Abstract
Five new diisoprenyl cyclohexene-type meroterpenoids, aspergienynes J–N (1–5), along with three known analogues (6–8), were obtained from the mangrove endophytic fungal strain Aspergillus sp. GXNU-Y85. The chemical structures, including their absolute configurations, were established via spectroscopic data and comparison of experimental and calculated ECD spectra. Cytotoxicity assay results indicated that compound 8 had strong cytotoxicity against HeLa cancer cells, and its IC50 value was 11.8 μM. In addition, flow cytometry analysis revealed that the cytotoxicity of 8 was due to the induction of G1 cell cycle arrest and apoptosis in HeLa cells.
1. Introduction
As prolific microbial resources, marine-derived endophytic fungi can produce many biologically active secondary metabolites, such as sesquiterpenes, alkaloids, and polyketides [1,2]. Previous research reports have examined diisoprenyl cyclohexene-type meroterpenoids, which exhibit various biological activities, including cytotoxic [3,4], anti-inflammatory [5], antimicrobial [6], anti-H1N1 viral [7], and anti-nonalcoholic steatohepatitis [8]. The fascinating structural and biological properties of diisoprenyl cyclohexene-type meroterpenoids make it possible for them to be developed into potential leading compounds for cancers from natural products [3].
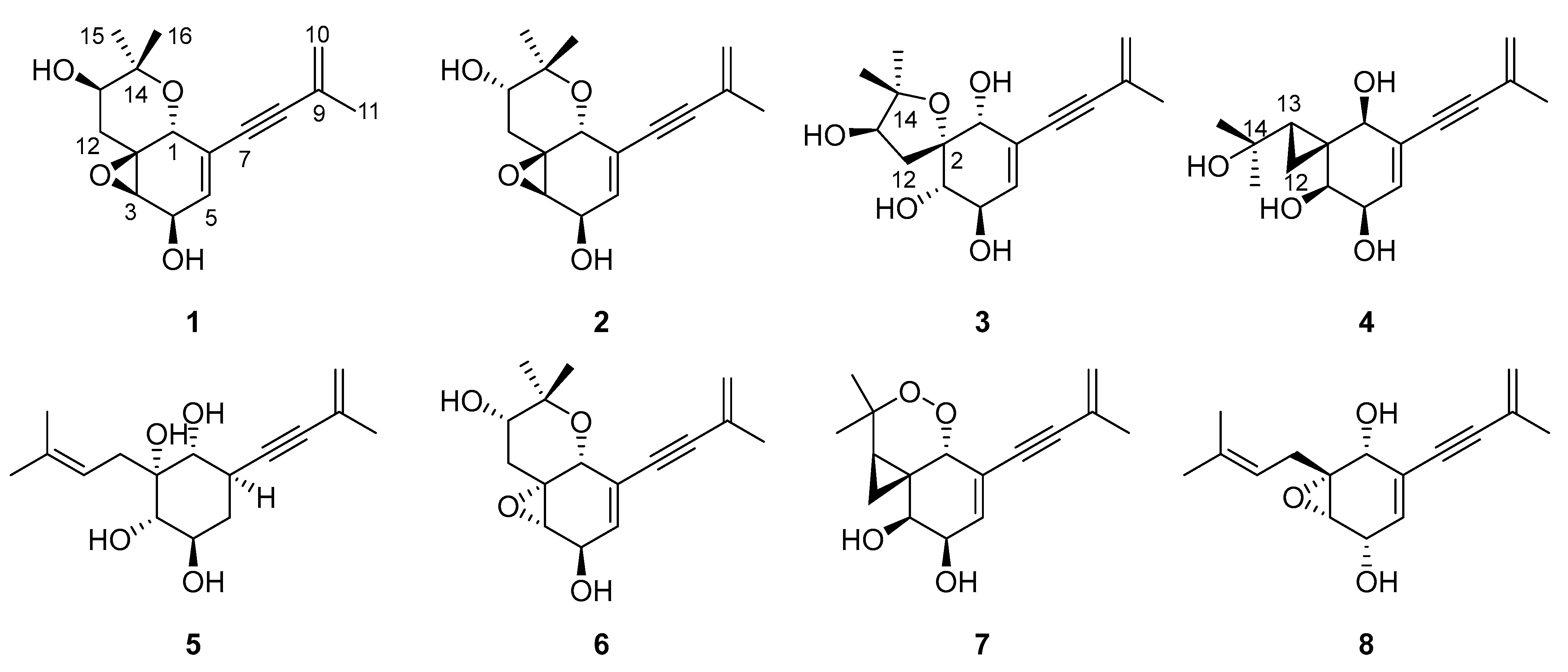
As part of our continuing research to find mangrove endophytic fungi-derived bioactive constituents, the chemical constituents of Aspergillus sp. Y85 were investigated. The chemical investigation of the secondary metabolites of Aspergillus sp. Y85 from the fruit of Kandelia candel, a mangrove plant, resulted in the isolation of five undescribed diisoprenyl cyclohexene-type meroterpenoids, aspergienynes J–N (1–5), together with three previously reported analogues (6–8) (Figure 1). Compounds 1–8 were evaluated for their cytotoxic activity against five human cancer cell lines. Herein, the isolation, structure elucidation, and cytotoxicity of (1–8) are described.
