Fucoidan as a Promising Drug for Pain Treatment: Systematic Review and Meta-Analysis
Abstract
1. Introduction
2. Results and Discussion
2.1. Fucoidan: Mechanism of Action
2.2. Fucoidan: A Tool to Study the Role of Neutrophils in Pain
2.3. Efficacy of Fucoidan as a Neutrophil Depletion Strategy
2.4. Analgesic Efficacy of Preventive Treatment with Fucoidan
2.5. Fucoidan as a Tool to Study Opioid-Related Endogenous Analgesia
2.6. Fucoidan for Treating Pain-Related Conditions: Preclinical Studies
2.7. Fucoidan for Treating Pain-Related Conditions: Human Studies
2.8. Deleterious Effects of Neutrophil Depletion
2.9. Disadvantages of Using Fucoidan for Neutrophil Depletion
3. Methods
3.1. Protocol and Registration
3.2. PICO Research Question
3.3. Information Sources and Search Strategy
3.4. Inclusion and Exclusion Criteria
3.5. Article Selection
3.6. Data Extraction
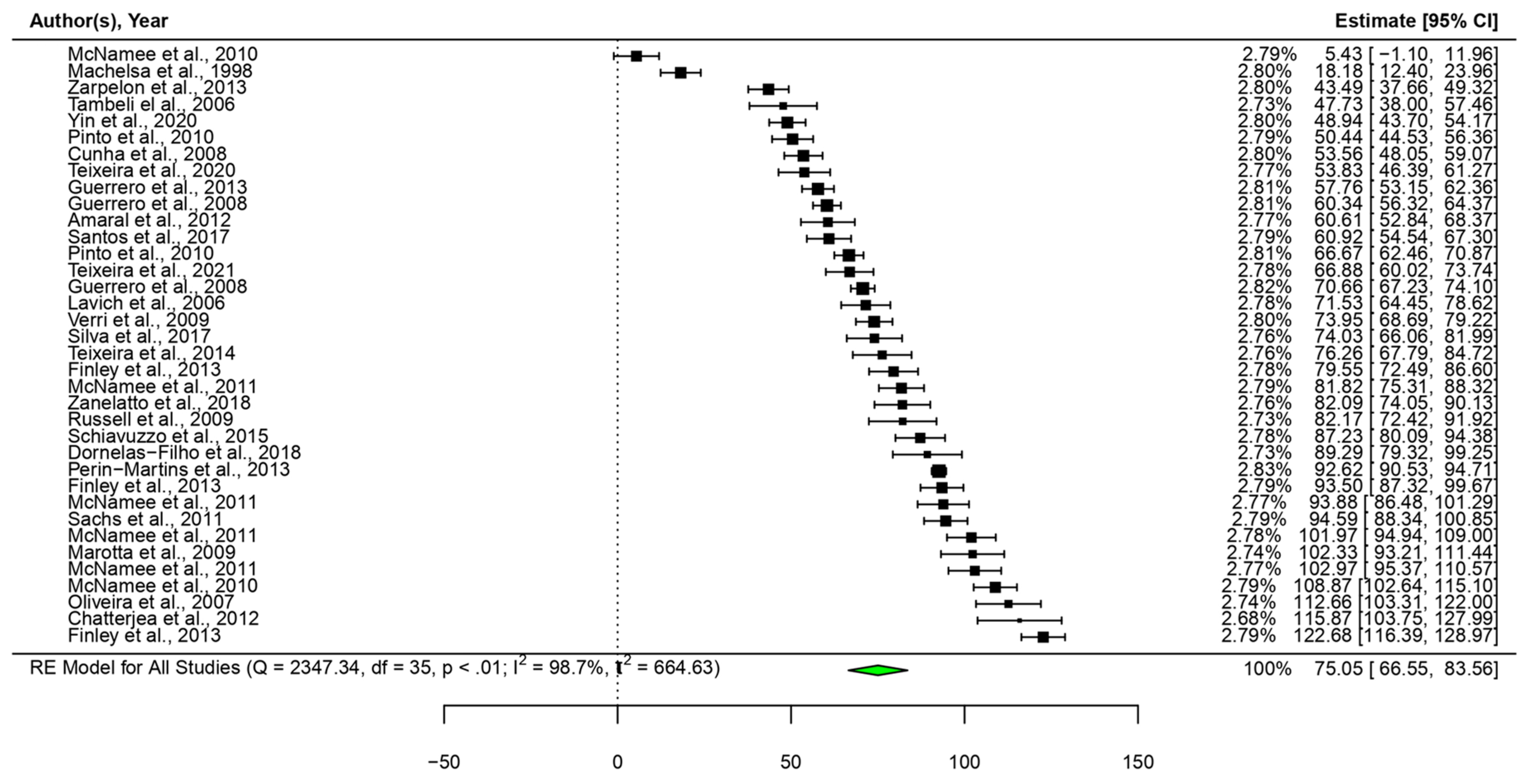
3.7. Meta-Analysis and Statistics
4. Concluding Remarks
Author Contributions
Funding
Institutional Review Board Statement
Data Availability Statement
Conflicts of Interest
References
- Fine, N.; Tasevski, N.; McCulloch, C.A.; Tenenbaum, H.C.; Glogauer, M. The Neutrophil: Constant Defender and First Responder. Front. Immunol. 2020, 11, 571085. [Google Scholar] [CrossRef] [PubMed]
- Margraf, A.; Lowell, C.A.; Zarbock, A. Neutrophils in Acute Inflammation: Current Concepts and Translational Implications. Blood 2022, 139, 2130–2144. [Google Scholar] [CrossRef] [PubMed]
- Rosales, C. Neutrophil: A Cell with Many Roles in Inflammation or Several Cell Types? Front. Physiol. 2018, 9, 113. [Google Scholar] [CrossRef] [PubMed]
- Riaz, B.; Sohn, S. Neutrophils in Inflammatory Diseases: Unraveling the Impact of Their Derived Molecules and Heterogeneity. Cells 2023, 12, 2621. [Google Scholar] [CrossRef]
- Soehnlein, O.; Steffens, S.; Hidalgo, A.; Weber, C. Neutrophils as Protagonists and Targets in Chronic Inflammation. Nat. Rev. Immunol. 2017, 17, 248–261. [Google Scholar] [CrossRef] [PubMed]
- Calvo, M.; Dawes, J.M.; Bennett, D.L.H. The Role of the Immune System in the Generation of Neuropathic Pain. Lancet Neurol. 2012, 11, 629–642. [Google Scholar] [CrossRef]
- Momin, A.; McNaughton, P.A. Regulation of Firing Frequency in Nociceptive Neurons by Pro-Inflammatory Mediators. Exp. Brain Res. 2009, 196, 45–52. [Google Scholar] [CrossRef] [PubMed]
- Levine, J.D.; Gooding, J.; Donatoni, P.; Borden, L.; Goetzl, E.J. The Role of the Polymorphonuclear Leukocyte in Hyperalgesia. J. Neurosci. 1985, 5, 3025. [Google Scholar] [CrossRef][Green Version]
- Bisgaard, H.; Kristensen, J.K. Leukotriene B4 Produces Hyperalgesia in Humans. Prostaglandins 1985, 30, 791–797. [Google Scholar] [CrossRef]
- Levine, J.D.; Lau, W.; Kwiat, G.; Goetzl, E.J. Leukotriene B4 Produces Hyperalgesia That Is Dependent on Polymorphonuclear Leukocytes. Science 1984, 225, 743–745. [Google Scholar] [CrossRef]
- Lee, M.-C.; McCubbin, J.A.; Christensen, A.D.; Poole, D.P.; Rajasekhar, P.; Lieu, T.; Bunnett, N.W.; Garcia-Caraballo, S.; Erickson, A.; Brierley, S.M.; et al. G-CSF Receptor Blockade Ameliorates Arthritic Pain and Disease. J. Immunol. 2017, 198, 3565–3575. [Google Scholar] [CrossRef] [PubMed]
- Harada, Y.; Zhang, J.; Imari, K.; Yamasaki, R.; Ni, J.; Wu, Z.; Yamamoto, K.; Kira, J.I.; Nakanishi, H.; Hayashi, Y. Cathepsin E in Neutrophils Contributes to the Generation of Neuropathic Pain in Experimental Autoimmune Encephalomyelitis. Pain 2019, 160, 2050–2062. [Google Scholar] [CrossRef] [PubMed]
- Carreira, E.U.; Carregaro, V.; Teixeira, M.M.; Moriconi, A.; Aramini, A.; Verri, W.A.; Ferreira, S.H.; Cunha, F.Q.; Cunha, T.M. Neutrophils Recruited by CXCR1/2 Signalling Mediate Post-Incisional Pain. Eur. J. Pain 2013, 17, 654–663. [Google Scholar] [CrossRef] [PubMed]
- Rittner, H.L.; Brack, A.; Stein, C. Pain and the Immune System. Br. J. Anaesth. 2008, 101, 40–44. [Google Scholar] [CrossRef] [PubMed]
- Rittner, H.L.; Hackel, D.; Yamdeu, R.S.; Mousa, S.A.; Stein, C.; Schäfer, M.; Brack, A. Antinociception by Neutrophil-Derived Opioid Peptides in Noninflamed Tissue—Role of Hypertonicity and the Perineurium. Brain Behav. Immun. 2009, 23, 548–557. [Google Scholar] [CrossRef] [PubMed]
- Shi, J.T.; Cao, W.Y.; Zhang, X.N.; Wan, H.Y.; Su, Y.S.; Qu, Z.Y.; Wang, R.; He, W.; Jing, X.H.; Wang, X.Y. Local Analgesia of Electroacupuncture Is Mediated by the Recruitment of Neutrophils and Released β-Endorphins. Pain 2023, 164, 1965–1975. [Google Scholar] [CrossRef] [PubMed]
- Brack, A.; Rittner, H.L.; Machelska, H.; Leder, K.; Mousa, S.A.; Schäfer, M.; Stein, C. Control of Inflammatory Pain by Chemokine-Mediated Recruitment of Opioid-Containing Polymorphonuclear Cells. Pain 2004, 112, 229–238. [Google Scholar] [CrossRef] [PubMed]
- Gupta, A.; Gullapalli, S.; Pan, H.; Ramos-Ortolaza, D.L.; Hayward, M.D.; Low, M.J.; Pintar, J.E.; Devi, L.A.; Gomes, I. Regulation of Opioid Receptors by Their Endogenous Opioid Peptides. Cell Mol. Neurobiol. 2021, 41, 1103. [Google Scholar] [CrossRef] [PubMed]
- Segelcke, D.; Pradier, B.; Reichl, S.; Schäfer, L.C.; Pogatzki-Zahn, E.M. Investigating the Role of Ly6G+ Neutrophils in Incisional and Inflammatory Pain by Multidimensional Pain-Related Behavioral Assessments: Bridging the Translational Gap. Front. Pain Res. 2021, 2, 735838. [Google Scholar] [CrossRef]
- Sahbaie, P.; Li, X.; Shi, X.; Clark, J.D. Roles of Gr-1+ Leukocytes in Postincisional Nociceptive Sensitization and Inflammation. Anesthesiology 2012, 117, 602–612. [Google Scholar] [CrossRef]
- Bennett, G.; Al-Rashed, S.; Hoult, J.R.S.; Brain, S.D. Nerve Growth Factor Induced Hyperalgesia in the Rat Hind Paw Is Dependent on Circulating Neutrophils. Pain 1998, 77, 315–322. [Google Scholar] [CrossRef] [PubMed]
- Labuz, D.; Berger, S.; Mousa, S.A.; Zöllner, C.; Rittner, H.L.; Shaqura, M.A.; Segovia-Silvestre, T.; Przewlocka, B.; Stein, C.; Machelska, H. Peripheral Antinociceptive Effects of Exogenous and Immune Cell-Derived Endomorphins in Prolonged Inflammatory Pain. J. Neurosci. 2006, 26, 4350–4358. [Google Scholar] [CrossRef] [PubMed]
