Enhanced Production of High-Value Porphyrin Compound Heme by Metabolic Engineering Modification and Mixotrophic Cultivation of Synechocystis sp. PCC6803
Abstract
1. Introduction
2. Results
2.1. Modular Modification of the Heme-Producing Synthesis-Related Pathways of Synechocystis sp. PCC6803 and Its Enhanced Mixotrophic Capacity
2.1.1. Heme Content of Synechocystis sp. PCC6803
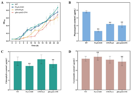
2.1.2. Growth Curves of Synechocystis sp. PCC6803
2.1.3. Phycocyanin Content in Synechocystis sp. PCC6803
2.1.4. Chlorophyll a Content in Synechocystis sp. PCC6803
2.1.5. Carotenoid Content of Synechocystis sp. PCC6803
2.1.6. Mixotrophic Capacity of the Synechocystis sp. PCC6803 Mutant Strain ptsG
2.2. Multidimensional Engineering Modification of Heme-Producing Cell Factories Based on Synechocystis sp. PCC6803
2.2.1. Heme Content of Combined Transformants of Synechocystis sp. PCC6803
2.2.2. Growth of Combined Transformants of Synechocystis sp. PCC6803
2.2.3. Phycocyanin Content in Combined Transformants of Synechocystis sp. PCC6803
2.2.4. Chlorophyll a Content in the Combined Transformants of Synechocystis sp. PCC6803
2.2.5. Carotenoid Content of Combined Transformants of Synechocystis sp. PCC6803
2.2.6. Expression of Heme Synthesis-Related Genes in Synechocystis sp. PCC6803 Combined Transformants
2.2.7. Scanning Electron Microscopic Observation of the Morphological Characteristics of Synechocystis sp. PCC6803 Transformant Cells
2.3. Fermentation Optimization of Synechocystis sp. PCC6803 Cell Factories
2.3.1. Heme Content of Combined Transformants of Synechocystis sp. PCC6803 Based on Optimized Fermentation Conditions
2.3.2. Growth of Synechocystis sp. PCC6803 Combined Transformants Based on Optimized Fermentation Conditions
2.3.3. Phycocyanin Content of Synechocystis sp. PCC6803 Combined Transformants Based on Optimized Fermentation Conditions
2.3.4. Chlorophyll a Content of Synechocystis sp. PCC6803 Combined Transformants Based on Optimized Fermentation Conditions
2.3.5. Carotenoid Content of Synechocystis sp. PCC6803 Combined Transformants after Fermentation Optimization
3. Discussion
3.1. Improved Heme Production of Synechocystis sp. PCC6803 with Knockout of Genes pcyA and chlH and Co-Expression of Genes hemC, hemF, and hemH
3.2. Highest Heme Yield Obtained by the Combined Transformant PcyA-ChlH of Synechocystis sp. PCC6803
3.3. Addition of Glucose Enhanced Heme Content and Growth of Synechocystis sp. PCC6803 Combined Transformants under Mixotrophic Culture
4. Materials and Methods
4.1. Microbial Strains and Plasmids
4.2. Culture Condition
4.3. Construction of Recombinant Plasmids and Microbial Strains
4.4. Plasmid Transformation and Transformant Screening
4.5. Determination of the Growth Curve of Synechocystis sp. PCC6803
4.6. Measurement of Heme Content
4.7. Determination of Chlorophyll a Content
4.8. Determination of Carotenoid Content
4.9. qRT-PCR Assay
4.10. Scanning Electron Microscopic Observation of Cell Morphology of of Synechocystis sp. PCC6803
4.11. Statistical Analysis
5. Conclusions
Supplementary Materials
Author Contributions
Funding
Institutional Review Board Statement
Data Availability Statement
Acknowledgments
