An Investigation of Quorum Sensing Inhibitors against Bacillus cereus in The Endophytic Fungus Pithomyces sacchari of the Laurencia sp.
Abstract
1. Introduction
2. Results
2.1. Identification of Active Strains
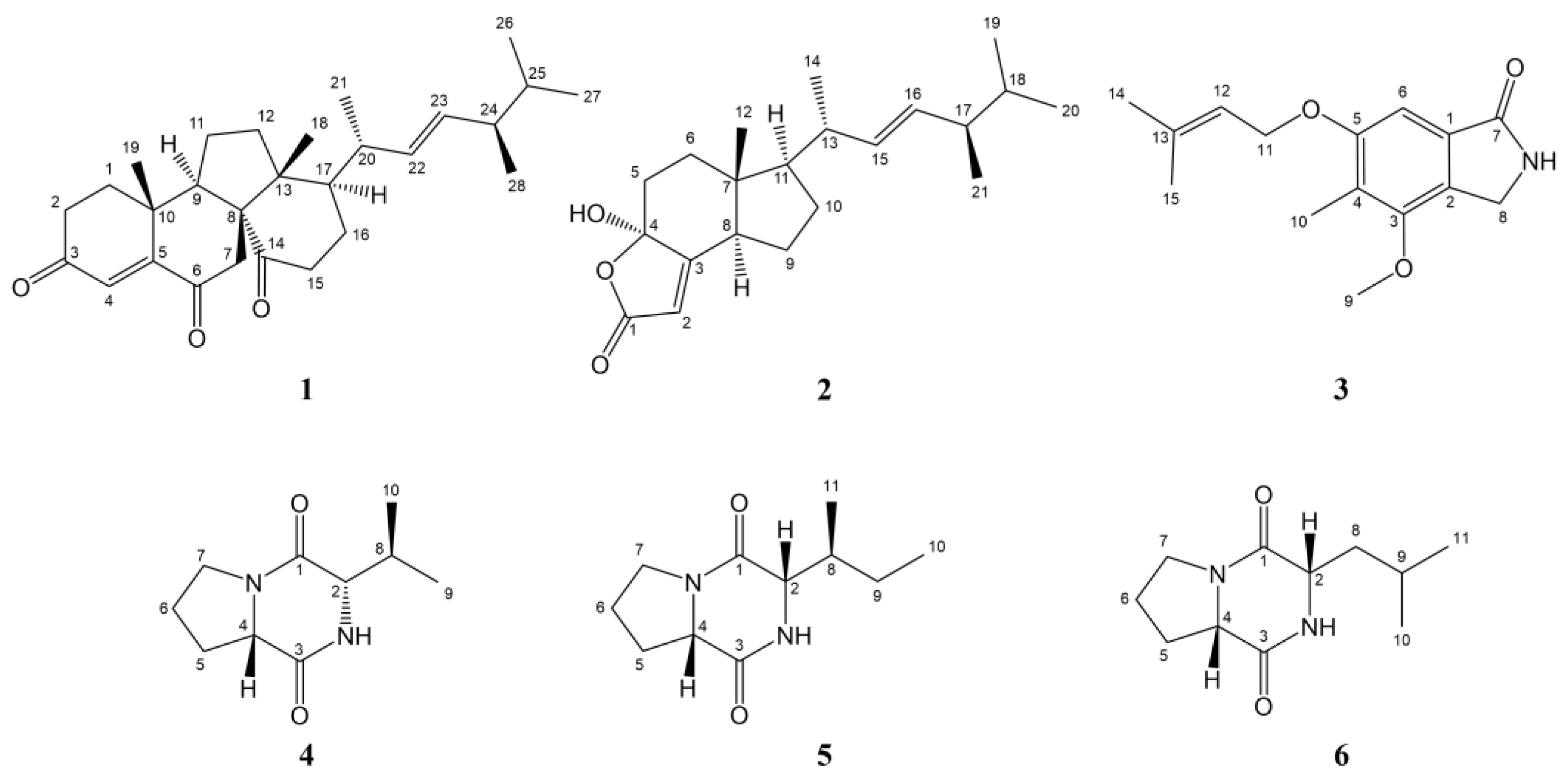
2.2. The Elucidation of Compounds
2.3. The Growth Profiles of B. cereus at Sub-Minimum Inhibitory Concentrations of Demethylincisterol A3
2.4. Demethylincisterol A3 Inhibits the Biofilm Formation of B. cereus
2.5. Demethylincisterol A3 Inhibits the Swimming of B. cereus
2.6. Demethylincisterol A3 Inhibits the Protease and Hemolytic Activity of B. cereus
2.7. Demethylincisterol A3 Inhibits the Expression of Key Virulence-Related Genes of B. cereus
2.8. Demethylincisterol A3 Reduces the Mortality Rate of B. cereus
3. Discussion
4. Materials and Methods
4.1. General
4.2. Seaweed Sample Collection and Morphological Identification
4.3. Identification of QSI Active-Strain W2-F1
4.4. Scale-Up Fermentation of QSI Active-Strain P. sacchari and Isolation, Purification, and Elucidation of Compounds under Bio-Guided Screenings
4.5. MIC of Demethylincisterol A3 against B. cereus
4.6. Growth Measurement of B. cereus
4.7. The Effects of Biofilm Formation
4.8. Swimming Motility Assay
4.9. Measurement of Protease Production
4.10. Measurement of Hemolytic Activities
4.11. Quantitative Real-Time PCR
4.12. Evaluating the Inhibitory Effect of Demethylincisterol A3 in a G. mellonella Model
4.13. Statistical Analysis
5. Conclusions
Supplementary Materials
Author Contributions
Funding
Institutional Review Board Statement
Data Availability Statement
Acknowledgments
Conflicts of Interest
References
- Pagarete, A.; Ramos, A.S.; Puntervoll, P.; Allen, M.J.; Verdelho, V. Antiviral potential of slgal metabolites—A comprehensive review. Mar. Drugs 2021, 19, 94. [Google Scholar] [CrossRef] [PubMed]
- Nagamalla, L.; Shanmukha Kumar, J.V.; Sanjay, C.; Alsamhan, A.M.; Shaik, M.R. In-silico study of seaweed secondary metabolites as AXL kinase inhibitors. Saudi J. Biol. Sci. 2022, 29, 689–701. [Google Scholar] [CrossRef] [PubMed]
- Vairagkar, U.; Mirza, Y. Antagonistic activity of antimicrobial metabolites produced from seaweed-associated Bacillus amyloliquefaciens MTCC 10456 against Malassezia spp. Probiotics Antimicrob. Proteins 2021, 13, 1228–1237. [Google Scholar] [CrossRef] [PubMed]
- Catarino, M.D.; Silva-Reis, R.; Chouh, A.; Silva, S.; Braga, S.S.; Silva, A.M.S.; Cardoso, S.M. Applications of antioxidant secondary metabolites of Sargassum spp. Mar. Drugs 2023, 21, 172. [Google Scholar] [CrossRef]
- Digra, S.; Nonzom, S. An insight into endophytic antimicrobial compounds: An updated analysis. Plant Biotechnol. Rep. 2023, 17, 427–457. [Google Scholar] [CrossRef] [PubMed]
