Sign in to use this feature.

Years

Between: -

Subjects

remove_circle_outline
remove_circle_outline
remove_circle_outline
remove_circle_outline
remove_circle_outline
remove_circle_outline
remove_circle_outline
remove_circle_outline
remove_circle_outline

Journals

remove_circle_outline
remove_circle_outline
remove_circle_outline
remove_circle_outline

Article Types

Countries / Regions

remove_circle_outline
remove_circle_outline

Search Results (266)

Search Parameters:
Keywords = talaromyces

Order results
Result details
Results per page
Select all
Export citation of selected articles as:
17 pages, 4874 KB  
Article
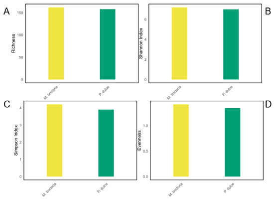
Exploration and Comparison of High-Throughput Sequencing Analysis of Endophytic Fungal Communities in Morinda tinctoria and Pithecellobium dulce
by Michael Joe Xavier Sneha, Israel Mani, Myithili Thangavel, Senthuran Suresh Kumar, Pandy Rajapriya, Nagendraprabhu Ponnuraj and Mohan Pandi
Microbiol. Res. 2025, 16(11), 237; https://doi.org/10.3390/microbiolres16110237 - 12 Nov 2025
Abstract
Fungal endophytes can be identified in a wide range of plant species which help to protect from both abiotic and biotic stressors. This research focused on using high-throughput sequencing (HTS) analysis to gain insight into the foliar endophytic fungal diversity between Morinda tinctoria [...] Read more.
Fungal endophytes can be identified in a wide range of plant species which help to protect from both abiotic and biotic stressors. This research focused on using high-throughput sequencing (HTS) analysis to gain insight into the foliar endophytic fungal diversity between Morinda tinctoria and Pithecellobium dulce. The study obtained a total of 118,547 sequencing reads, which were grouped into 266 Operational Taxonomic Units (OTUs) with a 97% similarity threshold. M. tinctoria had more OTUs than P. dulce. Alpha diversity results show that both plant species support varied microbial communities with similar but distinct biodiversity profiles. The Shannon index revealed that M. tinctoria had considerably more fungal diversity than P. dulce. The correlation matrix and PCoA depicts the pairwise correlations between several soil metrics such as the total nitrogen level, entire phosphorus, overall potassium, and the electrical conductivity, total carbon from organic matter, pH levels, manganese, iron, zinc, copper, and boron. The OTUs were classified into 5 phyla, 18 classes, 40 orders, 70 families, and 36 genera, where the phylum Ascomycota has a relative abundance of (50–55%), followed by Basidiomycota at (55–60%). The most abundant genera were Wallemia (30–35%), Saitozyma (30–40%), and Talaromyces (20–25%), with average relative abundances. Unassigned genera show a significant proportion of fungal taxa that are still taxonomically unclear. A comparative analysis has been performed between the two plants, M. tinctoria has a higher fungal diversity, which is frequently associated with increased ecological stability, disease resistance, and better functional relationships with the host plant. Full article
Show Figures