Figure 1.
The chemical structures 1–8.
2. Results and Discussion
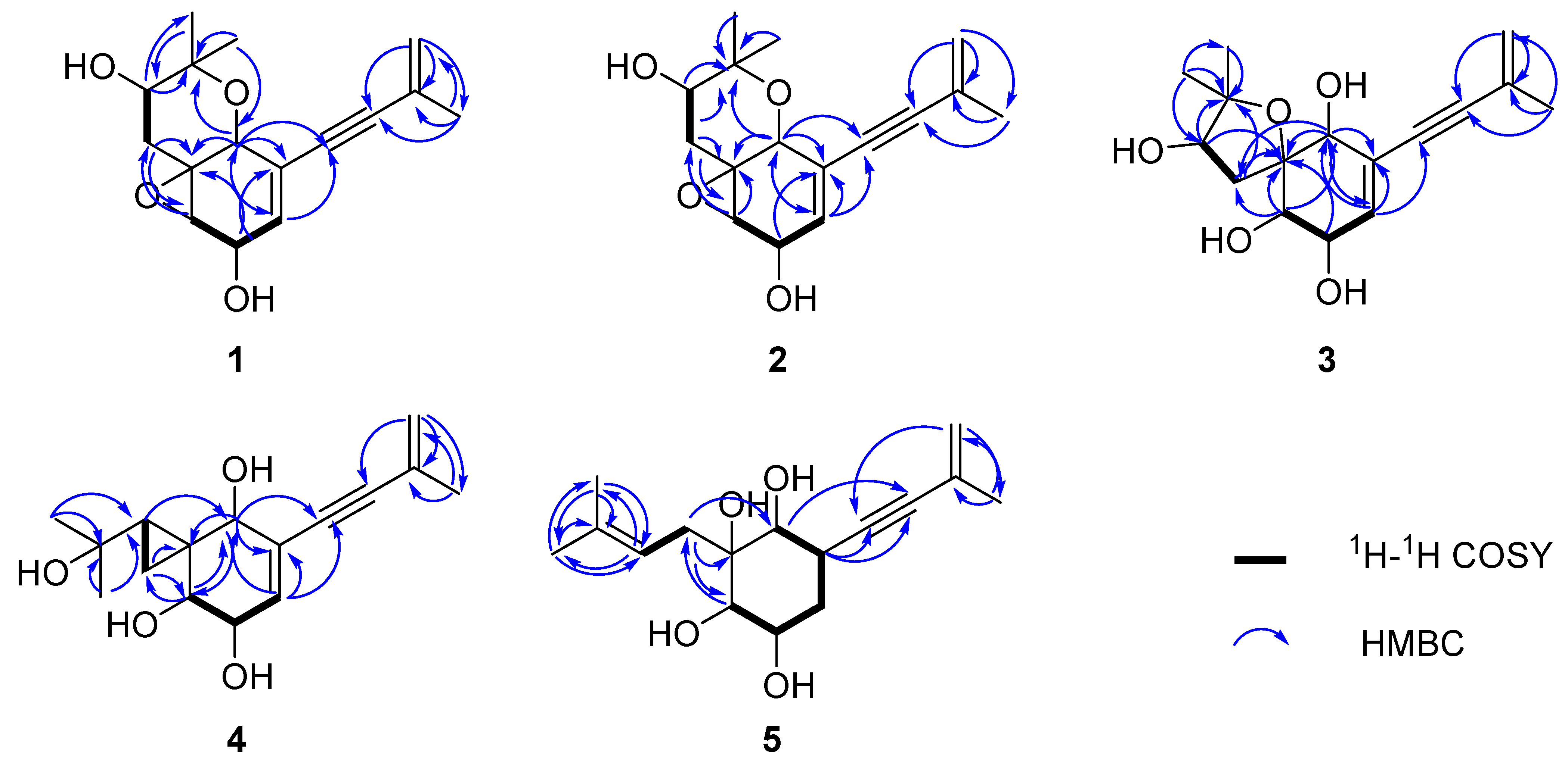
The molecular formula of aspergienyne J (1) was defined as C16H20O4 with (+)-HR-ESI-MS ion at m/z 299.1247 [M + Na]+ (calcd for C16H20O4Na+, 299.1254) and 13C NMR data, suggesting seven degrees of unsaturation. Combination analysis of 1H NMR and HSQC spectra (Table 1) displayed resonances for three olefinic protons [δH 5.93 (1H, dt, J = 5.3, 2.0 Hz) and 5.26 (2H, m)], a methylene [δH 2.27 (1H, dd, J = 13.3, 12.0 Hz) and 1.57 (1H, dd, J = 13.3, 5.0 Hz)], four methines [δH 4.46 (1H, t, J = 2.0 Hz), 4.41 (1H, dt, J = 5.3, 1.8 Hz), 3.70 (1H, dd, J = 12.0, 5.0 Hz) and 3.26 (1H, t, J = 1.8 Hz)], and three methyls [δH 1.89 (3H, m), 1.33 (3H, s) and 1.30 (3H, s)]. The 13C NMR data (Table 2) showed sixteen carbon resonances, including one sp2 methylene carbon (δC 122.3), one sp2 methine carbon (δC 133.2), two sp2 non-protonated carbons (δC 128.3 and 123.3), two non-protonated sp carbons (δC 93.3 and 86.8), two oxygenated quaternary sp3 carbons (δC 78.6 and 61.0), one sp3 methylene carbon (δC 36.3), four oxygenated sp3 methine carbons (δC 73.2, 67.8, 64.7 and 60.1), and three sp3 methyls (δC 28.2, 23.5 and 16.5). Comparison of the NMR data of 1 with those of biscognienyne D (6) [5] revealed the same planar structure; however, some proton chemical shifts and coupling constants