Eco-Friendly Extraction of Phlorotannins from Padina pavonica: Identification Related to Purification Methods Towards Innovative Cosmetic Applications
Abstract
1. Introduction
2. Results
2.1. Yield, Phenolic Content and Antioxidant Activity of ASE Crude Extract and Purified Fractions from LLE, SPE, FC Purifications
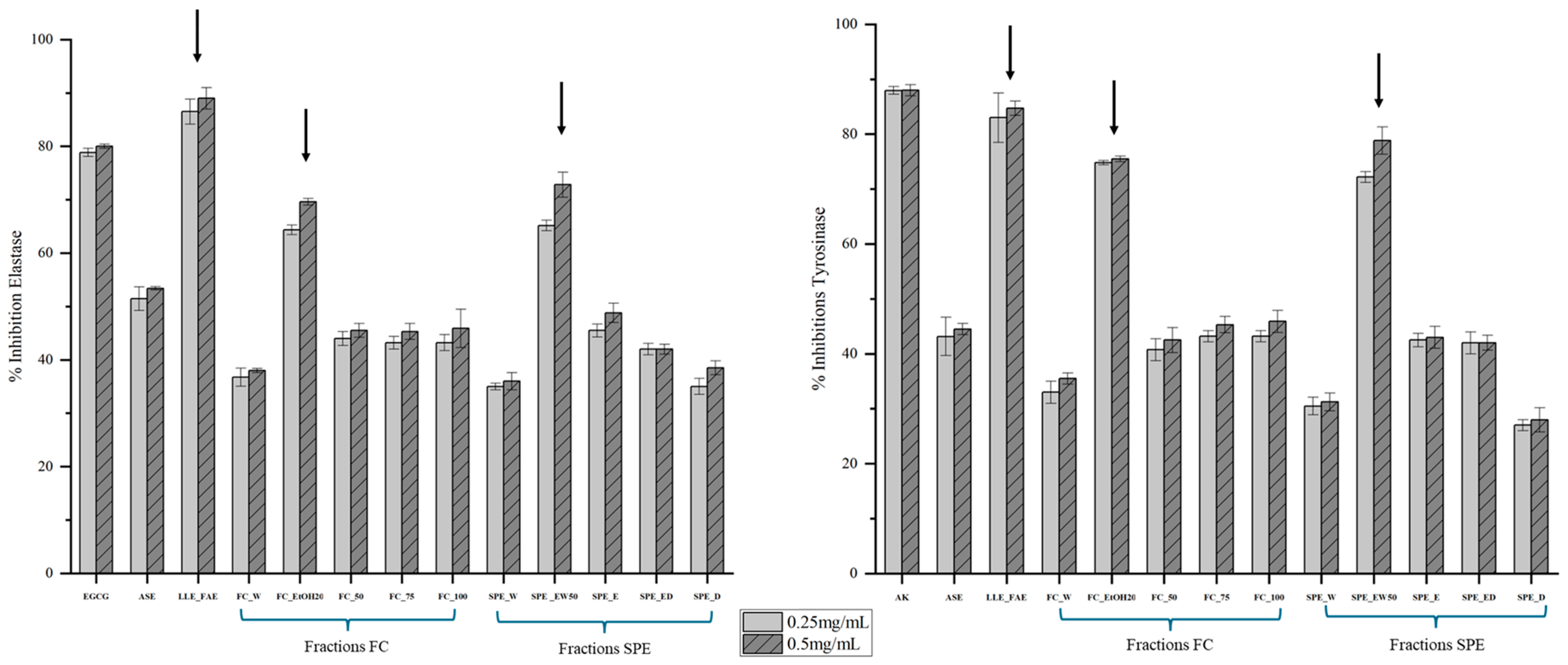
2.2. Enzymatic Activity of ASE Crude Extract and Purified Fractions from LLE, SPE, and FC Methods
2.3. 1H NMR and 13C NMR (HMBC) Identifications of Phlorotannins-Rich Fractions from SPE (WE50), Flash Chromatography (FC_EtOH20) and Liquid Partitions (LLE_FAE)
2.4. LC-ESI-QTOF-MS Analysis of Phlorotannins
2.5. LC-ESI-QTOF-MS Analysis of Others Compounds
3. Discussion
3.1. Interest to ASE to Concentrate Phenolic Compounds
3.2. Comparison of the Purification Procedures to Obtain Active Phenolic Compounds
3.3. Anti-Ageing Activities in Fractions Rich in Plorotannins
3.4. Structural Elucidation of Phlorotannins Using NMR and LC-ESI-QTOF-MS Techniques
4. Materials and Methods
4.1. Algal Material
4.2. Extraction Using Acceleration Solvent Extraction (ASE)
4.3. Purifications
4.3.1. Liquid-Liquid Semi-Purification of Phlorotannins (LLE)
4.3.2. Semi-Purification of Phlorotannins by Solid Phase Extraction (SPE)
4.3.3. Flash Chromatography Semi-Purification of Phlorotannins
4.4. Spectroscopic Analysis of Phenolic Compounds
4.4.1. NMR Analysis
4.4.2. LC-MS Analysis of Phenolic Fractions
4.5. Total Phenolic Content of Extracts/Fractions
4.6. Biological Activities Associated to Extract/Fractions of Padina pavonica
4.6.1. DPPH Radical Scavenging Activity
4.6.2. Antioxidant Activity by the Ferric Reducing Antioxidant Power (FRAP)
4.6.3. Anti-Elastase Activity
4.6.4. Anti-Tyrosinase Activity
4.7. Statistical Analysis
5. Conclusions
Supplementary Materials
Author Contributions
Funding
Institutional Review Board Statement
Data Availability Statement
Acknowledgments
Conflicts of Interest
References
- Imokawa, G.; Ishida, K. Biological Mechanisms Underlying the Ultraviolet Radiation-Induced Formation of Skin Wrinkling and Sagging I: Reduced skin elasticity, highly associated with enhanced dermal elastase activity, triggers wrinkling and sagging. Int. J. Mol. Sci. 2015, 16, 7753–7775. [Google Scholar] [CrossRef] [PubMed]
- Nurrochmad, A.; Wirasti, W.; Dirman, A.; Lukitaningsih, E.; Rahmawati, A.; Fakhrudin, N. Effects of antioxidant, anti-Collagenase, anti-Elastase, anti-Tyrosinase of the extract and fraction from Turbinaria decurrens Bory. Indones. J. Pharm. 2018, 29, 188. [Google Scholar] [CrossRef]
- Takaichi, S. Carotenoids in Algae: Distributions, biosyntheses and functions. Mar. Drugs. 2011, 9, 1101–1118. [Google Scholar] [CrossRef] [PubMed]
- Wang, H.-M.D.; Chen, C.-C.; Huynh, P.; Chang, J.-S. Exploring the potential of using Algae in cosmetics. Bioresour. Technol. 2015, 184, 355–362. [Google Scholar] [CrossRef] [PubMed]
- Gager, L.; Connan, S.; Molla, M.; Couteau, C.; Arbona, J.-F.; Coiffard, L.; Cérantola, S.; Stiger-Pouvreau, V. Active phlorotannins from seven brown seaweeds commercially harvested in Brittany (France) detected by 1H NMR and in vitro assays: Temporal variation and potential valorization in cosmetic applications. J. Appl. Phycol. 2020, 32, 2375–2386. [Google Scholar] [CrossRef]
- Surget, G.; Stiger-Pouvreau, V.; Le Lann, K.; Kervarec, N.; Couteau, C.; Coiffard, L.J.M.; Gaillard, F.; Cahier, K.; Guérard, F.; Poupart, N. Structural elucidation, in vitro antioxidant and photoprotective capacities of a purified polyphenolic-enriched fraction from a saltmarsh plant. J. Photochem. Photobiol. 2015, 143, 52–60. [Google Scholar] [CrossRef]