- Stierle, A.; Strobel, G.; Stierle, D. Taxol and taxane production by Taxomyces andreanae, an endophytic fungus of Pacific yew. Science 1993, 260, 214–216. [Google Scholar] [CrossRef] [PubMed]
- Nishad, J.H.; Singh, A.; Gautam, V.S.; Kumari, P.; Kumar, J.; Yadav, M.; Kharwar, R.N. Bioactive potential evaluation and purification of compounds from an endophytic fungus Diaporthe longicolla, a resident of Saraca asoca (Roxb.) Willd. Arch. Microbiol. 2021, 203, 4179–4188. [Google Scholar] [CrossRef] [PubMed]
- Gautam, V.S.; Singh, A.; Kumari, P.; Nishad, J.H.; Kumar, J.; Yadav, M.; Bharti, R.; Prajapati, P.; Kharwar, R.N. Phenolic and flavonoid contents and antioxidant activity of an endophytic fungus Nigrospora sphaerica (EHL2), inhabiting the medicinal plant Euphorbia hirta (dudhi) L. Arch. Microbiol. 2022, 204, 140. [Google Scholar] [CrossRef]
- Xu, Z.; Xiong, B.; Xu, J. Chemical investigation of secondary metabolites produced by mangrove endophytic fungus Phyllosticta capitalensis. Nat. Prod. Res. 2021, 35, 1561–1565. [Google Scholar] [CrossRef]
- Singh, V.K.; Kumar, A. Secondary metabolites from endophytic fungi: Production, methods of analysis, and diverse pharmaceutical potential. Symbiosis 2023, 90, 111–125. [Google Scholar] [CrossRef]
- Akinpelu, D.A.; Aiyegoro, O.A.; Akinpelu, O.F.; Okoh, A.I. Stem bark extract and fraction of Persea americana (Mill.) exhibits bactericidal activities against strains of Bacillus cereus associated with food poisoning. Molecules 2015, 20, 416–429. [Google Scholar] [CrossRef] [PubMed]
- Eglezos, S.; Huang, B.; Dykes, G.A.; Fegan, N. The prevalence and concentration of Bacillus cereus in retail food products in Brisbane, Australia. Foodborne Pathog. Dis. 2010, 7, 867–870. [Google Scholar] [CrossRef] [PubMed]
- Leong, S.S.; Korel, F.; King, J.H. Bacillus cereus: A review of “fried rice syndrome” causative agents. Microb. Pathog. 2023, 185, 106418. [Google Scholar] [CrossRef] [PubMed]
- Lin, Y.; Briandet, R.; Kovács, Á.T. Bacillus cereus sensu lato biofilm formation and its ecological importance. Biofilm 2022, 4, 100070. [Google Scholar] [CrossRef] [PubMed]
- Huang, Y.; Flint, S.H.; Palmer, J.S. Bacillus cereus spores and toxins–the potential role of biofilms. Food Microbiol. 2020, 90, 103493. [Google Scholar] [CrossRef] [PubMed]
- Zhao, L.; Duan, F.; Gong, M.; Tian, X.; Guo, Y.; Jia, L.; Deng, S. (+)-Terpinen-4-ol Inhibits Bacillus cereus biofilm formation by upregulating the interspecies quorum sensing signals diketopiperazines and diffusing signaling factors. J. Agric. Food Chem. 2021, 69, 3496–3510. [Google Scholar] [CrossRef] [PubMed]
- Gorgan, M.; Vanunu Ofri, S.; Engler, E.R.; Yehuda, A.; Hutnick, E.; Hayouka, Z.; Bertucci, M.A. The importance of the PapR7 C-terminus and amide protons in mediating quorum sensing in Bacillus cereus. Res. Microbiol. 2023, 174, 104139. [Google Scholar] [CrossRef] [PubMed]