Graphical abstract

19 pages, 2206 KB  
Article
Sclerotia-Mediated Soil Microbiome Modulation in Rice–Rapeseed Cropping Systems
by Mirza Abid Mehmood, Jianguang Wang, Jiasen Cheng, Jiatao Xie, Daohong Jiang and Yanping Fu
J. Fungi 2025, 11(10), 755; https://doi.org/10.3390/jof11100755 - 21 Oct 2025
Viewed by 616
Abstract
Rhizoctonia solani (Rs) and Sclerotinia sclerotiorum (Ss) are devastating pathogens of rice and rapeseed, contributing 20–69% and 10–50% of yield losses, respectively. These pathogens develop resistant overwintering and/or oversummering sclerotia, which serve as inocula for infection in the subsequent season under favorable conditions. [...] Read more.
Rhizoctonia solani (Rs) and Sclerotinia sclerotiorum (Ss) are devastating pathogens of rice and rapeseed, contributing 20–69% and 10–50% of yield losses, respectively. These pathogens develop resistant overwintering and/or oversummering sclerotia, which serve as inocula for infection in the subsequent season under favorable conditions. The present study was designed to investigate the month-wise variation in microbial diversity by mixing Rs and Ss sclerotia separately in rice-rapeseed rotation field soil, thereby identifying key microbial players associated with specific sclerotia and their implications for subsequent crops. Therefore, we incubated 2.5 g of Rs and Ss sclerotia in 100 g of soil for 3 months to mimic the field conditions and subjected month-wise soil samples to 16S rRNA and ITS2 sequencing. Data analysis of bacterial communities revealed diversity, richness, and evenness in Ss treated soil samples compared to the control, while fungal communities exhibited less diversity. These results were also evident in PCoA and hierarchical clustering, where control and treated samples were scattered in 16S rRNA and ITS sequencing. Genus level diversity exhibited enrichment of bacterial genera with known beneficial potential, notably Acidibacter, Stenotrophobacter, Sphingomonas, Flavisolibacter, Gaiella, and Neobacillus in control. Beneficial bacterial genera such as Ramlibacter, Geomonas, Kofleria, Nitrospira, and Paraflavitalea were enriched in Ss treated soil samples. The addition of Ss and Rs sclerotia activated several beneficial fungi, notably Trichoderma, Talaromyces, Clonostachys in Ss treated samples, and Vermispora, Hyalorbilia, Mortierella, Lecanicillium in Rs treated samples. Additionally, Rs treated soil samples also activated pathogenic genera, including Typhula, Fusarium, and Rhizoctonia. Sclerotia in soil modulates the microbiome and activates beneficial and pathogenic microbes. During the off-season, the Sclerotinia inoculum pressure in the soil reduces, and it is safe to grow crops next season. Whereas, in the case of Rhizoctonia infected soil, it is suggested to avoid growing crops susceptible to wilt, root rot, and blight. However, field experiments to understand the pathogen–pathogen interactions around the sclerotiosphere require further exploration. Full article
(This article belongs to the Special Issue Utilizing Fungal Diversity for Sustainable Biotechnology)
Show Figures

Figure 1

25 pages, 4055 KB  
Article
Effects of Long-Term Heavy Metal Pollution on Microbial Community Structure in Soil
by Qiannuo Mi, Yan Wu, Huaisen Cai, Zuben Xu, Yue Zhao, Ronghao Guan, Xin Fan and Jianhua Guo
Toxics 2025, 13(9), 806; https://doi.org/10.3390/toxics13090806 - 22 Sep 2025
Viewed by 623
Abstract
Heavy metal (HM) contamination of soil is a worldwide problem with adverse consequences for the environment and human health. Microorganisms, as the most active fraction in soil, play a pivotal role in assessing changes in soil quality and maintaining ecological equilibrium. Accordingly, screening [...] Read more.
Heavy metal (HM) contamination of soil is a worldwide problem with adverse consequences for the environment and human health. Microorganisms, as the most active fraction in soil, play a pivotal role in assessing changes in soil quality and maintaining ecological equilibrium. Accordingly, screening efficient microorganisms for remediating contaminated soils has emerged as a key research focus. This study employed high-throughput sequencing and conducted in situ field surveys to investigate the impacts of long-term HM pollution with varying severity on soil physicochemical properties, as well as the community structure and diversity of bacteria and fungi. The results showed that the major soil physiochemical properties and the bacterial and fungal β diversity significantly changed with the increase in HM pollution levels. The relative abundances of Chloroflexi, Myxococcota and Nitrospirota among bacteria, along with Chytridiomycota and Talaromyces among fungi, increased significantly with rising HM pollution levels. In low-, medium- and highly contaminated soils, the dominant bacterial species were OTU10618 (Micrococcales), OTU6447 (Chthoniobacterales), and OTU7447 (Burkholderiales), while the dominant fungal species were OTU3669 (Glomerellales), OTU397 (Olpidiales), and OTU2568 (Mortierellales). Bacterial communities were mainly affected by soil-available phosphorus, available cadmium (Cd) and available Pb, while fungal communities were predominantly influenced by soil-available phosphorus, soil organic carbon and total Pb content. These findings demonstrate that soil microorganisms in chronically HM-contaminated soils exhibit adaptive shifts, and this study thereby provides critical implications for assessing the remediation potential of diverse microbial taxa in HM-polluted soils. Full article
(This article belongs to the Special Issue Assessment and Remediation of Heavy Metal Contamination in Soil)
Show Figures