- Couteau, C.; Coiffard, L. Overview of skin whitening agents: Drugs and cosmetic products. Cosmetics 2016, 3, 27. [Google Scholar] [CrossRef]
- Le Lann, K.; Surget, G.; Couteau, C.; Coiffard, L.; Cérantola, S.; Gaillard, F.; Larnicol, M.; Zubia, M.; Guérard, F.; Poupart, N. Sunscreen, antioxidant, and bactericide capacities of phlorotannins from the brown macroalga Halidrys siliquosa. J. Appl. Phycol. 2016, 28, 3547–3559. [Google Scholar] [CrossRef]
- Guillerme, J.-B.; Couteau, C.; Coiffard, L. Applications for marine resources in cosmetics. Cosmetics 2017, 4, 35. [Google Scholar] [CrossRef]
- Couteau, C.; Coiffard, L. Phycocosmetics and other marine cosmetics, specific cosmetics formulated using marine Resources. Mar. Drugs 2020, 18, 322. [Google Scholar] [CrossRef]
- Gager, L.; Lalegerie, F.; Connan, S.; Stiger-Pouvreau, V. Marine algal derived phenolic compounds and their biological activities for medicinal and cosmetic applications. In Recent Advances in Micro and Macroalgal Processing; Rajauria, G., Yuan, Y.V., Eds.; Wiley: Hoboken, NJ, USA, 2021; pp. 278–334. ISBN 978-1-119-54265-0. [Google Scholar]
- Lalegerie, F.; Gager, L.; Stiger-Pouvreau, V.; Connan, S. The Stressful life of red and brown seaweeds on the temperate intertidal zone: Effect of abiotic and biotic parameters on the physiology of macroalgae and content variability of particular metabolites. Adv. Bot. Res. 2020, 95, 247–287. [Google Scholar] [CrossRef]
- Jarzycka, A.; Lewińska, A.; Gancarz, R.; Wilk, K.A. Assessment of Extracts of Helichrysum arenarium, Crataegus monogyna, Sambucus nigra in Photoprotective UVA and UVB; Photostability in Cosmetic Emulsions. J. Photochem. Photobiol. 2013, 128, 50–57. [Google Scholar] [CrossRef] [PubMed]
- Meslet-Cladière, L.; Delage, L.; Leroux, C.J.-J.; Goulitquer, S.; Leblanc, C.; Creis, E.; Gall, E.A.; Stiger-Pouvreau, V.; Czjzek, M.; Potin, P. Structure/Function Analysis of a Type III Polyketide Synthase in the Brown Alga Ectocarpus siliculosus Reveals a Biochemical Pathway in Phlorotannin Monomer Biosynthesis. Plant Cell 2013, 25, 3089–3103. [Google Scholar] [CrossRef] [PubMed]
- Stiger-Pouvreau, V.; Jegou, C.; Cerantola, S.; Guérard, F.; Le Lann, K. Phlorotannins in Sargassaceae species from Brittany (France): Interesting molecules for ecophysiological and valorisation purposes. Adv. Bot. Res. 2014, 71, 379–411. [Google Scholar]
- Ar Gall, E.; Lelchat, F.; Hupel, M.; Jégou, C.; Stiger-Pouvreau, V. Extraction and purification of phlorotannins from brown algae. In Natural Products from Marine Algae; Stengel, D.B., Connan, S., Eds.; Humana Press: New York, NY, USA, 2015; pp. 131–143. [Google Scholar] [CrossRef]
- Creis, E.; Ar Gall, E.; Potin, P. Ubiquitous Phlorotannins Prospects and Perspectives. In Blue Biotechnology; John Wiley & Sons, Ltd.: Hoboken, NJ, USA, 2018; pp. 67–116. ISBN 978-3-527-80171-8. [Google Scholar]
- Catarino, M.D.; Silva, A.M.S.; Cardoso, S.M. Fucaceae: A Source of Bioactive Phlorotannins. Int. J. Mol. Sci. 2017, 18, 1327. [Google Scholar] [CrossRef]
- Sathya, R.; Kanaga, N.; Sankar, P.; Jeeva, S. Antioxidant Properties of Phlorotannins from Brown Seaweed Cystoseira trinodis (Forsskål) C. Agardh. Arabe. J. Chem. 2017, 10, S2608–S2614. [Google Scholar] [CrossRef]