- Chiu, I.M.; Heesters, B.A.; Ghasemlou, N.; Von Hehn, C.A.; Zhao, F.; Tran, J.; Wainger, B.; Strominger, A.; Muralidharan, S.; Horswill, A.R.; et al. Bacteria Activate Sensory Neurons That Modulate Pain and Inflammation. Nature 2013, 501, 52–57. [Google Scholar] [CrossRef] [PubMed]
- González-Rodríguez, S.; Álvarez, M.G.; García-Domínguez, M.; Lastra, A.; Cernuda-Cernuda, R.; Folgueras, A.R.; Fernández-García, M.T.; Hidalgo, A.; Baamonde, A.; Menéndez, L. Hyperalgesic and Hypoalgesic Mechanisms Evoked by the Acute Administration of CCL5 in Mice. Brain Behav. Immun. 2017, 62, 151–161. [Google Scholar] [CrossRef] [PubMed]
- Nadeau, S.; Filali, M.; Zhang, J.; Kerr, B.J.; Rivest, S.; Soulet, D.; Iwakura, Y.; Vaccari, J.P.d.R.; Keane, R.W.; Lacroix, S. Functional Recovery after Peripheral Nerve Injury Is Dependent on the Pro-Inflammatory Cytokines IL-1β and TNF: Implications for Neuropathic Pain. J. Neurosci. 2011, 31, 12533–12542. [Google Scholar] [CrossRef] [PubMed]
- Tejada, M.A.; Montilla-García, A.; Cronin, S.J.; Cikes, D.; Sánchez-Fernández, C.; González-Cano, R.; Ruiz-Cantero, M.C.; Penninger, J.M.; Vela, J.M.; Baeyens, J.M.; et al. Sigma-1 Receptors Control Immune-Driven Peripheral Opioid Analgesia during Inflammation in Mice. Proc. Natl. Acad. Sci. USA 2017, 114, 8396–8401. [Google Scholar] [CrossRef] [PubMed]
- Ruiz-Cantero, M.C.; Huerta, M.; Tejada, M.; Santos-Caballero, M.; Fernández-Segura, E.; Cañizares, F.J.; Entrena, J.M.; Baeyens, J.M.; Cobos, E.J. Sigma-1 Receptor Agonism Exacerbates Immune-Driven Nociception: Role of TRPV1 + Nociceptors. Biomed. Pharmacother. 2023, 167, 115534. [Google Scholar] [CrossRef] [PubMed]
- Pollenus, E.; Malengier-Devlies, B.; Vandermosten, L.; Pham, T.T.; Mitera, T.; Possemiers, H.; Boon, L.; Opdenakker, G.; Matthys, P.; Van den Steen, P.E. Limitations of Neutrophil Depletion by Anti-Ly6G Antibodies in Two Heterogenic Immunological Models. Immunol. Lett. 2019, 212, 30–36. [Google Scholar] [CrossRef] [PubMed]
- Moses, K.; Klein, J.C.; Männ, L.; Klingberg, A.; Gunzer, M.; Brandau, S. Survival of Residual Neutrophils and Accelerated Myelopoiesis Limit the Efficacy of Antibody-Mediated Depletion of Ly-6G+ Cells in Tumor-Bearing Mice. J. Leukoc. Biol. 2016, 99, 811–823. [Google Scholar] [CrossRef]
- Boivin, G.; Faget, J.; Ancey, P.B.; Gkasti, A.; Mussard, J.; Engblom, C.; Pfirschke, C.; Contat, C.; Pascual, J.; Vazquez, J.; et al. Durable and Controlled Depletion of Neutrophils in Mice. Nat. Commun. 2020, 11, 2762. [Google Scholar] [CrossRef]
- Zhang, C.; Chen, J.; Wang, H.; Chen, J.; Zheng, M.J.; Chen, X.G.; Zhang, L.; Liang, C.Z.; Zhan, C.S. IL-17 Exacerbates Experimental Autoimmune Prostatitis via CXCL1/CXCL2-Mediated Neutrophil Infiltration. Andrologia 2022, 54, e14455. [Google Scholar] [CrossRef]
- Li, Y.; Tian, X.; He, W.; Jin, C.; Yang, C.; Pan, Z.; Xu, Y.; Yang, H.; Liu, H.; Liu, T.; et al. Fucoidan-Functionalized Gelatin Methacryloyl Microspheres Ameliorate Intervertebral Disc Degeneration by Restoring Redox and Matrix Homeostasis of Nucleus Pulposus. Int. J. Biol. Macromol. 2023, 250, 126166. [Google Scholar] [CrossRef] [PubMed]
- Wang, Z.; Liu, T.; Chen, X.; You, H.; Zhang, Q.; Xue, J.; Zheng, Y.; Luo, D. Low Molecular Weight Fucoidan Ameliorates Hindlimb Ischemic Injury in Type 2 Diabetic Rats. J. Ethnopharmacol. 2018, 210, 434–442. [Google Scholar] [CrossRef] [PubMed]
- Ahn, J.H.; Shin, M.C.; Kim, D.W.; Kim, H.; Song, M.; Lee, T.K.; Lee, J.C.; Kim, H.; Cho, J.H.; Kim, Y.M.; et al. Antioxidant Properties of Fucoidan Alleviate Acceleration and Exacerbation of Hippocampal Neuronal Death Following Transient Global Cerebral Ischemia in High-Fat Diet-Induced Obese Gerbils. Int. J. Mol. Sci. 2019, 20, 554. [Google Scholar] [CrossRef] [PubMed]
- Manzo-Silberman, S.; Louedec, L.; Meilhac, O.; Letourneur, D.; Michel, J.B.; Elmadbouh, I. Therapeutic Potential of Fucoidan in Myocardial Ischemia. J. Cardiovasc. Pharmacol. 2011, 58, 626–632. [Google Scholar] [CrossRef] [PubMed]
- Pozharitskaya, O.N.; Obluchinskaya, E.D.; Shikov, A.N. Mechanisms of Bioactivities of Fucoidan from the Brown Seaweed Fucus vesiculosus L. of the Barents Sea. Mar. Drugs 2020, 18, 275. [Google Scholar] [CrossRef] [PubMed]
- Arunkumar, K.; Raj, R.; Raja, R.; Carvalho, I.S. Brown Seaweeds as a Source of Anti-Hyaluronidase Compounds. S. Afr. J. Bot. 2021, 139, 470–477. [Google Scholar] [CrossRef]
- Choo, G.S.; Lee, H.N.; Shin, S.A.; Kim, H.J.; Jung, J.Y. Anticancer Effect of Fucoidan on DU-145 Prostate Cancer Cells through Inhibition of PI3K/Akt and MAPK Pathway Expression. Mar. Drugs 2016, 14, 126. [Google Scholar] [CrossRef] [PubMed]
- Obluchinskaya, E.D.; Pozharitskaya, O.N.; Shikov, A.N. In Vitro Anti-Inflammatory Activities of Fucoidans from Five Species of Brown Seaweeds. Mar. Drugs 2022, 20, 606. [Google Scholar] [CrossRef] [PubMed]
- Myers, S.P.; Mulder, A.M.; Baker, D.G.; Robinson, S.R.; Rolfe, M.I.; Brooks, L.; Fitton, J.H. Effects of Fucoidan from Fucus Vesiculosus in Reducing Symptoms of Osteoarthritis: A Randomized Placebo-Controlled Trial. Biologics 2016, 10, 81–88. [Google Scholar] [CrossRef]
- Ale, M.T.; Mikkelsen, J.D.; Meyer, A.S. Important Determinants for Fucoidan Bioactivity: A Critical Review of Structure-Function Relations and Extraction Methods for Fucose-Containing Sulfated Polysaccharides from Brown Seaweeds. Mar. Drugs 2011, 9, 2106–2130. [Google Scholar] [CrossRef] [PubMed]
- Wang, Y.; Xing, M.; Cao, Q.; Ji, A.; Liang, H.; Song, S. Biological Activities of Fucoidan and the Factors Mediating Its Therapeutic Effects: A Review of Recent Studies. Mar. Drugs 2019, 17, 183. [Google Scholar] [CrossRef] [PubMed]
- Anastyuk, S.D.; Imbs, T.I.; Shevchenko, N.M.; Dmitrenok, P.S.; Zvyagintseva, T.N. ESIMS Analysis of Fucoidan Preparations from Costaria Costata, Extracted from Alga at Different Life-Stages. Carbohydr. Polym. 2012, 90, 993–1002. [Google Scholar] [CrossRef] [PubMed]