Graphical abstract

32 pages, 6606 KB  
Article
Diversity of Culturable Fungi in Two-Phase Olive Mill Waste, a Preliminary Evaluation of Their Enzymatic Potential, and Two New Trichoderma Species
by Vassiliki Fryssouli, Io Kefalogianni, Elias Polemis, Milton A. Typas and Georgios I. Zervakis
J. Fungi 2025, 11(9), 687; https://doi.org/10.3390/jof11090687 - 22 Sep 2025
Viewed by 1180
Abstract
This study investigates the diversity and provides a preliminary evaluation of the enzymatic potential of culturable fungi present in two-phase olive mill waste (TPOMW), a lignocellulose- and phenolic-rich agro-industrial by-product generated in large quantities in olive oil-producing countries. Ninety-four isolates, representing 31 species [...] Read more.
This study investigates the diversity and provides a preliminary evaluation of the enzymatic potential of culturable fungi present in two-phase olive mill waste (TPOMW), a lignocellulose- and phenolic-rich agro-industrial by-product generated in large quantities in olive oil-producing countries. Ninety-four isolates, representing 31 species of the phyla Ascomycota, Basidiomycota, and Mucoromycota, were obtained and identified by using ITS, 28S, tef1-α, tub2, rpb2, act, and/or cal sequences. Among the identified taxa, two new Trichoderma species within the Harzianum clade, namely Trichoderma amurcicola (phylogenetically related to T. simile and T. guizhouense) and Trichoderma olivarum (phylogenetically related to T. simmonsii), were described following a multilocus phylogenetic analysis combined with a study of their morphoanatomical features. A rather high phylogenetic divergence was detected in Candida boidinii, Pleurostoma richardsiae, and Mucor circinelloides, while Cladosporium limoniforme, Mucor pseudolusitanicus, Stagonosporopsis ailanthicola, and Talaromyces nanjingensis were recorded for the first time in TPOMW. A preliminary screening revealed 29 species with cellulolytic and/or xylanolytic activities; 26 species displayed dye decolorization capacity, while ligninolytic and laccase activities were restricted to a few taxa. The most promising degraders of lignocellulosics included strains of Cladosporium limoniforme, C. ramotenellum, Fuscoporia ferrea, Peniophora lycii, and Pseudophlebia setulosa. Fungi detected in TPOMW are promising biotechnological tools to be exploited in the frame of circular economy applications. Full article
(This article belongs to the Section Fungal Evolution, Biodiversity and Systematics)
Show Figures

Figure 1

21 pages, 1952 KB  
Article
Integrated Assessment of Fungi Contamination and Mycotoxins Levels Across the Rice Processing Chain
by Carolina Sousa Monteiro, Eugénia Pinto, Rosalía López-Ruiz, Jesús Marín-Sáez, Antonia Garrido Frenich, Miguel A. Faria and Sara C. Cunha
Toxins 2025, 17(9), 468; https://doi.org/10.3390/toxins17090468 - 18 Sep 2025
Viewed by 877
Abstract
This study investigated the occurrence of fungi and mycotoxins throughout the rice processing chain, from paddy rice to final white rice, in two rice varieties (variety I and variety II). A total of 75 fungal isolates were identified, belonging to the genera Penicillium [...] Read more.
This study investigated the occurrence of fungi and mycotoxins throughout the rice processing chain, from paddy rice to final white rice, in two rice varieties (variety I and variety II). A total of 75 fungal isolates were identified, belonging to the genera Penicillium, Alternaria, Aspergillus, Fusarium, and Talaromyces. Variety I exhibited a higher prevalence of Penicillium and Alternaria, whereas Variety II was dominated mainly by Alternaria, accounting for 63% of all isolates. Multi-mycotoxin screening of 22 mycotoxins revealed contamination by tenuazonic acid (TeA), zearalenone (ZEN), and 15-acetyl-deoxynivalenol (15-AcDON), with TeA concentrations exceeding 4000 µg/kg in whitened rice of variety II. Cluster analysis showed paddy and brown rice grouping together due to higher fungal loads and toxin levels, whereas whitened and final white rice clustered separately, reflecting reduced fungal counts but persistence of TeA, 15-AcDON, ZEN, and citrinin (CIT). The co-clustering of Alternaria with TeA and ZEN indicates strong field-related contamination. Although processing significantly decreased fungal loads, residual toxins persisted, emphasizing that rice polishing does not fully mitigate mycotoxin risks. These findings underscore the need for comprehensive surveillance and integrated management practices across the rice supply chain to minimize potential health hazards associated with fungal contaminants and their toxic metabolites. Full article
Show Figures