- Catarino, M.D.; Pires, S.M.; Silva, S.; Costa, F.; Braga, S.S.; Pinto, D.C.; Silva, A.M.S.; Cardoso, S.M. Overview of phlorotannins’constituents in Fucales. Mar. Drugs 2022, 20, 754. [Google Scholar] [CrossRef]
- Zhang, R.; Yuen, A.K.L.; Magnusson, M.; Wright, J.T.; de Nys, R.; Masters, A.F.; Maschmeyer, T. A Comparative Assessment of the Activity and Structure of Phlorotannins from the Brown Seaweed Carpophyllum flexuosum. Algal Res. 2018, 29, 130–141. [Google Scholar] [CrossRef]
- Manandhar, B.; Wagle, A.; Seong, S.H.; Paudel, P.; Kim, H.R.; Jung, H.A.; Choi, J.S. Phlorotannins with Potential Anti-Tyrosinase and Antioxidant Activity Isolated from the Marine Seaweed Ecklonia stolonifera. Antioxidants 2019, 8, 240. [Google Scholar] [CrossRef]
- Xiong, S.-L.; Lim, G.T.; Yin, S.-J.; Lee, J.; Si, Y.-X.; Yang, J.-M.; Park, Y.-D.; Qian, G.-Y. The Inhibitory Effect of Pyrogallol on Tyrosinase Activity and Structure: Integration Study of Inhibition Kinetics with Molecular Dynamics Simulation. Int. J. Biol. Macromol. 2019, 121, 463–471. [Google Scholar] [CrossRef]
- Meng, W.; Mu, T.; Sun, H.; Garcia-Vaquero, M. Phlorotannins: A Review of Extraction Methods, Structural Characteristics, Bioactivities, Bioavailability, and Future Trends. Algal Res. 2021, 60, 102484. [Google Scholar] [CrossRef]
- Shrestha, S.; Zhang, W.; Smid, S.D. Phlorotannins: A Review on Biosynthesis, Chemistry and Bioactivity. Food Biosci. 2021, 39, 100832. [Google Scholar] [CrossRef]
- Ferreira, M.S.; Magalhães, M.C.; Oliveira, R.; Sousa-Lobo, J.M.; Almeida, I.F. Trends in the Use of Botanicals in Anti-Aging Cosmetics. Molecules 2021, 26, 3584. [Google Scholar] [CrossRef] [PubMed]
- Chemat, F.; Vian, M.A.; Cravotto, G. Green Extraction of Natural Products: Concept and Principles. Int. J. Mol. Sci. 2012, 13, 8615–8627. [Google Scholar] [CrossRef]
- Montero, L.; Del Pilar Sánchez-Camargo, A.; Ibáñez, E.; Gilbert-López, B. Phenolic Compounds from Edible Algae: Bioactivity and Health Benefits. CMC 2019, 25, 4808–4826. [Google Scholar] [CrossRef]
- Zubia, M.; Fabre, M.S.; Kerjean, V.; Lann, K.L.; Stiger-Pouvreau, V.; Fauchon, M.; Deslandes, E. Antioxidant and antitumoural activities of some Phaeophyta from Brittany coasts. Food Chem. 2009, 116, 693–701. [Google Scholar] [CrossRef]
- Gager, L.; Connan, S.; Cérantola, S.; Petek, S.; Couteau, C.; Coiffard, L.; Stiger-Pouvreau, V. An Eco-Friendly Extraction and Purification Approach for Obtaining Active Ingredients for Cosmetics from Two Marine Brown Seaweeds. Mar. Drugs 2024, 22, 112. [Google Scholar] [CrossRef]
- Zubia, M.; Thomas, O.P.; Soulet, S.; Demoy-Schneider, M.; Saulnier, D.; Connan, S.; Murphy, E.C.; Tintillier, F.; Stiger-Pouvreau, V.; Petek, S. Potential of Tropical Macroalgae from French Polynesia for Biotechnological Applications. J. Appl. Phycol. 2020, 32, 2343–2362. [Google Scholar] [CrossRef]
- Tanniou, A.; Vandanjon, L.; Incera, M.; Serrano Leon, E.; Husa, V.; Le Grand, J.; Nicolas, J.-L.; Poupart, N.; Kervarec, N.; Engelen, A.; et al. Assessment of the Spatial Variability of Phenolic Contents and Associated Bioactivities in the Invasive Alga Sargassum muticum Sampled along Its European Range from Norway to Portugal. J. Appl. Phycol. 2013, 26, 1215–1230. [Google Scholar] [CrossRef]
- Hardouin, K.; Burlot, A.-S.; Umami, A.; Tanniou, A.; Stiger-Pouvreau, V.; Widowati, I.; Bedoux, G.; Bourgougnon, N. Biochemical and Antiviral Activities of Enzymatic Hydrolysates from Different Invasive French Seaweeds. J. Appl. Phycol. 2014, 26, 1029–1042. [Google Scholar] [CrossRef]
