J.Z.; Dai, H.F.; Wu, Y.G.; Zhao, Y.X. Two new indole-diterpenoids from the marine-derived fungus Penicillium sp. KFD28. J. Asian Nat. Prod. Res. 2021, 23, 1030–1036. [Google Scholar] [CrossRef] [PubMed]
- Dai, L.T.; Yang, L.; Kong, F.D.; Ma, Q.Y.; Xie, Q.Y.; Dai, H.F.; Yu, Z.F.; Zhao, Y.X. Cytotoxic Indole-Diterpenoids from the Marine-Derived Fungus Penicillium sp. KFD28. Mar. Drugs 2021, 19, 613. [Google Scholar] [CrossRef]
- Kankanamge, S.; Khalil, Z.G.; Bernhardt, P.V.; Capon, R.J. Noonindoles A-F: Rare Indole Diterpene Amino Acid Conjugates from a Marine-Derived Fungus, Aspergillus noonimiae CMB-M0339. Mar. Drugs 2022, 20, 698. [Google Scholar] [CrossRef] [PubMed]
- Zhang, Y.H.; Li, L.; Li, Y.Q.; Luo, J.H.; Li, W.; Li, L.F.; Zheng, C.J.; Cao, F. Oxalierpenes A and B, Unusual Indole-Diterpenoid Derivatives with Antiviral Activity from a Marine-Derived Strain of the Fungus Penicillium oxalicum. J. Nat. Prod. 2022, 85, 1880–1885. [Google Scholar] [CrossRef]
- Pang, S.; Guo, Z.G.; Wang, L.; Guo, Q.F.; Cao, F. Anti-IAV indole-diterpenoids from the marine-derived fungus Penicillium citrinum. Nat. Prod. Res. 2023, 37, 586–591. [Google Scholar] [CrossRef]
- Dai, L.T.; Yang, L.; Guo, J.C.; Ma, Q.Y.; Xie, Q.Y.; Jiang, L.; Yu, Z.F.; Dai, H.F.; Zhao, Y.X. Anti-diabetic and anti-inflammatory indole diterpenes from the marine-derived fungus Penicillium sp. ZYX-Z-143. Bioorg Chem. 2024, 145, 107205. [Google Scholar] [CrossRef]
- Jomori, T.; Setiawan, A.; Sasaoka, M.; Arai, M. Cytotoxicity of New Diterpene Alkaloids, Ceylonamides G-I, Isolated From Indonesian Marine Sponge of Spongia sp. Nat. Product. Commun. 2019, 14, 461–477. [Google Scholar] [CrossRef]
- Choi, C.; Cho, Y.; Son, A.; Shin, S.W.; Lee, Y.J.; Park, H.C. Therapeutic Potential of (-)-Agelamide D, a Diterpene Alkaloid from the Marine Sponge Agelas sp., as a Natural Radiosensitizer in Hepatocellular Carcinoma Models. Mar. Drugs 2020, 18, 500. [Google Scholar] [CrossRef]
- Pech-Puch, D.; Forero, A.M.; Fuentes-Monteverde, J.C.; Lasarte-Monterrubio, C.; Martinez-Guitian, M.; González-Salas, C.; Guillén-Hernández, S.; Villegas-Hernández, H.; Beceiro, A.; Griesinger, C.; et al. Antimicrobial Diterpene Alkaloids from an Agelas citrina Sponge Collected in the Yucatán Peninsula. Mar. Drugs 2022, 20, 298. [Google Scholar] [CrossRef] [PubMed]
- Tani, K.; Kamada, T.; Phan, C.S.; Vairappan, C.S. New cembrane-type diterpenoids from Bornean soft coral Nephthea sp. With antifungal activity against Lagenidium thermophilum. Nat. Prod. Res. 2019, 33, 3343–3349. [Google Scholar] [CrossRef] [PubMed]
- Bu, Q.; Yang, M.; Yan, X.Y.; Yao, L.G.; Guo, Y.W.; Liang, L.F. New flexible cembrane-type macrocyclic diterpenes as TNF-α inhibitors from the South China Sea soft coral Sarcophyton mililatensis. Int. J. Biol. Macromol. 2022, 222 Pt A, 880–886. [Google Scholar] [CrossRef]
- Zhang, L.; Yang, M.; Chen, Z.H.; Ge, Z.Y.; Li, S.W.; Yan, X.Y.; Yao, L.G.; Liang, L.F.; Guo, Y.W. Cembrane Diterpenes Possessing Nonaromatic Oxacycles from the Hainan Soft Coral Sarcophyton mililatensis. Int. J. Mol. Sci. 2023, 24, 1979. [Google Scholar] [CrossRef]
- Song, Y.-T.; Yu, D.-D.; Su, M.-Z.; Luo, H.; Cao, J.-G.; Liang, L.-F.; Yang, F.; Guo, Y.-W. Structurally Diverse Diterpenes from the South China Sea Soft Coral Sarcophyton trocheliophorum. Mar. Drugs 2023, 21, 69. [Google Scholar] [CrossRef]
- Zhu, S.H.; Yu, D.D.; Su, M.Z.; Luo, H.; Yao, L.G.; Gu, F.; Liang, L.F.; Wang, H.; Guo, Y.W. Oxygenated Cembrane Diterpenes from the South China Sea Soft Coral Sinularia tumulosa. Chem. Biodivers. 2023, 20, e202300589. [Google Scholar] [CrossRef] [PubMed]
- Ebihara, A.; Taguchi, R.; Jeelani, G.; Nozaki, T.; Suenaga, K.; Iwasaki, A. Kagimminols A and B, Cembrene-Type Diterpenes from an Okeania sp. Marine Cyanobacterium. J. Nat. Prod. 2024, 87, 1116–1123. [Google Scholar] [CrossRef]
- Wang, C.; Zhang, J.; Li, K.; Yang, J.; Li, L.; Wang, S.; Hou, H.; Li, P. Terpenoids from the Soft Coral Sinularia densa Collected in the South China Sea. Mar. Drugs 2024, 22, 442. [Google Scholar] [CrossRef] [PubMed]
- Zhu, S.H.; Chang, Y.M.; Su, M.Z.; Yao, L.G.; Li, S.W.; Wang, H.; Guo, Y.W. Nine New Antibacterial Diterpenes and Steroids from the South China Sea Soft Coral Lobophytum catalai Tixier-Durivault. Mar. Drugs 2024, 22, 50. [Google Scholar] [CrossRef]
- Shen, S.M.; Yu, D.D.; Ke, L.M.; Yao, L.G.; Su, M.Z.; Guo, Y.W. Polyoxygenated cembrane-type diterpenes from the Hainan soft coral Lobophytum crassum as a promising source of anticancer agents with ErbB3 and ROR1 inhibitory potential. Acta Pharmacol. Sin. 2025, 46, 196–207. [Google Scholar] [CrossRef]