- Amagata, T.; Tanaka, M.; Yamada, T.; Doi, M.; Minoura, K.; Ohishi, H.; Yamori, T.; Numata, A. Variation in cytostatic constituents of a sponge-derived Gymnascella dankaliensis by manipulating the carbon source. J. Nat. Prod. 2007, 70, 1731–1740. [Google Scholar] [CrossRef] [PubMed]
- Mansoor, T.A.; Hong, J.; Lee, C.-O.; Bae, S.-J.; Im, K.S.; Jung, J.H. Cytotoxic sterol derivatives from a marine sponge Homaxinella sp. J. Nat. Prod. 2005, 68, 331–336. [Google Scholar] [CrossRef]
- Yajima, A.; Kagohara, Y.; Shikai, K.; Katsuta, R.; Nukada, T. Synthesis of two osteoclast-forming suppressors, demethylincisterol A3 and chaxine A. Tetrahedron 2012, 68, 1729–1735. [Google Scholar] [CrossRef]
- Yang, X.-L.; Zhang, S.; Hu, Q.-B.; Luo, D.-Q.; Zhang, Y. Phthalide derivatives with antifungal activities against the plant pathogens isolated from the liquid culture of Pestalotiopsis photiniae. J. Antibiot. 2011, 64, 723–727. [Google Scholar] [CrossRef]
- Mehnaz, S.; Saleem, R.S.Z.; Yameen, B.; Pianet, I.; Schnakenburg, G.; Pietraszkiewicz, H.; Valeriote, F.; Josten, M.; Sahl, H.-G.; Franzblau, S.G.; et al. Lahorenoic acids A–C, ortho-dialkyl-substituted aromatic acids from the biocontrol strain Pseudomonas aurantiaca PB-St2. J. Nat. Prod. 2013, 76, 135–141. [Google Scholar] [CrossRef]
- Campbell, J.; Lin, Q.; Geske, G.D.; Blackwell, H.E. New and Unexpected Insights into the Modulation of LuxR-Type Quorum Sensing by Cyclic Dipeptides. ACS Chem. Bio. 2009, 4, 1051–1059. [Google Scholar] [CrossRef]
- Fdhila, F.; Vázquez, V.; Sánchez, J.L.; Riguera, R. DD-Diketopiperazines: Antibiotics Active against Vibrio anguillarum Isolated from Marine Bacteria Associated with Cultures of Pecten maximus. J. Nat. Prod. 2003, 66, 1299–1301. [Google Scholar] [CrossRef]
- Song, S.; Fu, S.; Sun, X.; Li, P.; Wu, J.E.; Dong, T.; He, F.; Deng, Y. Identification of cyclic dipeptides from Escherichia coli as new antimicrobial agents against Ralstonia solanacearum. Molecules 2018, 23, 214. [Google Scholar] [CrossRef]
- Yang, B.; Dong, J.; Zhou, X.; Yang, X.; Lee, K.J.; Wang, L.; Zhang, S.; Liu, Y. Proline-containing dipeptides from a marine sponge of a Callyspongia Species. Helv. Chim. Acta 2009, 92, 1112–1117. [Google Scholar] [CrossRef]
- Han, Y.; Li, Y.Y.; Shen, Y.; Li, J.; Li, W.J.; Shen, Y.M. Oxoprothracarcin, a novel pyrrolo[1,4]benzodiazepine antibiotic from marine Streptomyces sp. M10946. Drug Discov. Ther. 2013, 7, 243–247. [Google Scholar] [CrossRef] [PubMed][Green Version]
- Yang, X.; Wu, P.; Xue, J.; Li, H.; Wei, X. Seco-pimarane diterpenoids and androstane steroids from an endophytic Nodulisporium fungus derived from Cyclosorus parasiticus. Phytochemistry 2023, 210, 113679. [Google Scholar] [CrossRef]