- Buscaglia, M.; Le Blay, G.; Fauchon, M.; Gloanec, N.; Toueix, Y.; Aulanier, F.; Negri, S.; Cérantola, S.; Guérard, F.; Stiger-Pouvreau, V.; et al. Development of an Eco-Friendly Procedure to Generate Valuable Active Polyphenolic Purified Fractions from Marine Macrophytes. J. Appl. Phycol. 2024, 36, 2109–2125. [Google Scholar] [CrossRef]
- Sharma, G.; John, J. Identification of Polyphenols Using UPLC-QTOF MS/MS, in-Vitro Photoprotective and Antiaging Activities of Brown Macroalga Padina tetrastromatica. Algal Res. 2023, 75, 103255. [Google Scholar] [CrossRef]
- Ansari, A.A.; Ghanem, S.M. Growth Attributes and Biochemical Composition of Padina pavonica (L.) from the Red Sea, in Response to Seasonal Alterations of Tabuk, Saudi Arabia. Egypt. J. Aquat. Res. 2019, 45, 139–144. [Google Scholar] [CrossRef]
- Elbanna, S.M.; Hegazi, M.M. Screening of Some Seaweeds Species from South Sinai, Red Sea as Potential Bioinsecticides against Mosquito Larvae; Culex pipiens. Acad. J. Biol. Sci. 2011, 4, 21–30. [Google Scholar] [CrossRef]
- Silberfeld, T.; Bittner, L.; Fernández-García, C.; Cruaud, C.; Rousseau, F.; De Reviers, B.; Leliaert, F.; Payri, C.E.; De Clerck, O. Species Diversity, Phylogeny and Large Scale Biogeographic Patterns of the Genus Padina (Phaeophyceae, Dictyotales). J. Phycol. 2013, 49, 130–142. [Google Scholar] [CrossRef]
- Nour, M. Étude des Macroalgues des Côtes de Djibouti: Chimiotaxonomie et Isolement de Composés D’intérêt Pour des Applications Biotechnologiques. Ph.D. Thesis, Université de Bretagne Occidentale, Brest, France, 2024; 976p. [Google Scholar]
- Omar, H.H.; Shiekh, H.M.; Gumgumjee, N.M.; El-Kazan, M.M.; El-Gendy, A.M. Antibacterial Activity of Extracts of Marine Algae from the Red Sea of Jeddah, Saudi Arabia. Afr. J. Biotechnol. 2012, 11, 13576–13585. [Google Scholar]
- Asma, C.; Hiba, M.; Laurence, Z. Evaluation of Brown Seaweed (Padina pavonica) as Biostimulant of Plant Growth and Development. Afr. J. Agric. Res. 2013, 8, 1155–1165. [Google Scholar] [CrossRef]
- Keskinkaya, H.B.; Deveci, E.; Altinok, B.Y.; Gümüş, N.E.; Aslan, E.Ş.O.; Akköz, C.; Karakurt, S. HPLC-UV Analysis of Phenolic Compounds and Biological Activities of Padina pavonica and Zanardinia Typus Marine Macroalgae Species. Turk. J. Bot. 2023, 47, 231–243. [Google Scholar] [CrossRef]
- Tiouane, R.; Bouzidi, S.; Mekircha, F.E. Etude de L’activité Antioxydante In Vitro Des Extraits Bruts de L’algue Brune: Padina Pavonica; Université de Jijel: Alger, Algeria, 2018. [Google Scholar]
- Rushdi, M.I.; Abdel-Rahman, I.A.M.; Saber, H.; Attia, E.Z.; Madkour, H.A.; Abdelmohsen, U.R. A Review on the Pharmacological Potential of the Genus Padina. S. Afr. J. Bot. 2021, 141, 37–48. [Google Scholar] [CrossRef]
- Nair, D.; Vanuopadath, M.; Balasubramanian, A.; Iyer, A.; Ganesh, S.; Anil, A.N.; Vikraman, V.; Pillai, P.; Bose, C.; Nair, B.G.; et al. Phlorotannins from Padina tetrastromatica: Structural Characterisation and Functional Studies. J. Appl. Phycol. 2019, 31, 3131–3141. [Google Scholar] [CrossRef]
- Cérantola, S.; Breton, F.; Ar Gall, E.; Deslandes, E. Co-occurrence and antioxidant activities of fucol and fucophlorethol classes of polymeric phenols in Fucus spiralis. Bot. Mar. 2006, 49, 347–351. [Google Scholar] [CrossRef]
- Jégou, C.; Connan, S.; Bihannic, I.; Cérantola, S.; Guérard, F.; Stiger-Pouvreau, V. Phlorotannin and Pigment Content of Native Canopy-Forming Sargassaceae Species Living in Intertidal Rockpools in Brittany (France): Any Relationship with Their Vertical Distribution and Phenology? Mar. Drugs 2021, 19, 504. [Google Scholar] [CrossRef] [PubMed]