Figure 1

23 pages, 4486 KB  
Article
Composition and Occurrence of Airborne Fungi in Two Urbanized Areas of the City of Sofia, Bulgaria
by Margarita Ivanova, Galina Stoyancheva, Vladislava Dishliyska, Jeny Miteva-Staleva, Radoslav Abrashev, Boryana Spasova, Yana Gocheva, Lyudmila Yovchevska, Galina Satchanska, Maria Angelova and Ekaterina Krumova
Appl. Microbiol. 2025, 5(3), 96; https://doi.org/10.3390/applmicrobiol5030096 - 11 Sep 2025
Viewed by 1191
Abstract
Air pollution remains one of the most urgent global challenges, affecting both public health and environmental integrity, with its severity escalating in parallel with industrialization and urban expansion. Defined as the presence of harmful substances in the atmosphere, air pollution poses risks to [...] Read more.
Air pollution remains one of the most urgent global challenges, affecting both public health and environmental integrity, with its severity escalating in parallel with industrialization and urban expansion. Defined as the presence of harmful substances in the atmosphere, air pollution poses risks to human health and disrupts the development of plant and animal life. Urban areas, particularly large cities, frequently exhibit pollutant concentrations that exceed safety thresholds established by the World Health Organization (WHO). This study presents a comprehensive analysis of airborne fungal microbiota in two distinct districts of Sofia, Bulgaria: the highly urbanized city center (Orlov Most) and a less urbanized southwestern area (New Bulgarian University, Ovcha Kupel). Weekly fluctuations in mold spore abundance were monitored, revealing elevated contamination levels on Fridays, likely due to intensified vehicular traffic preceding weekends and public holidays. Taxonomic identification of dominant mold species was conducted using both classical and molecular genetic methods. The isolated fungal strains predominantly belonged to the phylum Ascomycota (80%), with Talaromyces and Alternaria emerging as the most prevalent genera. Additionally, antifungal susceptibility testing indicated that most isolates were sensitive to commonly used antifungal agents, although resistance was observed in two strains of Talaromyces wortmannii. These findings underscore the significance of fungal bioaerosols in urban air quality assessments and highlight the need for targeted monitoring and mitigation strategies. Full article
Show Figures

Figure 1

13 pages, 1335 KB  
Article
Effects of Seed Priming with Talaromyces ruber Extracts on Tomato (Solanum lycopersicum) Growth
by Álvaro Iglesias-Ganado, Jorge Poveda, Oscar Santamaría, Sara Rodrigo, María I. Pozo and Jorge Martín-García
Agriculture 2025, 15(17), 1868; https://doi.org/10.3390/agriculture15171868 - 31 Aug 2025
Viewed by 849
Abstract
Modern agriculture requires effective and sustainable tools to enhance crop performance while minimizing the environmental impact. In this context, the application of fungal-derived bioactive compounds directly onto seeds represents a promising alternative. In this study, tomato seeds (Solanum lycopersicum) were subjected [...] Read more.
Modern agriculture requires effective and sustainable tools to enhance crop performance while minimizing the environmental impact. In this context, the application of fungal-derived bioactive compounds directly onto seeds represents a promising alternative. In this study, tomato seeds (Solanum lycopersicum) were subjected to mycopriming treatment using two fungal extracts obtained from the mycelium and culture filtrate of Talaromyces ruber. Two independent greenhouse trials were conducted to assess germination dynamics, morphometric traits, and physiological parameters (chlorophyll content, flavonol index, and anthocyanin index). Although germination rates were not significantly affected, root development was consistently enhanced by the treatments compared with the control group in both experiments. In contrast, no clear improvement was observed in shoot growth or leaf physiological parameters. Overall, the application of T. ruber extracts via seed priming proved to be a feasible strategy to stimulate early-stage root development in tomatoes, potentially contributing to improved seedling vigor and agronomic performance. These findings support the potential use of fungal extracts as practical tools for improving seedling quality in commercial nursery production. Full article
(This article belongs to the Special Issue Advanced Cultivation Technologies for Horticultural Crops Production)
Show Figures

