Cytotoxic Pentaketide-Sesquiterpenes from the Marine-Derived Fungus Talaromyces variabilis M22734
Abstract
1. Introduction
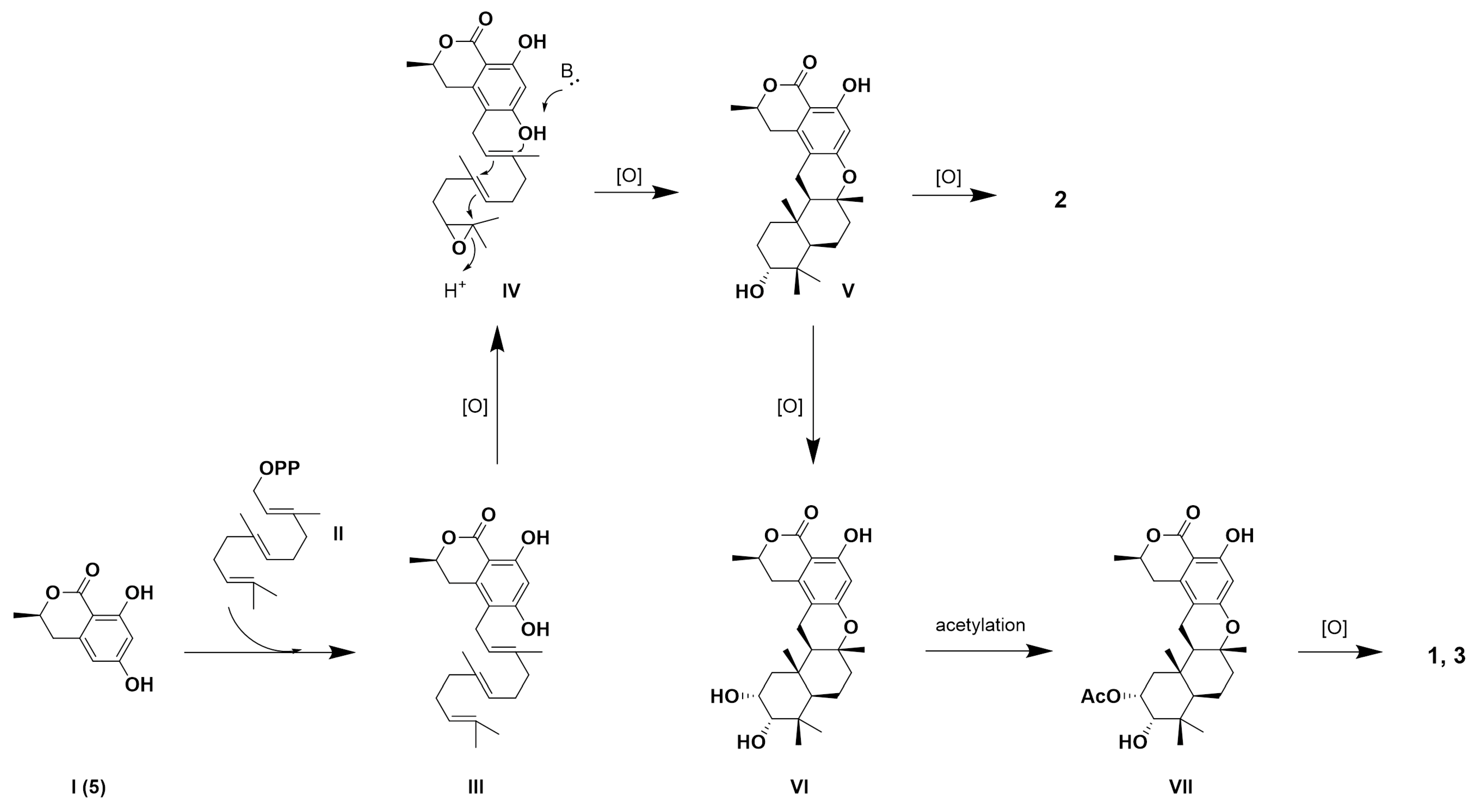
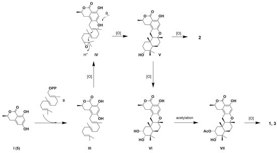
2. Results
3. Discussion
4. Materials and Methods
4.1. General Experimental Procedures
4.2. Fungal Material
4.3. Fermentation, Extraction, and Isolation
4.3.1. Compound 1
4.3.2. Compound 2
4.3.3. Compound 3
4.4. Cytotoxic Activity Assay
4.5. NMR and ECD Calculations
5. Conclusions
Supplementary Materials
Author Contributions
Funding
Institutional Review Board Statement
Data Availability Statement
Acknowledgments
Conflicts of Interest
References
- Benjamin, C.R. Ascocarps of Aspergillus and Penicillium. Mycologia 1955, 47, 669–687. [Google Scholar] [CrossRef]
- Zhai, M.M.; Li, J.; Jiang, C.X.; Shi, Y.P.; Di, D.L.; Crews, P.; Wu, Q.X. The Bioactive Secondary Metabolites from Talaromyces species. Nat. Prod. Bioprospect. 2016, 6, 1–24. [Google Scholar] [CrossRef] [PubMed]
- Hayashi, H.; Oka, Y.; Kai, K.; Akiyama, K. New chrodrimanin congeners, chrodrimanins D-H, from YO-2 of Talaromyces sp. Biosci. Biotechnol. Biochem. 2012, 76, 1765–1768. [Google Scholar] [CrossRef] [PubMed]
- Hayashi, H.; Oka, Y.; Kai, K.; Akiyama, K. A new meroterpenoid, chrodrimanin C, from YO-2 of Talaromyces sp. Biosci. Biotechnol. Biochem. 2012, 76, 745–748. [Google Scholar] [CrossRef] [PubMed]
- Dethoup, T.; Manoch, L.; Kijjoa, A.; Pinto, M.; Gales, L.; Damas, A.M.; Silva, A.M.; Eaton, G.; Herz, W. Merodrimanes and other constituents from Talaromyces thailandiasis. J. Nat. Prod. 2007, 70, 1200–1202. [Google Scholar] [CrossRef] [PubMed]
- Newman, D.J.; Cragg, G.M. Natural Products as Sources of New Drugs over the Nearly Four Decades from 01/1981 to 09/2019. J. Nat. Prod. 2020, 83, 770–803. [Google Scholar] [CrossRef] [PubMed]
- Carroll, A.R.; Copp, B.R.; Grkovic, T.; Keyzers, R.A.; Prinsep, M.R. Marine natural products. Nat. Prod. Rep. 2024, 41, 162–207. [Google Scholar] [CrossRef] [PubMed]
- Ngan, N.T.; Quang, T.H.; Kim, K.W.; Kim, H.J.; Sohn, J.H.; Kang, D.G.; Lee, H.S.; Kim, Y.C.; Oh, H. Anti-inflammatory effects of secondary metabolites isolated from the marine-derived fungal strain Penicillium sp. SF-5629. Arch. Pharm. Res. 2017, 40, 328–337. [Google Scholar] [CrossRef] [PubMed]