were different. Furthermore, the 1H-1H COSY of H-3/H-4 /H-5 and H-12/H-13, as well as the key HMBC signals from H-1 to C-2/C-5/C-6/C-7/C-14, from H-16 to C-1/C-14, were used to further prove the planar structure of 1 (Figure 2). The relative configuration of 1 was established via NOESY experiments. NOESY correlations H-1/H-12a, H-1/H-15, H-12a/H-15, H-13/H-16, and H-3/H-12b (Figure 3), as well as the small JH-3/H-4 value (1.8 Hz), determined the relative configurations as 1R*, 2S*, 3R*, 4R*, and 13R*. Finally, the comparison of the calculated and experimental ECD spectra allowed us to establish the absolute configurations as 1R, 2S, 3R, 4R, and 13R (Figure 4).
Table 1.
1H NMR (400 MHz) of 1–5 in CD3OD.
Table 2.
13C NMR (100 MHz) of 1–5 in CD3OD.
Figure 2.
Key COSY (bold black line) and HMBC (blue line) correlations of compounds 1–5.
Figure 3.
Key NOESY correlations for 1−5.
Figure 4.
Calculated and experimental ECD spectra of 1−5.
Aspergienyne K (2) has the same molecular formula as 1, C16H20O4, as determined via (+)-HR-ESI-MS and 13C NMR data (Table 2). 1H and 13C NMR spectra (Table 1 and Table 2) indicated that compound 2 differs to 1 except for a perturbation in the region around carbon at position 13 suggesting a different configuration of the hydroxyl group. The comparison of calculated and experimental ECD spectra confirmed the 13S absolute configuration (Figure 4).
