Abstract
Sargassaceae, the most abundant family in Fucales, was recently formed through the merging of the two former families Sargassaceae and Cystoseiraceae. It is widely distributed in the world’s oceans, notably in tropical coastal regions, with the exception of the coasts of Antarctica and South America. Numerous bioactivities have been discovered through investigations of the chemical diversity of the Sargassaceae family. The secondary metabolites with unique structures found in this family have been classified as terpenoids, phlorotannins, and steroids, among others. These compounds have exhibited potent pharmacological activities. This review describes the new discovered compounds from Sargassaceae species and their associated bioactivities, citing 136 references covering from March 1975 to August 2023.
1. Introduction
Seaweeds, a rich renewable resource, are known to produce numerous complex and diverse secondary metabolites with potent bioactivities [1,2,3,4,5,6,7,8,9,10,11,12,13]. Based on their thallus pigmentation, seaweeds are typically classified into three groups: brown algae (Phaeophyta), green algae (Chlorophyta), and red algae (Rhodophyta). Sargassaceae, a polyphyletic family of brown seaweed, is comprised of the two former families Sargassaceae and Cystoseiraceae [14,15]. This family encompasses a variety of genera, including Acrocarpia, Acystis, Anthophycus, Axillariella, Bifurcaria, Carpophyllum, Carpoglossum, Caulocystis, Cladophyllum, Coccophora, Cystoseira, Cystophora, Cystophyllum, Ericaria, Gongolaria, Halidrys, Hormophysa, Landsburǵia, Myagropsis, Myriodesma, Nizamuddinia, Oerstedtia, Platythalia, Sargassum, Stolonophorra, Scaberia, and Turbinaria, as listed in the algae database [16]. Among these, the genera with the most species are Sargassum (977 species) and Cystoseira (288 species), followed by Turbinaria (53 species) and Cystophora (39 species) [16]. Notably, the former two are the most representative genera of this family and have received significant attention, which has resulted in a wealth of publications [4,17,18,19].
Since 1973, studies on Sargassaceae species have experienced rapid growth, leading to the discovery of a multitude of novel compounds with potent bioactivities. Valls and Piovetti summarized 134 new diterpenoids isolated from the former Cystoseiraceae family between 1973 and January 1995 [20], and de Sousa et al. [18] and Gouveira et al. [21] compiled the secondary metabolites isolated from various Cystoseira species from 1995 to 2016. Chen and Liu [22] and Rushdi et al. [23] reviewed the chemical constituents of Sargassum species and their biological activities from 1974 to 2020. Rushdi et al. [24] also provided an overview of secondary metabolites isolated from Turbinaria species between 1972 and 2019. Muñoz et al. [4] summarized the linear diterpenes from Bifurcaria bifurcata, emphasizing biosynthetic pathways, biological activities, chemotaxonomy, and ecology. This review attempts to summarize the literature data on the new compounds from the Sargassaceae family and their biological activities.
2. Chemistry and Biological Activities of the Compounds from the Sargassaceae Family
Sargassaceae is a family of marine macroalgae comprising over 20 genera and more than 1000 species, and some species are shown in Figure 1. While many genera of this family show a limited distribution, the genera Bifurcaria, Cystophora, and Halidrys display a disjunct distribution [14]. When examining the chemical constituents from Sargassacean species, numerous new structures were obtained, which mainly include terpenoids (encompassing meroterpenoids), phloroglucinol derivatives, steroids, and other types.
Figure 1.
Some Sargassacean species.
2.1. Terpenoids
Terpenoids, a class of predominantly secondary metabolites, have been discovered in the Sargassaceae family [25,26]. Specifically, 223 novel terpenoids have been obtained from five different Sargassacean genera, namely Cystoseira, Sargassum, Cystophora, Bifurcaria, and Turbinaria. Based on the number of isoprene units and the biosynthesis pathway, these isolated compounds can be categorized into monoterpenoids, sesquiterpenoids, diterpenoids, triterpenes, and meroterpenes.
2.1.1. Monoterpenoids
Two new loliolide-type monoterpenoids, schiffnerilolide (1) and sargassumone (2) (Figure 2), were isolated from the brown algae C. schiffneri and S. naozhouense, respectively [27,28]. From the biosynthesis aspect, 1 could be derived from isololiolide through oxidation at carbon-carbon double bond [27,29], while 2 may have been formed from loliolide via various reactions, including selective oxidation, specific reduction, and isomerization [28,30].
Figure 2.
Monoterpenoids isolated from Sargassacean species.
2.1.2. Sesquiterpenoids
A new sesquiterpenoid, oxocrinol (3) (Figure 3), was isolated from the Mediterranean alga C. crinita [31]. Interestingly, compound 3 was a novel linear terpenoid alcohol, which could potentially originate from farnesol or other possible precursors, such as monoterpenoid and geranylgeraniol [31].
Figure 3.
Sesquiterpenoids isolated from Sargassacean species.
2.1.3. Diterpenoids
Sixty-four new diterpenoids, 4–67 (Figure 4, Figure 5, Figure 6, Figure 7, Figure 8 and Figure 9), were isolated from various Sargassacean species. According to the carbon skeletons, these newly isolated compounds were classified into norditerpenoids, acyclic diterpenes, hydroazulene diterpenes, and xenicane diterpenoids.
Norditerpenoids
Sixteen new norditerpenoid compounds (Figure 4), including three bisnorditerpenes and 13 farnesylacetone derivatives, were obtained from the Sargassaceae family. Among them, 13 were from Sargassum sp., while one was from Cystophora sp.
Compounds 4–6, three novel bisnorditerpene isomers featuring an unusual α, β-unsaturated ketone skeleton, were isolated from S. hemiphyllum, collected from the Heda coast of the Izu Peninsula, Japan. They appeared to originate from the geranyl geraniol precursor and showed low cytotoxicity against P388 cells [32].
Compounds 7–16, novel farnesylacetone derivatives categorized as norditerpenes [33], were isolated from the brown alga S. micracanthum, harvested at Kominato, Chiba, Japan [33,34]. From a biosynthetic aspect, these compounds could be formed from geranylgeranylquinones and chromenols through selective oxidation.
Compounds 17–19, also classified as farnesylacetone derivatives belonging to norditerpenoid analogs, were obtained from the brown alga C. moniliformis, which was harvested from Port Philip Bay, Australia [35]. Particularly, compounds 18 and 19 were two epimers that were indirectly formed from geranyl acetone [35].
Figure 4.
Norditerpenoids isolated from Sargassacean species.
Figure 4.
Norditerpenoids isolated from Sargassacean species.