- Cheng, Z.; Li, Y.; Xu, W.; Liu, W.; Liu, L.; Zhu, D.; Kang, Y.; Luo, Z.; Li, Q. Three new cyclopiane-type diterpenes from a deep-sea derived fungus Penicillium sp. YPGA11 and their effects against human esophageal carcinoma cells. Bioorg. Chem. 2019, 91, 103129–103133. [Google Scholar] [CrossRef] [PubMed]
- Yamada, T.; Fujii, A.; Kikuchi, T. New Diterpenes with a Fused 6-5-6-6 Ring System Isolated from the Marine Sponge-Derived Fungus Trichoderma harzianum. Mar. Drugs 2019, 17, 480. [Google Scholar] [CrossRef] [PubMed]
- Li, F.; Sun, W.; Zhang, S.; Gao, W.; Lin, S.; Yang, B.; Chai, C.; Li, H.; Wang, J.; Hu, Z.; et al. New cyclopianediterpenes with anti-inflammatory activity from the sea sediment-derived fungus Penicillium sp. TJ403-2. Chin. Chem. Lett. 2020, 31, 197–201. [Google Scholar] [CrossRef]
- Liang, Y.Q.; Liao, X.J.; Zhao, B.X.; Xu, S.H. Novel 3,4-seco-3,19-dinorspongian and 5,17-epoxy-19-norspongian diterpenes from the marine sponge Spongia sp. Org. Chem. Front. 2020, 7, 3253–3261. [Google Scholar] [CrossRef]
- Tian, Y.Q.; Gu, B.B.; Jiao, W.H.; Lin, H.W. Four homoverrucosane-type diterpenes from the marine sponge Halichondria sp. Tetrahedron 2020, 76, 131697. [Google Scholar] [CrossRef]
- Luo, X.C.; Wang, Q.; Tang, X.L.; Li, P.L.; Li, G.Q. One cytotoxic steroid and other two new metabolites from the South China Sea sponge Luffariella variabilis. Tetrahedron Lett. 2021, 65, 152762. [Google Scholar] [CrossRef]
- Kim, H.J.; Li, X.J.; Kim, D.C.; Kim, T.K.; Sohn, J.H.; Kwon, H.; Lee, D.; Kim, Y.C.; Yim, J.H.; Oh, H. PTP1B inhibitory secondary metabolites from an antarctic fungal strain Acremonium sp. SF-7394. Molecules 2021, 26, 5505. [Google Scholar] [CrossRef]
- Han, X.; Luo, X.; Xue, L.; van Ofwegen, L.; Zhang, W.; Liu, K.; Zhang, Y.; Tang, X.; Li, P.; Li, G. Dolabellane Diterpenes and Elemane Alkaloids from the Soft Coral Clavularia inflata Collected in the South China Sea. J. Nat. Prod. 2022, 85, 276–283. [Google Scholar] [CrossRef]
- Majer, T.; Bhattarai, K.; Straetener, J.; Pohlmann, J.; Cahill, P.; Zimmermann, M.O.; Hübner, M.P.; Kaiser, M.; Svenson, J.; Schindler, M.; et al. Discovery of Ircinianin Lactones B and C—Two New Cyclic Sesterterpenes from the Marine Sponge Ircinia wistarii. Mar. Drugs 2022, 20, 532. [Google Scholar] [CrossRef]
- Bu, Q.; Yang, M.; Yan, X.Y.; Li, S.W.; Ge, Z.Y.; Zhang, L.; Yao, L.G.; Guo, Y.W.; Liang, L.F. Mililatensols A-C, New Records of Sarsolenane and Capnosane Diterpenes from Soft Coral Sarcophyton mililatensis. Mar. Drugs 2022, 20, 566. [Google Scholar] [CrossRef] [PubMed]
- Hu, J.; Zhang, W.; Tan, H.; Li, S.; Gao, X.; Liu, Z.; Wang, Y.; Liu, H.; Zhang, W. Neocucurbins A-G, novel macrocyclic diterpenes and their derivatives from Neocucurbitaria unguis-hominis FS685. Org. Biomol. Chem. 2022, 20, 4376–4384. [Google Scholar] [CrossRef] [PubMed]
- Nagasaka, M.; Tani, K.; Wada, M.; Wakatsuki, M.; Ng, S.Y.; Ishii, T. A New Briarane Diterpene, Briarlide S from Okinawan Soft Coral Pachyclavularia violacea. Chem. Nat. Compd. 2023, 59, 697–700. [Google Scholar] [CrossRef]
- Yurchenko, A.N.; Zhuravleva, O.I.; Khmel, O.O.; Oleynikova, G.K.; Antonov, A.S.; Kirichuk, N.N.; Chausova, V.E.; Kalinovsky, A.I.; Berdyshev, D.V.; Kim, N.Y.; et al. New Cyclopiane Diterpenes and Polyketide Derivatives from Marine Sediment-Derived Fungus Penicillium antarcticum KMM 4670 and Their Biological Activities. Mar. Drugs 2023, 21, 584. [Google Scholar] [CrossRef] [PubMed]
- Tseng, H.J.; Kuo, L.M.; Tsai, Y.C.; Hu, H.C.; Chen, P.J.; Chien, S.Y.; Sheu, J.H.; Sung, P.J. Sinulariaone A: A novel diterpenoid with a 13-membered carbocyclic skeleton from an octocoral Sinularia species. RSC Adv. 2023, 13, 10408–10413. [Google Scholar] [CrossRef]
- Wang, Y.; Li, X.M.; Song, N.; Wang, B.G.; Li, H.L.; Meng, L.H. Secondary metabolites with fungicide potentials from the deep-sea seamount-derived fungus Talaromyces scorteus AS-242. Bioorg Chem. 2024, 147, 107417. [Google Scholar] [CrossRef] [PubMed]
- Han, X.; Wang, H.; Li, B.; Chen, X.; Li, T.; Yan, X.; Ouyang, H.; Lin, W.; He, S. New Diterpenes and Diterpene Glycosides with Antibacterial Activity from Soft Coral Lemnalia bournei. Mar. Drugs 2024, 22, 157. [Google Scholar] [CrossRef] [PubMed]
- Do, H.N.; Chen, Y.T.; Chien, S.Y.; Chen, Y.Y.; Zhang, M.M.; Tsou, L.K.; Chen, J.J.; Wen, Z.H.; Lo, Y.H.; Zheng, L.G.; et al. Chlorine-containing polyacetoxybriarane diterpenoids from the octocoral Junceella fragilis. RSC Adv. 2024, 14, 17195–17201. [Google Scholar] [CrossRef]