Aspergienyne L (3) was obtained as a yellowish oil, and the molecular formula was assigned as C16H22O5 via (+)-HR-ESI-MS at m/z 317.1355 [M + Na]+ (calcd for C16H22O5Na+, 317.1359) and 13C NMR data, corresponding to six degrees of unsaturation. The 13C NMR and HSQC data of 3 revealed sixteen carbon resonances (Table 2), including two sp carbons, four olefinic carbons, three methyls, one methylene, four methines, and two quaternary carbons. The NMR spectroscopic data of 3 were similar to that of 1, except that the C-14 was connected to the C-2 through an oxygen atom in 3. The deduction was corroborated by the key HMBC correlations from H-12/H-13 to C-2/C-14, which demonstrated the existence of a C-2-O-C-14 ring (tetrahydrofuran). NOESY correlations (Figure 3) between H-1 and H-3, between H-1 and H-12b, and between H-12b and H-16 indicated that H-1, H-3, 12b, and H-16 were on the same face. The large JH-3/H-4 value (8.1 Hz) and NOESY correlations from H-4 to H-12a/H-13/H-15 suggested the same axial orientation of these protons. Therefore, the relative configuration of 3 was determined as 1R*, 3S*, 4R*, and 13R*. To assign the full relative configuration of 3, the 13C NMR data of two potential isomers (3a and 3d) (Figure S46) were calculated based on the GIAO method, and the (1R, 2R, 3S, 4R, 13R)-configuration of 3 was suggested due to the high DP4+ probability analysis (100%) (Figure S47) and the better correlation coefficient (R2 = 0.9982) between the experimental and calculated 13C NMR chemical shifts (Figure S48). The absolute configurations of C-1, C-2, C-3, C-4, and C-13 in compound 3 were determined as 1R, 2R, 3S, 4R, and 13R via comparison of its calculated and experimental ECD spectra (Figure 4).
Aspergienyne M (4) was obtained as a yellowish oil. The molecule formula C16H22O4 was established via (+)-HR-ESI-MS at m/z 301.1409 [M + Na]+ (calcd 301.1410) and its 13C NMR data (Table 2), corresponding to six degrees of unsaturation. Combination analysis of 1H NMR and HSQC spectra (Table 1) of 4 showed signals for three olefinic protons [δH 6.02 (1H, d, J = 3.2 Hz) and 5.26 (2H, m)], one methylene [δH 0.92 (1H, dd, J = 9.7, 4.8 Hz) and 0.81 (1H, dd, J = 7.5, 4.8 Hz)], four methines [δH 4.13 (1H, m), 4.01 (1H, d, J = 5.2 Hz), 3.73 (1H, s) and 1.21 (1H, m)], and three methyls [δH 1.90 (3H, m), 1.36 (3H, s) and 1.25 (3H, s)]. The 13C NMR and HSQC experiments of 4 exhibited one sp2 methine carbon (δC 136.2), one non-protonated sp2 carbon (δC 127.5), two non-protonated sp carbons (δC 92.0, 88.4), two sp3 non-protonated carbons (δC 70.1, 30.6), four sp3 methine carbons (δC 74.1, 73.1, 72.4, 34.3), one sp3 methylene carbon (δC 7.9), and three sp3 methyl carbons (δC 31.7, 29.7, 23.6). The data of 4 (Table 1 and Table 2) were highly similar to those of monosporasol B (7) [6], except for the absence of a peroxide bridge. This assumption was supported by the oxymethine (δH/δC 3.73/74.1, C-1), and the non-protonated carbons (δC 70.1, C-14) were significantly shifted to the upfield region in 4 compared to 7. Accordingly, the planar structure of 4 was assigned and confirmed via analysis of key HMBC correlations from H-12 to C-2/C-3, from H-13 to C-1, and from H-15/H-16 to C-13/C-14, (Figure 2). In the NOESY experiment, the correlations from H-1 to H-3 and H-1 to H-13, as well as the small value of JH-3/H-4 (5.2 Hz), indicated that H-1, H-3, H-4, and H-13 were on the same face (Figure 3). Therefore, the relative configuration of 4 was established as shown in Figure 3. The absolute configuration 1S, 2R, 3S, 4R, and 12S was deduced via the comparison of calculated and experimental ECD spectra (Figure 4).
The (+)-HR-ESI-MS spectrum of Aspergienyne N (5), isolated as a yellowish oil, showed a pseudo molecular ion peak at m/z 303.1567 [M + Na]+ corresponding to a molecular formula C16H24O4. Comprehensive analysis of the NMR spectral information of biscognienyne D (8) and 5 (Table 1 and Table 2) indicated that they are structural analogues. The comparison of the NMR data of compounds 5 and 8 [4] revealed the lack of D5,6 double bond and the replacement of the oxirane ring in 8 with two hydroxyl group at C-2 and C-3 in compound 5. This speculation was further corroborated via two oxymethines at δC 75.3 (C-2) and 76.3 (C-3), along with the 1H-1H COSY correlations of H-3/H-4/H-5/H-6 and the crucial HMBC signals from H-6 to C-1/C-5/C-7/C-8 (Figure 2). NOESY correlations between H-1/H-3, H-1/H-5b, H-1/H-12 b, and H-3/H-5 b indicated that each is b positioned. The NOESY correlations from H-4 to H-6 suggested that these protons were on the same side. Therefore, the absolute configurations of C-1, C-2, C-3, C-4, and C-6 in compound 5 were defined as 1R, 2R, 3S, 4R, and 6R on the basis of the calculated ECD spectrum (Figure 4).