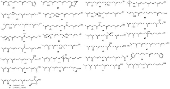
Acyclic Diterpenoids
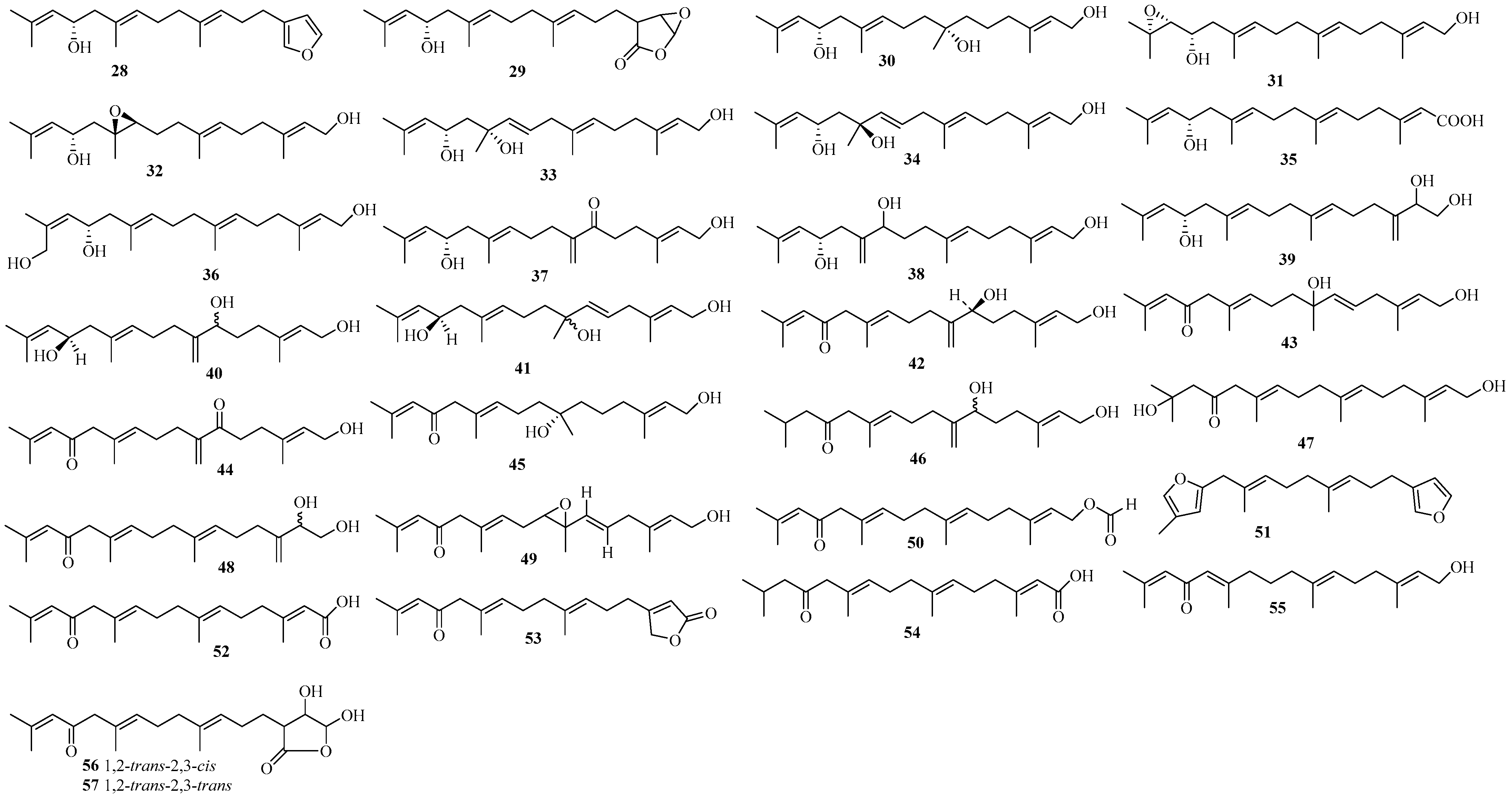
Though acyclic diterpenoids are seldom found in nature, they are abundantly found in the brown alga B. bifurcata [4]. Notably, 43 new linear diterpenoids (20–62) (Figure 5, Figure 6 and Figure 7) were obtained from the brown algae B. bifurcata and C. crinita. Based on their biosynthetic origins, these isolates were categorized into three groups: C-12 oxidized congeners, C-13 oxidized congeners, and non-C-12/C-13 oxidized analogs.
- C-12 Oxidized Congeners
Eight new linear diterpenoids, 20–27 (Figure 5), featuring a hydroxyl group at C-12, were isolated from B. bifurcata collected from the Atlantic coasts of Morocco between 1984 and 2002 [36,37,38,39,40]. These compounds exhibited close chemical relationships. Interestingly, compound 20 could undergo epoxidation at the C-6/C-7 double bond, followed by dehydration to produce allylic alcohols 21 and 23, which could be further converted to 22 via a selective reduction at the C-5/C-6 double bond [4,37,38]. In particular, compound 24 was unstable and could slowly transform into its stable isomer 25 at room temperature [39]. Furthermore, 25 could convert into 27, which could undergo methylation to produce 26 [4,39,40]. Compounds 21 and 22 were tested in vitro for cytotoxicity against the NSCLC-N6 cell line and proved to be active [38].
- C-13 Oxidized Congeners
Fourteen new linear diterpenoids, 28–41 (Figure 6), featuring a hydroxyl group at C-13, were isolated from the brown alga B. bifurcata, sourced from various geographical origins [41,42,43,44,45]. These compounds could be formed from 13-hydroxygeranylgeraniol, namely eleganediol [4]. Notably, compound 28, which possesses a furan-3-yl ring formed from eleganediol via terminal cyclization and oxidation, was isolated from the French brown seaweed B. bifurcata, along with compound 29 [41]. Compounds 30–39 were isolated from the brown seaweed B. bifurcata, collected from an intertidal rock pool in County Clare, Ireland [42,43,44]. Compounds 40 and 41, possibly produced from eleganediol by epoxidation of the C-6/C-7 double bond followed by isomerization to form allylic alcohols, were also obtained from the French brown alga B. bifurcata [45]. Compounds 28, 30, 31, and 35 showed cytotoxic, antiprotozoal, and anticancer activity, respectively [41,42,43,44].
Sixteen new acyclic diterpenes, 42–57 (Figure 6), featuring a ketone function at C-13, were isolated from the brown algae C. crinita [46] and B. bifurcata [44,45,47,48,49,50]. They could originate from eleganolone. Interestingly, some of these isolates appear to have a close chemical relationship. Specifically, compound 44 could undergo selective reduction of its C-6 ketone group, followed by formation of the corresponding allylic alcohol 42, which could then convert into 46 [46]. Compounds 46 and 47 are two isomers obtained from the France brown alga B. bifurcata, together with compound 48 [45]. Compound 52 could transform into 53 via hydroxylation of C-20 and lactonization, or into 54 following reduction of its C-14/C15 double bond [49]. Compounds 56 and 57 are two eleganolone-type stereoisomers featuring a novel dihydroxy-γ-butyrolactone system [50].
- Non C-12/C-13 Oxidized Analogs
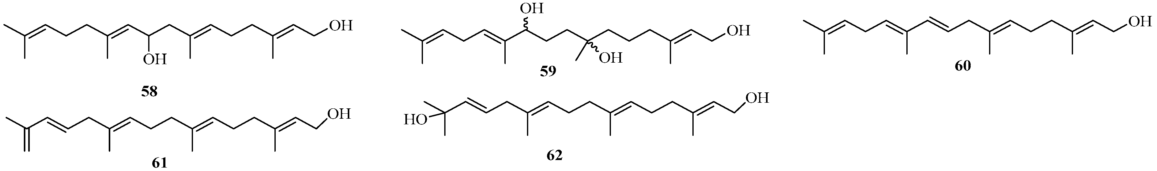
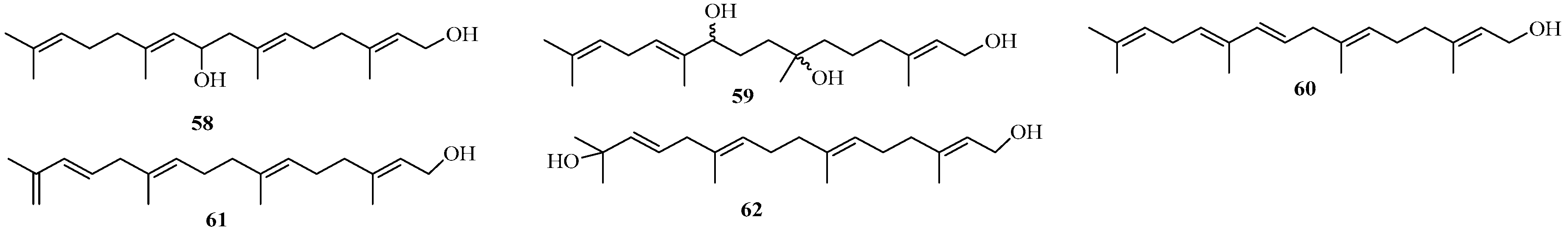
Five new linear diterpenoids, 58–62 (Figure 7), were isolated the brown alga C. crinita [31] and B. bifurcata [38,39,40,51]. They are non-C-12/C-13 oxidized congeners, directly or indirectly derived from geranylgeraniol. Among them, compound 58 was isolated from the brown alga C. crinita, harvested near Catania, Sicily, Italy [31]. Compound 59, characterized by a secondary alcohol group at C-10, was isolated from the brown alga B. bifurcata, harvested near Oualidia, Morocco [38]. Compound 60, possessing two conjugated double bonds at C-9 and C-11, was also obtained from the brown alga B. bifurcata, collected near Oualidia [39]. Compounds 61 and 62 were isolated from the brown alga B. bifurcata, harvested off the Atlantic coast of Morocco [40,51]. Notably, 62 demonstrated potent cytotoxicity to fertilized sea urchin eggs [51].
Figure 5.
C-12 oxidized linear diterpenoids isolated from Sargassacean species.
Figure 5.
C-12 oxidized linear diterpenoids isolated from Sargassacean species.

Figure 6.
C-13 oxidized linear diterpenoids isolated from Sargassacean species.
Figure 6.
C-13 oxidized linear diterpenoids isolated from Sargassacean species.

Figure 7.
Non C-12/C-13 oxidized linear diterpenoids isolated from Sargassacean species.
Figure 7.
Non C-12/C-13 oxidized linear diterpenoids isolated from Sargassacean species.

Hydroazulene Diterpenoids
Four new diterpenoids, 63–66 (Figure 8), featuring a hydroazulene skeleton, were isolated from the brown alga C. myrica, collected at El-Zafrana, Gulf of Suez, Egypt. Their structures were determined by spectroscopic and chemical techniques. The cytotoxicities of these four compounds were tested in vitro against three different mouse cell lines (NIH3T3, SSVNIH3T3, and KA3IT). The results showed moderate cytotoxicity of all isolates against the cancer cell line KA3IT [52].
Figure 8.
Hydroazulene diterpenes isolated from Sargassacean species.
Figure 8.
Hydroazulene diterpenes isolated from Sargassacean species.

Xenicane Diterpenoids
A new xenicane-type diterpenoid, 67 (Figure 9), was isolated from the organic extract of the intertidal brown alga S. ilicifolium, which was harvested from the Gulf of Manner coast, India. This new metabolite, deduced as sargilicixenicane, showed potential anti-inflammatory and antioxidant activities [53].
Figure 9.
Xenicane diterpenes isolated from Sargassacean species.
Figure 9.
Xenicane diterpenes isolated from Sargassacean species.