Figure 1

12 pages, 805 KB  
Article
OSMAC-Driven Discovery of Six New Alkaloids from the Cold-Seep-Derived Fungus Talaromyces amestolkiae HDN21-0307
by Xinsheng Huang, Jiajin Wu, Luning Zhou, Zhengjie Wang, Qian Che, Liangzhen Chen, Wenxue Wang, Tianjiao Zhu and Dehai Li
Mar. Drugs 2025, 23(9), 337; https://doi.org/10.3390/md23090337 - 25 Aug 2025
Viewed by 1407
Abstract
Six new alkaloid compounds, including two rare aromatic nitrile compounds talaronitriles A–B (12), a novel oxime-functionalized azadiphilone analogue talarooxime A (3), a new phenylhydrazone alkaloid talarohydrazone E (4), and two new dipeptide compounds talarodipeptides A–B [...] Read more.
Six new alkaloid compounds, including two rare aromatic nitrile compounds talaronitriles A–B (12), a novel oxime-functionalized azadiphilone analogue talarooxime A (3), a new phenylhydrazone alkaloid talarohydrazone E (4), and two new dipeptide compounds talarodipeptides A–B (56), were isolated from the deep-sea cold-seep-derived fungus Talaromyces amestolkiae HDN21-0307 via OSMAC approach. Compound 1 is the first natural naphthalene compound with cyano groups. Compound 3 represents the first natural product containing an oxime-functionalized azadiphilone scaffold. Their structures and absolute configurations were elucidated through spectroscopic data analysis and quantum chemical calculations. Notably, compound 3 demonstrated moderate DPPH free-radical-scavenging activity, with an IC50 value of 29.41 μM. Full article
(This article belongs to the Section Structural Studies on Marine Natural Products)
Show Figures

Figure 1

19 pages, 2901 KB  
Article
Genome Sequencing and Comparative Genomics of the Hyper-Cellulolytic Fungus Talaromyces pinophilus Y117
by Ya Li, Siyuan Yue, Peng Li, Jing Zeng, Jianjun Guo, Dawei Xiong, Shuaiwen Zhang, Tao Deng and Lin Yuan
J. Fungi 2025, 11(9), 614; https://doi.org/10.3390/jof11090614 - 22 Aug 2025
Viewed by 973
Abstract
Talaromyces pinophilus is a filamentous fungus with notable lignocellulose-degrading capacity based on enzyme activities and protein secretion potential, making it a compelling candidate for industrial biotechnology applications. In this study, we present the genomic characterization of the highly cellulolytic strain Y117, a domesticated [...] Read more.
Talaromyces pinophilus is a filamentous fungus with notable lignocellulose-degrading capacity based on enzyme activities and protein secretion potential, making it a compelling candidate for industrial biotechnology applications. In this study, we present the genomic characterization of the highly cellulolytic strain Y117, a domesticated variant of T. pinophilus, based on whole-genome sequencing and comparative genomic analysis with eleven related strains. Comprehensive analysis of CAZymes, transcription factors, and secondary metabolite diversity in T. pinophilus strains revealed that the exceptional lignocellulose degradation capacity of Y117 is driven by its unique genomic architecture. Key genomic features that distinguish Y117 include (1) significant expansion of glycoside hydrolase (GH) and carbohydrate-binding module (CBM) families, (2) loss of fungal-RiPP-like clusters, and (3) absence of the developmental regulator BrlA. These genomic adaptations could indicate a metabolic trade-off favoring hydrolytic enzyme production over secondary metabolism and sporulation. Our findings provide fundamental insights into fungal lignocellulose degradation mechanisms while establishing Y117 as a promising chassis for metabolic engineering applications in industrial enzyme production and heterologous protein expression. Full article
Show Figures