Conflicts of Interest
References
- Chiabrando, D.; Vinchi, F.; Fiorito, V.; Mercurio, S.; Tolosano, E. Heme in pathophysiology: A matter of scavenging, metabolism and trafficking across cell membranes. Front. Pharmacol. 2014, 5, 61. [Google Scholar] [CrossRef]
- Beas, J.Z.; Videira, M.A.; Saraiva, L.M. Regulation of bacterial haem biosynthesis. Coord. Chem. Rev. 2022, 452, 214286. [Google Scholar] [CrossRef]
- Sassa, S.; Nagai, T. The role of heme in gene expression. Int. J. Hematol. 1996, 63, 167–178. [Google Scholar] [CrossRef] [PubMed]
- Emerson, R.; Lewis, C.M. The photosynthetic efficiency of phycocyanin in chroococcus, and the problem of carotenoid participation in photosynthesis. J. Gen. Physiol. 1942, 25, 579–595. [Google Scholar] [CrossRef]
- Fan, T.; Roling, L.; Hedtke, B.; Grimm, B. FC2 stabilizes POR and suppresses ALA formation in the tetrapyrrole biosynthesis pathway. New Phytol. 2023, 239, 624–638. [Google Scholar] [CrossRef] [PubMed]
- Chung, J.; Chen, C.; Paw, B.H. Heme metabolism and erythropoiesis. Curr. Opin. Hematol. 2012, 19, 156–162. [Google Scholar] [CrossRef]
- Dailey, H.A.; Medlock, A.E. A primer on heme biosynthesis. Biol. Chem. 2022, 403, 985–1003. [Google Scholar] [CrossRef] [PubMed]
- Koreny, L.; Oborník, M.; Horáková, E.; Waller, R.F.; Lukes, J. The convoluted history of haem biosynthesis. Biol. Rev. 2022, 97, 141–162. [Google Scholar] [CrossRef]
- Rivero-Müller, A.; Lajić, S.; Huhtaniemi, I. Assisted large fragment insertion by Red/ET-recombination (ALFIRE)—An alternative and enhanced method for large fragment recombineering. Nucleic Acids Res. 2007, 35, e78. [Google Scholar] [CrossRef]
- Zhao, X.; Zhou, J.; Du, G.; Chen, J. Recent Advances in the Microbial Synthesis of Hemoglobin. Trends Biotechnol. 2021, 39, 286–297. [Google Scholar] [CrossRef]
- Yang, S.; Wang, A.; Li, J.; Shao, Y.; Sun, F.; Li, S.; Cao, K.; Liu, H.; Xiong, P.; Gao, Z. Improved biosynthesis of heme in Bacillus subtilis through metabolic engineering assisted fed-batch fermentation. Microb. Cell Factories 2023, 22, 1–12. [Google Scholar] [CrossRef]
- Pizarro, F.; Olivares, M.; Valenzuela, C.; Brito, A.; Weinborn, V.; Flores, S.; Arredondo, M. The effect of proteins from animal source foods on heme iron bioavailability in humans. Food Chem. 2016, 196, 733–738. [Google Scholar] [CrossRef] [PubMed]
- Geng, Z.X.; Ge, J.X.; Cui, W.; Zhou, H.; Deng, J.Y.; Xu, B.C. Efficient De Novo Biosynthesis of Heme by Membrane Engineering in Synechocystis sp. PCC 6803. Int. J. Mol. Sci. 2022, 23, 15524. [Google Scholar] [CrossRef]
- Ishchuka, O.P.; Domenzain, I.; Sánchez, B.J.; Muñiz-Paredes, F.; Martínez, J.L.; Nielsen, J.; Petranovic, D. Genome-scale modeling drives 70-fold improvement of intracellular heme production in Synechocystis sp. PCC 6803. Proc. Natl. Acad. Sci. USA 2022, 119, e2108245119. [Google Scholar]
- Espinas, N.A.; Kobayashi, K.; Takahashi, S.; Mochizuki, N.; Masuda, T. Evaluation of Unbound Free Heme in Plant Cells by Differential Acetone Extraction. Plant Cell Physiol. 2012, 53, 1344–1354. [Google Scholar] [CrossRef] [PubMed]