- Zhang, M.Q.; Xu, K.X.; Xue, Y.; Cao, F.; Yang, L.J.; Hou, X.M.; Wang, C.Y.; Shao, C.L. Sordarin diterpene glycosides with an unusual 1,3-Dioxolan-4-one ring from the zoanthid-derived fungus Curvularia hawaiiensis TA26-15. J. Nat. Prod. 2019, 82, 2477–2482. [Google Scholar] [CrossRef] [PubMed]
- Zhuravleva, O.I.; Antonov, A.S.; Oleinikova, G.K.; Khudyakova, Y.V.; Popov, R.S.; Denisenko, V.A.; Pislyagin, E.A.; Chingizova, E.A.; Afiyatullov, S.S. Virescenosides from the holothurian–associated fungus Acremonium striatisporum Kmm 4401. Mar. Drugs 2019, 17, 616. [Google Scholar] [CrossRef]
- Yan, X.; Ouyang, H.; Li, T.; Shi, Y.; Wu, B.; Yan, X.; He, S. Six New Diterpene Glycosides from the Soft Coral Lemnaliabournei. Mar. Drugs 2021, 19, 339. [Google Scholar] [CrossRef]
- Kankanamge, S.; Khalil, Z.G.; Sritharan, T.; Capon, R.J. Noonindoles G-L: Indole Diterpene Glycosides from the Australian Marine-Derived Fungus Aspergillus noonimiae CMB-M0339. J. Nat. Prod. 2023, 86, 508–516. [Google Scholar] [CrossRef] [PubMed]
- Siebert, D.J. Salvia divinorum and salvinorin A: New pharmacologic findings. J. Ethnopharmacol. 1994, 43, 53–56. [Google Scholar] [CrossRef] [PubMed]
- Lhullier, C.; de Oliveira Tabalipa, E.; Nienkötter Sardá, F.; Sandjo, L.P.; Zanchett Schneider, N.F.; Carraro, J.L.; Oliveira Simões, C.M.; Schenkel, E.P. Clerodane Diterpenes from the Marine Sponge Raspailia bouryesnaultae Collected in South Brazil. Mar. Drugs 2019, 17, 57. [Google Scholar] [CrossRef]
- Nagasaka, M.; Tani, K.; Nishikawa, K.; Kinjo, R.; Ishii, T. Furanocembranoid from the Okinawan soft coral Sinularia sp. Nat. Prod. Bioprospect. 2022, 12, 7. [Google Scholar] [CrossRef]
- Gutiérrez, M.; Santamaría, R.; Gómez-Reyes, J.F.; Guzmán, H.M.; Ávila-Román, J.; Motilva, V.; Talero, E. New Eunicellin-Type Diterpenes from the Panamanian Octocoral Briareum asbestinum. Mar. Drugs 2020, 18, 84. [Google Scholar] [CrossRef]
- Ye, F.; Chen, Z.H.; Gu, Y.C.; Guo, Y.W.; Li, X.W. New lobane-type diterpenoids from the Xisha soft coral Sinularia polydactyla. Chin. J. Nat. Med. 2020, 18, 839–843. [Google Scholar] [CrossRef] [PubMed]
- Sato, K.; Ishigami, S.; Koike, M.; Takegahara, H.; Yamamoto, A.; Kaneko, K.; Tani, K.; Ishii, T.; Kamada, Y. New Marine Diterpenoid from the Okinawan Soft Coral, Lobophytum sp. Nat. Product. Commun. 2022, 18, 1–6. [Google Scholar] [CrossRef]
- Zhang, J.; Ma, H.; Jin, S.; Liu, X.; Li, L.; Liu, Z.; Li, G.; Li, P. Seven New Lobane Diterpenoids from the Soft Coral Lobophytum catalai. Mar. Drugs 2023, 21, 223. [Google Scholar] [CrossRef] [PubMed]
- Zhang, X.; Li, P.L.; Qin, G.F.; Li, S.; de Voogd, N.J.; Tang, X.L.; Li, G.Q. Isolation and Absolute Configurations of Diversiform C17, C21 and C25 Terpenoids from the Marine Sponge Cacospongia sp. Mar. Drugs 2018, 17, 14. [Google Scholar] [CrossRef]
- Hu, J.; Zou, Z.; Chen, Y.; Li, S.; Gao, X.; Liu, Z.; Wang, Y.; Liu, H.; Zhang, W. Neocucurbols A-H, Phomactin Diterpene Derivatives from the Marine-Derived Fungus Neocucurbitaria unguis-hominis FS685. J. Nat. Prod. 2022, 85, 1967–1975. [Google Scholar] [CrossRef] [PubMed]
- Wang, C.L.; Jin, T.Y.; Liu, X.H.; Zhang, J.R.; Shi, X.; Wang, M.F.; Huang, R.; Zhang, Y.; Liu, K.C.; Li, G.Q. Sinudenoids A-E, C19-Norcembranoid Diterpenes with Unusual Scaffolds from the Soft Coral Sinularia densa. Org. Lett. 2022, 24, 9007–9011. [Google Scholar] [CrossRef] [PubMed]
- Dyshlovoy, S.A.; Shubina, L.K.; Makarieva, T.N.; Hauschild, J.; Strewinsky, N.; Guzii, A.G.; Menshov, A.S.; Popov, R.S.; Grebnev, B.B.; Busenbender, T.; et al. New diterpenes from the marine sponge Spongionella sp. overcome drug resistance in prostate cancer by inhibition of P-glycoprotein. Sci. Rep. 2022, 12, 13570. [Google Scholar] [CrossRef] [PubMed]
- Qi, Y.; Liu, G.; Fang, C.; Jing, C.; Tang, S.; Li, G.; Wang, C.; Zhu, H.; Zhao, M.; Sun, Z.; et al. Antioxidant and Neuroprotective Xenicane Diterpenes from the Brown Alga Dictyota coriacea. ACS Omega 2023, 8, 8034–8044. [Google Scholar] [CrossRef]
- Wu, M.J.; Liu, J.; Wang, J.R.; Zhang, J.; Wang, H.; Jiang, C.S.; Guo, Y.W.; Sinucrassins, A.-K. Casbane-type Diterpenoids from the South China Sea Soft Coral Sinularia crassa. Chin. J. Chem. 2021, 86, 2367–2376. [Google Scholar] [CrossRef]
- Rodrigues, I.G.; Miguel, M.G.; Mnif, W. A Brief Review on New Naturally Occurring Cembranoid Diterpene Derivatives from the Soft Corals of the Genera Sarcophyton, Sinularia, and Lobophytum Since 2016. Molecules 2019, 24, 781. [Google Scholar] [CrossRef] [PubMed]