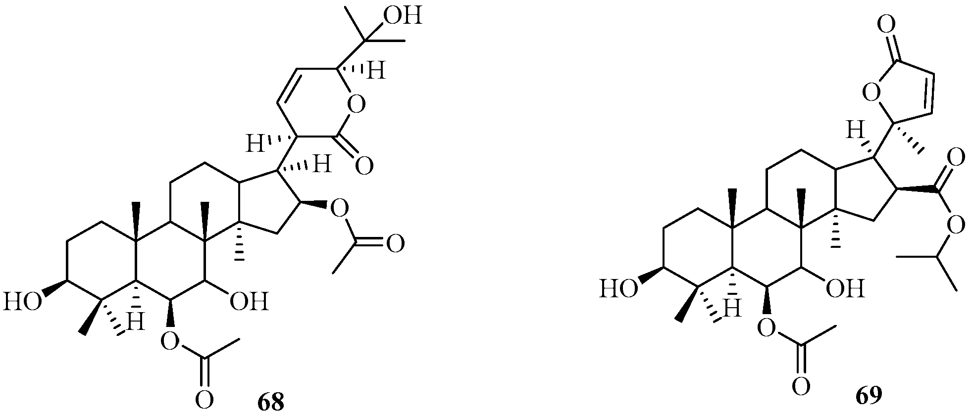
2.1.4. Nor-Dammarane Triterpenoids
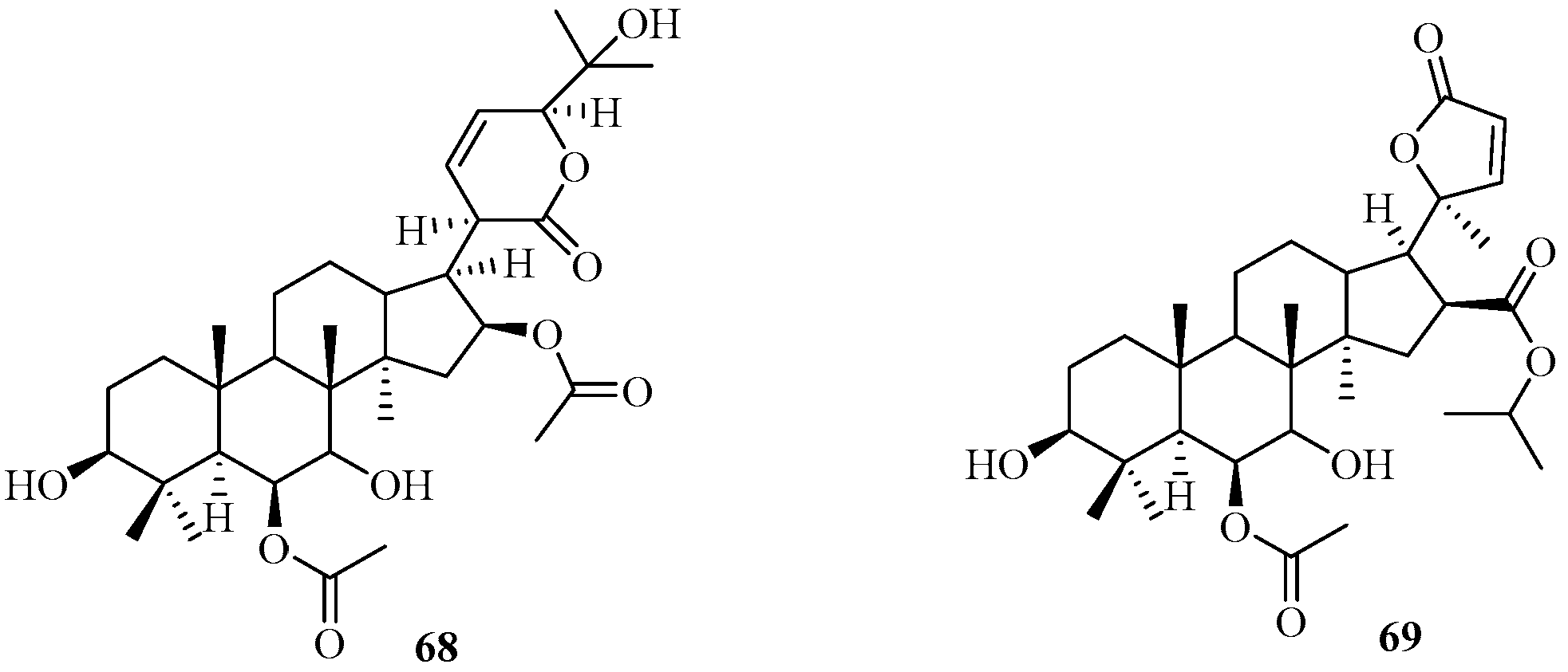
Two new nor-dammarane triterpenes, decurrencylics A-B (68 and 69) (Figure 10), were isolated from the brown alga T. decurrens, which was harvested from the Mandapam region in the Gulf of Mannar, Peninsular India, India. Their structures were determined by extensive spectra analysis. The two compounds showed potent anti-inflammatory activities [54].
Figure 10.
Nor-dammarane triterpenoids isolated from Sargassacean species.
2.1.5. Meroterpenoids
Meroterpenoids represent another major group of terpene metabolites originating from the Sargassaceae family [6,7,18,55,56,57,58,59,60,61,62,63,64,65,66,67,68,69,70,71,72,73,74,75,76,77,78,79,80,81,82,83,84,85,86]. Notably, 154 new meroterpenoids (70–223) (Figure 11, Figure 12 and Figure 13), consisting of an aromatic or substituted aromatic nucleus connected to a terpenoid chain with different degrees of oxidation, were isolated from Sargassaceae species [57,58,59,60,61,62,63,64,65,66,67,68,69,70,71,72,73,74,75,76,77,78,79,80,81,82,83,84,85,86]. According to the structural characteristics, meroterpenoids can be classified into terpenyl-quinones/hydroquinone analogs, chromenes, and nahocols/isonahocols.
Terpenyl-Quinones/Hydroquinone Analogs
Ninety-six novel terpenyl-quinones/hydroquinones (70–165) (Figure 11), which consist of a quinone or hydroquinone nucleus connected to a terpenyl moiety, were isolated from three Sargassacean genera, namely Cystoseira, Sargassum, and Cystophora.
Three novel tetraprenyl-toluquinone derivatives (70–72), seven new tetraprenyltoluquinols congeners (73–79), two new triprenyltoluquinol derivatives (80 and 81), and one new O-methyltoluquinol diterpenoid (82) were isolated from two distinct samples of C. crinita, one collected from the south coast of Sardinia [57] and another from the French Riviera coasts [58]. Compounds 70/71, 73/74, 75/76, 77/78, and 80/81 belong to five pairs of ∆6 stereoisomers and showed antioxidant activities [57]. Particularly, 77 could be formed from 75 via dihydroxylation at C-13′ [57]. Compound 82 could be further converted into 72 and 79 [58].
Four new meronorsesquiterpenoids (83–86) and two new meroditerpenoids (87 and 88) were isolated from the brown alga C. abies-marina [59,60]. Of them, 83/84 and 85/86 represent two pairs of ∆6 diastereomers characterized by a C14 terpenoid side chain, which were possibly formed from the diterpenoid side chain through oxidative degradation [61]. Compounds 87 and 88 contain two methoxyl groups in the aromatic nucleus, which were formed from geranylgeranyltoluquinol via various reaction cascades, such as methylation and/or oxidation [59]. Compounds 83, 84, 87, and 88 were evaluated for their cytotoxic and antioxidant activities in vitro. The results revealed that 83, 84, and 87 showed inhibitory activities against Hela cells, while 88 exhibited moderate antioxidant activity against DPPH radicals [59].
A new meroditerpene, 4′-methoxy-2(E)-bifurcarenone (89), was isolated from the brown alga C. amentacea var. stricta, harvested at Le Brusc, France. This new isolate showed cytotoxic effects against the development of the fertilized eggs of sea urchin Paracentrotus lividus [62].
Two novel meroditerpenoids (90 and 91) were obtained from the brown alga C. baccata collected on the Moroccan Atlantic coast. They share the same trans-fusion bicyclic [4.3.0] nonane ring system, making the first instance of such a system reported from marine Sargassaceae algae [63].
Two new meroditerpenoids, preamentol triacetate (92) and 14-epi-amentol triacetate (93), were isolated from the acetone extract of an unidentified Cystoseira specimen harvested at the Spanish Canary Islands [64]. The two compounds could be formed from geranylgeranyltoluquinol via oxidation and cyclization [65].
A novel tetraprenylhydroquinol, balearone (94), was isolated from the chloroform extract of the brown alga C. balearica, collected at Portopalo, Sicily, Italy. Its chemical structure was deduced by single-crystal X-ray diffraction analysis [66].
Fifteen new tetraprenyl-toluquinol derivatives (95–109) were isolated from the Mediterranean seaweed C. stricta, harvested from three different locations on the Sicilian coasts [67,68,69,70,71,72]. They exhibit structural similarities. Especially, selective methylation of phenolic hydroxyl in 95 could produce the methyl ether 96 [67]. Compounds 99 and 100 are the Z-2-isomers of 103 and 94, respectively [68,70]. The oxidation of 101 with silver oxide could lead to p-benzoquinone 102, which could also undergo reduction to produce 101 [69]. Compound 104, derived from 107 via the removal of its acidic proton at C-11 and subsequent formation of the C-11 to C-7 bond, could be converted into 105 by selective methylation, or into 106 via isomerization [71]. Compounds 108 and 109 present two new irregular tetraprenyltoluquinol epimers [72].
Four unique phloroglucinol-meroterpenoid hybrids, named cystophloroketals A–D (110–113), were isolated from the Mediterranean alga C. tamariscifolia, harvested in the Mediterranean Sea near Tipaza, Algeria. They represent the first example of meroterpenoids with a 2,7-dioxabicyclo [3.2.1] octane unit fused to a phloroglucinol. Their antifouling activities were assessed against several marine species involved in the biofouling process, and the results showed that they were active [73].
Twenty-two new meroterpenoids, namely cystodiones A–M (114–125), cystones A–F (126–131), usneoidones E and Z (132 and 133), and usneoidoles Z and E (134 and 135), were isolated from the brown alga C. usneoides collected from the Moroccan, Spanish, and Portuguese coasts [74,75,76,77]. Of which, 114, 115, and 118–135 consist of a toluquinol core and a diterpenoid chain with various oxygenated functionalities and unsaturation, while 116 and 117 consist of a C14-side chain attached to an O-methyltoluquinol ring [74,75,76,77]. Interestingly, compounds 114/115, 116/117, 118/119, 123/124, 128/129, 130/131, 132/133, and 134/135 form eight pairs of ∆6 stereoisomers. Compounds 114–117 displayed antioxidant activities in the ABTS radical-scavenging assay, along with 120–131 [74,75,76,77]. Compounds 120, 125, and 128 also showed significant inhibitory activities on production of the proinflammatory cytokine TNF-α in LPS-stimulated THP-1 human macrophages [75]. Furthermore, compounds 132–135 exhibited antitumor and antiviral activities [76,77].
A pair of novel tetraprenyltoluquinol isomers, 136 and 137, were isolated from the brown alga C. sauvageuana, collected at Aci Castello, Sicily, Italy. It was determined that 136 could be converted into 137 after photoisomerization [78].
A novel, linearly fused 6,6,5-tricyclic geranyltoluquinone, pycnanthuquinone C (138), was isolated from the acetone extract of the Western Australian marine brown alga Cystophora harveyi. This marks the second report of prenylated quinone with a linear 6,6,5-cyclic skeleton from marine organisms [79].
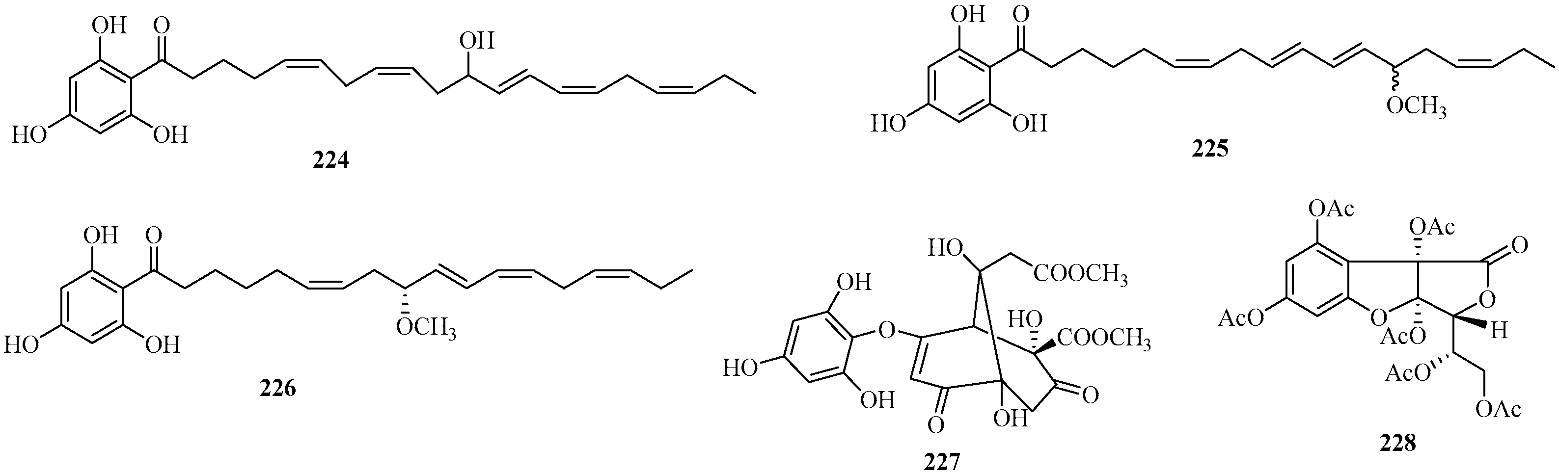
Two new meroditerpenoids, fallahydroquinone (139) and fallaquinone (140), were isolated from the brown alga S. fallax, collected from Port Philip Bay, Victoria, Australia [80]. Compound 140 is likely to be an artifact compound, as it could be produced from 139 by oxidation upon exposure to air. The absolute stereochemistry for 139 and 140 could not be established, owing to their instability and rapid decomposition. The two isolates displayed weak antitumor activities in a P388 assay [80].
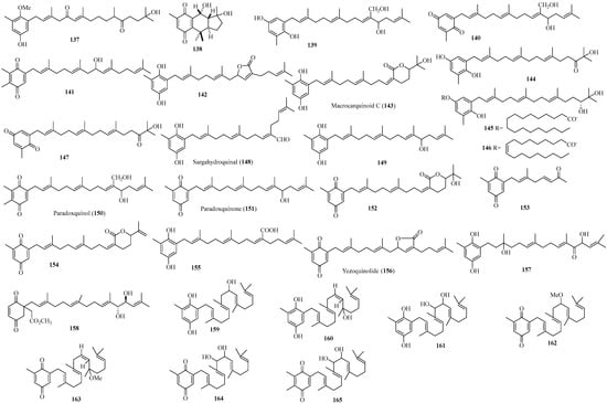
Three new meroterpenoids, macrocarquinoids A–C (141–143), were isolated from the EtOH extract of the brown alga S. macrocarpum, harvested on the coast of Tsukumo Bay, Japan. Compound 142 possesses a γ-lactone ring at C-9′ to C-11′ and C-18′ of the terpenyl chain, while 143 has a δ-lactone ring at C-11′ to C-14′ and C-18′ [81]. All of these compounds showed inhibitory activity against AGE that were either comparable to, or more potent than, activity of aminoguanidine, which was used as a positive control [81].
Four new plastoquinones 144–147 were isolated from the brown alga S. micracanthum, collected from the Toyama Bay coast of Japan. Their structures were determined by spectroscopic analysis and chemical conversions. Compounds 144–146 showed both antioxidant and cytotoxic activities [82].
Four new meroditerpenoids—sargahydroquinal (148), paradoxhydroquinone (149), paradoxquinol (150), and paradoxquinone (151)—were isolated from the brown alga S. paradoxum, collected from Governor Reef near Indented Head, Port Philip Bay, Australia. They consisted of a diterpenoid chain attached to hydroquinone or p-benzoquinone rings. Their structures were determined by spectroscopic techniques. Particularly, 148 was identified by HPLC-NMR and HPLC-MS, coupled with comparison with the known compound due to its instability. Compounds 149–151 showed weak antibacterial activities against Streptococcus pyogenes [83].
Three new sargaquinoic acid derivatives, 15′-hydroxysargaquinolide (152), (2′E,5′E)-2-methyl-6-(7′-oxo-3′-methylocta-2′,5′-dienyl)-1,4-benzoquinone (153), and 15′-methylenesargaquinolide (154), and two new plastoquinone analogs, sargahydroquinoic acid (155) and yezoquinolide (156), were isolated from the brown algae S. sagamianum [84] and S. sagamianum var. yezoense [85]. Noticeably, 153 and 154 are a selectively oxidized analog and a dehydration derivative of 152, respectively [83]. Compound 155 is a hydroquinone derivative of sargaquinoic acid [53], while 156 features an α, β-unsaturated γ-lactone moiety, marking the first example of a plastoquinone with a butenolide unit [85]. Compounds 152 and 153 showed antibacterial activities and cytotoxicities against Hela S3 cells [84].
Two new meroditerpenoids (157 and 158) were isolated from the brown alga S. siliquastrum, collected from Jeju Island, Korea [86]. Compound 157, a derivative of sargahydroquinoic acid, exhibited significant radical-scavenging activity as well as slight inhibitory activity against isocitrate lyase from Candida albicans. The stereochemistry at C-13′ of 157 remained uncertain due to the limited quantity. Compound 158, representing the first reported meroditerpenoid with a modified dihydroquinone unit from marine brown algae, exhibited weak activity against transpeptidase sortase A from Staphylococcus aureus [86]. Interestingly, 158 was presumed to be a biosynthetic precursor of nahocols and isonahocols, based on a 1,3-migration of its methyl acetate group.
Seven new geranylgeranylbenzoquinone derivatives (159–165) were separated from the Japanese marine alga S. tortile harvested at Awa-Kominato, Chiba, Japan. These isolates consist of a hydroquinone or benzoquinone core linked to a diterpenoid moiety. Among them, compounds 159/160 and 162/163 constitute two pair of isomers. Compound 161 could be converted into quinone 164 by selective oxidation [87].