- Cai, T.; Ge, X.M.; Park, S.Y.; Li, Y.B. Comparison of Synechocystis sp. PCC6803 and for lipid production using artificial seawater and nutrients from anaerobic digestion effluent. Bioresour. Technol. 2013, 144, 255–260. [Google Scholar] [CrossRef] [PubMed]
- Liu, Y.; Cui, Y.; Chen, J.; Qin, S.; Chen, G. Metabolic engineering of Synechocystis sp. PCC6803 to produce astaxanthin. Algal Res. 2019, 44, 101679. [Google Scholar] [CrossRef]
- Iijima, H.; Nakaya, Y.; Kuwahara, A.; Hirai, M.Y.; Osanai, T. Seawater cultivation of freshwater cyanobacterium Synechocystis sp. PCC 6803 drastically alters amino acid composition and glycogen metabolism. Front. Microbiol. 2015, 6, 326. [Google Scholar] [CrossRef]
- Chen, C.-Y.; Yeh, K.-L.; Aisyah, R.; Lee, D.-J.; Chang, J.-S. Cultivation, photobioreactor design and harvesting of microalgae for biodiesel production: A critical review. Bioresour. Technol. 2011, 102, 71–81. [Google Scholar] [CrossRef]
- Santos-Merino, M.; Torrado, A.; Davis, G.A.; Röttig, A.; Bibby, T.S.; Kramer, D.M.; Ducat, D.C. Improved photosynthetic capacity and photosystem I oxidation via heterologous metabolism engineering in cyanobacteria. Proc. Natl. Acad. Sci. USA 2021, 118, e2021523118. [Google Scholar] [CrossRef]
- Zhou, J.; Zhang, H.; Zhang, Y.; Li, Y.; Ma, Y. Designing and creating a modularized synthetic pathway in cyanobacterium Synechocystis enables production of acetone from carbon dioxide. Metab. Eng. 2012, 14, 394–400. [Google Scholar] [CrossRef] [PubMed]
- Mo, H.; Xie, X.; Zhu, T.; Lu, X. Effects of global transcription factor NtcA on photosynthetic production of ethylene in recombinant Synechocystis sp. PCC 6803. Biotechnol. Biofuels 2017, 10, 145. [Google Scholar] [CrossRef] [PubMed]
- Lindberg, P.; Park, S.; Melis, A. Engineering a platform for photosynthetic isoprene production in cyanobacteria, using Synechocystis as the model organism. Metab. Eng. 2010, 12, 70–79. [Google Scholar] [CrossRef]
- Carpine, R.; Du, W.; Olivieri, G.; Pollio, A.; Hellingwerf, K.J.; Marzocchella, A.; Branco dos Santos, F. Genetic engineering of Synechocystis sp. PCC6803 for poly-β-hydroxybutyrate overproduction. Algal Res. 2017, 25, 117–127. [Google Scholar] [CrossRef]
- Diao, J.; Song, X.; Zhang, L.; Cui, J.; Chen, L.; Zhang, W. Tailoring cyanobacteria as a new platform for highly efficient synthesis of astaxanthin. Metab. Eng. 2020, 61, 275–287. [Google Scholar] [CrossRef]
- Zhao, X.R.; Choi, K.R.; Lee, S.Y. Metabolic engineering of for secretory production of free haem. Nat. Catal. 2018, 1, 720–728. [Google Scholar] [CrossRef]
- Kwon, S.J.; de Boer, A.L.; Petri, R.; Schmidt-Dannert, C.; Sj, K. High-Level Production of Porphyrins in Metabolically Engineered Escherichia coli: Systematic Extension of a Pathway Assembled from Overexpressed Genes Involved in Heme Biosynthesis. Appl. Environ. Microbiol. 2003, 69, 4875–4883. [Google Scholar] [CrossRef] [PubMed]
- Lee, M.J.; Kim, H.J.; Lee, J.Y.; Kwon, A.S.; Jun, S.Y.; Kang, S.H.; Kim, P. Effect of gene amplifications in porphyrin pathway on heme biosynthesis in a recombinant Escherichia coli. J. Microbiol. Biotechnol. 2013, 23, 668–673. [Google Scholar] [CrossRef]
- Krämer, L.C.; Wasser, D.; Haitz, F.; Sabel, B.; Büchel, C. Heterologous expression of HUP1 glucose transporter enables low-light mediated growth on glucose in Phaeodactylum tricornutum. Algal Res. 2022, 64, 102719. [Google Scholar] [CrossRef]