- Wang, J.; Zhang, Q.; Zhang, Z.; Zhang, H.; Niu, X. Structural Studies on a Novel Fucogalactan Sulfate Extracted from the Brown Seaweed Laminaria Japonica. Int. J. Biol. Macromol. 2010, 47, 126–131. [Google Scholar] [CrossRef] [PubMed]
- Yuan, Y.; Macquarrie, D. Microwave Assisted Extraction of Sulfated Polysaccharides (Fucoidan) from Ascophyllum Nodosum and Its Antioxidant Activity. Carbohydr. Polym. 2015, 129, 101–107. [Google Scholar] [CrossRef] [PubMed]
- Li, B.; Lu, F.; Wei, X.; Zhao, R. Fucoidan: Structure and Bioactivity. Molecules 2008, 13, 1671–1695. [Google Scholar] [CrossRef] [PubMed]
- Foley, S.A.; Mulloy, B.; Tuohy, M.G. An Unfractionated Fucoidan from Ascophyllum Nodosum: Extraction, Characterization, and Apoptotic Effects in Vitro. J. Nat. Prod. 2011, 74, 1851–1861. [Google Scholar] [CrossRef]
- Honya, M.; Mori, H.; Anzai, M.; Araki, Y.; Nisizawa, K. Monthly Changes in the Content of Fucans, Their Constituent Sugars and Sulphate in Cultured Laminaria Japonica. Hydrobiologia 1999, 398, 411–416. [Google Scholar] [CrossRef]
- Mak, W.; Hamid, N.; Liu, T.; Lu, J.; White, W.L. Fucoidan from New Zealand Undaria Pinnatifida: Monthly Variations and Determination of Antioxidant Activities. Carbohydr. Polym. 2013, 95, 606–614. [Google Scholar] [CrossRef]
- Kusaykin, M.; Bakunina, I.; Sovo, V.; Ermakova, S.; Kuznetsova, T.; Besednova, N.; Zaporozhets, T.; Zvyagintseva, T. Structure, Biological Activity, and Enzymatic Transformation of Fucoidans from the Brown Seaweeds. Biotechnol. J. 2008, 3, 904–915. [Google Scholar] [CrossRef]
- Chizhov, A.O.; Dell, A.; Morris, H.R.; Haslam, S.M.; McDowell, R.A.; Shashkov, A.S.; Nifant’ev, N.E.; Khatuntseva, E.A.; Usov, A.I. A Study of Fucoidan from the Brown Seaweed Chorda Filum. Carbohydr. Res. 1999, 320, 108–119. [Google Scholar] [CrossRef] [PubMed]
- Juenet, M.; Aid-Launais, R.; Li, B.; Berger, A.; Aerts, J.; Ollivier, V.; Nicoletti, A.; Letourneur, D.; Chauvierre, C. Thrombolytic Therapy Based on Fucoidan-Functionalized Polymer Nanoparticles Targeting P-Selectin. Biomaterials 2018, 156, 204–216. [Google Scholar] [CrossRef] [PubMed]
- Bachelet, L.; Bertholon, I.; Lavigne, D.; Vassy, R.; Jandrot-Perrus, M.; Chaubet, F.; Letourneur, D. Affinity of Low Molecular Weight Fucoidan for P-Selectin Triggers Its Binding to Activated Human Platelets. Biochim. Biophys. Acta 2009, 1790, 141–146. [Google Scholar] [CrossRef] [PubMed]
- Shamay, Y.; Elkabets, M.; Li, H.; Shah, J.; Brook, S.; Wang, F.; Adler, K.; Baut, E.; Scaltriti, M.; Jena, P.V.; et al. P-Selectin Is a Nanotherapeutic Delivery Target in the Tumor Microenvironment. Sci. Transl. Med. 2016, 8, 345ra87. [Google Scholar] [CrossRef] [PubMed]
- Ahmad, T.; Eapen, M.S.; Ishaq, M.; Park, A.Y.; Karpiniec, S.S.; Stringer, D.N.; Sohal, S.S.; Fitton, J.H.; Guven, N.; Caruso, V.; et al. Anti-Inflammatory Activity of Fucoidan Extracts in Vitro. Mar. Drugs 2021, 19, 702. [Google Scholar] [CrossRef] [PubMed]
- Carvalho, A.C.S.; Sousa, R.B.; Franco, Á.X.; Costa, J.V.G.; Neves, L.M.; Ribeiro, R.A.; Sutton, R.; Criddle, D.N.; Soares, P.M.G.; De Souza, M.H.L.P. Protective Effects of Fucoidan, a P- and L-Selectin Inhibitor, in Murine Acute Pancreatitis. Pancreas 2014, 43, 82–87. [Google Scholar] [CrossRef] [PubMed]
- Burns, A.R.; Bowden, R.A.; Abe, Y.; Walker, D.C.; Simon, S.I.; Entman, M.L.; Smith, C.W. P-Selectin Mediates Neutrophil Adhesion to Endothelial Cell Borders. J. Leukoc. Biol. 1999, 65, 299–306. [Google Scholar] [CrossRef] [PubMed]
- Etulain, J.; Martinod, K.; Wong, S.L.; Cifuni, S.M.; Schattner, M.; Wagner, D.D. P-Selectin Promotes Neutrophil Extracellular Trap Formation in Mice. Blood 2015, 126, 242–246. [Google Scholar] [CrossRef]
- Tchernychev, B.; Furie, B.; Furie, B.C. Peritoneal Macrophages Express Both P-Selectin and PSGL-1. J. Cell Biol. 2003, 163, 1145–1155. [Google Scholar] [CrossRef]
- Bonder, C.S.; Norman, M.U.; MacRae, T.; Mangan, P.R.; Weaver, C.T.; Bullard, D.C.; McCafferty, D.M.; Kubes, P. P-Selectin Can Support Both Th1 and Th2 Lymphocyte Rolling in the Intestinal Microvasculature. Am. J. Pathol. 2005, 167, 1647–1660. [Google Scholar] [CrossRef]
- Machelska, H.; Brack, A.; Mousa, S.A.; Schopohl, J.K.; Rittner, H.L.; Schäfer, M.; Stein, C. Selectins and Integrins but Not Platelet–Endothelial Cell Adhesion Molecule-1 Regulate Opioid Inhibition of Inflammatory Pain. Br. J. Pharmacol. 2004, 142, 772–780. [Google Scholar] [CrossRef] [PubMed]
- Chatterjea, D.; Wetzel, A.; Mack, M.; Engblom, C.; Allen, J.; Mora-Solano, C.; Paredes, L.; Balsells, E.; Martinov, T. Mast Cell Degranulation Mediates Compound 48/80-Induced Hyperalgesia in Mice. Biochem. Biophys. Res. Commun. 2012, 425, 237–243. [Google Scholar] [CrossRef] [PubMed]
- Finley, A.; Chen, Z.; Esposito, E.; Cuzzocrea, S.; Sabbadini, R.; Salvemini, D. Sphingosine 1-Phosphate Mediates Hyperalgesia via a Neutrophil-Dependent Mechanism. PLoS ONE 2013, 8, e55255. [Google Scholar] [CrossRef] [PubMed]
- Russell, F.A.; Fernandes, E.S.; Courade, J.P.; Keeble, J.E.; Brain, S.D. Tumour Necrosis Factor Alpha Mediates Transient Receptor Potential Vanilloid 1-Dependent Bilateral Thermal Hyperalgesia with Distinct Peripheral Roles of Interleukin-1beta, Protein Kinase C and Cyclooxygenase-2 Signalling. Pain 2009, 142, 264–274. [Google Scholar] [CrossRef] [PubMed]
- Verri, W.A.; Cunha, T.M.; Magro, D.A.; Guerrero, A.T.G.; Vieira, S.M.; Carregaro, V.; Souza, G.R.; Henriques, M.D.G.M.O.; Ferreira, S.H.; Cunha, F.Q. Targeting Endothelin ETA and ETB Receptors Inhibits Antigen-Induced Neutrophil Migration and Mechanical Hypernociception in Mice. Naunyn Schmiedebergs Arch. Pharmacol. 2009, 379, 271–279. [Google Scholar] [CrossRef] [PubMed]
- Dos Santos, D.F.D.S.; de Melo Aquino, B.; Jorge, C.O.; de Azambuja, G.; Schiavuzzo, J.G.; Krimon, S.; dos Santos Neves, J.; Parada, C.A.; Oliveira-Fusaro, M.C.G. Muscle Pain Induced by Static Contraction in Rats Is Modulated by Peripheral Inflammatory Mechanisms. Neuroscience 2017, 358, 58–69. [Google Scholar] [CrossRef] [PubMed]
- Oliveira, M.C.G.; Pelegrini-da-Silva, A.; Tambeli, C.H.; Parada, C.A. Peripheral Mechanisms Underlying the Essential Role of P2X3,2/3 Receptors in the Development of Inflammatory Hyperalgesia. Pain 2009, 141, 127–134. [Google Scholar] [CrossRef] [PubMed]