Three known compounds were identified as biscognienyne D (6) [5], monosporasol B (7) [6], and biscognienyne D (8) [4] via comparison of their spectroscopic data with those reported in the literature.
Cytotoxicity of 1–8 against five human cancer cell lines, including (T24 (bladder transitional cells), HeLa (cervical carcinoma cells), 5-8F (nasopharyngeal carcinoma cells), MCF-7 (breast cancer cells), and A549 (non-small cell lung cancer cells), was evaluated using the MTT assay. Compound 8 showed strong cytotoxicity against HeLa cancer cells with an IC50 value of 11.8 μM, while 3 and 5 showed moderate cytotoxicity against the HeLa cancer cell line, with IC50 values of 34.7 and 28.4 μM, respectively, Compounds 1, 2, 4, 6, and 7 exhibited no noticeable inhibitory activity against all tested cancer cell line, with IC50 > 50 μM. Etoposide was used as the positive control (IC50: 15. 7 μM).
To verify whether the observed growth inhibition was owing to cell cycle arrest, HeLa cells were treated with 8 (5, 10, and 15 μM) for 24 h, and the distribution of cells in the cell cycle was established based on flow cytometric analysis. As shown in Figure 5, treatment of the HeLa cells with 8 led to an observable increase in the population of cells in the G1 phase (from 46.72% to 57.78%), with a gradual decrease in the cell number in the G2 phase (6.60–0.18%). These findings suggest that 8 may be more likely to induce cell cycle arrest in the G1 phase of HeLa cells.
Figure 5.
Effects of 8 on the cell cycle distribution in the HeLa cells. The cell cycle distributions of HeLa cells treated with 8 for 24 h were analyzed with flow cytometry. The graphs show the quantified results. Data are presented as the mean fold changes ± SD of three independent experiments (p < 0.001).
To further determine whether the induction of apoptosis contributed to the cytotoxicity in HeLa cells, flow cytometry was performed to detect apoptosis with Annexin V and propidium iodide (PI) double staining. Following treatment of HeLa cells with different concentrations of 8 for 24 h, the percentages of apoptotic cells increased in a concentration-dependent manner to 17.72% (5 μM), 22.24% (10 μM), and 31.4% (15 μM) compared with 6.68% in the control (Figure 6).
Figure 6.
Effects of 8 on the induction of apoptosis in the HeLa cells. Cells were seeded, treated with 8 for 24 h, collected, and stained with annexin V-FITC/PI to detect the apoptotic cell population using flow cytometry. Data are presented as the mean fold changes ± SD of three independent experiments (p < 0.001).
These results indicated that the cytotoxicity of 8 against HeLa cells resulted from the cell cycle arrest and the induction of apoptosis.
3. Materials and Methods
3.1. General Experimental Procedures
The UV and IR spectra of the new compounds were obtained using a PerkinElmer 650 spectrophotometer (PerkinElmer, Waltham, MA, USA) and a PerkinElmer Spectrum Two FT-IR spectrometer (PerkinElmer). The NMR data were acquired on a Bruker 400 MHz (Bruker, Bremen, Germany). Optical rotations were measured using a JASCO P-2000 a polarimeter (Jasco, Tokyo, Japan). An LC-MS spectrometer (Agilent 6545 Q-TOF, Santa Clara, CA, USA) was used to obtain HR-ESI-MS data. The detailed ECD instrument are described in the Supplementary Materials. The other measuring instruments used for the purification of the isolates and the materials used in the separation procedure were identical to our previous reports [9,10].
3.2. Fungal Material
The fungal strain GXNU-Y85 was obtained from the fresh fruit of the mangrove plant Kandelia candel, in Beihai, and was identified as Aspergillus sp. via the sequence of its internal transcribed spacer region (ITS) and morphology. ITSrDNA of GXNU-Y85 was submitted to GenBank, and the accession number is OR999402.