Figure 11.
Terpenyl-quinones/hydroquinones isolated from Sargassacean species.
Figure 11.
Terpenyl-quinones/hydroquinones isolated from Sargassacean species.



Chromenes
Forty-nine new chromene meroterpenods (Figure 12) were isolated from certain species of Sargassaceae. Their structures are similar to that of vitamin E.
A new chromene meroditerpene (166) was isolated from the brown alga C. amentacea var. stricta mentioned above. It is a derivative of 4′-methoxy-2(E)-bifurcarenone originated from the same species [62].
Two novel chromene meroditerpenoid isomers (167 and 168) and their derivatives (169–171), together with two new chromane meroditerpenoid epimers (172 and 173), were isolated from the brown alga C. baccata and S. muticum [63,87,88,89]. Among them, compounds 167–171 share the same trans-fused carbon skeleton, marking the first report of such a structure in the Sargassaceae family [63]. Compounds 172 and 173 also possess the same trans-fused bicyclic system and were found to exhibit photodamage attenuation effects [89,90]. Compounds 168, 169, and 171 showed antifouling activities against the settlement of certain macroalgae, the growth of microalgae, and the activities of mussels [63].
Three new chromane meroditerpenes (174–176) were isolated from the previously mentioned unidentified Cystoseira specimen. Due to their inherent instability, 175 and 176 were only obtained in the acetate form. In particular, 175 represented the first example of meroditerpene containing a newly rearranged structure, featuring a novel ether linkage in the diterpene chain. The structure is likely formed from 176 via an oxidation process of the enol-ether system, followed by rearrangement [64].
A new phloroglucinol-meroditerpenoid hybrid (177), consisting of a chromane meroditerpenoid linked to a phloroglucinol through a 2,7-dioxabicylo [3.2.1] octane unit, was isolated from the brown alga C. tamariscifolia mentioned above. This isolate showed moderate to weak antifouling activities against several marine colonizing species such as bacteria, fungi, micro- and macroalgae [73].
A new chromene meroditerpenoid, fallachromenoic acid (178), featuring a carboxylic group and a chlorine atom, was isolated from the brown alga S. fallax described above. Its absolute configuration could not be assigned due to its instability [80]. Compound 178 showed weak antitumor activity against P388 murine leukemia cells [80].
Two new chromane meroterpenoids (179 and 180) were obtained from the brown alga S. micracanthum, harvested on the Toyama Bay coast, Japan. Their structures were determined by extensive spectroscopic analysis and chemical conversion [91].
Two new chromene meroditerpenoids (181 and 182), characterized by a lactone ring, were isolated from the Japanese alga S. sagamianum mentioned above [84]. Their structures were determined by extensive spectrometric analysis and comparison with published data. Particularly, 181 exhibited antibacterial and weak cytotoxic activities [84].
Twenty-four chromene meroterpenoids (183–206) were isolated from two distinct samples of S. siliquastrum, one collected from the seashore of Pusan [92], and another from Jeju Island (Korea) [93,94,95,96]. Among them, 186–188 and 206 contain a linear triprenyl moiety, while the rest possess a tetraprenyl moiety [93,94]. Notably, 198–201 contained a rearranged tetraprenyl carbon skeleton, while 202 had a cyclized tetraprenyl chain, reported for the first time [94]. Compounds 183–202, 205, and 206 showed antioxidant activities [92,93,94,96], while 193 and 201 were found to display inhibitory activities toward butylcholine esterase [94]. Additionally, 203 and 204 exhibited cytotoxic activities against AGS, HT-29, and HT-1080 cell lines [95].
A novel furanyl-substituted isochromanyl derivative, turbinochromanone (207), was isolated from the ethyl acetate-methanolic extract of the brown seaweed Turbinaria conoides, collected from the coasts of Peninsular India. Compound 207 exhibited potential attenuation properties against 5-lipoxygenase and cyclooxygenase-2-enzyme. Furthermore, its antioxidant properties supported its potential use as an anti-inflammatory agent [97].
Two new tetraprenyltoluquinol isomers, thunbergol A (208) and B (209), were obtained from the brown alga S. thunbergii collected along the Busan coast of Korea. The two compounds showed antioxidant effects against DPPH radical and authentic/induced ONOO− [98].
Four new chromene compounds (210–213), along with a new isoprenoid chromenol (214), were isolated from two distinct samples of S. tortile, one collected from the coast of Tanabe Bay, Japan [99], and the other from Wakasa Bay, Fukui Prefecture, Japan [100,101]. Compounds 210–213 showed cytotoxic activities toward cultured P-388 lymphocytic leukemia cells [99].
Figure 12.
Chromene meroterpenoids isolated from Sargassacean species.
Figure 12.
Chromene meroterpenoids isolated from Sargassacean species.