- Schlingmann, G.; Milne, L.; Carter, G.T. Isolation and identification of antifungal polyesters from the marine fungus Hypoxylon oceanicum LL-15G256. Tetrahedron 2002, 58, 6825–6835. [Google Scholar] [CrossRef]
- Lee, J.-H.; Lee, K.-R. Phytochemical constituents of Cirsium nipponicum (MAX.) Makino. Korean J. Pharmacogn. 2005, 36, 145–150. [Google Scholar]
- Qureshi, A.; Salva, J.; Harper, M.K.; Faulkner, D.J. New cyclic peroxides from the Philippine sponge Plakinastrella sp. J. Nat. Prod. 1998, 61, 1539–1542. [Google Scholar] [CrossRef] [PubMed]
- Chung, W.-Y.; Goo, Y.-M.; Na, D.-S.; Kim, K.-J. A Phospholipase A2 Inhibitor from Arisaema amurense Max. var. serratum Nakai. Arch. Pharm. Res. 1995, 18, 293–294. [Google Scholar] [CrossRef]
- Gutierrez-Lugo, M.T.; Woldemichael, G.M.; Singh, M.P.; Suarez, P.A.; Maiese, W.M.; Montenegro, G.; Timmermann, B.N. Isolation of three new naturally occurring compounds from the culture of Micromonospora sp. P1068. Nat. Prod. Res. 2005, 19, 645–652. [Google Scholar] [CrossRef] [PubMed]
- Kou, Y.; Tao, H.; Cao, D.; Fu, Z.; Schollmeyer, D.; Meier, H. Synthesis and Conformational Properties of Nonsymmetric Pillar[5]arenes and Their Acetonitrile Inclusion Compounds. Eur. J. Org. Chem. 2010, 2010, 6464–6470. [Google Scholar] [CrossRef]
- Pracht, P.; Bohle, F.; Grimme, S. Automated exploration of the low-energy chemical space with fast quantum chemical methods. Phys. Chem. Chem. Phys. 2020, 22, 7169–7192. [Google Scholar] [CrossRef] [PubMed]
- Grimme, S. Exploration of chemical compound, conformer, and reaction space with meta-dynamics simulations based on tight-binding quantum chemical calculations. J. Chem. Theory Comput. 2019, 15, 2847–2862. [Google Scholar] [CrossRef] [PubMed]
- Frisch, M.J.; Trucks, G.W.; Schlegel, H.B.; Scuseria, G.E.; Robb, M.A.; Cheeseman, J.R.; Scalmani, G.; Barone, V.; Petersson, G.A.; Nakatsuji, H.; et al. Gaussian 16 Rev. C.01; Gaussian, Inc.: Wallingford, CT, USA, 2016. [Google Scholar]
- Pescitelli, G.; Bruhn, T. Good Computational Practice in the Assignment of Absolute Configurations by TDDFT Calculations of ECD Spectra. Chirality 2016, 28, 466–474. [Google Scholar] [CrossRef] [PubMed]
- Lu, T.; Chen, F. Multiwfn: A multifunctional wavefunction analyzer. J. Comput. Chem. 2012, 33, 580–592. [Google Scholar] [CrossRef] [PubMed]





| 1 | 2 | 3 | ||||
|---|---|---|---|---|---|---|
| Position | δC, Type | δH, Mult. (J in Hz) | δC, Type | δH, Mult. (J in Hz) | δC, Type | δH, Mult. (J in Hz) |