- Li, D.X.; Cheng, X.; Ma, F.P.; Chen, J.Y.; Chen, Y.P.; Zhao, X.S.; Luo, Q. Identification of metabolites from edible mushroom Morchella sextelata and their biological evaluation. Nat. Prod. Res. 2023, 37, 1774–1781. [Google Scholar] [CrossRef] [PubMed]
- Jiang, C.; Ji, J.; Li, P.; Liu, W.; Yu, H.; Yang, X.; Xu, L.; Guo, L.; Fan, Y. New lanostane-type triterpenoids with proangiogenic activity from the fruiting body of Ganoderma applanatum. Nat. Prod. Res. 2022, 36, 1529–1535. [Google Scholar] [CrossRef]
- Su, J.-C.; Pan, Q.; Xu, X.; Wei, X.; Lei, X.; Zhang, P. Structurally diverse steroids from an endophyte of Aspergillus tennesseensis 1022LEF attenuates LPS-induced inflammatory response through the cholinergic anti-inflammatory pathway. Chem.-Biol. Interact. 2022, 362, 109998. [Google Scholar] [CrossRef] [PubMed]
- Liu, Y.; Fu, H.; Zuo, L. Synergistic cytotoxicity effect of 5-Fluorouracil and SHP2 Inhibitor demethylincisterol A3 on cervical cancer cell. Anti-Cancer Agents Med. Chem. 2022, 22, 1313–1319. [Google Scholar] [CrossRef] [PubMed]
- Na, M.W.; Lee, E.; Kang, D.-M.; Jeong, S.Y.; Ryoo, R.; Kim, C.-Y.; Ahn, M.-J.; Kang, K.B.; Kim, K.H. Identification of antibacterial sterols from Korean wild mushroom Daedaleopsis confragosa via bioactivity- and LC-MS/MS profile-guided fractionation. Molecules 2022, 27, 1865. [Google Scholar] [CrossRef] [PubMed]
- Huang, Y.; Flint, S.H.; Loo, T.S.; Palmer, J.S. Emetic toxin production of Bacillus cereus in a biofilm. LWT-Food Sci. Technol. 2022, 154, 112840. [Google Scholar] [CrossRef]
- Alam, P.; Alqahtani, A.S.; Mabood Husain, F.; Tabish Rehman, M.; Alajmi, M.F.; Noman, O.M.; El Gamal, A.A.; Al-Massarani, S.M.; Shavez Khan, M. Siphonocholin isolated from red sea sponge Siphonochalina siphonella attenuates quorum sensing controlled virulence and biofilm formation. Saudi Pharm. J. 2020, 28, 1383–1391. [Google Scholar] [CrossRef] [PubMed]
- Jin, Z.; Li, L.; Zheng, Y.; An, P. Diallyl disulfide, the antibacterial component of garlic essential oil, inhibits the toxicity of Bacillus cereus ATCC 14579 at sub-inhibitory concentrations. Food Control 2021, 126, 108090. [Google Scholar] [CrossRef]
- Hayrapetyan, H.; Tempelaars, M.; Nierop Groot, M.; Abee, T. Bacillus cereus ATCC 14579 RpoN (Sigma 54) Is a pleiotropic regulator of growth, carbohydrate metabolism, motility, biofilm formation and toxin production. PLoS ONE 2015, 10, e0134872. [Google Scholar] [CrossRef] [PubMed]
- Yan, F.; Yu, Y.; Wang, L.; Luo, Y.; Guo, J.-h.; Chai, Y. The comER gene plays an Important role in biofilm formation and sporulation in both Bacillus subtilis and Bacillus cereus. Front. Microbiol. 2016, 7, 1025. [Google Scholar] [CrossRef] [PubMed]
- Caro-Astorga, J.; Pérez-García, A.; de Vicente, A.; Romero, D. A genomic region involved in the formation of adhesin fibers in Bacillus cereus biofilms. Front. Microbiol. 2015, 5, 745. [Google Scholar] [CrossRef]