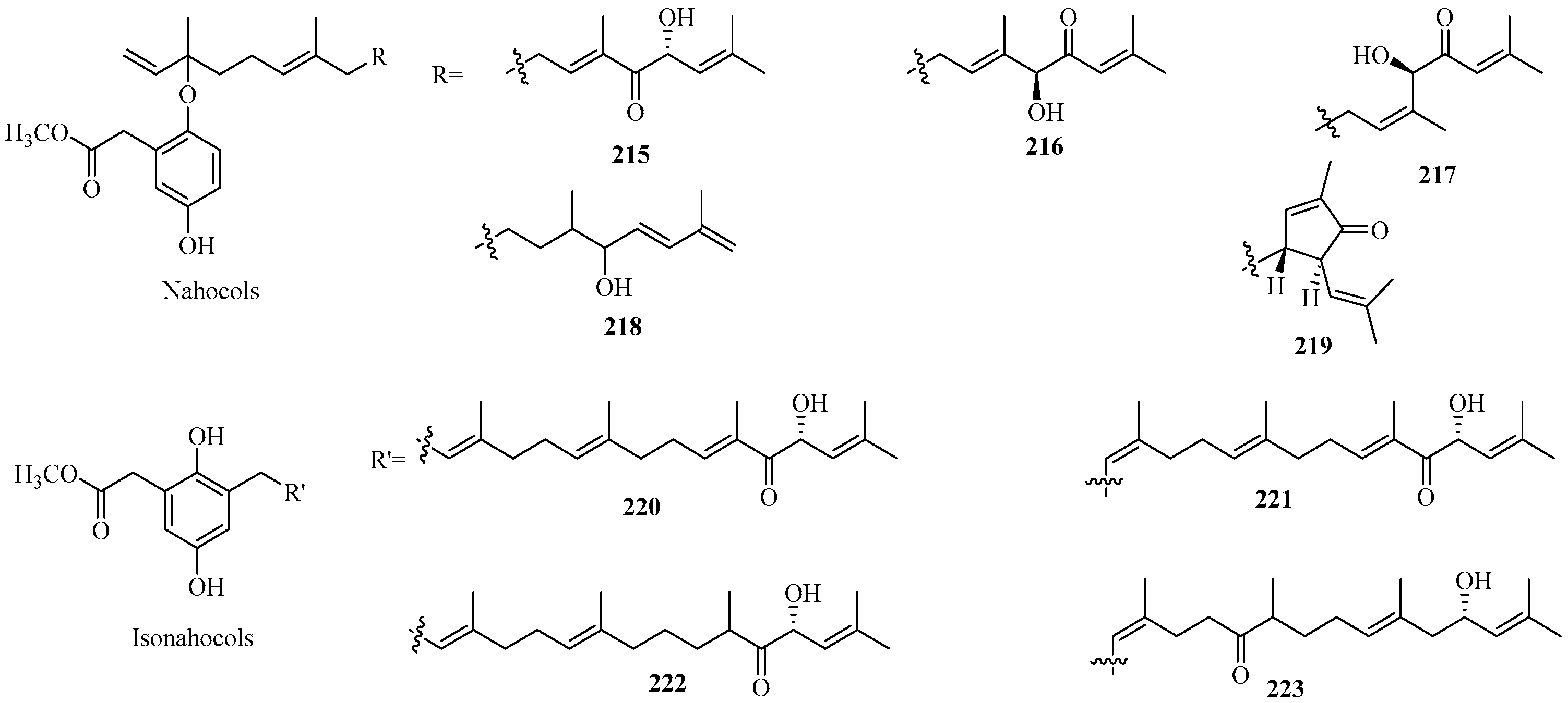
Nahocols/Isonahocols
Five new nahocols (215–219) and four novel isonahocols (220–223) were isolated from the brown alga S. siliquastrum mentioned above [86,102]. Their structures are shown in Figure 13. They share structural similarities to 158 [86]. Especially, 219 contains a cyclopentenone moiety, the characteristic cyclization pattern of which has only been reported for the second time in marine algae. All of them exhibited radical-scavenging activity against DPPH free radicals. Furthermore, isonahocols 220–223 showed a 100-fold increase in radical-scavenging activities compared with nahocols 215–219, indicating the crucial role of the phenolic group in DPPH radical scavenging activity. In addition, 215–219 showed still-weak activities against isocitrate lyase from Candida albicans, while 220–223 exhibited inhibitory effects on transpeptidase sortase A derived from Staphylococcus aureus.
Figure 13.
Nahocol/isonahocol meroterpenoids isolated from Sargassacean species.
Figure 13.
Nahocol/isonahocol meroterpenoids isolated from Sargassacean species.

2.2. Phloroglucinols
To date, numerous phloroglucinol derivatives have been identified in brown seaweed species [103,104]. Notably, some new phloroglucinols were obtained from Sargassaceae species [105,106,107,108,109,110,111,112,113,114,115,116]. Based on the number of phloroglucinol units, phloroglucinols may be conveniently classified into monomeric phloroglucinols and phlorotannins.
2.2.1. Monomeric Phloroglucinols
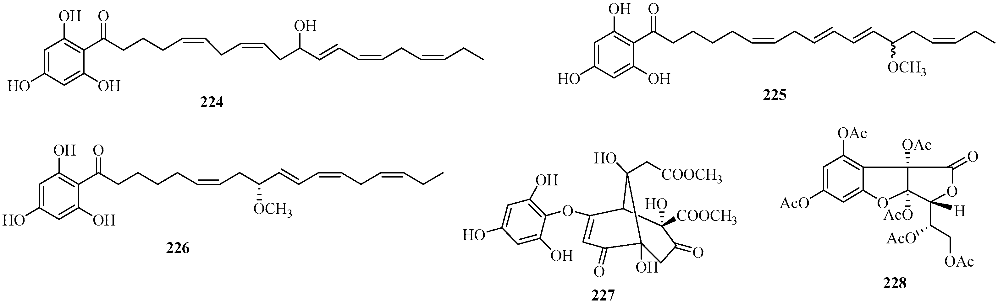
Five new monomeric phloroglucinols, 224–228 (Figure 14), were isolated from the brown algae S. nigrifoloides, S. micracanthum, and S. spinuligerum [105,106,107]. Among them, compounds 224–226 are classified as acyphloroglycinols, and they were isolated from the brown alga S. nigrifoloides collected at Nanji Island of Zhejiang, China [105]. These three compounds exhibited inhibitory activities against CDK5 and GSK3β [105].
Compound 227, consisting of a hydroxyphloroglucinol unit and a sargassumketone moiety, was obtained from the brown alga S. micracanthum, collected at Wando County, Korea. It showed radical-scavenging activity against ABTS+ radicals [106].
Compound 228, containing a phloroglucinol unit and an ascorbic acid moiety, was isolated from the ethanolic extract of the brown alga S. spinuligerum as a novel phloroglucinol derivate. Its stereochemistry was determined through NOE experiments and molecular modeling [107].
Figure 14.
Monomeric phloroglucinols isolated from Sargassacean species.
Figure 14.
Monomeric phloroglucinols isolated from Sargassacean species.

2.2.2. Phlorotannins
Phlorotannins, a major class in the unique phloroglucinol-based polyphenols, were predominantly found in the Sargassaceae family [103,104]. These compounds were mainly isolated as their acetates due to their instability. Over recent decades, a great number of phlorotannins have been isolated from various Sargassacean species [108,109,110,111,112,113,114,115,116]. According to the types of linkages between the phloroglucinol units, phlorotannins have been systematically categorized into groups such as fucophlorethols, hydroxyphlorethols, carmalols, phlorethofuhalols, and fuhalols, among others.
Fucophlorethols
Twenty-three new phloroglucinol derivatives (229–251) (Figure 15), belonging to the class of fucophlorethols with three to fourteen rings, were isolated from three distinct Sargassaceae species, namely Carpophyllum maschalocarpum, S. spinuligerum, and Cystophora torulosa. Among these, 229–234 were obtained from the brown alga C. maschalocarpum collected at Torbay, north of Auckland, New Zealand [108]. Interestingly, 234 is the largest fucophlorethol, characterized by 14 phloroglucinol units. Due to the presence of extra hydroxyl groups, 229, 231, and 233 were also categorized as hydroxyfucophlorethols.
Compounds 235–239 were isolated from the brown alga S. spinuligerum, collected from Wangaparoa Island, district Auckland, New Zealand [109]. Notably, 238 and 239 were once again obtained from the brown alga C. torulosa, collected at Whangaparoa, New Zealand [109]. Interestingly, 239 was found as a chlorine-containing fucophlorethol.
Compounds 240–251 were obtained from the brown algae C. torulosa and S. spinuligerum harvested at Whangaparoa, New Zealand [109,110]. Among them, 240–242 and 245–251 contain additional hydroxy groups, leading to their classification as hydroxyfucophlorethols as well [110,111]. Compounds 243 and 244, however, are bis-fucophlorethols that lack a 1,2,3-triphenoxy-5-acetoxybenzene unit [110].
Hydroxyphlorethols
Five new phloroglucinol derivatives belonging to the class of hydroxyphlorethols, 252–256 (Figure 16), were isolated from two Carpophyllum species, namely C. maschalocarpum and C. angustifolium [112,113]. Specifically, 252 and 253, which contain an additional hydroxyl group, were isolated from the brown alga C. maschalocarpum collected at Torbay, north of Auckland [112].
Compounds 254–256 feature three additional hydroxyl groups as well as two 1,2-diphoxylated 3,4,5-triacetoxybenzene rings linked by an ether bond, leading to their designation as trihydroxyphlorethols. All of them were isolated from the brown alga C. angustifolium harvested at Panetiki Island, Cape Rodney [113].
Carmalols
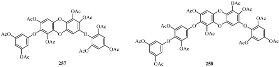
Two new phloroglucinol derivatives belonging to the class of carmalols (257 and 258) (Figure 17) were isolated from the brown alga C. maschalocarpum mentioned above [112,114]. Compound 257 contains two phloroglucinol units and an additional hydroxyl group, and it was named diphlorethohydroxycarmalol nonaacetate. Meanwhile, 258, which possesses three phloroglucinol units and one additional hydroxyl group, was designated as triphlorethohydroxycarmalol undecaacetate [114].
Phlorethofuhalols
Three new phloroglucinol derivatives (259–261) (Figure 18), which are part of the phlorethofuhalol class containing an increased number of 1,4-diphenoxylated 3,5-diacetoxy-benzene rings compared with their corresponding fuhalol counterparts, were isolated from the brown alga C. maschalocarpum. Among them, 259 and 260 were two isomers composed of six phloroglucinol units linked by ether bonds, whereas 261 consisted of seven phloroglucinol elements linked by ether bonds and contained one additional 1,4-diphenoxylated 3,5-diacetoxybenzene moiety [114].
Fuhalols and Others
A new phloroglucinol derivative belonging to the class of fuhalols, 262 (Figure 19), together with two new phlorotannins with a chlorine atom (263 and 264), were isolated from the brown alga C. angustifolium, collected at Panetike Island/Cape Rodney/New Zealand [115]. Among them, 262 consists of eight phloroglucinol units linked by ether bonds and contains additional hydroxyl groups. Compound 263 is a chlorinated bifuhalol derivative, whereas 264 is a chlorinated difucol derivative.
In addition, a new phloroglucinol derivative, DDBT (265) (Figure 19), was isolated from the brown alga S. patens, harvested from the coast of the Noto Peninsula, Japan. This compound showed inhibitory effects against α-amylase and α-glucosidase [116].

Figure 15.
Phloroglucinol derivatives belonging to the class of fucophlorethols.
Figure 15.
Phloroglucinol derivatives belonging to the class of fucophlorethols.


Figure 16.
Phloroglucinol derivatives belonging to the class of hydroxyphlorethols.
Figure 16.
Phloroglucinol derivatives belonging to the class of hydroxyphlorethols.

Figure 17.
Phloroglucinol derivatives belonging to the class of carmalols.
Figure 17.
Phloroglucinol derivatives belonging to the class of carmalols.

Figure 18.
Phloroglucinol derivatives belonging to the class of phlorethofuhalols.
Figure 18.
Phloroglucinol derivatives belonging to the class of phlorethofuhalols.

Figure 19.
Phloroglucinol derivatives belonging to the class of fuhalols and others.
Figure 19.
Phloroglucinol derivatives belonging to the class of fuhalols and others.