- Zhong, B.; Robinson, N.A.; Warner, R.D.; Barrow, C.J.; Dunshea, F.R.; Suleria, H.A.R. LC-ESI-QTOF-MS/MS Characterization of Seaweed Phenolics and Their Antioxidant Potential. Mar. Drugs 2020, 18, 331. [Google Scholar] [CrossRef]
- Heffernan, N.; Smyth, T.J.; Soler-Villa, A.; Fitzgerald, R.J.; Brunton, N.P. Phenolic Content and Antioxidant Activity of Fractions Obtained from Selected Irish Macroalgae Species (Laminaria digitata, Fucus serratus, Gracilaria gracilis and Codium fragile). J. Appl. Phycol. 2015, 27, 519–530. [Google Scholar] [CrossRef]
- Dang, T.T.; Van Vuong, Q.; Schreider, M.J.; Bowyer, M.C.; Van Altena, I.A.; Scarlett, C.J. Optimisation of Ultrasound-Assisted Extraction Conditions for Phenolic Content and Antioxidant Activities of the Alga Hormosira banksii Using Response Surface Methodology. J. Appl. Phycol. 2017, 29, 3161–3173. [Google Scholar] [CrossRef]
- Abdelhamid, A.; Jouini, M.; Bel Haj Amor, H.; Mzoughi, Z.; Dridi, M.; Ben Said, R.; Bouraoui, A. Phytochemical Analysis and Evaluation of the Antioxidant, Anti-Inflammatory, and Antinociceptive Potential of Phlorotannin-Rich Fractions from Three Mediterranean Brown Seaweeds. Mar. Biotechnol. 2018, 20, 60–74. [Google Scholar] [CrossRef]
- Tierney, M.S.; Smyth, T.J.; Hayes, M.; Soler-Vila, A.; Croft, A.K.; Brunton, N. Influence of Pressurised Liquid Extraction and Solid-Liquid Extraction Methods on the Phenolic Content and Antioxidant Activities of Irish Macroalgae. Int. J. Food Sci. Technol. 2013, 48, 860–869. [Google Scholar] [CrossRef]
- Hassan, I.H.; Pham, H.N.T.; Nguyen, T.H. Optimization of Ultrasound-assisted Extraction Conditions for Phenolics, Antioxidant, and Tyrosinase Inhibitory Activities of Vietnamese Brown Seaweed (Padina australis). J. Food Process. Preserv. 2021, 45, e15386. [Google Scholar] [CrossRef]
- War Naw, S.; Darli Kyaw Zaw, N.; Siti Aminah, N.; Amin Alamsjah, M.; Novi Kristanti, A.; Nege, A.S.; Thanda Aung, H. Bioactivities, Heavy Metal Contents and Toxicity Effect of Macroalgae from Two Sites in Madura, Indonesia. J. Saudi Soc. Agric. Sci. 2020, 19, 528–537. [Google Scholar] [CrossRef]
- Li, Y.; Fu, X.; Duan, D.; Liu, X.; Xu, J.; Gao, X. Extraction and Identification of Phlorotannins from the Brown Alga, Sargassum fusiforme (Harvey) Setchell. Mar. Drugs 2017, 15, 49. [Google Scholar] [CrossRef]
- Muñoz-Quintana, M.; Padrón-Sanz, C.; Dolbeth, M.; Arenas, F.; Vasconcelos, V.; Lopes, G. Revealing the Potential of Fucus vesiculosus Linnaeus for Cosmetic Purposes: Chemical Profile and Biological Activities of Commercial and Wild Samples. Mar. Drugs 2024, 22, 548. [Google Scholar] [CrossRef]
- Rajauria, G.; Foley, B.; Abu-Ghannam, N. Identification and Characterization of Phenolic Antioxidant Compounds from Brown Irish Seaweed Himanthalia elongata Using LC-DAD–ESI-MS/MS. Innov. Aliment. Technol. 2016, 37, 261–268. [Google Scholar] [CrossRef]
- Chia, Y.Y.; Kanthimathi, M.S.; Khoo, K.S.; Rajarajeswaran, J.; Cheng, H.M.; Yap, W.S. Antioxidant and Cytotoxic Activities of Three Species of Tropical Seaweeds. BMC Complement. Altern. Med. 2015, 15, 339. [Google Scholar] [CrossRef] [PubMed]
- Onofrejová, L.; Vašíčková, J.; Klejdus, B.; Stratil, P.; Mišurcová, L.; Kráčmar, S.; Kopecký, J.; Vacek, J. Bioactive phenols in algae: The application of pressurized-liquid and solid-phase extraction techniques. J. Pharm. Biomed. Anal. 2010, 51, 464–470. [Google Scholar] [CrossRef]