- Phan, C.S.; Yee, C.S.; Vairappan, C.S.; Ishii, T.; Kamada, T. Sinulaflexiolide P, A Cembrane-Type Diterpenoid from Bornean Soft Coral Sinularia flexibilis. Chem. Nat. Compd. 2019, 55, 285–288. [Google Scholar] [CrossRef]
- Tani, K.; Kamada, T.; Phan, C.S.; Vairappan, C.S. A New Bioactive Cembranolide Sarcophytonolide V from Bornean Soft Coral Genus Sarcophyton. Nat. Product. Commun. 2019, 14, 1–4. [Google Scholar] [CrossRef]
- Zidan, S.A.H.; Abdelhamid, R.A.; Alian, A.; Fouad, M.A.; Matsunami, K.; Orabi, M.A.A. Diterpenes and sterols from the Red Sea soft coral Sarcophyton trocheliophorum and their cytotoxicity and anti-leishmanial activities. J. Asian Nat. Prod. Res. 2022, 24, 794–802. [Google Scholar] [CrossRef] [PubMed]
- Mohamed, T.A.; Elshamy, A.I.; Abdel-Tawab, A.M.; AbdelMohsen, M.M.; Ohta, S.; Pare, P.W.; Hegazy, M.F. Oxygenated Cembrene Diterpenes from Sarcophyton convolutum: Cytotoxic Sarcoconvolutum A–E. Mar. Drugs 2021, 19, 519. [Google Scholar] [CrossRef] [PubMed]
- Kamada, T.; Ishii, T.; Sato, K.; Ito, G.; Kawano, J.; Takabe, W.; Phan, C.-S.; Ishigami, S. Unusual Cembrane Diterpenoid Isolated from the Japanese Soft Coral Genus Sinularia. Heterocycles 2022, 104, 797–803. [Google Scholar] [CrossRef]
- Sheu, J.-H.; Zheng, L.-G.; Chen, Y.-Y.; Chien, S.-Y.; Sung, P.-J. 7S,8R-Dihydroxydeepoxysarcophytoxide: A natural dihydrofuranocembranoid from the octocoral Sarcophyton stellatum. Phytochem. Lett. 2024, 63, 14–17. [Google Scholar] [CrossRef]
- Wu, Q.; Chen, W.T.; Li, S.W.; Ye, J.Y.; Huan, X.J.; Gavagnin, M.; Yao, L.G.; Wang, H.; Miao, Z.H.; Li, X.W.; et al. Cytotoxic Nitrogenous Terpenoids from Two South China Sea Nudibranchs Phyllidiella pustulosa, Phyllidia coelestis, and Their Sponge-Prey Acanthella cavernosa. Mar. Drugs 2019, 17, 56. [Google Scholar] [CrossRef]
- Jin, T.; Li, P.; Wang, C.; Tang, X.; Yv, X.; Li, K.; Luo, L.; Ou, H.; Li, G. Two new spongian diterpene derivatives from the aquaculture sponge Spongia officinalis Linnaeus, 1759. Nat. Prod. Res. 2023, 37, 216–226. [Google Scholar] [CrossRef] [PubMed]
- Wang, Z.; Li, Y.; Han, X.; Zhang, D.; Hou, H.; Xiao, L.; Li, G. Kalihiacyloxyamides A-H, α-acyloxy amide substituted kalihinane diterpenes isolated from the sponge Acanthella cavernosa collected in the South China Sea. Phytochemistry 2023, 206, 113512. [Google Scholar] [CrossRef]
- Zhao, D.L.; Yang, L.J.; Shi, T.; Wang, C.Y.; Shao, C.L.; Wang, C.Y. Potent Phytotoxic Harziane Diterpenes from a Soft Coral-Derived Strain of the Fungus Trichoderma harzianum XS-20090075. Sci. Rep. 2019, 9, 13345–13353. [Google Scholar] [CrossRef] [PubMed]
- Li, H.; Liu, X.; Li, X.; Hu, Z.; Wang, L. Novel Harziane Diterpenes from Deep-Sea Sediment Fungus Trichoderma sp. SCSIOW21 and Their Potential Anti-Inflammatory Effects. Mar. Drugs 2021, 19, 689. [Google Scholar] [CrossRef] [PubMed]
- Shi, Z.Z.; Yin, X.L.; Song, Y.P.; Ji, N.Y. A New Harziane Diterpene, Harziaketal A, and a New Sterol, Trichosterol, A.; from the Marine-Alga-Epiphytic Trichoderma sp. Z43. Chem. Biodivers. 2023, 20, e202301099. [Google Scholar] [CrossRef] [PubMed]
- Rodríguez, I.I.; Rodríguez, A.D.; Barnes, C.L. Isolation, Structural Analysis and Biological Activity Assays of Biselisabethoxanes A and B: Two Dissymmetric Bis-Diterpenes from the Southwestern Caribbean Sea Gorgonian Coral Pseudopterogorgia elisabethae. Molecules 2022, 27, 7879. [Google Scholar] [CrossRef] [PubMed]
- Du, Y.Q.; Chen, J.; Wu, M.J.; Zhang, H.Y.; Liang, L.F.; Guo, Y.W. Uncommon Capnosane Diterpenes with Neuroprotective Potential from South China Sea Soft Coral Sarcophyton boettgeri. Mar. Drugs 2022, 20, 602. [Google Scholar] [CrossRef]
- Georgii, A.D.N.P.; Lopes-Filho, E.A.P.; De Paula, J.; Netto, A.D.P.; Teixeira, V.L. Diterpenes from the brown alga Dictyota mertensii. Biochem. Syst. Ecol. 2019, 86, 103926. [Google Scholar]
- Mosmann, T. Rapid colorimetric assay for cellular growth and survival: Application to proliferation and cytotoxicity assays. J. Immunol. Methods. 1983, 65, 55–63. [Google Scholar] [CrossRef]
- Skehan, P.; Storeng, R.; Scudiero, D.; Monks, A.; McMahon, J.; Vistica, D.; Warren, J.T.; Bokesch, H.; Kenney, S.; Boyd, M.R. New colorimetric cytotoxicity assay for anticancer-drug screening. J. Natl. Cancer Inst. 1990, 82, 1107–1112. [Google Scholar] [CrossRef]