3.3. Fermentation, Extraction, and Isolation
The fungal strain GXNU-Y85 was cultured in 80 × 1 L conical flasks, the culture medium mainly consisting of 80 g of rice and 80 mL of water, and the water was 0.5% sea salt. After fermentation for 28 days at a constant temperature of 25 °C, the mycelia were collected and extracted with MeOH (3 × 10 L) to obtain crude extract (21.4 kg), which was then extracted with EtOAc three times. The EtOAc extract was applied on a silica gel VLC column, with the petroleum ether (PE)/EtOAc mixture as eluent (50:1, 30:1, 15:1, 10:1, 5:1, 2:1, 1:1, v/v), to provide six fractions (Fr. 1–Fr. 6). Fr. 4 (1.34 g) was applied on a Sephadex LH-20 column and eluted with MeOH to obtain six subfractions (Fr. 4.1 to Fr. 4.6). Compounds 5 (4.8 mg), 2 (4.1 mg), and 4 (4.6 mg) were obtained from Fr. 4.3 (0.21 g) through semipreparative HPLC (55% MeOH/H2O; 7 mL/min). Purification of Fr. 4.5 (0.31 g) through semipreparative HPLC using MeCN-H2O (v/v, 40:60) as eluent (7 mL/min) yielded 1 (3.6 mg), 3 (3.1 mg), 7 (8.1 mg), 8 (6.9 mg), and 6 (5.4 mg).
3.3.1. Aspergienyne J (1)
Yellowish oil; [α] +14.77 (c 2.30, MeOH); IR (film) νmax 3400, 2955, 2934, 2871, 2195, 1669, 1457, 1382, 1370, 1055, 1039, 968, 835 cm−1; UV (CH3OH) λmax (log ε) 258.5 (3.45) nm; 1H (400 MHz) and 13C (100 MHz) NMR data (in CD3OD) (Table 1 and Table 2); HR-ESI-MS m/z [M + Na]+ (calcd for C16H20O4Na+ 299.1254; found 299.1247).
3.3.2. Aspergienyne K (2)
Yellowish oil; [α] +9.01 (c 0.78, MeOH); IR (film) νmax 3426, 2955, 2870, 1712, 1459, 1382, 1370, 1159, 1055, 968, 834, 802 cm−1; UV (CH3OH) λmax (log ε) 259.4 (3.34) nm; 1H (400 MHz) and 13C (100 MHz) NMR data (in CD3OD) (Table 1 and Table 2); HR-ESI-MS m/z [M + Na]+ (calcd for C16H20O4Na+ 299.1254; found 299.1248).
3.3.3. Aspergienyne L (3)
Yellowish oil; [α] −6.45 (c 1.46, MeOH); IR (film) νmax 3427, 2954, 2870, 1655, 1459, 1382, 1370, 1055, 1038, 968, 834 cm−1; UV (CH3OH) λmax (log ε) 258.6 (3.58) nm; 1H (400 MHz) and 13C (100 MHz) NMR data (in CD3OD) ( Table 1 and Table 2); HR-ESI-MS m/z [M + Na]+ (calcd for C16H22O5Na+ 317.1359; found 317.1355).
3.3.4. Aspergienyne M (4)
Yellowish oil; [α] −37.33 (c 2.35 MeOH); IR (film) νmax 3408, 2955, 2933, 2871, 2195, 1668, 1457, 1382, 1371, 1256, 1039, 968 cm−1; UV (CH3OH) λmax (log ε) 258.1 (3.41) nm; 1H (400 MHz) and 13C (100 MHz) NMR data (in CD3OD) (Table 1 and Table 2); HR-ESI-MS m/z [M + Na]+ (calcd for C16H22O4Na+ 301.1410; found 301.1409).
3.3.5. Aspergienyne N (5)
Yellowish oil; [α] −21.69 (c 0.27, MeOH); IR (film) νmax 3417, 2955, 2934, 2871, 2195, 1714, 1669, 1458, 1382, 1370, 1054, 1039, 968, 834 cm−1; UV (CH3OH) λmax (log ε) 259.2 (3.29) nm; 1H (400 MHz) and 13C (100 MHz) NMR data (in CD3OD) (Table 1 and Table 2); HR-ESI-MS m/z [M + Na]+ (calcd for C16H24O4Na+ 303.1567; found 303.1567).
3.4. ECD and NMR Calculations
The ECD and NMR calculations of all the new isolates were performed as previously described [10,11]. The detailed procedure is described in the Supplementary Materials.