- Cunha, T.M.; Verri, W.A.; Schivo, I.R.; Napimoga, M.H.; Parada, C.A.; Poole, S.; Teixeira, M.M.; Ferreira, S.H.; Cunha, F.Q. Crucial Role of Neutrophils in the Development of Mechanical Inflammatory Hypernociception. J. Leukoc. Biol. 2008, 83, 824–832. [Google Scholar] [CrossRef] [PubMed]
- Machelska, H.; Cabot, P.J.; Mousa, S.A.; Zhang, Q.; Stein, C. Pain Control in Inflammation Governed by Selectins. Nat. Med. 1998, 4, 1425–1428. [Google Scholar] [CrossRef]
- Dell’Antonio, G.; Quattrini, A.; Dal Cin, E.; Fulgenzi, A.; Ferrero, M.E. Relief of Inflammatory Pain in Rats by Local Use of the Selective P2X7 ATP Receptor Inhibitor, Oxidized ATP. Arthritis Rheum. 2002, 46, 3378–3385. [Google Scholar] [CrossRef]
- Tambeli, C.H.; Oliveira, M.C.G.; Clemente, J.T.; Pelegrini-da-Silva, A.; Parada, C.A. A Novel Mechanism Involved in 5-Hydroxytryptamine-Induced Nociception: The Indirect Activation of Primary Afferents. Neuroscience 2006, 141, 1517–1524. [Google Scholar] [CrossRef] [PubMed]
- Oliveira, M.C.G.; Pelegrini-da-Silva, A.; Parada, C.A.; Tambeli, C.H. 5-HT Acts on Nociceptive Primary Afferents through an Indirect Mechanism to Induce Hyperalgesia in the Subcutaneous Tissue. Neuroscience 2007, 145, 708–714. [Google Scholar] [CrossRef] [PubMed]
- McNamee, K.E.; Alzabin, S.; Hughes, J.P.; Anand, P.; Feldmann, M.; Williams, R.O.; Inglis, J.J. IL-17 Induces Hyperalgesia via TNF-Dependent Neutrophil Infiltration. Pain 2011, 152, 1838–1845. [Google Scholar] [CrossRef] [PubMed]
- Perin-Martins, A.; Teixeira, J.M.; Tambeli, C.H.; Parada, C.A.; Fischer, L. Mechanisms Underlying Transient Receptor Potential Ankyrin 1 (TRPA1)-Mediated Hyperalgesia and Edema. J. Peripher. Nerv. Syst. 2013, 18, 62–74. [Google Scholar] [CrossRef] [PubMed]
- Zarpelon, A.C.; Cunha, T.M.; Alves-Filho, J.C.; Pinto, L.G.; Ferreira, S.H.; McInnes, I.B.; Xu, D.; Liew, F.Y.; Cunha, F.Q.; Verri, W.A. IL-33/ST2 Signalling Contributes to Carrageenin-Induced Innate Inflammation and Inflammatory Pain: Role of Cytokines, Endothelin-1 and Prostaglandin E2. Br. J. Pharmacol. 2013, 169, 90–101. [Google Scholar] [CrossRef] [PubMed]
- Teixeira, J.M.; de Oliveira-Fusaro, M.C.G.; Parada, C.A.; Tambeli, C.H. Peripheral P2X7 Receptor-Induced Mechanical Hyperalgesia Is Mediated by Bradykinin. Neuroscience 2014, 277, 163–173. [Google Scholar] [CrossRef] [PubMed]
- Guerrero, A.T.G.; Verri, W.A.; Cunha, T.M.; Silva, T.A.; Schivo, I.R.S.; Dal-Secco, D.; Canetti, C.; Rocha, F.A.C.; Parada, C.A.; Cunha, F.Q.; et al. Involvement of LTB4 in Zymosan-Induced Joint Nociception in Mice: Participation of Neutrophils and PGE2. J. Leukoc. Biol. 2008, 83, 122–130. [Google Scholar] [CrossRef] [PubMed]
- Sachs, D.; Coelho, F.M.; Costa, V.V.; Lopes, F.; Pinho, V.; Amaral, F.A.; Silva, T.A.; Teixeira, A.L.; Souza, D.G.; Teixeira, M.M. Cooperative Role of Tumour Necrosis Factor-α, Interleukin-1β and Neutrophils in a Novel Behavioural Model That Concomitantly Demonstrates Articular Inflammation and Hypernociception in Mice. Br. J. Pharmacol. 2011, 162, 72–83. [Google Scholar] [CrossRef]
- Pinto, L.G.; Cunha, T.M.; Vieira, S.M.; Lemos, H.P.; Verri, W.A.; Cunha, F.Q.; Ferreira, S.H. IL-17 Mediates Articular Hypernociception in Antigen-Induced Arthritis in Mice. Pain 2010, 148, 247–256. [Google Scholar] [CrossRef]
- Amaral, F.A.; Costa, V.V.; Tavares, L.D.; Sachs, D.; Coelho, F.M.; Fagundes, C.T.; Soriani, F.M.; Silveira, T.N.; Cunha, L.D.; Zamboni, D.S.; et al. NLRP3 Inflammasome–Mediated Neutrophil Recruitment and Hypernociception Depend on Leukotriene B4 in a Murine Model of Gout. Arthritis Rheum. 2012, 64, 474–484. [Google Scholar] [CrossRef]
- Yin, C.; Liu, B.; Li, Y.; Li, X.; Wang, J.; Chen, R.; Tai, Y.; Shou, Q.; Wang, P.; Shao, X.; et al. IL-33/ST2 Induces Neutrophil-Dependent Reactive Oxygen Species Production and Mediates Gout Pain. Theranostics 2020, 10, 12189–12203. [Google Scholar] [CrossRef] [PubMed]
- Guerrero, A.T.; Zaperlon, A.C.; Vieira, S.M.; Pinto, L.G.; Ferreira, S.H.; Cunha, F.Q.; Verri, W.A.; Cunha, T.M. The Role of PAF/PAFR Signaling in Zymosan-Induced Articular Inflammatory Hyperalgesia. Naunyn Schmiedebergs Arch. Pharmacol. 2013, 386, 51–59. [Google Scholar] [CrossRef]
- Oliveira-Fusaro, M.C.G.; Clemente-Napimoga, J.T.; Teixeira, J.M.; Torres-Chávez, K.E.; Parada, C.A.; Tambeli, C.H. 5-HT Induces Temporomandibular Joint Nociception in Rats through the Local Release of Inflammatory Mediators and Activation of Local β Adrenoceptors. Pharmacol. Biochem. Behav. 2012, 102, 458–464. [Google Scholar] [CrossRef] [PubMed]
- Zanelatto, F.B.; Dias, E.V.; Teixeira, J.M.; Sartori, C.R.; Parada, C.A.; Tambeli, C.H. Anti-Inflammatory Effects of Propranolol in the Temporomandibular Joint of Female Rats and Its Contribution to Antinociceptive Action. Eur. J. Pain 2018, 22, 572–582. [Google Scholar] [CrossRef] [PubMed]
- Teixeira, J.M.; Pimentel, R.M.; Abdalla, H.B.; de Sousa, H.M.X.; Macedo, C.G.; Napimoga, M.H.; Tambeli, C.H.; Oliveira-Fusaro, M.C.G.; Clemente-Napimoga, J.T. P2X7-Induced Nociception in the Temporomandibular Joint of Rats Depends on Inflammatory Mechanisms and C-Fibres Sensitization. Eur. J. Pain 2021, 25, 1107–1118. [Google Scholar] [CrossRef] [PubMed]
- Teixeira, J.M.; Parada, C.A.; Tambeli, C.H. P2X3 and P2X2/3 Receptors Activation Induces Articular Hyperalgesia by an Indirect Sensitization of the Primary Afferent Nociceptor in the Rats’ Knee Joint. Eur. J. Pharmacol. 2020, 879, 173054. [Google Scholar] [CrossRef] [PubMed]
- Schiavuzzo, J.G.; Teixeira, J.M.; Melo, B.; da Silva dos Santos, D.F.; Jorge, C.O.; Oliveira-Fusaro, M.C.G.; Parada, C.A. Muscle Hyperalgesia Induced by Peripheral P2X3 Receptors Is Modulated by Inflammatory Mediators. Neuroscience 2015, 285, 24–33. [Google Scholar] [CrossRef] [PubMed]
- Silva, J.R.; Lopes, A.H.; Talbot, J.; Cecilio, N.T.; Rossato, M.F.; Silva, R.L.; Souza, G.R.; Silva, C.R.; Lucas, G.; Fonseca, B.A.; et al. Neuroimmune-Glia Interactions in the Sensory Ganglia Account for the Development of Acute Herpetic Neuralgia. J. Neurosci. 2017, 37, 6408–6422. [Google Scholar] [CrossRef] [PubMed]