2.3. Steroids
Steroids are another class of unique metabolites discovered in the Sargassaceae family. Seventeen new sterols (266–282) (Figure 20) were isolated from various species of Sargassaceae [117,118,119,120,121,122,123,124,125]. Interestingly, they are C23-, C27-, and C29- steroids, characterized by keto and hydroxy groups. Among these steroids, one was obtained from Cystoseira sp., eight from Sargassum sp., and eight from Turbinaria sp.
Compound 266, a C27-brassinosteroid with two keto groups and a hydroxy group, was isolated from the brown alga C. myrica, harvested from the region of Fayed, Egypt. It represented the first report of brassinosteroid analogs derived from seaweed. Compound 266 showed cytotoxic effects against HEPG-2 and HCT116 cell lines [117].
Compound 267, a C29-steroid with an α, β-unsaturated carbonyl group and a tertiary hydroxyl group, was isolated from the brown alga S. asperifolium, collected at Hurghada, Egypt. From a biosynthetic perspective, 267 could potentially be derived from saringosterol via an oxidation process involving 3β-OH, followed by the formation of an α, β-unsaturated ketone [118].
Compounds 268 and 269, two polyoxygenated steroids, were isolated from the brown alga S. carpophyllum, harvested from the coasts of the South China Sea in Beihai, China. Specifically, 268 is a C29-polyoxygenated steroid, while 269 is a C27-dinorsteroid, representing only the second example of ring A-dinorsteroid analogs found in natural organisms. Both compounds could induce morphological abnormalities of Pyricularia oryzae mycelia. In addition, 268 exhibited cytotoxic activity against HL-60 cell lines [119].
Compounds 270 and 271 are two cholestane-type sterols, each featuring an α, β-unsaturated ketone moiety. Among them, 270 is a C27-steroid, while 271 is a C29-steroid. Both were isolated from the brown alga S. fusiforme, harvested from Anhui Bozhou Xiancheng Pharmaceutical Limited Company of China. Their absolute configurations were determined by comparing the calculated and experimental ECD spectra [120].
Compound 272, a stigmastane-type sterol characterized by three double bonds and one hydroxyl group, was isolated from the brown alga S. polycystcum, collected from the North China Sea, China [121].
Compound 273, a tri-unsaturated C29-sterol with a 3β-hydroxy-Δ5-steroid skeleton and a vinyloxy group, was isolated from the brown alga S. thumbergii, harvested at Muroran, Japan. Its structure was determined by combining NMR spectroscopy and chemical conversion [122].
Compound 274, a C29-sterol with a 3-hydroxy-2,5-dien-4-carbonyl fragment, was isolated from the brown alga S. thunbergii, harvested along the coasts of Nanji Island in the East China Sea of China. It was the first sterol example discovered to contain a 3-hydroxy-2,5-dien-4-carbonyl moiety. Compound 274 showed significant inhibitory activity against PTP1B with an IC50 of 2.24 μg/mL [123].
Compounds 275–282, which are oxygenated steroids, were isolated from two separate samples of Turbinaria conoides, one collected at Salin Munthal (India) [124] and another at the coast of Kenting (Taiwan). Notably, 276 is identified as a cardenolide-type C23 steroid with an aromatic ring, while the remaining compounds are either stigmasterol or fucosterol derivatives, comprised of 29 carbons. Compounds 275 and 276 showed antimicrobial activities [124], whereas 279–282 exhibited cytotoxic effects against cancer cell lines P-388, KB, A-549, and HT-29 [125].
Figure 20.
Steroids isolated from the family Sargassaceae.
Figure 20.
Steroids isolated from the family Sargassaceae.

2.4. Others
Apart from producing an abundance of unique terpenoids, phloroglucinols, and steroids, Sargassaceae species also generate a variety of other metabolites, including macrocyclic lactones, pyran derivatives, furanones, spiroketals, glycerol derivatives, phenol derivatives, amide derivatives, and lipids (Figure 21).
Three new macrolide compounds, conoidecyclics A–C (283–285), along with three novel 2H-pyranoids (286–288), were isolated from the brown alga T. conoides, harvested from the Gulf of Mannar, India [126,127]. These isolates showed anti-inflammatory and radical scavenging activities. Specifically, compounds 283–285 also exhibited antihypertensive and antidiabetic activities [126].
Three new terpenic cyclooctafuranones, turbinafuranones A–C (289–291), together with three novel 6,6-spiroketals, spirornatas A–C (292–294), were isolated from the marine alga T. orata, collected from the Gulf of Manner of India [128,129]. The six compounds showed scavenging activities against DPPH and ABTS radicals. Notably, 289–291 also exhibited in vitro antidiabetic properties [128], while 292–294 showed antihypertensive activities [129].
Five new glycerol derivatives, identified as 295–299, were isolated from three different Sargassum species [130,131,132]. Among them, 295 and 296 were identified from S. parvivesiculosum in Sanya, China, 297 was obtained from S. sagamianum on Jeju Island, Korea [131], and 298 and 299 were derived from S. thunbergii in the West Sea, Korea [132]. Particularly, 296 and 297 were determined to be monoglycerides, whereas 298 and 299 were glycolipids. Compound 297 exhibited inhibitory activities against COX-2 and sPLA2-IIA [131].
Two novel resorcinols, 1-(5-acetyl-2,4-dihydroxyphenyl)-3-methylbutan-1-one (300) and 1-(5-acetyl-2-hydroxy-4-methoxyphenyl)-3-methylbutan-1-one (301), were isolated from the brown alga S. thunbergii, supplied by the Guanghua Algae Company in Weihai, Shandong, China. Their structures were determined by extensive spectrometric analysis [133].
Two new aryl cresol isomers (302 and 303) were isolated from the brown alga S. cinereum, harvested along the coasts of the Red Sea in Hurghada, Egypt. Interestingly, the two isolates showed antiproliferative activities against certain cancer cell lines and inhibitory effects against 5-LOX and 15-LOX, the enzymes that have a vital effect on the viability of tumor cells [134].
A novel ketone hybrid of mix biogenesis (304), consisting of a four-carbon chain attached to a hydroquinol ring, was isolated from the aforementioned brown alga C. abies [60]. Its structure was determined by spectroscopic analysis, including NMR, MS, and UV.
A new amide derivative, sargassulfamide A (305), was obtained from the brown alga S. naozhouense, harvested from the Leizhou Peninsula, China. Its structure was established by spectrometric analysis and single-crystal X-ray diffraction [135].
Two new unsaturated lipids, (10Z,13Z)-hexadeca-10,13-dienal (306) and Ethyl-(10Z,13Z)-hexadeca-10,13-dienoate (307), were isolated from the brown alga C. barbata, harvested from Salses, France. Compound 306 showed anticancer effects against P388 cells in mice at 40 mg/kg [136].
Figure 21.
Other types of compounds isolated from Sargassacean species.
Figure 21.
Other types of compounds isolated from Sargassacean species.