3.5. Cell Culture
HeLa, T24, 5-8F, MCF-7, and A549 cells were acquired from China Academy of Sciences and were cultured in DMEM medium or RPMI Medium 1640 (RPMI1640) containing 10% (v/v) fetal bovine serum (FBS) and 1% (v/v) penicillin sodium salt/streptomycin sulfate. All cells were sustained in a humidified atmosphere at 37 °C with 5% CO2.
3.6. Cell Viability Assay
The cytotoxic activity of 1–8 against five cancer cell lines were tested via the MTT method as in previous reports [12]. Etoposide was used as the positive control.
3.7. Cell Cycle Analysis
After treatment with 8 for 24 h, HeLa cells were collected, washed with PBS, and fixed with ice-cold 70% EtOH. Propidium iodide (PI) mixed with RNase was used to stain each set of cells, and flow cytometry analysis was carried out as previously reported [12].
3.8. Apoptosis Analysis
After 24 h of treatment with 8, HeLa cells were collected, washed twice with cold PBS, and resuspended in 1 × binding buffer. Annexin V-FITC and PI were used to stain each set of cells, which were then cultivated for 30 min at room temperature. The apoptosis assay was performed based on flow cytometry as described previously [12].
4. Conclusions
In summary, aspergienynes J–N (1–5), five new diisoprenyl cyclohexene-type meroterpenoids, along with three previously described analogues, were isolated from the mangrove endophytic fungus Aspergillus sp. GXNU-Y85. Their structures, including the absolute configurations of all the new isolates, were unambiguously established through a combination of HR-ESI-MS and NMR spectroscopic data, as well as ECD calculations. The results showed that the isolates 3, 5, and 8 displayed significant cytotoxicity against HeLa cancer cell lines, with IC50 values of 11.8–34.7 μM. Furthermore, compound 8 induced apoptosis in HeLa cells. Additionally, compound 8 inhibited the growth and proliferation of HeLa cells and resulted in G1 phase arrest.
Supplementary Materials
The following supporting information can be downloaded at: https://www.mdpi.com/article/10.3390/md22020058/s1, NMR and HRESIMS spectra of 1–5.
Author Contributions
H.-S.W. and X.-S.H. conceived and designed the experiments. F.Q. and Z.-S.S. performed the experiments. L.L., X.-L.B., F.-R.W., M.-J.T., F.-F.W. and X.-S.H. analyzed the data. F.Q., X.-S.H. and H.-S.W. wrote the paper. All authors have read and agreed to the published version of the manuscript.
Funding
This study was supported by the National Natural Science Foundation of China (42066005, 21977021, 81760626, 22111530012), Guangxi Science and Technology Base Special Talents (2019AC20095), and Natural Science Foundation of Guangxi Province (AB17292075, 2020JJA150036, 2023JJB120027), and the Basic Ability Improvement Project of Young and Middle-Aged Teachers in Guangxi Colleges (Discovery of sesquiterpene metabolites based on OSMAC strategy and study on their antitumor activity), and Guangxi Funds for Distinguished Experts, and the PhD Start-up Fund of Yulin Normal University (G2023ZK08).
Institutional Review Board Statement
Not applicable.
Data Availability Statement
The authors declare that all data of this study are available within the article and its Supplementary Materials file or from the corresponding authors upon request.
Conflicts of Interest
The authors declare no conflicts of interest.