- Patel, A.K.; Albarico, F.P.J.B.; Perumal, P.K.; Vadrale, A.P.; Nian, C.T.; Chau, H.T.B.; Anwar, C.; Wani, H.M.; Pal, A.; Saini, R.; et al. Algae as an Emerging Source of Bioactive Pigments. Bioresour. Technol. 2022, 351, 126910. [Google Scholar] [CrossRef] [PubMed]
- Lee, M.-K.; Ryu, H.; Lee, J.Y.; Jeong, H.H.; Baek, J.; Van, J.Y.; Kim, M.-J.; Jung, W.-K.; Lee, B. Potential Beneficial Effects of Sargassum Spp. in Skin Aging. Mar. Drugs 2022, 20, 540. [Google Scholar] [CrossRef]
- Resende, D.I.; Ferreira, M.; Magalhães, C.; Lobo, J.S.; Sousa, E.; Almeida, I.F. Trends in the Use of Marine Ingredients in Anti-Aging Cosmetics. Algal Res. 2021, 55, 102273. [Google Scholar] [CrossRef]
- Jesumani, V.; Du, H.; Pei, P.; Aslam, M.; Huang, N. Comparative Study on Skin Protection Activity of Polyphenol-Rich Extract and Polysaccharide-Rich Extract from Sargassum vachellianum. PLoS ONE 2020, 15, e0227308. [Google Scholar] [CrossRef]
- Landa-Cansigno, C.; Serviere-Zaragoza, E.; Morales-Martínez, T.K.; Ascacio-Valdes, J.A.; Morreeuw, Z.P.; Gauyat, C.; Stiger-Pouvreau, V.; Reyes, A.G. The Antioxidant and Anti-Elastase Activity of the Brown Seaweed Sargassum horridum (Fucales, Phaeophyceae) and Their Early Phenolics and Saponins Profiling for Green Cosmetic Applications. Algal Res. 2023, 75, 103271. [Google Scholar] [CrossRef]
- Naser, W. The Cosmetic Effects of Various Natural Biofunctional Ingredients against Skin Aging: A Review. Int. J. App. Pharm. 2021, 13, 10–18. [Google Scholar] [CrossRef]
- Subbiah, V.; Zhong, B.; Nawaz, M.A.; Barrow, C.J.; Dunshea, F.R.; Suleria, H.A.R. Screening of Phenolic Compounds in Australian Grown Berries by LC-ESI-QTOF-MS/MS and Determination of Their Antioxidant Potential. Antioxidants 2020, 10, 26. [Google Scholar] [CrossRef] [PubMed]
- Kergosien, N.; Helias, M.; Le Grand, F.; Cérantola, S.; Simon, G.; Nirma, C.; Thibaut, T.; Berline, L.; Changeux, T.; Blanfuné, A.; et al. Morpho- and Chemotyping of Holopelagic Sargassum Species Causing Massive Strandings in the Caribbean Region. Phycology 2024, 4, 340–362. [Google Scholar] [CrossRef]
- Ferreres, F.; Lopes, G.; Gil-Izquierdo, A.; Andrade, P.; Sousa, C.; Mouga, T.; Valentão, P. Phlorotannin Extracts from Fucales Characterized by HPLC-DAD-ESI-MSn: Approaches to Hyaluronidase Inhibitory Capacity and Antioxidant Properties. Mar. Drugs 2012, 10, 2766–2781. [Google Scholar] [CrossRef]
- Bogolitsyn, K.; Parshina, A.; Druzhinina, A.; Ovchinnikov, D.; Krasikov, V.; Khviyuzov, S. Physicochemical Characteristics of the Active Fractions of Polyphenols from Arctic Macrophytes. J. Appl. Phycol. 2020, 32, 4277–4287. [Google Scholar] [CrossRef]
- Wang, T.; Jónsdóttir, R.; Liu, H.; Gu, L.; Kristinsson, H.G.; Raghavan, S.; Ólafsdóttir, G. Antioxidant Capacities of Phlorotannins Extracted from the Brown Algae Fucus vesiculosus. J. Agric. Food Chem. 2012, 60, 5874–5883. [Google Scholar] [CrossRef] [PubMed]
- Mukherjee, P.K.; Maity, N.; Nema, N.K.; Sarkar, B.K. Bioactive Compounds from Natural Resources against Skin Aging. Phytomedicine 2011, 19, 64–73. [Google Scholar] [CrossRef]
- Ni-Ni-Win, T.; Hanyuda, T.; Draisma, S.G.A.; Lim, P.-E.; PhAng, S.-M.; Kawai, H. Taxonomy of the genus Padina (Dictyotales, Phaeophyceae) based on morphological and molecular evidences, with key to species identification. In Taxonomy of Southeast Asian Seaweeds II; Phang, L., Ed.; University of Malaya Press: Kuala Lumpur, Malaysia, 2013; pp. 119–174. [Google Scholar]