| 1a-β | 44.2, CH2 | 2.38 (m) | 40.4, CH2 | 2.06 (ddd, 12.9, 6.4, 2.7 Hz) | 46.3, CH2 | 2.34 (dd, 12.1, 6.2 Hz) |
| 1b-α | 44.2, CH2 | 1.57 (d, 13.2 Hz) | 40.4, CH2 | 1.47 (m) | 46.3, CH2 | 1.51 (d, 4.8 Hz) |
| 2a-β | 71.1, CH | 5.68 (dd, 13.2, 6.1 Hz) | 34.0, CH2 | 2.85 (ddd, 15.2, 13.7, 6.4 Hz) | 71.2, CH | 5.79 (dd, 13.3, 6.1 Hz) |
| 2b-α | 34.0, CH2 | 2.36 (ddd, 15.2, 5.0, 2.7 Hz) | ||||
| 3 | 208.0, C | - | 215.1, C | - | 207.7, C | - |
| 4 | 48.5, C | - | 48.8, C | - | 49.2, C | - |
| 5 | 56.6, CH | 1.47 (dd, 11.9, 2.2 Hz) | 56.5, CH | 1.44 (m) | 56.9, CH | 1.39 (m) |
| 6a-α | 19.9, CH2 | 1.78 (dq, 13.2, 3.3 Hz) | 68.5, CH | 4.61 (brs) | 68.4, CH | 4.62 (m) |
| 6b-β | 19.9, CH2 | 1.63 (m, 1H) | ||||
| 7a-β | 40.1, CH2 | 2.16 (m) | 48.3, CH2 | 2.28 (dd, 14.1, 3.1 Hz) | 48.3, CH2 | 2.28 (dd, 14.3, 3.0 Hz) |
| 7b-α | 40.1, CH2 | 1.72 (m) | 48.3, CH2 | 1.93 (dd, 14.1, 3.5 Hz) | 48.3, CH2 | 1.93 (dd, 14.2, 3.7 Hz) |
| 8 | 77.2, C | - | 77.0, C | - | 76.9, C | - |
| 9 | 51.2, CH | 1.70 (m) | 51.7, CH | 1.70 (dd, 13.1, 5.0 Hz) | 51.7, CH | 1.73 (dd, 12.9, 5.1 Hz) |
| 10 | 37.5, C | - | 36.8, C | - | 37.7, C | - |
| 11a-α | 19.6, CH2 | 2.53 (dd, 15.8, 5.1 Hz) | 19.4, CH2 | 2.58 (dd, 15.8, 5.0 Hz) | 19.5, CH2 | 2.57 (dd, 15.8, 5.1 Hz) |
| 11b-β | 19.6, CH2 | 2.35 (m) | 19.4, CH2 | 2.44 (dd, 15.8, 13.1 Hz) | 19.5, CH2 | 2.48 (dd, 15.8, 13.0 Hz) |
| 12 | 21.0, CH3 | 1.25 (s) | 22.2, CH3 | 1.48 (s, 3H) | 22.3, CH3 | 1.48 (s, 3H) |
| 13-α | 25.0, CH3 | 1.18 (s) | 25.5, CH3 | 1.22 (s, 3H) | 24.9, CH3 | 1.25 (s, 3H) |
| 14-β | 21.2, CH3 | 1.19 (s) | 23.9, CH3 | 1.45 (s, 3H) | 23.2, CH3 | 1.55 (s, 3H) |
| 15 | 15.3, CH3 | 1.30 (s) | 15.7, CH3 | 1.50 (s, 3H) | 16.9, CH3 | 1.67 (s, 3H) |
| 16 | 170.2, C | - | 170.1, C | - | ||
| 17 | 20.8, CH3 | 2.17 (s) | 20.8, CH3 | 2.18 (s, 3H) | ||
| 1′ | 101.9, C | - | 101.8, C | - | 101.9, C | - |
| 2′ | 139.1, C | - | 138.9, C | - | 139.0, C | - |
| 3′ | 110.1, C | - | 110.8, C | - | 110.3, C | - |
| 4′ | 162.4, C | - | 162.4, C | - | 162.4, C | - |
| 5′ | 103.5, CH | 6.29 (s) | 103.5, CH | 6.29 (s, 1H) | 103.5, CH | 6.29 (s, 1H) |
| 6′ | 160.1, C | - | 159.9, C | - | 159.7, C | - |
| 7′a | 31.4, CH2 | 2.93 (dd, 16.6, 3.4 Hz) | 31.4, CH2 | 2.94 (dd, 16.7, 3.4 Hz) | 31.4, CH2 | 2.95 (dd, 16.7, 3.4 Hz) |
| 7′b | 31.4, CH2 | 2.63 (dd, 16.7, 11.5 Hz) | 31.4, CH2 | 2.64 (dd, 16.7, 11.5 Hz) | 31.4, CH2 | 2.64 (dd, 16.7, 11.4 Hz) |