Figure 1

17 pages, 1102 KB  
Article
Sustainable Valorization of Brewer’s Spent Grain via Submerged Fermentation Using Talaromyces stollii for Laccase and Phenolic Compounds Production
by Eric Coelho S. Lima, Ana Caroline B. do Nascimento, Rodrigo P. do Nascimento and Ivaldo Itabaiana
Recycling 2025, 10(4), 166; https://doi.org/10.3390/recycling10040166 - 21 Aug 2025
Viewed by 1635
Abstract
Brewer’s spent grain (BSG) is the main solid byproduct of the brewing industry, generated in large quantities worldwide. Its high organic content and availability make it an attractive substrate for biotechnological valorization and recycling within a circular economy framework, contributing to the recovery [...] Read more.
Brewer’s spent grain (BSG) is the main solid byproduct of the brewing industry, generated in large quantities worldwide. Its high organic content and availability make it an attractive substrate for biotechnological valorization and recycling within a circular economy framework, contributing to the recovery and reuse of agro-industrial residues. This study investigates the potential of Talaromyces stollii I05.06 to simultaneously produce laccase and release phenolic compounds through submerged fermentation (SmF) using BSG as the sole carbon source. Initial SmF trials confirmed the fungus’s capacity to metabolize BSG. Subsequent fermentations with phosphate buffer supplementation (100 mM) significantly enhanced laccase activity (1535 ± 151.6 U·L−1 on day 5) and phenolic content (6.28 ± 0.07 mg GAE per 100 g on day 1 with 50 mM buffer). However, the addition of typical laccase inducers (Cu2+ and Mn2+) led to inhibitory effects. The results highlight T. stollii I05.06 as a promising microorganism for the integrated valorization of BSG, contributing to sustainable agro-industrial waste management and the development of value-added bioproducts. Full article
(This article belongs to the Special Issue Biomass Revival: Rethinking Waste Recycling for a Greener Future)
Show Figures

Graphical abstract

11 pages, 1097 KB  
Article
Development of a Droplet Digital PCR Assay Targeting the Internal Transcribed Spacer Gene for Rapid Detection of Talaromyces marneffei in AIDS Patients
by Yingyin Yang, Qinzhi Zhang, Pengle Guo, Meijun Chen, Yeyang Zhang, Weiping Cai, Xiaoping Tang and Linghua Li
Pathogens 2025, 14(8), 817; https://doi.org/10.3390/pathogens14080817 - 18 Aug 2025
Viewed by 807
Abstract
Talaromycosis caused by Talaromyces marneffei is a life-threatening mycosis in patients with acquired immunodeficiency syndrome (AIDS). The gold-standard diagnostic method relies on time-consuming cultures, which delay treatment and increase mortality. In this study, we developed a rapid and sensitive droplet digital PCR (ddPCR) [...] Read more.
Talaromycosis caused by Talaromyces marneffei is a life-threatening mycosis in patients with acquired immunodeficiency syndrome (AIDS). The gold-standard diagnostic method relies on time-consuming cultures, which delay treatment and increase mortality. In this study, we developed a rapid and sensitive droplet digital PCR (ddPCR) assay targeting the internal transcribed spacer (ITS) gene for detecting T. marneffei and compared its performance with blood culture and quantitative PCR (qPCR) assays. The ddPCR assay had a detection limit of one copy/reaction, making it 10-fold more sensitive than qPCR. It demonstrated 100% specificity for T. marneffei, with no cross-reactivity to 15 other fungal pathogens, six bacterial pathogens, and plasma from 119 AIDS patients without talaromycosis. In 119 AIDS patients with talaromycosis, ddPCR exhibited better overall sensitivity (92.44%) than blood culture (86.55%) and qPCR (87.29%). The sensitivity of ddPCR was 97.8% (89/91) and 75% (21/28) in plasma collected before and after antifungal therapy, respectively. Moreover, fungal load measured by ddPCR negatively correlated with the time to blood culture positivity. Fungal loads in patients receiving antifungal therapy were significantly lower than those in untreated patients. These findings indicate that ddPCR facilitates rapid diagnosis of T. marneffei infection in AIDS patients and can assist clinicians in evaluating treatment efficacy by quantifying fungal load. Full article
Show Figures