- Pardo-Vargas, A.; de Barcelos Oliveira, I.; Stephens, P.; Cirne-Santos, C.; de Palmer Paixão, I.; Ramos, F.; Jiménez, C.; Rodríguez, J.; Resende, J.; Teixeira, V.; et al. Dolabelladienols A–C, New Diterpenes Isolatedfrom Brazilian Brown Alga Dictyota pfaffii. Mar. Drugs 2014, 12, 4247–4259. [Google Scholar] [CrossRef]
- Wittine, K.; Saftić, L.; Peršurić, Ž.; Kraljević Pavelić, S. Novel Antiretroviral Structures from Marine Organisms. Molecules 2019, 24, 3486. [Google Scholar] [CrossRef]
- de Souza Barros, C.; Cirne-Santos, C.C.; Garrido, V.; Barcelos, I.; Stephens, P.R.S.; Giongo, V.; Teixeira, V.L.; de Palmer Paixão, I.C.N. Anti-HIV-1 activity of compounds derived from marine alga Canistrocarpus cervicornis. J. Appl. Phycol. 2016, 28, 2523–2527. [Google Scholar] [CrossRef]
- Stephens, P.R.S.; Cirne-Santos, C.C.; de Souza Barros, C.; Teixeira, V.L.; Carneiro, L.A.D.; Amorim, L.; dos, S.C.; Ocampo, J.S.P.; Castello-Branco, L.R.R.; de Palmer Paixão, I.C.N. Diterpene from marine brownalga Dictyota friabilis as a potential microbicide against HIV-1 in tissue explants. J. Appl. Phycol. 2017, 29, 775–780. [Google Scholar] [CrossRef]
- Miceli, L.; Teixeira, V.; Castro, H.; Rodrigues, C.; Mello, J.; Albuquerque, M.; Cabral, L.; de Brito, M.; de Souza, A.; Miceli, L.A.; et al. Molecular Docking Studies of Marine Diterpenes as Inhibitors of Wild-Type and Mutants HIV-1 Reverse Transcriptase. Mar. Drugs 2013, 11, 4127–4143. [Google Scholar] [CrossRef]
- Pardo-Vargas, A.; Ramos, F.A.; Cirne-Santos, C.C.; Stephens, P.R.; Paixão, I.C.P.; Teixeira, V.L.; Castellanos, L. Semi-synthesis of oxygenated dolabellane diterpenes with highly in vitro anti-HIV-1 activity. Bioorg. Med. Chem. Lett. 2014, 24, 4381–4383. [Google Scholar] [CrossRef] [PubMed]
- Georgii, A.D.N.P.; Teixeira, V.L. Dictyota and Canistrocarpus Brazilian Brown Algae and Their Bioactive Diterpenes—A Review. Mar. Drugs 2023, 21, 484. [Google Scholar] [CrossRef] [PubMed]
- Kelecom, A.; Teixeira, V.L. Dolastane diterpenes from the marine brown alga Dictyota cervicornis. Phytochemistry 1988, 27, 2907–2909. [Google Scholar] [CrossRef]
- Wardana, A.P.; Aminah, N.S.; Rosyda, M.; Abdjan, M.I.; Kristanti, A.N.; Tun, K.N.W.; Choudhary, M.I.; Takaya, Y. Potential of Diterpene Compounds as Antivirals, a Review. Heliyon 2021, 7, e07777. [Google Scholar] [CrossRef]
- De Paula, J.C.; Vallim, M.A.; Teixeira, V.L. What Are and Where Are the Bioactive Terpenoids Metabolites from Dictyotaceae (Phaeophyceae). Rev. Bras. Farm. 2011, 21, 216–228. [Google Scholar] [CrossRef]
- Obando, J.M.C.; dos Santos, T.C.; Martins, R.C.C.; Teixeira, V.L.; Barbarino, E.; Cavalcanti, D.N. Current and Promising Applications of Seaweed Culture in Laboratory Conditions. Aquaculture 2022, 560, 738596. [Google Scholar] [CrossRef]
- Abrantes, J.L.; Barbosa, J.; Cavalcanti, D.; Pereira, R.C.; Fontes, C.L.F.; Teixeira, V.L.; Souza, T.L.M.; Paixao, I.C.P. The Effects of the Diterpenes Isolated from the Brazilian Brown Algae Dictyota pfaffii and Dictyota menstrualis against the Herpes Simplex Type-1 Replicative Cycle. Planta Med. 2010, 76, 339–344. [Google Scholar] [CrossRef]
- de Andrade Moura, L.; Marqui de Almeida, A.C.; Domingos, T.F.; Ortiz-Ramirez, F.; Cavalcanti, D.N.; Teixeira, V.L.; Fuly, A.L. Antiplatelet and anticoagulant effects of diterpenes isolated from the marine alga, Dictyota menstrualis. Mar. Drugs 2014, 12, 2471–2484. [Google Scholar] [CrossRef]
- Lira, M.L.F.; Lopes, R.; Gomes, A.P.; Barcellos, G.; Verícimo, M.; Osako, K.; Ortiz-Ramirez, F.A.; Ramos, C.J.B.; Cavalcanti, D.N.; Teixeira, V.L.; et al. Anti-Leishmanial Activity of Brazilian Green, Brown, and Red Algae. J. Appl. Phycol. 2016, 28, 591–598. [Google Scholar] [CrossRef]
- Pereira, H.S.; Leão-Ferreira, L.R.; Moussatché, N.; Teixeira, V.L.; Cavalcanti, D.N.; Costa, L.J.; Diaz, R.; Frugulhetti, I.C. Antiviral activity of diterpenes isolated from the Brazilian marine alga Dictyota menstrualis against human immunodeficiency virus type 1 (HIV-1). Antivir. Res. 2004, 64, 69–76. [Google Scholar] [CrossRef]
- Rashid, M.A.; Gustafson, K.R.; Boyd, M.R. HIV-inhibitory cembrane derivatives from a Philippines collection of the soft coral Lobophytum species. J. Nat. Prod. 2000, 63, 531–533. [Google Scholar] [CrossRef] [PubMed]
- Roy, P.K.; Ashimine, R.; Miyazato, H.; Taira, J.; Ueda, K. New Casbane and Cembrane Diterpenoids from an Okinawan Soft Coral, Lobophytum sp. Molecules 2016, 21, 679. [Google Scholar] [CrossRef]
- Lai, K.H.; You, W.J.; Lin, C.C.; El-Shazly, M.; Liao, Z.J.; Su, J.H. Anti-Inflammatory Dembranoids from the Soft Coral Lobophytum crassum. Mar. Drugs 2017, 15, 327. [Google Scholar] [CrossRef]