| 8′ | 74.6, CH | 4.64 (dqd, 12.6, 6.3, 3.4 Hz) | 74.6, CH | 4.65 (ddp, 12.6, 6.3, 3.2 Hz) | 74.6, CH | 4.64 (m) |
| 9′ | 20.9, CH3 | 1.55 (d, 6.3 Hz) | 20.9, CH3 | 1.55 (d, 6.3 Hz) | 20.9, CH3 | 1.56 (d, 6.3 Hz) |
| 10′ | 170.0, C | - | 170.1, C | - | 170.0, C | - |
| 31 | OH | 11.11 (s) | OH | 11.11 (s) | OH | 11.12 (s) |
| Compounds | Cell Inhibition ± SD (%) | |||
|---|---|---|---|---|
| MKN-45 | HCT 116 | TE-1 | PATU8988T | |
| 1 | 16.2 ± 1.6% | 1.2 ± 2.2% | 4.1 ± 2.2% | 2.6 ± 1.8% |
| 2 | 14.7 ± 2.1% | −0.1 ± 2.1% | 2.2 ± 4.8% | 3.4 ± 0.4% |
| 3 | 55.3 ± 2.1% | 4.6 ± 4.1% | 5.1 ± 3.3% | 0.8 ± 1.3% |
| Dox | 79.4 ± 0.7% | 76.9 ± 0.5% | 88.7 ± 1.9% | 94.9 ± 0.7% |
Disclaimer/Publisher’s Note: The statements, opinions and data contained in all publications are solely those of the individual author(s) and contributor(s) and not of MDPI and/or the editor(s). MDPI and/or the editor(s) disclaim responsibility for any injury to people or property resulting from any ideas, methods, instructions or products referred to in the content. |
© 2024 by the authors. Licensee MDPI, Basel, Switzerland. This article is an open access article distributed under the terms and conditions of the Creative Commons Attribution (CC BY) license (https://creativecommons.org/licenses/by/4.0/).
Share and Cite
Tang, L.; Xia, J.; Chen, Z.; Wu, X.; Li, G.; Lai, Q.; Shao, Z.; Wang, W.; Hong, X. Cytotoxic Pentaketide-Sesquiterpenes from the Marine-Derived Fungus Talaromyces variabilis M22734. Mar. Drugs 2024, 22, 274. https://doi.org/10.3390/md22060274
Tang L, Xia J, Chen Z, Wu X, Li G, Lai Q, Shao Z, Wang W, Hong X. Cytotoxic Pentaketide-Sesquiterpenes from the Marine-Derived Fungus Talaromyces variabilis M22734. Marine Drugs. 2024; 22(6):274. https://doi.org/10.3390/md22060274
Chicago/Turabian StyleTang, Lingzhi, Jinmei Xia, Zhongwei Chen, Xiaohui Wu, Guangyu Li, Qiliang Lai, Zongze Shao, Weiyi Wang, and Xuan Hong. 2024. "Cytotoxic Pentaketide-Sesquiterpenes from the Marine-Derived Fungus Talaromyces variabilis M22734" Marine Drugs 22, no. 6: 274. https://doi.org/10.3390/md22060274
APA StyleTang, L., Xia, J., Chen, Z., Wu, X., Li, G., Lai, Q., Shao, Z., Wang, W., & Hong, X. (2024). Cytotoxic Pentaketide-Sesquiterpenes from the Marine-Derived Fungus Talaromyces variabilis M22734. Marine Drugs, 22(6), 274. https://doi.org/10.3390/md22060274