Figure 1

11 pages, 3753 KB  
Article
Discovery of a Hepatoprotective Trinor-Sesterterpenoid from the Marine Fungus Talaromyces sp. Against Hepatic Ischemia-Reperfusion Injury
by Wenxun Lan, Jian Cai, Liyan Yan, Xinyi Wu, Lisha Zhang, Chunmei Chen, Zhongqiu Liu, Xuefeng Zhou and Lan Tang
Mar. Drugs 2025, 23(8), 329; https://doi.org/10.3390/md23080329 - 16 Aug 2025
Viewed by 986
Abstract
A new trinor-sesterterpenoid penitalarin D (1), with a 3,6-dioxabicyclo[3.1.0]hexane moiety, as well as two known compounds, penitalarin C (2) and nafuredin A (3), were obtained from the mangrove sediment-derived Talaromyces sp. SCSIO 41412. Their structures were determined [...] Read more.
A new trinor-sesterterpenoid penitalarin D (1), with a 3,6-dioxabicyclo[3.1.0]hexane moiety, as well as two known compounds, penitalarin C (2) and nafuredin A (3), were obtained from the mangrove sediment-derived Talaromyces sp. SCSIO 41412. Their structures were determined by detailed NMR, MS spectroscopic analyses, and ECD calculations. Penitalarin D (1) and nafuredin A (3) showed toxicity or no toxicity against HepG2 cells at a concentration of 200 μM. The transcriptome sequencing and bioinformatics analysis revealed that 3 could be effective by regulating ferroptosis pathways in HepG2 cells, which was subsequently validated by RT-qPCR, demonstrating significant upregulation of ferroptosis-related genes. Pre-treatment with 3 could mitigate hypoxia-reoxygenation-induced damage in the oxygen glucose deprivation/reperfusion (OGD/R) cell model. Given the structural similarity of compounds 1, 2, and 3, we also screened compounds 1 and 2 in an AML12 OGD/R model. As no significant activity was observed, compound 3 was selected for subsequent in vivo studies. Subsequently, in vivo experiments demonstrated that 3 could significantly decrease pro-inflammatory cytokines and display the hepatoprotective effects against hepatic ischemia-reperfusion injury (HIRI). These findings identified nafuredin A (3) as a promising hepatoprotective agent for new drug development. Full article
Show Figures

Figure 1

15 pages, 3777 KB  
Article
Talaromyces pinophilus Strain HD25G2 as a Novel Biocontrol Agent of Fusarium culmorum, the Causal Agent of Root and Crown Rot of Soft Wheat
by Amel Bennacer, Fatma Sahir-Halouane, Micaela Alvarez, Zahia Oukali, Nour El Houda Bennacer, Abdelhamid Foughalia and Josué Delgado
J. Fungi 2025, 11(8), 588; https://doi.org/10.3390/jof11080588 - 11 Aug 2025
Viewed by 1231
Abstract
Fusarium culmorum is the causal agent of root rot and crown rot in soft wheat. The aim of this study was to investigate the control mechanism of Talaromyces pinophilus HD25G2 as a biocontrol agent against F. culmorum. This involved the isolation and [...] Read more.
Fusarium culmorum is the causal agent of root rot and crown rot in soft wheat. The aim of this study was to investigate the control mechanism of Talaromyces pinophilus HD25G2 as a biocontrol agent against F. culmorum. This involved the isolation and molecular identification of Fusarium and Talaromyces strains from soft wheat. The assay included the inhibition test of F. culmorum mycelial growth on potato dextrose agar and soft wheat media at two water activity values (0.98 and 0.95), its production of mycotoxins, and the fungal cell wall-degrading enzymes implicated in the antagonistic effect of T. pinophilus. The results showed that T. pinophilus and its extract free of cells reduced the growth of F. culmorum by over 55%. Interestingly, the T. pinophilus HD25G2 showed high chitinase, protease, and cellulose production on solid media. In addition, chitinolytic and proteolytic activities were estimated at the values of 1.72 ± 0.02UI and 0.49 ± 0.01UI, respectively. However, the mycotoxin evaluation assay revealed that F. culmorum HD15C10 produced zearalenone (ZEA) and the biocontrol agent enhanced its production, but the early inoculation of T. pinophilus, before F. culmorum growth onset, inhibited 100% its growth and, therefore, prevented the presence of ZEA. Hence, this strain can be proposed as a biocontrol agent against F. culmorum, and it can be further investigated for biocontrol of Fusarium root and crown rot in vivo. Full article
(This article belongs to the Special Issue Plant Pathogens and Mycotoxins)
Show Figures