- Benita, M.; Dubinsky, Z.; Iluz, D. Padina pavonica: Morphology and calcification functions and mechanism. Am. J. Plant Sci. 2018, 9, 1156–1168. [Google Scholar] [CrossRef]
- Vieira, C.; Daudinet, M.; Kim, M.S. Untangling the peacock’s tail: Species diversity, taxonomy and origins of the economically valuable brown alga Padina (Dicyotales, Phaeophyceae) in Korea. Algal Res. 2024, 79, 103439. [Google Scholar] [CrossRef]



| Method | Yield (% Relative to the Initial Dry Mass) | TPC mg PGE/g DW | DPPH IC50 mg/mL | FRAP EC50 mg/mL |
|---|---|---|---|---|
| ASE | 18.2 | 94.9 ± 1.5 | 0.29 ± 0.01 | 0.25 ± 0.012 |
| LLE_FAE | 9.2 | 155.1 ± 1.3 | 0.03 ± 0.00 | 0.11 ± 0.04 |
| FC_W | 39.1 | 53.2 ± 1.5 | 2.14 ± 0.2 | 1.41 ± 0.12 |
| FC_EtOH20 | 3.3 | 132.1 ± 1.7 | 0.06 ± 0.01 | 0.12 ± 0.03 |
| FC_EtOH50 | 3.2 | 71.8 ± 3.8 | 0.83 ± 0.07 | 1.11 ± 0.13 |
| FC_EtOH75 | 8.9 | 56.1 ± 2.2 | 1.31 ± 0.07 | 1.40 ± 0.07 |
| FC_EtOH100 | 4.0 | 90.6 ± 5.9 | 0.96 ± 0.12 | 1.01 ± 0.12 |
| SPE_W | 38.8 | 40.8 ± 2.5 | 1.85 ± 0.51 | 0.49 ±0.10 |
| SPE_WE50 | 13.2 | 129.4 ± 1.5 | 0.10 ± 0.09 | 0.15 ± 0.04 |
| SPE_E | 10.3 | 65.7 ± 2.5 | 0.16 ± 0.09 | 0.22 ± 0.09 |
| SPE_ED | 3.1 | 77.7 ± 4.5 | 2.11 ± 0.75 | 3.10 ± 0.65 |
| SPE_D | 2.1 | 31.7 ± 2.5 | 2.30 ± 0.88 | 2.50 ± 0.75 |
| Vitamin C | / | / | 0.02 | 0.08 ± 0.01 |
| BHA | / | / | 0.01 | 0.09 ± 0.01 |
| Type of Purification | Chemical Shifts in the 1H Dimension δ (ppm) | Signal on the 1H | Chemical Shifts in the 13C Dimension δ (ppm) | Signal on the 13C | Type of Phlorotannins |
|---|---|---|---|---|---|
| LLE-FAE | 5.75 | Singulet | 92–95 | Methine zone (C-H of the aromatic ring) | Phloroglucinol |
| 5.8–6.2 | Massif of peaks and doublets | 100–105 | Aryl-Aryl carbons | Fucol | |
| 5.8–6.2 | Massif of peaks and doublets | 125–130 | Diaryl-ether carbons | Fucophlorethol | |
| 5.8–6.2 | Massif of peaks and doublets | 145–150 | Hydroxyl functions | Fuhalol | |
| 5.8–6.2 | Massif of peaks and doublets | 150–165 | Phenolic carbons | ||
| SPE-WE50 | 5.75 | Singulet | 92–95 | Methine zone (C-H of the aromatic ring) | Phloroglucinol |
| 5.8–6.2 | Massif of peaks | 125–130 | Diaryl-ether carbons | Fucophlorethol | |
| 5.8–6.2 | Massif of peaks | 162–165 | Phenolic carbons | ||
| FC-EtOH20 | 5.75 | Singulet | 92–95 | Methine zone (C-H of the aromatic ring) | Phloroglucinol |
| 5.8–6.2 | Not defined signals | 125–130 | Diaryl-ether carbons | Fucophlorethol | |
| 5.8–6.2 | Not defined signals | 162–165 | Phenolic carbons |
| N° | Name | RT | Formula | MW (in Da) | [M − H]− m/z | Type of Purification |
|---|---|---|---|---|---|---|
| 1 | Phloroglucinol (monomer) | 1.11 | C6H6O3 | 126.0317 | 125.0255 | LLE_FAE |
| 2 | Phlorethol/Fucol (dimer) | 1.09 | C12H10O6 | 250.0491 | 249.0415 | LLE_FAE |
| 3 | Fucophlorethol (trimer) | 1.08 | C18H14O9 | 375.5178 | 374.2470 | LLE_FAE |
| 1.08 | C18H14O9 | 375.2526 | 374.2599 | FC_EtOH20 | ||
| 1.08 | C18H14O9 | 375.2511 | 374.2592 | SPE_WE50 | ||
| 4 | Fuhalol (dimer) | 0.85 | C12H10O7 | 266.1565 | 265.1499 | LLE_FAE |
| N° | Name | Formula | MW (in Da) | m/z | Type de Purification | Polarity | RT |
|---|---|---|---|---|---|---|---|
| 1 | Arachidonic acid or Dictyotadiol | C20H32O2 | 304.2402 | 303.2347 | LLE-FAE | negative | 1.05 |
| 2 | Dolastanes (Diterpene) | C20H30O2 | 302.2265 | 301.2193 | LLE-FAE | negative | 1.06 |
| 3 | Hexyl 2F-furoate or (+)-epiloliolide (norisoprenoid) | C11H16O3 | 196.1099 | 197.1171 | FC_EtOH20 | positive | 1.15 |