- Roy, P.K.; Roy, S.; Ueda, K. New cytotoxic cembranolides from an Okinawan soft coral, Lobophytum sp. Fitoterapia 2019, 136, 104162. [Google Scholar] [CrossRef] [PubMed]
- Lin, C.Y.; Lu, M.C.; Su, J.H.; Chu, C.L.; Shiuan, D.; Weng, C.F.; Sung, P.J.; Huang, K.J. Immunomodulatory effect of marine cembrane-type diterpenoids on dendritic cells. Mar. Drugs 2013, 11, 1336–1350. [Google Scholar] [CrossRef]
- Liu, Y.C.; Peng, B.R.; Hsu, K.C.; El-Shazly, M.; Shih, S.P.; Lin, T.E.; Kuo, F.W.; Chou, Y.C.; Lin, H.Y.; Lu, M.C. 13-Acetoxysarcocrassolide Exhibits Cytotoxic Activity Against Oral Cancer Cells Through the Interruption of the Keap1/Nrf2/p62/SQSTM1 Pathway: The Need to Move Beyond Classical Concepts. Mar. Drugs 2020, 18, 382. [Google Scholar] [CrossRef] [PubMed]
- Peng, B.R.; Lu, M.C.; El-Shazly, M.; Wu, S.L.; Lai, K.H.; Su, J.H. Aquaculture Soft Coral Lobophytum crissum as a Producer of Anti-Proliferative Cembranoids. Mar. Drugs 2018, 16, 15. [Google Scholar] [CrossRef] [PubMed]
- Duh, C.Y.; Wang, S.K.; Chung, S.G.; Chou, G.C.; Dai, C.F. Cytotoxic cembrenolides and steroids from the formosan soft coral Sarcophyton crassocaule. J. Nat. Prod. 2000, 63, 1634–1637. [Google Scholar] [CrossRef] [PubMed]
- Su, C.C.; Su, J.H.; Lin, J.J.; Chen, C.C.; Hwang, W.I.; Huang, H.H.; Wu, Y.J. An investigation into the cytotoxic effects of 13-acetoxysarcocrassolide from the soft coral Sarcophyton crassocaule on bladder cancer cells. Mar. Drugs 2011, 9, 2622–2642. [Google Scholar] [CrossRef] [PubMed]
- Su, C.C.; Chen, J.Y.; Din, Z.H.; Su, J.H.; Yang, Z.Y.; Chen, Y.J.; Wang, R.Y.; Wu, Y.J. 13-acetoxysarcocrassolide induces apoptosis on human gastric carcinoma cells through mitochondria-related apoptotic pathways:p38/JNK activation and PI3K/AKT suppression. Mar. Drugs 2014, 12, 5295–5315. [Google Scholar] [CrossRef]
- Metryka, E.; Chibowska, K.; Gutowska, I.; Falkowska, A.; Kupnicka, P.; Barczak, K.; Chlubek, D.; Baranowska-Bosiacka, I. Lead (Pb) Exposure Enhances Expression of Factors Associated with Inflammation. Int. J. Mol. Sci. 2018, 19, 1813. [Google Scholar] [CrossRef] [PubMed]
- Welford, A.J.; Collins, I. The 2,11-Cyclized Cembranoids: Cladiellins, Asbestinins, and Briarellins (Period1998-2010). J. Nat. Prod. 2011, 74, 2318–2328. [Google Scholar] [CrossRef]
- Luo, J.F.; Shen, X.Y.; Lio, C.K.; Dai, Y.; Cheng, C.S.; Liu, J.X.; Yao, Y.D.; Yu, Y.; Xie, Y.; Luo, P.; et al. Activation of Nrf2/HO-1 Pathway by Nardochinoid C Inhibits Inflammation and Oxidative Stress in Lipopolysaccharide-Stimulated Macrophages. Front. Pharmacol. 2018, 9, 911. [Google Scholar] [CrossRef] [PubMed]
- Daskalaki, M.G.; Vyrla, D.; Harizani, M.; Doxaki, C.; Eliopoulos, A.G.; Roussis, V.; Ioannou, E.; Tsatsanis, C.; Kampranis, S.C. Neorogioltriol and Related Diterpenes from the Red Alga Laurencia Inhibit Inflammatory Bowel Disease in Mice by Suppressing M1 and Promoting M2-Like Macrophage Responses. Mar. Drugs 2019, 17, 97. [Google Scholar] [CrossRef] [PubMed]
- Phong, N.V.; Thao, N.P.; Vinh, L.B.; Luyen, B.T.T.; Minh, C.V.; Yang, S.Y. Inhibition of Soluble Epoxide Hydrolase by Cembranoid Diterpenes from Soft Coral Sinularia maxima: Enzyme Kinetics, Molecular Docking, and Molecular Dynamics. Mar. Drugs 2024, 22, 373. [Google Scholar] [CrossRef]
- Appendino, G.; Gibbons, S.; Giana, A.; Pagani, A.; Grassi, G.; Stavri, M.; Smith, E.; Rahman, M.M. Antibacterial cannabinoids from Cannabis sativa: A structure-activity study. J. Nat. Prod. 2008, 71, 1427–1430. [Google Scholar] [CrossRef] [PubMed]
- Forero, A.M.; Castellanos, L.; Sandoval-Hernández, A.G.; Magalhães, A.; Tinoco, L.W.; Lopez-Vallejo, F.; Ramos, F.A. Integration of NMR studies, computational predictions, and in vitro assays in the search of marine diterpenes with antitumor activity. Chem. Biol. Drug Des. 2021, 98, 507–521. [Google Scholar] [CrossRef] [PubMed]
- Amaya García, F.; Cirne-Santos, C.; de Souza Barros, C.; Pinto, A.M.; Sanchez Nunez, M.L.; Laneuville Teixeira, V.; Resende, J.A.L.C.; Ramos, F.A.; Paixão, I.C.N.P.; Castellanos, L. Semisynthesis of Dolabellane Diterpenes: Oxygenated Analogues with Increased Activity against Zika and Chikungunya Viruses. J. Nat. Prod. 2021, 84, 1373–1384. [Google Scholar] [CrossRef]
- Castellanos, F.; Amaya-García, F.; Tello, E.; Ramos, F.A.; Umaña, A.; Puyana, M.; Resende, J.A.L.C.; Castellanos, L. Screening of acetylcholinesterase inhibitors in marine organisms from the Caribbean Sea. Nat. Prod. Res. 2019, 33, 3533–3540. [Google Scholar] [CrossRef] [PubMed]