- Zhang, J.L.; Kang, Z.; Chen, J.; Du, G.C. Optimization of the heme biosynthesis pathway for the production of 5-aminolevulinic acid in Synechocystis sp. PCC6803. Sci. Rep. 2015, 5, 8584. [Google Scholar]
- Lithi, U.J.; Laird, D.W.; Ghassemifar, R.; Wilton, S.D.; Moheimani, N.R. Microalgae as a source of bioavailable heme. Algal Res. 2024, 77, 103363. [Google Scholar] [CrossRef]
- Cao, K.; Wang, X.; Sun, F.; Zhang, H.; Cui, Y.; Cao, Y.; Yao, Q.; Zhu, X.; Yao, T.; Wang, M.; et al. Promoting Heme and Phycocyanin Biosynthesis in Synechocystis sp. PCC 6803 by Overexpression of Porphyrin Pathway Genes with Genetic Engineering. Mar. Drugs 2023, 21, 403. [Google Scholar] [CrossRef] [PubMed]
- Ge, J.Z.; Wang, X.L.; Bai, Y.G.; Wang, Y.; Wang, Y.; Tu, T.; Qin, X.; Su, X.; Luo, H.; Yao, B.; et al. Engineering for efficient assembly of heme proteins. Microb. Cell Fact. 2023, 22, 59. [Google Scholar] [CrossRef] [PubMed]
- Veetil, V.P.; Angermayr, S.A.; Hellingwerf, K.J. Ethylene production with engineered Synechocystis sp PCC 6803 strains. Microb Cell Fact. 2017, 16, 34. [Google Scholar] [CrossRef] [PubMed][Green Version]
- Brown, S.B.; Houghton, J.D.; Vernon, D.I. New trends in photobiology biosynthesis of phycobilins. Formation of the chromophore of phytochrome, phycocyanin and phycoerythrin. J. Photochem. Photobiol. B Biol. 1990, 5, 3–23. [Google Scholar] [CrossRef]
- Plank, T.; Anderson, L.K. Heterologous assembly and rescue of stranded phycocyanin subunits by expression of a foreign cpcBA operon in Synechocystis sp. strain 6803. J. Bacteriol. 1995, 177, 6804–6809. [Google Scholar] [CrossRef]
- Shang, M.-H.; Sun, J.-F.; Bi, Y.; Xu, X.-T.; Zang, X.-N. Fluorescence and antioxidant activity of heterologous expression of phycocyanin and allophycocyanin from Arthrospira platensis. Front. Nutr. 2023, 10, 1127422. [Google Scholar] [CrossRef]
- Yilmaz, M.; Kang, I.; Beale, S.I. Heme oxygenase 2 of the cyanobacterium Synechocystis sp. PCC 6803 is induced under a microaerobic atmosphere and is required for microaerobic growth at high light intensity. Photosynth. Res. 2010, 103, 47–59. [Google Scholar] [CrossRef] [PubMed]
- Heck, S.; Sommer, F.; Zehner, S.; Schroda, M.; Gehringer, M.M.; Frankenberg-Dinkel, N. Expanding the toolbox for phycobiliprotein assembly: Phycoerythrobilin biosynthesis in Synechocystis sp. PCC6803. Physiol. Plantarum. 2024, 176, e14137. [Google Scholar] [CrossRef]
- Sun, D.G.; Xiao, D.F.; Zang, X.N.; Wu, F.; Jin, Y.; Cao, X.; Guo, Y.; Liu, Z.; Wang, H.; Zhang, X. Cloning of the pcyA gene from Arthrospira platensis FACHB314 and its function on expression of a fluorescent phycocyanin in heterologous hosts. J. Appl. Phycol. 2019, 31, 3665–3675. [Google Scholar] [CrossRef]
- Schmetterer, G.R. Sequence conservation among the glucose transporter from the cyanobacterium Synechocystis sp. PCC 6803 and mammalian glucose transporters. Plant Mol. Biol. 1990, 14, 697–706. [Google Scholar] [CrossRef] [PubMed]
- Hu, J.; Nagarajan, D.; Zhang, Q.; Chang, J.-S.; Lee, D.-J. Heterotrophic cultivation of microalgae for pigment production: A review. Biotechnol. Adv. 2018, 36, 54–67. [Google Scholar] [CrossRef]