- Coburn, P.S.; Miller, F.C.; Enty, M.A.; Land, C.; LaGrow, A.L.; Mursalin, M.H.; Callegan, M.C. The Bacillus virulome in endophthalmitis. Microbiology 2021, 167, 001057. [Google Scholar] [CrossRef]
- Dietrich, R.; Jessberger, N.; Ehling-Schulz, M.; Märtlbauer, E.; Granum, P.E. The food poisoning toxins of Bacillus cereus. Toxins 2021, 13, 98. [Google Scholar] [CrossRef]
- Enosi Tuipulotu, D.; Mathur, A.; Ngo, C.; Man, S.M. Bacillus cereus: Epidemiology, virulence factors, and host-pathogen interactions. Trends Microbiol. 2021, 29, 458–471. [Google Scholar] [CrossRef]
- Huillet, E.; Bridoux, L.; Barboza, I.; Lemy, C.; André-Leroux, G.; Lereclus, D. The signaling peptide PapR is required for the activity of the quorum-sensor PlcRa in Bacillus thuringiensis. Microbiology 2020, 166, 398–410. [Google Scholar] [CrossRef]
- Bofinger, M.R.; de Sousa, L.S.; Fontes, J.E.N.; Marsaioli, A.J. Diketopiperazines as cross-communication quorum-sensing signals between Cronobacter sakazakii and Bacillus cereus. ACS Omega 2017, 2, 1003–1008. [Google Scholar] [CrossRef] [PubMed]
- Shafique, S.; Javed, A.; Shafique, S.; Hussain, A.; Rafique, R.; Mubarak, A. Isolation and identification of Pithomyces sacchari as a leaf spot pathogen of Helianthus annuus from Pakistan. Sci. Rep. 2022, 12, 22033. [Google Scholar] [CrossRef]
- Zeng, Y.X.; Liu, J.S.; Wang, Y.J.; Tang, S.; Wang, D.Y.; Deng, S.M.; Jia, A.Q. Actinomycin D: A novel Pseudomonas aeruginosa quorum sensing inhibitor from the endophyte Streptomyces cyaneochromogenes RC1. World J. Microbiol. Biotechnol. 2022, 38, 170. [Google Scholar] [CrossRef] [PubMed]
- Inaba, M.; Matsuda, N.; Banno, H.; Jin, W.; Wachino, J.-i.; Yamada, K.; Kimura, K.; Arakawa, Y. In vitro reduction of antibacterial activity of tigecycline against multidrug-resistant Acinetobacter baumannii with host stress hormone norepinephrine. Int. J. Antimicrob. Agents 2016, 48, 680–689. [Google Scholar] [CrossRef] [PubMed]
- Xu, K.-Z.; Xiang, S.-L.; Wang, Y.-J.; Wang, B.; Jia, A.-Q. Methyl gallate isolated from partridge tea (Mallotus oblongifolius (Miq.) Müll.Arg.) inhibits the biofilms and virulence factors of Burkholderia thailandensis. J. Ethnopharmacol. 2024, 320, 117422. [Google Scholar] [CrossRef]
- Chu, W.; Zhou, S.; Jiang, Y.; Zhu, W.; Zhuang, X.; Fu, J. Effect of traditional Chinese herbal medicine with antiquorum sensing activity on Pseudomonas aeruginosa. Evid.-Based Complement. Altern. Med. 2013, 2013, 648257. [Google Scholar] [CrossRef]
- Zhao, Y.; Chen, C.; Gu, H.-j.; Zhang, J.; Sun, L. Characterization of the genome feature and toxic capacity of a Bacillus wiedmannii isolate from the hydrothermal field in Okinawa Trough. Front. Cell. Infect. Microbiol. 2019, 9, 370. [Google Scholar] [CrossRef]