- Look, S.A.; Fenical, W.; Van Engen, D.; Clardy, J. Erythrolides: Unique marine diterpenoids interrelated by a naturally occurring di-.pi.-methane rearrangement. J. Am. Chem. Soc. 1984, 106, 5026–5027. [Google Scholar] [CrossRef]
- Molina, S.L.; Forero, A.M.; Ayala, F.I.; Puyana, M.; Zea, S.; Castellanos, L.; Muñoz, D.; Arboleda, G.; Sandoval-Hernández, A.G.; Ramos, F.A. Metabolic Profiling of the Soft Coral Erythropodium caribaeorum (Alcyonacea: Anthothelidae) from the Colombian Caribbean Reveals Different Chemotypes. Mar. Drugs 2019, 18, 4. [Google Scholar] [CrossRef] [PubMed]
- Tello, E.; Castellanos, L.; Arevalo-Ferro, C.; Duque, C. Cembranoid diterpenes from the Caribbean sea whip Eunicea knighti. J. Nat. Prod. 2009, 72, 1595–1602. [Google Scholar] [CrossRef]
- Tello, E.; Castellanos, L.; Duque, C. Synthesis of cembranoid analogues and evaluation of their potential as quorum sensing inhibitors. Bioorg. Med. Chem. 2013, 21, 242–256. [Google Scholar] [CrossRef] [PubMed]
- Iversen, P.W.; Beck, B.; Chen, Y.F.; Dere, W.; Devanarayan, V.; Eastwood, B.J.; Farmen, M.W.; Iturria, S.J.; Montrose, C.; Moore, R.A.; et al. Assay Guidance Manual; Eli Lilly & Company and the National Center for Advancing Translational Sciences: Bethesda, MD, USA, 2004. [Google Scholar]
- Krishnan, V.V. Ligand Screening by Saturation-Transfer Difference (STD) NMR Spectroscopy. Curr. Anal. Chem. 2005, 1, 307–320. [Google Scholar] [CrossRef]
- Pan, J.; Ai, X.; Ma, C.; Zhang, G. Degradable Vinyl Polymers for Combating Marine Biofouling. Acc. Chem. Res. 2022, 55, 1586–1598. [Google Scholar] [CrossRef]
- Prousis, K.C.; Kikionis, S.; Ioannou, E.; Morgana, S.; Faimali, M.; Piazza, V.; Calogeropoulou, T.; Roussis, V. Synthesis and Antifouling Activity Evaluation of Analogs of Bromosphaerol, a Brominated Diterpene Isolated from the Red Alga Sphaerococcus coronopifolius. Mar. Drugs 2021, 20, 7. [Google Scholar] [CrossRef] [PubMed]
- Protopapa, M.; Kotsiri, M.; Mouratidis, S.; Roussis, V.; Ioannou, E.; Dedos, S.G. Evaluation of Antifouling Potential and Ecotoxicity of Secondary Metabolites Derived from Red Algae of the Genus Laurencia. Mar. Drugs 2019, 17, 646. [Google Scholar] [CrossRef] [PubMed]
- Cafieri, F.; Ciminiello, P.; Santacroce, C.; Fattorusso, E. Three diterpenes from the red alga Sphaerococcus coronopifolius. Phytochemistry 1983, 22, 1824–1825. [Google Scholar] [CrossRef]
- Bai, D.; Schelz, Z.; Erdős, D.; Kis, A.K.; Nagy, V.; Zupkó, I.; Balogh, G.T.; Szakonyi, Z. Stereoselective Synthesis and Antiproliferative Activities of Tetrafunctional Diterpene Steviol Derivatives. Int. J. Mol. Sci. 2023, 24, 1121. [Google Scholar] [CrossRef]
- Cheng, H.H.; Cheng, Y.B.; Hwang, T.L.; Kuo, Y.H.; Chen, C.H.; Shen, Y.C. Randainins A-D, Based on Unique Diterpenoid Architectures, from Callicarpa randaiensis. J. Nat. Prod. 2015, 78, 1823–1828. [Google Scholar] [CrossRef]
- Vyhivskyi, O.; Baudoin, O. Total Synthesis of the Diterpenes (+)-Randainin D and (+)-Barekoxide via Photoredox-Catalyzed Deoxygenative Allylation. J. Am. Chem. Soc. 2024, 146, 11486–11492. [Google Scholar] [CrossRef] [PubMed]
- Lian, Y.; Miller, L.C.; Born, S.; Sarpong, R.; Davies, H.M. Catalyst-controlled formal [4 + 3] cycloaddition applied to the total synthesis of (+)-barekoxide and (-)-barekol. J. Am. Chem. Soc. 2010, 132, 12422–12425. [Google Scholar] [CrossRef] [PubMed]



























| No. | Compound Name | Marine Sources | Activity | Reference |
|---|---|---|---|---|
| 1 | raspailol and raspadiene | Raspailia bouryesnaultae | Anti-cytotoxic activity(HSV-1, KOS and 29R) | [78] |
| 2 | oxalierpenes A and B | Marine-fungi | Inhibited H1N1and RSV | [41] |
| 3 | Penijanthine E and analogue | Penicillium citrinum | Inhibited A/WSN/33(H1N1) and A/PR/8/34(H1N1) and (IAV) | [42] |
| 4 | epoxynorspongians E | Penicillium sp. | Anti-cytotoxic activity(PC3 and PBL-2H3) | [59] |
| 5 | sarcoconvolutum E | Sarcophyton convolutum | Anti-cytotoxic activity(A549 and HSC-2) | [94] |
| 6 | dolabelladienols A and B | Dictyota pfaffii | Anti-cytotoxic activity(HIV-1) | [109] |
| 7 | dolastanes and secodolastane | Canistrocarpus cervicornis | Anti-cytotoxic activity(HIV-1) | [111] |
| 8 | pachydictyol A and isopachydictyol A | Dictyota menstrualis | Antiplatelet and anticoagulant activity | [121,122] |
| 9 | 4-hydroxy-9,14-dihydroxydolasta-1(15),7-diene and 4,7,14-trihydroxydolasta-1(15),8-diene | Canistrocarpus cervicornis | Anti-cytotoxic activity(HIV-1) | [4] |
| 10 | sinulariaone A | Sinularia | Anti-cytotoxic activity(HL-60) | [69] |