- Huerta, M.Á.; Cisneros, E.; Alique, M.; Roza, C. Strategies for Measuring Non-Evoked Pain in Preclinical Models of Neuropathic Pain: Systematic Review. Neurosci. Biobehav. Rev. 2024, 163, 105761. [Google Scholar] [CrossRef]
- Lavich, T.R.; Siqueira, R.d.A.; Farias-Filho, F.A.; Balão Cordeiro, R.S.; Rodrigues e Silva, P.M.; Martins, M.A. Neutrophil Infiltration Is Implicated in the Sustained Thermal Hyperalgesic Response Evoked by Allergen Provocation in Actively Sensitized Rats. Pain 2006, 125, 180–187. [Google Scholar] [CrossRef]
- Marotta, D.M.; Costa, R.; Motta, E.M.; Fernandes, E.S.; Medeiros, R.; Quintão, N.L.M.; Campos, M.M.; Calixto, J.B. Mechanisms Underlying the Nociceptive Responses Induced by Platelet-Activating Factor (PAF) in the Rat Paw. Biochem. Pharmacol. 2009, 77, 1223–1235. [Google Scholar] [CrossRef] [PubMed]
- McNamee, K.E.; Burleigh, A.; Gompels, L.L.; Feldmann, M.; Allen, S.J.; Williams, R.O.; Dawbarn, D.; Vincent, T.L.; Inglis, J.J. Treatment of Murine Osteoarthritis with TrkAd5 Reveals a Pivotal Role for Nerve Growth Factor in Non-Inflammatory Joint Pain. Pain 2010, 149, 386–392. [Google Scholar] [CrossRef]
- Albuquerque, I.R.L.; Cordeiro, S.L.; Gomes, D.L.; Dreyfuss, J.L.; Filgueira, L.G.A.; Leit, E.L.; Nader, H.B.; Rocha, H.A.O. Evaluation of Anti-Nociceptive and Anti-Inflammatory Activities of a Heterofucan from Dictyota Menstrualis. Mar. Drugs 2013, 11, 2722–2740. [Google Scholar] [CrossRef]
- Dornelas-Filho, A.F.; Pereira, V.B.M.; Wong, D.V.T.; Nobre, L.M.S.; Melo, A.T.; Silva, C.M.S.; Wanderley, C.W.S.; Nour, M.L.; Araújo, L.C.N.C.; Silva, R.O.; et al. Neutrophils Contribute to the Pathogenesis of Hemorrhagic Cystitis Induced by Ifosfamide. Int. Immunopharmacol. 2018, 62, 96–108. [Google Scholar] [CrossRef] [PubMed]
- Shaeib, F.; Khan, S.N.; Thakur, M.; Kohan-Ghadr, H.R.; Drewlo, S.; Saed, G.M.; Pennathur, S.; Abu-Soud, H.M. The Impact of Myeloperoxidase and Activated Macrophages on Metaphase II Mouse Oocyte Quality. PLoS ONE 2016, 11, e0151160. [Google Scholar] [CrossRef] [PubMed]
- Xu, D.; Wang, P.; Yang, J.; Qian, Q.; Li, M.; Wei, L.; Xu, W. Gr-1+ Cells Other Than Ly6G+ Neutrophils Limit Virus Replication and Promote Myocardial Inflammation and Fibrosis Following Coxsackievirus B3 Infection of Mice. Front. Cell Infect. Microbiol. 2018, 8, 157. [Google Scholar] [CrossRef] [PubMed]
- Torres, S.R.; Pichowicz, A.; Torres-Velez, F.; Song, R.; Singh, N.; Lasek-Nesselquist, E.; De Jesus, M. Impact of Candida Auris Infection in a Neutropenic Murine Model. Antimicrob. Agents Chemother. 2020, 64, 10-1128. [Google Scholar] [CrossRef] [PubMed]
- Wanderley, C.W.S.; Silva, C.M.S.; Wong, D.V.T.; Ximenes, R.M.; Morelo, D.F.C.; Cosker, F.; Aragão, K.S.; Fernandes, C.; Palheta-Júnior, R.C.; Havt, A.; et al. Bothrops Jararacussu Snake Venom-Induces a Local Inflammatory Response in a Prostanoid- and Neutrophil-Dependent Manner. Toxicon 2014, 90, 134–147. [Google Scholar] [CrossRef] [PubMed]
- Park, J.; Cha, J.D.; Choi, K.M.; Lee, K.Y.; Han, K.M.; Jang, Y.S. Fucoidan Inhibits LPS-Induced Inflammation in Vitro and during the Acute Response in Vivo. Int. Immunopharmacol. 2017, 43, 91–98. [Google Scholar] [CrossRef]
- Ossipov, M.H.; Morimura, K.; Porreca, F. Descending Pain Modulation and Chronification of Pain. Curr. Opin. Support. Palliat. Care 2014, 8, 143–151. [Google Scholar] [CrossRef]
- Lv, Q.; Wu, F.; Gan, X.; Yang, X.; Zhou, L.; Chen, J.; He, Y.; Zhang, R.; Zhu, B.; Liu, L. The Involvement of Descending Pain Inhibitory System in Electroacupuncture-Induced Analgesia. Front. Integr. Neurosci. 2019, 13, 466401. [Google Scholar] [CrossRef]
- Kapitzke, D.; Vetter, I.; Cabot, P.J. Endogenous Opioid Analgesia in Peripheral Tissues and the Clinical Implications for Pain Control. Ther. Clin. Risk Manag. 2005, 1, 279. [Google Scholar] [PubMed]
- Ossipov, M.H. The Perception and Endogenous Modulation of Pain. Scientifica 2012, 2012, 561761. [Google Scholar] [CrossRef] [PubMed]
- Holden, J.E.; Jeong, Y.; Forrest, J.M. The Endogenous Opioid System and Clinical Pain Management. AACN Clin. Issues 2005, 16, 291–301. [Google Scholar] [CrossRef] [PubMed]
- Benedetti, F. Placebo and Endogenous Mechanisms of Analgesia. Handb. Exp. Pharmacol. 2006, 177, 393–413. [Google Scholar] [CrossRef]
- Martins, D.F.; Bobinski, F.; Mazzardo-Martins, L.; Cidral-Filho, F.J.; Nascimento, F.P.; Gadotti, V.M.; Santos, A.R.S. Ankle Joint Mobilization Decreases Hypersensitivity by Activation of Peripheral Opioid Receptors in a Mouse Model of Postoperative Pain. Pain Med. 2012, 13, 1049–1058. [Google Scholar] [CrossRef]
- Cidral-Filho, F.J.; Mazzardo-Martins, L.; Martins, D.F.; Santos, A.R.S. Light-Emitting Diode Therapy Induces Analgesia in a Mouse Model of Postoperative Pain through Activation of Peripheral Opioid Receptors and the L-Arginine/Nitric Oxide Pathway. Lasers Med. Sci. 2014, 29, 695–702. [Google Scholar] [CrossRef] [PubMed]
- Martins, D.F.; Turnes, B.L.; Cidral-Filho, F.J.; Bobinski, F.; Rosas, R.F.; Danielski, L.G.; Petronilho, F.; Santos, A.R.S. Light-Emitting Diode Therapy Reduces Persistent Inflammatory Pain: Role of Interleukin 10 and Antioxidant Enzymes. Neuroscience 2016, 324, 485–495. [Google Scholar] [CrossRef] [PubMed]
- Rittner, H.L.; Labuz, D.; Schaefer, M.; Mousa, S.A.; Schulz, S.; Schäfer, M.; Stein, C.; Brack, A.; Rittner, H.L.; Labuz, D.; et al. Pain Control by CXCR2 Ligands through Ca2+-Regulated Release of Opioid Peptides from Polymorphonuclear Cells. FASEB J. 2006, 20, 2627–2629. [Google Scholar] [CrossRef]
- Giorgi, R.; Pagano, R.L.; Amorim Dias, M.A.; Aguiar-Passeti, T.; Sorg, C.; Mariano, M. Antinociceptive Effect of the Calcium-Binding Protein MRP-14 and the Role Played by Neutrophils on the Control of Inflammatory Pain. J. Leukoc. Biol. 1998, 64, 214–220. [Google Scholar] [CrossRef]