References
- Wang, J.; Yao, L.Y.; Lu, Y.H. Ceriporia lacerata DMC1106, a new endophytic fungus: Isolation, identification, and optimal medium for 2′,4′-dihydroxy-6′-methoxy-3′,5′-dimethylchalcone production. Biotechnol. Bioproc. Eng. 2013, 18, 669–678. [Google Scholar] [CrossRef]
- Carroll, A.; Copp, B.; Davis, R.A.; Keyzers, R.A.; Prinsep, M.R. Marine natural products. Nat. Prod. Rep. 2020, 37, 175–223. [Google Scholar] [CrossRef] [PubMed]
- Zhao, H.; Chen, G.D.; Zou, J.; He, R.R.; Qin, S.Y.; Hu, D.; Li, G.Q.; Guo, L.D.; Yao, X.S.; Gao, H. Dimericbiscognienyne A: A meroterpenoid dimer from Biscogniauxia sp. with new skeleton and its activity. Org. Lett. 2017, 19, 38–41. [Google Scholar] [CrossRef] [PubMed]
- Akone, S.H.; Wang, H.; Misse, M.E.N.; Mándi, A.; Kurtán, T.; Koliye, P.R.; Hartmann, R.; Bhatia, S.; Yang, J.; Müller, W.E.G.; et al. Prenylated cyclohexene-type meroterpenoids and sulfur-containing xanthones produced by Pseudopestalotiopsis theae. Phytochemistry 2022, 197, 113124. [Google Scholar] [CrossRef] [PubMed]
- Zhao, H.; Zou, J.; Xu, W.; Hu, D.; Guo, L.D.; Chen, J.X.; Chen, G.D.; So, K.F.; Yao, X.S.; Gao, H. Diisoprenyl-cyclohexene/ane-type meroterpenoids from Biscogniauxia sp. and their anti-inflammatory activities. J. Org. Chem. 2021, 86, 11177–11188. [Google Scholar] [CrossRef] [PubMed]
- Guo, Z.; Zou, Z.M. Discovery of new secondary metabolites by epigenetic regulation and NMR comparison from the plant endophytic fungus Monosporascus eutypoides. Molecules 2020, 25, 4192. [Google Scholar] [CrossRef] [PubMed]
- Zhao, Y.; Si, L.L.; Liu, D.; Proksch, P.; Zhou, D.; Lin, W.H. Truncateols A–N, new isoprenylated cyclohexanols from the sponge-associated fungus Truncatella angustata with anti-H1N1 virus activities. Tetrahedron 2015, 71, 2708–2718. [Google Scholar] [CrossRef]
- Qin, F.; Luo, L.; Liu, Y.C.; Bo, X.L.; Wu, F.R.; Wang, F.F.; Tan, M.J.; Wei, Y.Q.; Dou, X.B.; Wang, C.Y.; et al. Diisoprenyl-cyclohexene-type meroterpenoids from a mangrove endophytic fungus Aspergillus sp. GXNU-Y65 and their anti-nonalcoholic steatohepatitis activity in AML12 cells. Phytochemistry 2023, 19, 113955. [Google Scholar] [CrossRef] [PubMed]
- Qin, F.; Wang, C.Y.; Kim, D.; Wang, H.S.; Zhu, Y.K.; Lee, S.K.; Yao, G.Y.; Liang, D. Nitidumpeptins A and B, cyclohexapeptides isolated from Zanthoxylum nitidum var. tomentosum: Structural elucidation, total synthesis, and antiproliferative activity in cancer cells. J. Org. Chem. 2021, 86, 1462–1470. [Google Scholar] [CrossRef] [PubMed]
- Qin, F.; Wang, C.Y.; Hu, R.; Wang, C.G.; Wang, F.F.; Zhou, M.M.; Liang, D.; Liao, H.B.; Lee, S.K.; Wang, H.S. Anti-inflammatory activity of isobutylamides from Zanthoxylum nitidum var. tomentosum. Fitoterapia 2020, 142, 104486. [Google Scholar] [CrossRef] [PubMed]
- Qin, F.; Wang, C.Y.; Wang, C.G.; Chen, Y.; Li, J.J.; Li, M.S.; Zhu, Y.K.; Lee, S.K.; Wang, H.S. Undescribed isoquinolines from Zanthoxylum nitidum and their antiproliferative effects against human cancer cell lines. Phytochemistry 2023, 205, 113476. [Google Scholar] [CrossRef] [PubMed]
- Huang, R.Z.; Jin, L.; Wang, C.G.; Xu, X.J.; Du, Y.; Liao, N.; Ji, M.; Liao, Z.X.; Wang, H.S. A pentacyclic triterpene derivative possessing polyhydroxyl ring A suppresses growth of HeLa cells by reactive oxygen species-dependent NF-κB pathway. Eur. J. Pharmacol. 2018, 838, 157–169. [Google Scholar] [CrossRef] [PubMed]
Disclaimer/Publisher’s Note: The statements, opinions and data contained in all publications are solely those of the individual author(s) and contributor(s) and not of MDPI and/or the editor(s). MDPI and/or the editor(s) disclaim responsibility for any injury to people or property resulting from any ideas, methods, instructions or products referred to in the content. |
© 2024 by the authors. Licensee MDPI, Basel, Switzerland. This article is an open access article distributed under the terms and conditions of the Creative Commons Attribution (CC BY) license (https://creativecommons.org/licenses/by/4.0/).