3. Conclusions
The merging of the former Cystoseiraceae and Sargassaceae families has resulted in Sargassaceae becoming the largest family in Fucale. To date, more than 60 species of Sargassaceae have been chemically studied, leading to the identification of more than 400 metabolites. Based the available literature, this review summarizes a total of 307 new compounds obtained from 44 Sargassaceae species spanning six genera, and newly discovered compounds derived from the 44 species collected from diverse locations along the Tunisian, Chinese, Italian, Japanese, Australian, Moroccan, Irish Atlantic, Spanish, French, Indian, Egyptian, Portuguese, Algerian, Korean, and New Zealand coasts (Table 1). These include 223 terpenoids, 42 phloroglucinols, 17 steroids, and 25 other types of compounds.
Table 1.
Chemical compounds studied in the Sargassaceae species in this review.
The majority of the secondary metabolites are meroterpenoids, diterpenoids, and phloroglucinols (Figure 22). Sargassum and Cystoseira are the most studied genera, reported by 42 and 27 articles, respectively, and are rich in meroterpenoids (Figure 23). Bifurcaria, investigated in 15 articles, is rich in linear diterpenoids, followed by Turbinaria, Cystophora, and Carpophyllum, which were discussed by eight, five, and five articles, respectively. Notably, the most productive species were B. bifurcata and S. siliquastrum, which have yielded 39 and 35 new compounds, respectively. They were followed by C. usneoides, C. crinita and S. micracanthum, which produced 22, 18, and 17 new compounds, respectively (Table 1).
Figure 22.
Distribution of compounds from Sargassacean species.
Figure 23.
Numbers of compounds and publications from Sargassacean genus.
Notably, from a chemical viewpoint, B. bifurcata is clearly distinguishable from other Sargassaceae species due to its extensive production of linear diterpenes. In contrast, the remaining species, with the exception of C. crinita, do not produce acyclic diterpenoids. Interestingly, the linear diterpenes yielded by B. bifurcata belong to mono-, dio-, and trioxygenated geranylgeraniol derivatives with the oxygenated function located at C-12, C-13, or C-10, depending on the specific sampling locations.
Remarkably, a total of 134 compounds (Table 2), including 85 meroterpenoids, 16 diterpenoids, 2 triterpenoids, 5 phloroglucinols, 10 steroids, 3 macrolides, 3 pyran derivatives, 3 furanones, 3 spiroketals, 3 phenols, and one glycerol derivative, showed various biological activities, such as cytotoxic, antiprotozoal, antioxidant, antifouling, antiviral, antiglycation, antimicrobial, anti-Alzheimer’s disease, antidiabetic, antihypertensive, and antiphotoaging effects. Among them, 34 showed cytotoxicities against multiple cancer cell lines, including P388, A-549, L-1210, KB, HT-29, NSCLC-N6, MDA-MB-231, KA3IT, Colon26-L5, AGS, HT-1080, HEPG-2, HCT116, MCF-7, Caco-2, and HL-60. Structure-activity relationships indicated that the configuration of the double bond and positions/quantities/oxidation of hydroxyl groups played key roles in their cytotoxic activities. Additionally, 74 of them demonstrated potent radical-scavenging effects in the DPPH and ABTS assay, while 22 of them showed superior attenuation potential against cyclooxygenase-1/2 and 5-lipoxygenase, and TNF-α.
Table 2.
Bioactive compounds reported from Sargassaceae species in this review.
Therefore, Sargassacean algae are an important source of bioactive secondary metabolites. Given the great number of species of this family that remain chemically and pharmacologically underexplored, it is thus worthy to further investigate novel lead compounds from Sargassacean algae.
Author Contributions
Y.P. collected the references and wrote the review. X.Y. and R.H. completed the word processing and graphics. B.R., B.C. and Y.L. analyzed data from the references. H.Z. conceived of and greatly revised the manuscript. All authors have read and agreed to the published version of the manuscript.
Funding
This project was financially supported by grants from the Overseas Scholarship Program for Elite Young and Middle-aged Teachers of Lingnan Normal University (No. 20151170129), Zhanjiang City-Science and Technology Program (No. 2016A03025), and Natural Science Foundation of Lingnan Normal University (No. KYB2114).
Institutional Review Board Statement
Not applicable.
Data Availability Statement
The data presented in this study are available.
Acknowledgments
We thank the people who helped with this work and Enyi Xie of Fisheries College, Guangdong Ocean University.
Conflicts of Interest
The authors declare no conflicts of interest.
References
- Kumari, P.; Kumar, M.; Gupta, V.; Reddy, C.R.K.; Jha, B. Tropical marine macroalgae as potential sources of nutritionally important PUFAs. Food Chem. 2010, 120, 749–757. [Google Scholar] [CrossRef]
- Anis, M.; Ahmed, S.; Hasan, M.M. Algae as nutrition, medicine and cosmetic: The forgotten history, present status and future trends. World J. Pharm. Sci. 2017, 6, 1934–1959. [Google Scholar]
- Yende, S.R.; Harle, U.N.; Chaugule, B.B. Therapeutic potential and health benefits of Sargassum species. Phcog. Rev. 2014, 8, 1–7. [Google Scholar] [CrossRef] [PubMed]
- Muñoz, J.; Culioli, G.; Köck, M. Linear Diterpenes from the Marine Brown Alga Bifurcaria bifurcata: A chemical perspective. Phytochem. Rev. 2013, 12, 407–424. [Google Scholar] [CrossRef]
- Remya, R.R.; Samrot, A.V.; Kumar, S.S.; Mohanavel, V.; Karthick, A.; Chinnaiyan, V.K.; Umapathy, D.; Muhibbullah, M. Bioactive potential of brown algae. Adsorpt. Sci. Technol. 2022, 2022, 1–13. [Google Scholar] [CrossRef]
- Arrieche, D.; Carrasco, H.; Olea, A.F.; Espinoza, L.; San-Martín, A. Secondary metabolites isolated from Chilean Marine Algae: A Review. Mar. Drugs 2022, 20, 337. [Google Scholar] [CrossRef] [PubMed]
- Máximo, P.; Ferreira, L.M.; Branco, P.; Lima, P.; Lourenço, A. Secondary metabolites and biological activity of invasive macroalgae of Southern Europe. Mar. Drugs 2018, 16, 265. [Google Scholar] [CrossRef] [PubMed]
- Peng, Y.; Hu, J.; Yang, B.; Lin, X.P.; Zhou, X.F.; Yang, X.W.; Liu, Y.H. Chemical Composition of Seaweed. In Seaweed Sustainability: Food and Non-Food Applications, 1st ed.; Tiwari, B.K., Troy, D.J., Eds.; Academic Press: Amsterdam, The Netherlands, 2015; pp. 79–124. [Google Scholar]
- Balboa, E.M.; Conde, E.; Moure, A.; Falqué, E.; Domínguez, H. In vitro antioxidant properties of crude extracts and compounds from brown algae. Food Chem. 2013, 138, 1764–1785. [Google Scholar] [CrossRef]
- Generalić Mekinić, I.; Skroza, D.; Šimat, V.; Hamed, I.; Čagalj, M.; Popović Perković, Z. Phenolic content of brown algae (Pheophyceae) species: Extraction, identification, and quantification. Biomolecules 2019, 9, 244. [Google Scholar] [CrossRef]
- Huang, B.; Ding, L.; Luan, R.; Sun, Z. New classification system of marine brown algae of China. Guangxi Sci. 2015, 22, 189–200. [Google Scholar]
- Carroll, A.R.; Copp, B.R.; Davis, R.A.; Keyzers, R.A.; Prinsep, M.R. Marine natural products. Nat. Prod. Rep. 2022, 39, 1122–1171. [Google Scholar] [CrossRef] [PubMed]
- Blunt, J.W.; Carroll, A.R.; Copp, B.R.; Davis, R.A.; Keyzers, R.A.; Prinsep, M.R. Marine natural products. Nat. Prod. Rep. 2017, 34, 235–294. [Google Scholar] [CrossRef] [PubMed]
- Draisma, S.G.A.; Ballesteros, E.; Rousseau, F.; Thibaut, T. DNA sequence data demonstrate the polyphyly of the genus Cystoseira and other Sargassaceae genera (Phaeophyceae). J. Phycol. 2010, 46, 1329–1345. [Google Scholar] [CrossRef]
- Rousseau, F.; de Reviers, B. Phylogenetic relationships within the Fucales (Phaeophyceae) based on combined partial SSU + LSU rDNA sequence data. Eur. J. Phycol. 1999, 34, 53–64. [Google Scholar]
- Guiry, M.D.; Guiry, G.M. AlgaeBase. World-Wide Electronic Publication, National University of Ireland, Galway. Available online: http://www.algaebase.org (accessed on 7 August 2023).
- Liu, L.; Heinrich, M.; Myers, S.; Dworjanyn, S.A. Towards a better understanding of medicinal uses of the brown seaweed Sargassum in Traditional Chinese Medicine: A phytochemical and pharmacological review. J. Ethnopharmacol. 2012, 142, 591–619. [Google Scholar] [CrossRef] [PubMed]
- de Sousa, C.B.; Gangadhar, K.N.; Macridachis, J.; Pavão, M.; Morais, T.R.; Campino, L.; Varela, J.; Lago, J.H.G. Cystoseira algae (Fucaceae): Update on their chemical entities and biological activities. Tetrahedron: Asymmetry 2017, 28, 1486–1505. [Google Scholar] [CrossRef]
- Catarino, M.D.; Pires, S.M.G.; Silva, S.; Costa, F.; Braga, S.S.; Pinto, D.C.G.A.; Silva, A.M.S.; Cardoso, S.M. Overview of phlorotannins’ constituents in Fucales. Mar. Drugs 2022, 20, 754. [Google Scholar] [CrossRef]
- Valls, R.; Piovetti, L. The chemistry of the Cystoseiraceae (Fucales: Pheophyceae): Chemotaxonomic relationships. Biochem. Syst. Ecol. 1995, 23, 723–745. [Google Scholar] [CrossRef]
- Gouveia, V.; Seca, A.M.L.; Barreto, M.C.; Pinto, D.C.G.A. Di- and sesquiterpenoids from Cystoseira genus: Structure, intra-molecular transformations and biological activity. Mini-Rev. Med. Chem. 2013, 13, 1150–1159. [Google Scholar] [CrossRef]
- Chen, Z.; Liu, H.B. Recent Advance on the Chemistry and Bioactivity of Genus Sargassum. Chin. J. Mar. Drugs 2012, 31, 41–51. [Google Scholar]
- Rushdi, M.I.; Abdel-Rahman, I.A.M.; Saber, H.; Attia, E.Z.; Abdelraheem, W.M.; Madkour, H.A.; Hassan, H.M.; Elmaidomy, A.H. Pharmacological and natural products diversity of the brown algae genus Sargassum. RSC Adv. 2020, 10, 24951–24972. [Google Scholar] [CrossRef] [PubMed]
- Rushdi, M.I.; Abdel-Rahman, I.A.M.; Saber, H.; Attia, E.Z.; Abdelraheem, W.M.; Madkour, H.A.; Abdelmohsen, U.R. The genus Turbinaria: Chemical and pharmacological diversity. Nat. Prod. Res. 2021, 35, 4560–4578. [Google Scholar] [CrossRef] [PubMed]
- Xu, R.S.; Ye, Y.; Zhao, W.M. Natural Products Chemistry, 2nd ed.; Beijing Press: Beijing, China, 2004; pp. 166–374. [Google Scholar]
- Roberts, S.C. Production and engineering of terpenoids in plant cell culture. Nat. Chem. Biol. 2007, 3, 387–395. [Google Scholar] [CrossRef] [PubMed]
- Salem, A.B.; Di Giuseppe, G.; Anesi, A.; Hammami, S.; Mighri, Z.; Guella, G. Natural products among brown algae: The case of Cystoseira schiffneri Hamel (Sargassaceae, Phaeophyceae). Chem. Biodivers. 2017, 14, e1600333. [Google Scholar] [CrossRef] [PubMed]