- Roumenina, L.T.; Rayes, J.; Lacroix-Desmazes, S.; Dimitrov, J.D. Heme: Modulator of Plasma Systems in Hemolytic Diseases. Trends Mol. Med. 2016, 22, 200–213. [Google Scholar] [CrossRef] [PubMed]
- Wang, L.; Yang, T.; Pan, Y.; Shi, L.; Jin, Y.; Huang, X. The Metabolism of Reactive Oxygen Species and Their Effects on Lipid Biosynthesis of Microalgae. Int. J. Mol. Sci. 2023, 24, 11041. [Google Scholar] [CrossRef] [PubMed]
- Ding, X.T.; Fan, Y.; Jiang, E.Y.; Shi, X.-Y.; Krautter, E.; Hu, G.-R.; Li, F.-L. Expression of the hemoglobin gene in regulates intracellular oxygen balance under high-light. J. Photochem. Photobiol. B Biol. 2021, 221, 112237. [Google Scholar] [CrossRef]
- Sinclair, P.R.; Gorman, N.; Jacobs, J.M. Measurement of Heme Concentration. Curr. Protoc. Toxicol. 1999, 8.3.1–8.3.7. [Google Scholar] [CrossRef]
- Bennett, A.; Bogorad, L. Complementary chromatic adaptation in a filamentous blue-green alga. J. Cell Biol. 1973, 58, 419–435. [Google Scholar] [CrossRef]
- Livak, K.J.; Schmittgen, T.D. Analysis of relative gene expression data using real-time quantitative PCR and the 2(-Delta Delta C(T)) Method. Methods 2001, 25, 402–408. [Google Scholar] [CrossRef]










Disclaimer/Publisher’s Note: The statements, opinions and data contained in all publications are solely those of the individual author(s) and contributor(s) and not of MDPI and/or the editor(s). MDPI and/or the editor(s) disclaim responsibility for any injury to people or property resulting from any ideas, methods, instructions or products referred to in the content. |
© 2024 by the authors. Licensee MDPI, Basel, Switzerland. This article is an open access article distributed under the terms and conditions of the Creative Commons Attribution (CC BY) license (https://creativecommons.org/licenses/by/4.0/).
Share and Cite
Cao, K.; Sun, F.; Xin, Z.; Cao, Y.; Zhu, X.; Tian, H.; Cao, T.; Ma, J.; Mu, W.; Sun, J.; et al. Enhanced Production of High-Value Porphyrin Compound Heme by Metabolic Engineering Modification and Mixotrophic Cultivation of Synechocystis sp. PCC6803. Mar. Drugs 2024, 22, 378. https://doi.org/10.3390/md22090378
Cao K, Sun F, Xin Z, Cao Y, Zhu X, Tian H, Cao T, Ma J, Mu W, Sun J, et al. Enhanced Production of High-Value Porphyrin Compound Heme by Metabolic Engineering Modification and Mixotrophic Cultivation of Synechocystis sp. PCC6803. Marine Drugs. 2024; 22(9):378. https://doi.org/10.3390/md22090378
Chicago/Turabian StyleCao, Kai, Fengjie Sun, Zechen Xin, Yujiao Cao, Xiangyu Zhu, Huan Tian, Tong Cao, Jinju Ma, Weidong Mu, Jiankun Sun, and et al. 2024. "Enhanced Production of High-Value Porphyrin Compound Heme by Metabolic Engineering Modification and Mixotrophic Cultivation of Synechocystis sp. PCC6803" Marine Drugs 22, no. 9: 378. https://doi.org/10.3390/md22090378
APA StyleCao, K., Sun, F., Xin, Z., Cao, Y., Zhu, X., Tian, H., Cao, T., Ma, J., Mu, W., Sun, J., Zhou, R., Gao, Z., & Meng, C. (2024). Enhanced Production of High-Value Porphyrin Compound Heme by Metabolic Engineering Modification and Mixotrophic Cultivation of Synechocystis sp. PCC6803. Marine Drugs, 22(9), 378. https://doi.org/10.3390/md22090378