- Pagano, R.L.; Dias, M.A.A.; Dale, C.S.; Giorgi, R. Neutrophils and the Calcium-Binding Protein MRP-14 Mediate Carrageenan-Induced Antinociception in Mice. Mediat. Inflamm. 2002, 11, 203–210. [Google Scholar] [CrossRef]
- Hu, C.; Zhang, G.; Zhao, Y. tao Fucoidan Attenuates the Existing Allodynia and Hyperalgesia in a Rat Model of Neuropathic Pain. Neurosci. Lett. 2014, 571, 66–71. [Google Scholar] [CrossRef] [PubMed]
- Hu, C.; Zhao, Y.T.; Zhang, G.; Xu, M.F. Antinociceptive Effects of Fucoidan in Rat Models of Vincristine-Induced Neuropathic Pain. Mol. Med. Rep. 2017, 15, 975–980. [Google Scholar] [CrossRef] [PubMed]
- Zhang, X.W.; Liu, Q.; Thorlacius, H. Inhibition of Selectin Function and Leukocyte Rolling Protects against Dextran Sodium Sulfate-Induced Murine Colitis. Scand. J. Gastroenterol. 2001, 36, 270–275. [Google Scholar] [CrossRef] [PubMed]
- Obluchinskaya, E.D.; Pozharitskaya, O.N.; Flisyuk, E.V.; Shikov, A.N. Formulation, Optimization and In Vivo Evaluation of Fucoidan-Based Cream with Anti-Inflammatory Properties. Mar. Drugs 2021, 19, 643. [Google Scholar] [CrossRef] [PubMed]
- Piñeiro-Ramil, M.; Flórez-Fernández, N.; Ramil-Gómez, O.; Torres, M.D.; Dominguez, H.; Blanco, F.J.; Meijide-Faílde, R.; Vaamonde-García, C. Antifibrotic Effect of Brown Algae-Derived Fucoidans on Osteoarthritic Fibroblast-like Synoviocytes. Carbohydr. Polym. 2022, 282, 119134. [Google Scholar] [CrossRef] [PubMed]
- Myers, S.P.; O’Connor, J.; Fitton, J.H.; Brooks, L.; Rolfe, M.; Connellan, P.; Wohlmuth, H.; Cheras, P.A.; Morris, C. A Combined Phase I and II Open Label Study on the Effects of a Seaweed Extract Nutrient Complex on Osteoarthritis. Biologics 2010, 4, 33–44. [Google Scholar] [CrossRef] [PubMed]
- Kan, J.; Cheng, J.; Xu, L.; Hood, M.; Zhong, D.; Cheng, M.; Liu, Y.; Chen, L.; Du, J. The Combination of Wheat Peptides and Fucoidan Protects against Chronic Superficial Gastritis and Alters Gut Microbiota: A Double-Blinded, Placebo-Controlled Study. Eur. J. Nutr. 2020, 59, 1655–1666. [Google Scholar] [CrossRef] [PubMed]
- Tay, A.; Jiang, Y.; Signal, N.; O’Brien, D.; Chen, J.; Murphy, R.; Lu, J. Combining Mussel with Fucoidan as a Supplement for Joint Pain and Prediabetes: Study Protocol for a Randomized, Double-Blinded, Placebo-Controlled Trial. Front. Nutr. 2022, 9, 1000510. [Google Scholar] [CrossRef]
- Chadwick, C.; De Jesus, M.; Ginty, F.; Martinez, J.S. Pathobiology of Candida Auris Infection Analyzed by Multiplexed Imaging and Single Cell Analysis. PLoS ONE 2024, 19, e0293011. [Google Scholar] [CrossRef]
- Parisien, M.; Lima, L.V.; Dagostino, C.; El-Hachem, N.; Drury, G.L.; Grant, A.V.; Huising, J.; Verma, V.; Meloto, C.B.; Silva, J.R.; et al. Acute Inflammatory Response via Neutrophil Activation Protects against the Development of Chronic Pain. Sci. Transl. Med. 2022, 14, eabj9954. [Google Scholar] [CrossRef] [PubMed]
- Wang, J. Neutrophils in Tissue Injury and Repair. Cell Tissue Res. 2018, 371, 531. [Google Scholar] [CrossRef] [PubMed]
- Wilgus, T.A.; Roy, S.; McDaniel, J.C. Neutrophils and Wound Repair: Positive Actions and Negative Reactions. Adv. Wound Care 2013, 2, 379–388. [Google Scholar] [CrossRef] [PubMed]
- Vo, T.S.; Kim, S.K. Fucoidans as a Natural Bioactive Ingredient for Functional Foods. J. Funct. Foods 2013, 5, 16–27. [Google Scholar] [CrossRef]
- Hu, T.; Liu, D.; Chen, Y.; Wu, J.; Wang, S. Antioxidant Activity of Sulfated Polysaccharide Fractions Extracted from Undaria Pinnitafida in Vitro. Int. J. Biol. Macromol. 2010, 46, 193–198. [Google Scholar] [CrossRef] [PubMed]
- Mourao, P. Use of Sulfated Fucans as Anticoagulant and Antithrombotic Agents: Future Perspectives. Curr. Pharm. Des. 2004, 10, 967–981. [Google Scholar] [CrossRef] [PubMed]
- Luthuli, S.; Wu, S.; Cheng, Y.; Zheng, X.; Wu, M.; Tong, H. Therapeutic Effects of Fucoidan: A Review on Recent Studies. Mar. Drugs 2019, 17, 487. [Google Scholar] [CrossRef] [PubMed]
- Page, M.J.; McKenzie, J.E.; Bossuyt, P.M.; Boutron, I.; Hoffmann, T.C.; Mulrow, C.D.; Shamseer, L.; Tetzlaff, J.M.; Akl, E.A.; Brennan, S.E.; et al. The PRISMA 2020 Statement: An Updated Guideline for Reporting Systematic Reviews. BMJ 2021, 372, n71. [Google Scholar] [CrossRef] [PubMed]
- Viechtbauer, W. Conducting Meta-Analyses in R with the Metafor Package. J. Stat. Softw. 2010, 36, 1–48. [Google Scholar] [CrossRef]
- Harrer, M.; Cuijpers, P.; Furukawa, T.; Ebert, D. Doing Meta-Analysis with R: A Hands-On Guide; Chapman and Hall/CRC: London, UK; Boca Raton, FL, USA, 2021; ISBN 9780367610074. [Google Scholar]
- Vesterinen, H.M.; Sena, E.S.; Egan, K.J.; Hirst, T.C.; Churolov, L.; Currie, G.L.; Antonic, A.; Howells, D.W.; Macleod, M.R. Meta-Analysis of Data from Animal Studies: A Practical Guide. J. Neurosci. Methods 2014, 221, 92–102. [Google Scholar] [CrossRef]
- Cumpston, M.; Li, T.; Page, M.J.; Chandler, J.; Welch, V.A.; Higgins, J.P.; Thomas, J. Updated Guidance for Trusted Systematic Reviews: A New Edition of the Cochrane Handbook for Systematic Reviews of Interventions. Cochrane Database Syst. Rev. 2019, 2019, ED000142. [Google Scholar] [CrossRef] [PubMed]
- Higgins, J.P.T.; Thompson, S.G.; Deeks, J.J.; Altman, D.G. Measuring Inconsistency in Meta-Analyses. BMJ 2003, 327, 557–560. [Google Scholar] [CrossRef] [PubMed]


| Study | Species; Strain | Dose; Route; Administration Time before Injury; Positive Control | Neutrophil Count; Efficacy/Selectivity, % Neutrophil Depletion | Pain Model | Pain Outcome | Analgesic Efficacy (p > 0.05) |
|---|---|---|---|---|---|---|
| Machelsa et al., 1998 [69] | Rat; Wistar | 10 mg/kg; i.v.; 10 min; fentanyl | Manual count (β-endorphin) (≈40%) | CFA (i.pl.) | MH | No |
| * Dell’Antonio et al., 2002 [70] | Rat; Wistar | 10 mg/kg; i.v.; 30 min; oxidized ATP | Non-evaluated | CFA (i.pl.) | MH | No |
| Tambeli et al., 2006 [71] | Rat; Wistar | 20 mg/kg; i.v.; 30 min; tropisetron, indomethacin, and atenolol | MPO; yes/no (≈60%) | 5-HT (i.pl.) | NB (Paw) | Yes |
| Lavich et al., 2006 [90] | Rat; Wistar | 10 mg/kg, i.v.; 15 min; anti-neutrophil serum | Manual count and MPO; (>90%) | Ovalbumin probe in sensitized rats | HH | Yes |