| 11 | kahukuene B | Laurencia majuscula | Anti-Inflammatory Activity | [26] |
| 12 | sponalactone | Spongia officinalis | Anti-Inflammatory Activity | [33] |
| 13 | 17-dehydroxysponalactone | Spongia sp. | Anti-Inflammatory Activity | [36] |
| 14 | spongenolactones A–C | Spongia sp. | Inhibited fMLF/CB | [37] |
| 15 | spongenolactones A | Spongia sp. | Inhibited Staphylococcus aureus activity | [34] |
| 16 | compound 93 | Penicillium sp. | Inhibited α-glucosidase activity | [42] |
| 17 | penpaxilloids D | Penicillium sp. | Anti-Inflammatory Activity | [42] |
| 18 | sarcomililatols D | Sarcophyton mililatensis | Anti-Inflammatory Activity | [48] |
| 19 | trichodermanins F | Halichondria okadai | Anti-Inflammatory Activity | [57] |
| 20 | neorogioltriol | Laurencia | Anti-Inflammatory Activity | [136] |
| 21 | neorogioldiol | Laurencia | Anti-Inflammatory Activity | [136] |
| 22 | O11,15-cyclo-14-bromo-14,15-dihydrorogiol-3,11-diol | Laurencia | Anti-Inflammatory Activity | [136] |
| 23 | lemnabourside E | Lemnalia bournei | antibacterial activity (Staphylococcus aureus and Bacillus subtilis) | [80] |
| 24 | lemnabourside F | Lemnalia bournei | antibacterial activity (Staphylococcus aureus and Bacillus subtilis) | [80] |
| 25 | lemnadiolboursides A-C | Lemnalia bournei | antibacterial activity (Staphylococcus aureus and Bacillus subtilis) | [80] |
| 26 | briarellin T, asbestinin 36 and asbestinin 37 | Briareum asbestinum | Anti-Inflammatory Activity(inhibited TNF-α, IL-6, IL-1β and IL-8) | [80] |
| 27 | hazianol J | Trichoderma sp. | Anti-Inflammatory | [101] |
| 28 | pavidolide D | Sarcophyton boettgeri | Anti-Inflammatory | [104] |
| 29 | sinumaximols C and sethukarailin | Sinularia maxima | Inhibited sEH | [137] |
| 30 | (+)-10-epiagelasine B | Agelas citrina | Antibacterial activity(Staphylococcus flavus, Streptococcus pneumoniae and Enterococcus faecalis) | [46] |
| 31 | nephthecrassocolides A and nephthenol | Nephthea sp. | Antibacterial activity | [47] |
| 32 | situmulins B | Sinularia tumulosa | Antibacterial activity(Streptococcus parauberis FP KSP28 and Photobacterium damselae FP2244 and Enterococcus faecium G1, G4, G7, G8, G13) | [51] |
| 33 | moriniafungins E | Curvularia hawaiiensis | Antibacterial activity (Candida albicans) | [73] |
| 34 | sarcophytonolide V | Sarcophyton sp. | Antibacterial activity(Ochroconis humicola and Haliphthoros milfordensis) | |
| 35 | ceylonamide G | Agelas sp. | Inhibited Tumor Cell Growth | [45] |
| 36 | compound 171, 180, and 183 | Lobophytum crassum | Antiproliferative activity | [55] |
| 37 | 9,11-dihydrogracilin A and 9,11-dihydrogracillinone A | Dendrilla antarctica | Antifouling Activity | [23] |
| 38 | bromosphaerol | Sphaerococcus coronopifolius | Antifouling Activity | [149] |
| 39 | compounds 3 and 4 | Laurencia venusta Yamada | Antifouling Activity (Mytilus galloprovincialis) | [18] |
| 40 | perforenol | Laurencia | Antifouling Activity | [150] |
Disclaimer/Publisher’s Note: The statements, opinions and data contained in all publications are solely those of the individual author(s) and contributor(s) and not of MDPI and/or the editor(s). MDPI and/or the editor(s) disclaim responsibility for any injury to people or property resulting from any ideas, methods, instructions or products referred to in the content. |
© 2025 by the authors. Licensee MDPI, Basel, Switzerland. This article is an open access article distributed under the terms and conditions of the Creative Commons Attribution (CC BY) license (https://creativecommons.org/licenses/by/4.0/).
Share and Cite
Zhang, L.; Li, D.; Chen, X.; Zhao, F. Marine-Derived Diterpenes from 2019 to 2024: Structures, Biological Activities, Synthesis and Potential Applications. Mar. Drugs 2025, 23, 72. https://doi.org/10.3390/md23020072
Zhang L, Li D, Chen X, Zhao F. Marine-Derived Diterpenes from 2019 to 2024: Structures, Biological Activities, Synthesis and Potential Applications. Marine Drugs. 2025; 23(2):72. https://doi.org/10.3390/md23020072
Chicago/Turabian StyleZhang, Lin, Debao Li, Xuan Chen, and Feng Zhao. 2025. "Marine-Derived Diterpenes from 2019 to 2024: Structures, Biological Activities, Synthesis and Potential Applications" Marine Drugs 23, no. 2: 72. https://doi.org/10.3390/md23020072
APA StyleZhang, L., Li, D., Chen, X., & Zhao, F. (2025). Marine-Derived Diterpenes from 2019 to 2024: Structures, Biological Activities, Synthesis and Potential Applications. Marine Drugs, 23(2), 72. https://doi.org/10.3390/md23020072