Graphical abstract

22 pages, 3515 KB  
Article
Biodegradation of Chloroquine by a Fungus from Amazonian Soil, Penicillium guaibinense CBMAI 2758
by Patrícia de Almeida Nóbrega, Samuel Q. Lopes, Lucas S. Sá, Ryan da Silva Ramos, Fabrício H. e Holanda, Inana F. de Araújo, André Luiz M. Porto, Willian G. Birolli and Irlon M. Ferreira
J. Fungi 2025, 11(8), 579; https://doi.org/10.3390/jof11080579 - 4 Aug 2025
Viewed by 1073
Abstract
Concern over the presence of pharmaceutical waste in the environment has prompted research into the management of emerging organic micropollutants (EOMs). In response, sustainable technologies have been applied as alternatives to reduce the effects of these contaminants. This study investigated the capacity of [...] Read more.
Concern over the presence of pharmaceutical waste in the environment has prompted research into the management of emerging organic micropollutants (EOMs). In response, sustainable technologies have been applied as alternatives to reduce the effects of these contaminants. This study investigated the capacity of filamentous fungi isolated from iron mine soil in the Amazon region to biodegrade the drug chloroquine diphosphate. An initial screening assessed the growth of four fungal strains on solid media containing chloroquine diphosphate: Trichoderma pseudoasperelloides CBMAI 2752, Penicillium rolfsii CBMAI 2753, Talaromyces verruculosus CBMAI 2754, and Penicillium sp. cf. guaibinense CBMAI 2758. Among them, Penicillium sp. cf. guaibinense CBMAI 2758 was selected for further testing in liquid media. A Box–Behnken factorial design was applied with three variables, pH (5, 7, and 9), incubation time (5, 10, and 15 days), and chloroquine diphosphate concentration (50, 75, and 100 mg·L−1), totaling 15 experiments. The samples were analyzed by gas chromatography–mass spectrometry (GC-MS). The most effective conditions for chloroquine biodegradation were pH 7, 100 mg·L−1 concentration, and 10 days of incubation. Four metabolites were identified: one resulting from N-deethylation M1 (N4-(7-chloroquinolin-4-yl)-N1-ethylpentane-1,4-diamine), two from carbon–carbon bond cleavage M2 (7-chloro-N-ethylquinolin-4-amine) and M3 (N1,N1-diethylpentane-1,4-diamine), and one from aromatic deamination M4 (N1-ethylbutane-1,4-diamine) by enzymatic reactions. The toxicity analysis showed that the products obtained from the biodegradation of chloroquine were less toxic than the commercial formulation of this compound. These findings highlight the biotechnological potential of Amazonian fungi for drug biodegradation and decontamination. Full article
(This article belongs to the Special Issue Fungal Biotechnology and Application 3.0)
Show Figures

Graphical abstract

15 pages, 610 KB  
Review
Exploring the Diversity and Distribution of Medico-Veterinary Fungal Diseases in Africa: Harnessing a Multisectoral One Health Strategy for Cost-Effective Prevention and Preparedness
by Ayman Ahmed, Nouh Saad Mohamed and Emmanuel Edwar Siddig
J. Fungi 2025, 11(8), 569; https://doi.org/10.3390/jof11080569 - 30 Jul 2025
Cited by 1 | Viewed by 1306
Abstract
The diversity and distribution of medical and veterinary-relevant fungal diseases in Africa underscore the critical need for a multisectoral One Health strategy to enhance cost-effective preparedness and prevention. This review explores the geographic spread and epidemiology of key medical and veterinary fungi, including [...] Read more.
The diversity and distribution of medical and veterinary-relevant fungal diseases in Africa underscore the critical need for a multisectoral One Health strategy to enhance cost-effective preparedness and prevention. This review explores the geographic spread and epidemiology of key medical and veterinary fungi, including Emergomyces, Blastomyces, Coccidioides, Cryptococcus, Dermatophytes, Histoplasma, Sporothrix, Talaromyces, Paracoccidioides, Aspergillus, and Malassezia. Evidence indicates that many of these infections remain underdiagnosed and underreported, especially in vulnerable immunocompromised populations, due to limited surveillance, diagnostic capacity, and awareness. The increasing prevalence of these diseases, often in tandem with rising HIV rates and environmental changes, highlights the urgent need for coordinated efforts across human, animal, and environmental health sectors. Implementing comprehensive, multisectoral interventions—focused on enhancing diagnostic capabilities, public awareness, surveillance, and cross-sector collaboration—is vital for effective prevention and control of these emerging fungal threats in Africa. Full article
Show Figures

Figure 1

Back to TopTop