| Oliveira et al., 2007 [72] | Rat; Wistar | 20 mg/kg, i.v.; 20 min; tropisetron, indomethacin, guanethidine, and atenolol | Non-evaluated | 5-HT; PGE; epinephrine (i.pl.) | MH | Yes; no; no |
| Cunha et al., 2008 [68] | Rat; Wistar | 20 mg/kg; i.v.; 10 min; no positive control | MPO; yes/no (=90%) | Carrageenan (i.pl.) | MH | Yes |
| Guerrero et al., 2008 [77] | Mouse; C57BL/6 | 20 mg/kg; i.v.; 20 min; indomethacin, MK886, celecoxib, anti-neutrophil antibody | MPO; yes/yes | LTB4; zymosan (i.a.) | MH | Yes |
| Russell et al., 2009 [64] | Mouse; CD1 | 40 mg/kg; i.v.; 20 min; SB366791, TNF inhibitor, PKC inhibitor, indomethacin, COX2 inhibitor, and nimesulide | MPO; yes/no (=70%) | TNF (i.pl.) | HH | Yes |
| Verri et al., 2009 [65] | Mouse; BALB/c | 20 mg/kg; i.v.; 15 min; bosentan, BQ123, and BQ788 | MPO; yes/no (=70%) | Carrageenan (i.pl.) | MH | Yes |
| Marotta et al., 2009 [91] | Rat; Wistar | 10 mg/kg; i.v.; 15 min; WEB2086, anti-TNF, IL-1 antagonist, indomethacin, and celecoxib | MPO; yes/no (=90%) | PAF (i.pl.) | MH; NB (Paw) | Yes; no |
| McNamee et al., 2010 [92] | Mouse; C57BL/6 | 20 mg/kg; i.p.; 24 h before every 2 d; anti-NGF, and anti-TNF | MPO; yes/no (50%) | DMM surgery; OA | NB (WB) | Yes |
| Pinto et al., 2010 [79] | Mouse; BALB/c | 20 mg/kg; i.v.; 15 min before and 3.5 h after; infliximab, IL-1 antagonist, and DF2156 | Manual count (May–Grünwald–Giemsa); yes/no (80%) | AIA-mBSA or IL-17 (i.a.) | MH | Yes |
| Sachs et al., 2011 [78] | Mouse; C57Bl/6J | 20 mg/kg; i.v.; 10 min; lidocaine, morphine, dexamethasone, anti-TNF, and IL-1 antagonist | MPO; yes/no (>90%) | AIA-mBSA (i.a.) | MH | Yes |
| McNamee et al., 2011 [73] | Mouse; C57BL/6 | 20 mg/kg; i.p.; 2 h; anti-TNF | MPO; yes/no (>90%) | TNF; IL-17 (i.pl.) | HH; NB (WB) | Yes |
| Amaral et al., 2012 [80] | Mouse; C57BL/6J | 20 mg/kg; i.v.; 15 min; IL-1 antagonist, DF2162, CP105,696, and MK886 | MPO; yes/no (>90%) | MSU crystals (i.a.) | MH | Yes |
| Chatterjea et al., 2012 [62] | Mouse; ND4 | 20 mg/kg; p.o.; 30 min; sodium cromoglycate | MPO; Hematoxylin- Eosin; yes/no (>90%) | Compound 48/80 (i.pl.) | HH | Yes |
| * Oliveira-Fusaro et al., 2012 [83] | Rat; Wistar | 20 mg/kg; i.v.; 20 min; tropisetron, guanethidine, atenolol, and indomethacin | MPO; yes/no (>90%) | 5-HT (i.a.) | NB (Face) | No |
| Finley et al., 2013 [63] | Rat; Sprague Dawley | 40 mg/kg; i.p.; 30 min; sphingosine-1 antagonists and fingolimod | MPO; Hematoxylin- Eosin; yes/no (>60%) | Carrageenan; S1P; SEW2871 (i.pl.) | HH | Yes |
| Guerrero et al., 2013 [82] | Mouse; BALB/C | 20 mg/kg; i.v.; 15 min; indomethacin, MK886, selective PAFR antagonists | MPO; no/no | PAF (i.a.) | MH | Yes |
| Perin-Martins et al., 2013 [74] | Rat; Wistar | 20 mg/kg; i.v.; 30 min; TRPA1 antagonist, CGRP antagonist, indomethacin | MPO; yes/no (100%) | Allyl isothiocyanate (i.pl.) | MH | Yes |
| Zarpelon et al., 2013 [75] | Mouse; BALB/C | 20 mg/kg; i.v.; 15 min; infliximab, IL1 antagonist, anti-CXCL1, indomethacin, BQ788, and clazosentan | MPO; yes/no (>90%) | IL–33 (i.pl.) | MH | Yes |
| * Albuquerque et al., 2013 [93] | Mouse; BALB/C | 20 mg/kg; i.v.; 30 min; morphine and dipyrone | Manual counting; yes/no (>90%) | Acetic acid (i.p.) | NB (writhing) | Yes |
| Teixeira et al., 2014 [76] | Rat; Wistar | 25 mg/kg, i.v., 20 min; P2X7 and P2X1,3,2/3 antagonists, atenolol, and indomethacin | Non-evaluated | BzATP (i.pl.) | MH | Yes |
| Schiavuzzo et al., 2015 [87] | Rat; Wistar | 25 mg/kg; i.v.; 20 min; P2X1,3,2/3 antagonist, lidocaine, bradykinin antagonist, and indomethacin | MPO; no/no | α,β-meATP (i.m.) | MH | Yes |
| Silva et al., 2017 [88] | Mouse; C57BL/6 | 20 mg/kg; i.v.; daily from 2 to 7 d; dexamethasone, morphine, lidocaine, infliximab, etanercept, clodronate, and indomethacin | Flow cytometry; yes/yes (>90% reduced CD45+ cells) | HSV-1 (postherpetic neuralgia) | MA | Yes |
| Santos et al., 2017 [66] | Rat; Wistar | 25 mg/kg; i.v.; 20 min; dexamethasone, bradykinin antagonist, atenolol, indomethacin, and ICI118 | MPO; no/no | Sustained muscle contraction | MH | Yes |
| Dornelas-Filho et al., 2018 [94] | Mouse; Swiss | 100 mg/kg; i.v.; 30 min; anti-neutrophil antibody | MPO; flow cytometry (>90%) | Ifosfamide-induced hemorrhagic cystitis | MH | Yes |
| Zanelatto et al., 2018 [84] | Rat; Wistar | 20 mg/kg; i.v.; 20 min; propranolol and thalidomide | MPO; no/no | Isoproterenol (i.a.) | NB (Face) | Yes |
| Yin et al., 2020 [81] | Mouse; C57BL/6J | 20 mg/kg; i.v.; 8 h y 23 h after; clodronate | MPO; yes/no (>95%) | MSU crystals (i.a.) | MA | Yes |
| Teixeira et al., 2020 [86] | Rat; Wistar | 25 mg/kg, i.v.; 30 min; P2X3 and P2X2/3 antagonist | MPO; yes/no (100%) | αβ-meATP (i.a.) | NB (WB) | Yes |
| Teixeira et al., 2021 [85] | Rat; Wistar | 25 mg/kg; i.v.; 20 min; P2X7 antagonist, lidocaine, atenolol, and indomethacin | Manual count; no/no | BzATP (i.a.) | NB (Face) | Yes |
| Study | Species; Strain | Fucoidan Dose; Route; % Neutrophil Reduction | Pain Model | Pain Outcome | Main Results |
|---|---|---|---|---|---|
| Machelsa et al., 1998 [69] | Rat; Wistar | 10 mg/kg; i.v.; ≈40% indirect reduction (β-endorphin) | CFA (i.pl.) | MH | Decreased analgesia induced by cold water swim stress and CRF |
| Machelsa et al., 2004 [17] | Rat; Wistar | 10 mg/kg; i.v.; ≈50% (macrophage and T cell reduction) | CFA (i.pl.) | MH | Abolished peripheral stress-induced antinociception |
| Martins et al., 2012 [106] | Mouse; Swiss | 100 µg/mouse; i.p.; non-evaluated | PI | MH | Did not reverse analgesia induced by ankle joint mobilization |
| Cidral-Filho et al., 2013 [107] | Mouse; Swiss | 100 μg/mouse; i.p.; non-evaluated | PI | MH | Abolished the analgesic effect of light-emitting diode therapy |
| Martins et al., 2016 [108] | Mouse; Swiss | 100 μg/mouse; i.p.; non-evaluated | CFA (i.pl.) | MH | Abolished the analgesic effect of light-emitting diode therapy |
| Study | Pathological Model | Intervention; Positive Control | Main Results |
|---|---|---|---|