| 4 | Licoflavone C or Asperterphenylcin B | C20H18O5 | 337.3345 | 338.3406 | LLE-FAE | positive | 1.08 |
| 5 | Asperbiphenyl | C24H30O6 | 414.4936 | 415.2104 | LLE-FAE | positive | 1.11 |
| C24H32O6 | 414.2066 | 415.2126 | SPE_WE50 | positive | 1.02 | ||
| C24H30O6 | 414.2051 | 415.2116 | FC_EtOH20 | positive | 1.11 | ||
| 6 | Cymatherol B (polycyclic oxylipins) | C18H28O4 | 308.1988 | 309.2059 | FC_EtOH20 | positive | 1.20 |
| C18H28O4 | 308.1988 | 307.1909 | SPE_WE50 | negative | 1.11 | ||
| 7 | Phtalonic acid | C9H6O5 | 194.0579 | 193.0147 | FC_EtOH20 | negative | 0.83 |
| C9H6O5 | 194.0579 | 193.0147 | SPE_WE50 | negative | 0.83 | ||
| 8 | Mannitol | C6H14O6 | 182.0790 | 181.0716 | SPE_WE50 | negative | 2.30 |
| C6H14O6 | 182.0790 | 181.0717 | LLE_FAE | negative | 2.30 | ||
| C6H14O6 | 182.1760 | 181.0721 | FC_EtOH20 | negative | 2.30 | ||
| 9 | Penicitide B or Carnosol | C18H34O5 | 330.4754 | 329.2327 | SPE_WE50 | negative | 1.16 |
| C20H26O4 | |||||||
| 10 | 4-[(E)-2-Carboxyvinyl]-2-methoxyphenyl β-D-glucopyranosiduronic acid | C20H34O6 | 370.9217 | 369.2273 | SPE_WE50 | negative | 1.19 |
| 11 | Peonidin 3-O-sambubioside-5-O glucoside | C33H41O20 | 757.2146 | 758.2218 | SPE_WE50 | positive | 1.02 |
| C33H41O20 | 757.2146 | 758.2218 | FC_EtOH20 | positive | 1.03 | ||
| 12 | Identification in progress | C24H47ClO7 | 482.3024 | 481.2948 | LLE_FAE | negative | 1.18 |
Disclaimer/Publisher’s Note: The statements, opinions and data contained in all publications are solely those of the individual author(s) and contributor(s) and not of MDPI and/or the editor(s). MDPI and/or the editor(s) disclaim responsibility for any injury to people or property resulting from any ideas, methods, instructions or products referred to in the content. |
© 2024 by the authors. Licensee MDPI, Basel, Switzerland. This article is an open access article distributed under the terms and conditions of the Creative Commons Attribution (CC BY) license (https://creativecommons.org/licenses/by/4.0/).
Share and Cite
Nour, M.; Stiger-Pouvreau, V.; Guenneguez, A.; Meslet-Cladière, L.; Cérantola, S.; Ali, A.; Simon, G.; Daher, A.; Petek, S. Eco-Friendly Extraction of Phlorotannins from Padina pavonica: Identification Related to Purification Methods Towards Innovative Cosmetic Applications. Mar. Drugs 2025, 23, 15. https://doi.org/10.3390/md23010015
Nour M, Stiger-Pouvreau V, Guenneguez A, Meslet-Cladière L, Cérantola S, Ali A, Simon G, Daher A, Petek S. Eco-Friendly Extraction of Phlorotannins from Padina pavonica: Identification Related to Purification Methods Towards Innovative Cosmetic Applications. Marine Drugs. 2025; 23(1):15. https://doi.org/10.3390/md23010015
Chicago/Turabian StyleNour, Moustapha, Valérie Stiger-Pouvreau, Alain Guenneguez, Laurence Meslet-Cladière, Stéphane Cérantola, Ahmed Ali, Gaelle Simon, Abdourahman Daher, and Sylvain Petek. 2025. "Eco-Friendly Extraction of Phlorotannins from Padina pavonica: Identification Related to Purification Methods Towards Innovative Cosmetic Applications" Marine Drugs 23, no. 1: 15. https://doi.org/10.3390/md23010015
APA StyleNour, M., Stiger-Pouvreau, V., Guenneguez, A., Meslet-Cladière, L., Cérantola, S., Ali, A., Simon, G., Daher, A., & Petek, S. (2025). Eco-Friendly Extraction of Phlorotannins from Padina pavonica: Identification Related to Purification Methods Towards Innovative Cosmetic Applications. Marine Drugs, 23(1), 15. https://doi.org/10.3390/md23010015