- Yin, L.; Wang, Y.; Xiang, S.; Xu, K.; Wang, B.; Jia, A.-Q. Tyramine, one quorum sensing inhibitor, reduces pathogenicity and restores tetracycline susceptibility in Burkholderia cenocepacia. Biochem. Pharmacol. 2023, 218, 115906. [Google Scholar] [CrossRef] [PubMed]








| Primer | Sequence (5′-3′) |
|---|---|
| 16S rRNA_F | GGAGGAAGGTGGGGATGAC |
| 16S rRNA_R | ATGGTGTGACGGGCGGTGTG |
| sinR_F | AGCGAGCGCCGATATGATAG |
| sinR_R | TCGAGCGCATTCGTAACCAT |
| tasA_F | ACTCGCCACATGGAAACACA |
| tasA_R | ACGATTTGTTCGTTTTCTTCGT |
| papR_F | TGTACCTCTTGATCACTGTGAGA |
| papR_R | AACGTTAGCAATGGCATGGG |
| cytK_F | CGATGACCCAAGCGCTGATA |
| ctyK_R | GTTGCACTAGCACCAGGGAT |
| rpoN_F | CACTTGAACGAGCTTTCGCC |
| rpoN_R | GGGGCGCGTAATATTCAGGA |
| hblD_F | GGTCCAGATGGGAAAGGTGG |
| hblD_R | AAGTTGTGGGATCGTTGCCT |
| comER_F | CAAGTTGCGGTCCTGCTTTC |
| comER_R | AATTTCCCCATCCCCACGAC |
| codY_F | CCACGACGGCTAACTACGAA |
| codY_R | GCGTTATTACAGAGCGCAGC |
| plcR_F | GGGTGATGCGGGGATTAACA |
| plcR_R | GGCTCACTTCCGATTGGTGA |
| nheA_F | TCTTGCAACAGCCAGACATT |
| nheA_R | CTCTCGCACATTCGCCTTTG |
Disclaimer/Publisher’s Note: The statements, opinions and data contained in all publications are solely those of the individual author(s) and contributor(s) and not of MDPI and/or the editor(s). MDPI and/or the editor(s) disclaim responsibility for any injury to people or property resulting from any ideas, methods, instructions or products referred to in the content. |
© 2024 by the authors. Licensee MDPI, Basel, Switzerland. This article is an open access article distributed under the terms and conditions of the Creative Commons Attribution (CC BY) license (https://creativecommons.org/licenses/by/4.0/).
Share and Cite
Xiang, S.-L.; Xu, K.-Z.; Yin, L.-J.; Jia, A.-Q. An Investigation of Quorum Sensing Inhibitors against Bacillus cereus in The Endophytic Fungus Pithomyces sacchari of the Laurencia sp. Mar. Drugs 2024, 22, 161. https://doi.org/10.3390/md22040161
Xiang S-L, Xu K-Z, Yin L-J, Jia A-Q. An Investigation of Quorum Sensing Inhibitors against Bacillus cereus in The Endophytic Fungus Pithomyces sacchari of the Laurencia sp. Marine Drugs. 2024; 22(4):161. https://doi.org/10.3390/md22040161
Chicago/Turabian StyleXiang, Shi-Liang, Kai-Zhong Xu, Lu-Jun Yin, and Ai-Qun Jia. 2024. "An Investigation of Quorum Sensing Inhibitors against Bacillus cereus in The Endophytic Fungus Pithomyces sacchari of the Laurencia sp." Marine Drugs 22, no. 4: 161. https://doi.org/10.3390/md22040161
APA StyleXiang, S.-L., Xu, K.-Z., Yin, L.-J., & Jia, A.-Q. (2024). An Investigation of Quorum Sensing Inhibitors against Bacillus cereus in The Endophytic Fungus Pithomyces sacchari of the Laurencia sp. Marine Drugs, 22(4), 161. https://doi.org/10.3390/md22040161