| Zhang et al., 2001 [114] | Dextran sodium sulfate-induced murine colitis | Fucoidan daily (25 mg/kg, i.v.) starting immediately prior to the 5-day challenge; DF2162 and MK886 and CP105,696 | Fucoidan can reduce mucosal damage and crypt destruction in the colon of dextran sodium sulfate-treated mice, relieving chronic colitis. |
| Hu et al., 2014 [112] | Peripheral nerve injury produced by spinal nerve ligation | Fucoidan (15, 50 and 100 mg/kg, i.t.) once daily during the period of days 11–20, inclusively; no positive control | Attenuated the existing allodynia and hyperalgesia induced by nerve injury. Also inhibited cytokines production, glial. and ERK activation. |
| Hu et al., 2017 [113] | Chemotherapy-induced peripheral neuropathy (vincristine) | Fucoidan (50, 100 or 200 mg/kg, i.p.) on single treatment (day 14) or repeated treatment once daily for 14 days; pregabalin | Repeated. However, no single treatment attenuated vincristine-induced mechanical and cold allodynia in a dose-dependent manner. |
| Wang et al., 2018 [33] | Peripheral arterial disease by injection of sodium laurate into femoral artery | Low molecular weight fucoidan (20, 40 or 80 mg/kg/day; p.o.) for 4 weeks; cilostazol | Ameliorated foot ulceration and improved plantar perfusion. Suppressed the upregulation of inflammatory factors (ICAM-1 and IL-1β) in the gastrocnemius muscles of ischemic hindlimb. |
| Ahn et al., 2019 [34] | Transient global cerebral ischemia in obese gerbils | Fucoidan (50 mg/kg; p.o.) daily for the last 5 days; no positive control | Relieved acceleration and exacerbation of ischemic brain injury in an obese state via the attenuation of obesity-induced severe oxidative damage. |
| Obluchinskaya et al., 2021 [115] | Peripheral inflammation carrageenan (i.pl.) | Fucoidan-based cream 100, 200, and 400 mg/rat/day (topical) for 5 days; diclofenac | Inhibited carrageenan-induced edema and ameliorated mechanical allodynia (efficacy comparable with diclofenac). |
| Zhang et al., 2022 [31] | Experimental autoimmune prostatitis | Fucoidan 20 mg/kg (i.p.) one day before disease induction and then once a week; anti-neutrophil antibody | Histological appearance of prostate tissues improved, and chronic pain development was ameliorated. |
| Li et al., 2023 [32] | Intervertebral disc degeneration | Single treatment with 5 μL of fucoidan (10 μg/mL; intra-disc injection); no positive control | Ameliorated intervertebral disc degeneration 4 and 8 days after injury, and preserved disc height, extracellular matrix components, and nucleus pulposus hydration. |
| Study | Study Type; Population | Intervention; Route; Dosage | Main Efficacy Results | Main Safety Results |
|---|---|---|---|---|
| Myers et al., 2010 [117] | Open-label, randomized, combined Phase I and II; knee osteoarthritis (n = 10 adults 9F/1M) | 100 and 1000 mg of fucoidan; p.o.; daily for 4 weeks | Reduced COAT score by 18% for the 100 mg treatment and 52% for the 1000 mg dose. Clear dose response in all COAT subscales (pain, stiffness, physical activity and overall symptom severity) | Well tolerated (few adverse events related to treatment). No changes in blood parameters |
| Myers et al., 2016 [40] | Randomized placebo-controlled trial; hip/knee osteoarthritis (n = 96 adults 56F/40M) | 300 mg dose of a Fucus vesiculosus extract (85% fucoidan); p.o.; daily for 12 weeks | Fucoidan improved by 29% COAT score (knee), while placebo improved it by 30.6%. No significant differences in symptom reduction vs. placebo. No difference in the usage of paracetamol | It was safe and well tolerated |
| Kan et al., 2020 [118] | Randomized, double-blind, placebo-controlled trial; chronic gastritis (n = 101 adults) | Wheat peptides and fucoidan; p.o.; once daily for 45 days | Reduced gastric mucosal damage in 70% of subjects. Significantly less stomach pain, belching, bloating, acid reflux, appetite loss, increased food intake, and higher quality of life (p > 0.05 for all) | No adverse event reported |
| Tay et al., 2022 [119] | Randomized, double-blind, placebo-controlled trial; prediabetes and hip or knee joint pain (n = 150 adults) | 20 g of chocolate (1000 mg mussel powder and 1000 mg of fucoidan); p.o.; once daily for 100 days | Results not available; the primary endpoints are change in insulin resistance and patient-reported joint pain. Secondary endpoints include anthropometry, fasting glucose and insulin, HbA1c, inflammatory markers, satiety, quality of life, physical function, pain intensity, and analgesic medication use | Results not available; complications reported and described by duration, severity, outcome, treatment, and relation to study treatment or cause |
Disclaimer/Publisher’s Note: The statements, opinions and data contained in all publications are solely those of the individual author(s) and contributor(s) and not of MDPI and/or the editor(s). MDPI and/or the editor(s) disclaim responsibility for any injury to people or property resulting from any ideas, methods, instructions or products referred to in the content. |
© 2024 by the authors. Licensee MDPI, Basel, Switzerland. This article is an open access article distributed under the terms and conditions of the Creative Commons Attribution (CC BY) license (https://creativecommons.org/licenses/by/4.0/).
Share and Cite
Huerta, M.Á.; Tejada, M.Á.; Nieto, F.R. Fucoidan as a Promising Drug for Pain Treatment: Systematic Review and Meta-Analysis. Mar. Drugs 2024, 22, 290. https://doi.org/10.3390/md22070290
Huerta MÁ, Tejada MÁ, Nieto FR. Fucoidan as a Promising Drug for Pain Treatment: Systematic Review and Meta-Analysis. Marine Drugs. 2024; 22(7):290. https://doi.org/10.3390/md22070290
Chicago/Turabian StyleHuerta, Miguel Á., Miguel Á. Tejada, and Francisco R. Nieto. 2024. "Fucoidan as a Promising Drug for Pain Treatment: Systematic Review and Meta-Analysis" Marine Drugs 22, no. 7: 290. https://doi.org/10.3390/md22070290
APA StyleHuerta, M. Á., Tejada, M. Á., & Nieto, F. R. (2024). Fucoidan as a Promising Drug for Pain Treatment: Systematic Review and Meta-Analysis. Marine Drugs, 22(7), 290. https://doi.org/10.3390/md22070290