- Peng, Y.; Huang, R.M.; Lin, X.P.; Liu, Y.H. Norisoprenoids from the brown alga Sargassum naozhouense Tseng et Lu. Molecules 2018, 23, 348. [Google Scholar] [CrossRef]
- Smith, A.B.; Branca, S.J.; Pilla, N.N.; Guaciaro, M.A. Stereocontrolled total synthesis of (±)-pentenomycins. I-III, their epimers, and dehydropentenomycin I. J. Org. Chem. 1982, 47, 1855–1869. [Google Scholar] [CrossRef]
- Kimura, J.; Maki, N. New loliolide derivatives from the brown alga Undaria pinnatifa. J. Nat. Prod. 2002, 65, 57–58. [Google Scholar] [CrossRef] [PubMed]
- Fattorusso, E.; Magno, S.; Mayol, L.; Santacroce, C.; Sica, D.; Amico, V.; Oriente, G.; Piattelli, M.; Tringal, C. Oxocrinol and Crinitol, novel linear terpenoids from the brown alga Cystoseira crinita. Tetrahedron Lett. 1976, 17, 937–940. [Google Scholar] [CrossRef]
- Takada, N.; Watanabe, R.; Suenaga, K.; Yamada, K.; Uemura, D. Isolation and structures of hedaols A, B, and C, new bisnorditerpenes from a Japanese brown alga. J. Nat. Prod. 2001, 64, 653–655. [Google Scholar] [CrossRef]
- Kusumi, T.; Ishitsuka, M.; Nomura, Y.; Konno, T.; Kakisawa, H. New farnesylacetone derivatives from Sargassum micracanthum. Chem. Lett. 1979, 8, 1181–1184. [Google Scholar] [CrossRef]
- Shizuri, Y.; Matsukawa, S.; Ojika, M.; Yamada, K. Two new farnesylacetone derivatives from the brown alga Sargassum micracanthum. Phytochemistry 1982, 21, 1808–1809. [Google Scholar] [CrossRef]
- Reddy, P.; Urban, S. Linear and cyclic C18 terpenoids from the Southern Australian marine brown alga Cystophora moniliformis. J. Nat. Prod. 2008, 71, 1441–1446. [Google Scholar] [CrossRef] [PubMed]
- Valls, R.; Banaigs, B.; Francisco, C.; Codomier, L.; Cave, A. An acyclic diterpene from the brown alga Bifurcaria bifurcata. Phytochemistry 1986, 25, 751–752. [Google Scholar] [CrossRef]
- Culioli, G.; Ortalo-Magné, A.; Daoudi, M.; Thomas-Guyon, H.; Valls, R.; Piovetti, L. Trihydroxylated linear diterpenes from the brown alga Bifurcaria bifurcata. Phytochemistry 2004, 65, 2063–2069. [Google Scholar] [CrossRef]
- El Hattab, M.; Ben Mesaoud, M.; Daoudi, M.; Ortalo-Magné, A.; Culioli, G.; Valls, R.; Piovetti, L. Trihydroxylated linear diterpenes from the brown alga Bifurcaria bifurcata (Fucales, Phaeophyta). Biochem. Syst. Ecol. 2008, 36, 484–489. [Google Scholar] [CrossRef]
- Culioli, G.; Daoudi, M.; Ortalo-Magné, A.; Valls, R.; Piovetti, L. (S)-12-hydroxygeranylgeraniol-derived diterpenes from the brown alga Bifurcaria bifurcata. Phytochemistry 2001, 57, 529–535. [Google Scholar] [CrossRef] [PubMed]
- Semmak, L.; Zerzouf, A.; Valls, R.; Banaigs, B.; Jeanty, G.; Francisco, C. Acyclic diterpenes from Bifurcaria bifurcata. Phytochemistry 1988, 27, 2347–2349. [Google Scholar] [CrossRef]
- Valls, R.; Piovetti, L.; Banaigs, B.; Archavlis, A.; Pellegrini, M. (S)-13-hydroxygeranylgeraniol-derived furanoditerpenes from Bifurcaria bifurcata. Phytochemistry 1995, 39, 145–149. [Google Scholar] [CrossRef]
- Smyrniotopoulos, V.; Merten, C.; Kaiser, M.; Tasdemir, D. Bifurcatriol, a new antiprotozoal acyclic diterpene from the brown alga Bifurcaria bifurcata. Mar. Drugs 2017, 15, 245. [Google Scholar] [CrossRef]
- Smyrniotopoulos, V.; Firsova, D.; Fearnhead, H.; Grauso, L. Density functional theory (DFT)-aided structure elucidation of linear diterpenes from the Irish brown seaweed Bifurcaria bifurcata. Mar. Drugs 2021, 19, 42. [Google Scholar] [CrossRef]
- Smyrniotopoulos, V.; Merten, C.; Firsova, D.; Fearnhead, H.; Tasdemir, D. Oxygenated acyclic diterpenes with anticancer activity from the Irish brown seaweed Bifurcaria bifurcata. Mar. Drugs 2020, 18, 581. [Google Scholar] [CrossRef] [PubMed]
- Ortalo-Magné, A.; Culioli, G.; Valls, R.; Pucci, B.; Piovetti, L. Polar acyclic diterpenoids from Bifurcaria bifurcata. Phytochemistry 2005, 66, 2316–2323. [Google Scholar] [CrossRef] [PubMed]
- Amico, V.; Oriente, G.; Piattelli, M.; Ruberto, G.; Tringali, C. Novel acyclic diterpenes from the brown alga Cystoseira crinita. Phytochemistry 1981, 20, 1085–1088. [Google Scholar] [CrossRef]
- Combaut, G.; Piovetti, L. A novel acyclic diterpene from the brown alga Bifurcaria bifurcata. Phytochemistry 1983, 22, 1787–1789. [Google Scholar] [CrossRef]
- Göthel, Q.; Muñoz, J.; Köck, M. Formyleleganolone and bibifuran, two metabolites from the brown alga Bifurcaria bifurcata. Phytochem. Lett. 2012, 5, 693–695. [Google Scholar] [CrossRef]
- Göthel, Q.; Lichte, E.; Köck, M. Further eleganolone-derived diterpenes from the brown alga Bifurcaria bifurcata. Tetrahedron Lett. 2012, 53, 1873–1877. [Google Scholar] [CrossRef]
- Hougaard, L.; Anthoni, U.; Christophersen, C. Two new diterpenoid dihydroxy-γ-butyrolactones from Bifurcaria bifurcata (Cystoseiraceae). Tetrahedron Lett. 1991, 32, 3577–3578. [Google Scholar] [CrossRef]
- Valls, R.; Banaigs, B.; Piovetti, L.; Archavlis, A.; Artaud, J. Linear diterpene with antimitotic activity from the brown alga Bifurcaria bifurcata. Phytochemistry 1993, 34, 1585–1588. [Google Scholar] [CrossRef]
- Ayyad, S.E.N.; Abdel-Halim, O.B.; Shier, W.T.; Hoye, T.R. Cytotoxic hydroazulene diterpenes from the brown alga Cystoseira myrica. Z. Naturforsch. C 2003, 58, 33–38. [Google Scholar] [CrossRef]
- Dhara, S.; Chakraborty, K. Anti-inflammatory xenicane-type diterpenoid from the intertidal brown seaweed Sargassum ilicifolium. Nat. Prod. Res. 2021, 35, 5699–5709. [Google Scholar] [CrossRef]
- Thambi, A.; Chakraborty, K. Anti-inflammatory decurrencyclics A-B, two undescribed nor-dammarane triterpenes from triangular sea bell Turbinaria decurrens. Nat. Prod. Res. 2023, 37, 713–724. [Google Scholar] [CrossRef] [PubMed]
- Joung, E.-J.; Gwon, W.-G.; Shin, T.; Jung, B.-M.; Choi, J.; Kim, H.-R. Anti-inflammatory action of the ethanolic extract from Sargassum serratifolium on lipopolysaccharide-stimulated mouse peritoneal macrophages and identification of active components. J. Appl. Phycol. 2017, 29, 563–573. [Google Scholar] [CrossRef]
- Azam, M.S.; Choi, J.; Lee, M.-S.; Kim, H.-R. Hypopigmenting effects of brown algae-derived phytochemicals: A review on molecular mechanisms. Mar. Drugs 2017, 15, 297. [Google Scholar] [CrossRef] [PubMed]
- Fisch, K.M.; Böhm, V.; Wright, A.D.; König, G.M. Antioxidative meroterpenoids from the brown alga Cystoseira crinita. J. Nat. Prod. 2003, 66, 968–975. [Google Scholar] [CrossRef] [PubMed]
- Praud, A.; Valls, R.; Piovetti, L.; Banaigs, B.; BenaΪm, J.-Y. Meroditerpenes from the brown alga Cystoseira crinita off the French Mediterranean coast. Phytochemistry 1995, 40, 495–500. [Google Scholar] [CrossRef]
- Gouveia, V.L.M.; Seca, A.M.L.; Barreto, M.C.; Neto, A.I.; Kijjoa, A.; Silva, A.M.S. Cytotoxic meroterpenoids from the macroalga Cystoseira abies-marina. Phytochem. Lett. 2013, 6, 593–597. [Google Scholar] [CrossRef]
- Fernández, J.J.; Navarro, G.; Norte, M. Novel metabolites from the brown alga Cystoseira abies-marina. Nat. Prod. Lett. 1998, 12, 285–291. [Google Scholar] [CrossRef]
- García, P.A.; Hernández, Á.P.; San Feliciano, A.; Castro, M.Á. Bioactive prenyl- and terpenyl-quinones/hydroquinones of marine origin. Mar. Drugs 2018, 16, 292. [Google Scholar] [CrossRef]
- Mesguiche, V.; Valls, R.; Piovetti, L.; Banaigs, B. Meroditerpenes from Cystoseira amentacea var. stricta collected off the Mediterranean coasts. Phytochemistry 1997, 45, 1489–1494. [Google Scholar]
- Mokrini, R.; Mesaoud, M.B.; Daoudi, M.; Hellio, C.; Maréchal, J.-P.; El Hattab, M.; Ortalo-Magné, A.; Piovetti, L.; Culioli, G. Meroditerpenoids and derivatives from the brown alga Cystoseira baccata and their antifouling properties. J. Nat. Prod. 2008, 71, 1806–1811. [Google Scholar] [CrossRef]
- Navarro, G.; Fernández, J.J.; Norte, M. Novel meroditerpenes from the brown alga Cystoseira sp. J. Nat. Prod. 2004, 67, 495–499. [Google Scholar] [CrossRef] [PubMed]
- Amico, V. Marine brown algae of family Cystoseiraceae: Chemistry and chemotaxonomy. Phytochemistry 1995, 39, 1257–1279. [Google Scholar] [CrossRef]
- Amico, V.; Cunsolo, F.; Piattelli, M.; Ruberto, G.; Fronczek, F.R. Balearone, a metabolite of the brown alga Cystoseira balearica. Tetrahedron 1984, 40, 1721–1725. [Google Scholar] [CrossRef]
- Amico, V.; Piattelli, M.; Neri, P.; Ruberto, G.; Mayol, L. Novel metabolites from the marine genus cystoseira-application of two-dimensional 1H-13C correlation to the structure elucidation. Tetrahedron 1986, 42, 6015–6020. [Google Scholar] [CrossRef]
- Amico, V.; Cunsolo, F.; Piattelli, M.; Ruberto, G. Prenylated O-methyltoluquinols from Cystoseira stricta. Phytochemistry 1987, 26, 1719–1722. [Google Scholar] [CrossRef]
- Amico, V.; Oriente, G.; Piattelli, M.; Ruberto, G.; Tringali, C. A quinone-hydroquinone couple from the brown alga Cystoseira stricta. Phytochemistry 1982, 21, 421–424. [Google Scholar] [CrossRef]
- Amico, V.; Cunsolo, F.; Piattelli, M.; Ruberto, G.; Mayol, L. Strictaketal, a new tetraprenyltoluquinol with a heterotetracyclic diterpene moiety from the brown alga Cystoseira stricta. J. Nat. Prod. 1987, 50, 449–454. [Google Scholar] [CrossRef]
- Amico, V.; Oriente, G.; Neri, P.; Piattelli, M.; Ruberto, G. Tetraprenyltoluquinols from the brown alga Cystoseira stricta. Phytochemistry 1987, 26, 1715–1718. [Google Scholar] [CrossRef]
- Amico, V.; Piattelli, M.; Cunsolo, F.; Neri, P.; Ruberto, G. Two epimeric, irregular diterpenoid toluquinols from the brown alga Cystoseira stricta. J. Nat. Prod. 1989, 52, 962–969. [Google Scholar] [CrossRef]
- El Hattab, M.; Genta-Jouve, G.; Bouzidi, N.; Ortalo-Magné, A.; Hellio, C.; Maréchal, J.-P.; Piovetti, L.; Thomas, O.P.; Culioli, G. Cystophloroketals A-E, unusual phloroglucinol-meroterpenoid hybrids from the brown alga Cystoseira tamariscifolia. J. Nat. Prod. 2015, 78, 1663–1670. [Google Scholar] [CrossRef]
- de los Reyes, C.; Zbakh, H.; Motilva, V.; Zubía, E. Antioxidant and anti-inflammatory meroterpenoids from the brown alga Cystoseira usneoides. J. Nat. Prod. 2013, 76, 621–629. [Google Scholar] [CrossRef] [PubMed]
- de los Reyes, C.; Ortega, M.J.; Zbakh, H.; Motilva, V.; Zubía, E. Cystoseira usneoides: A brown alga rich in antioxidant and anti-inflammatory meroditerpenoids. J. Nat. Prod. 2016, 79, 395–405. [Google Scholar] [CrossRef]
- Urones, J.G.; Basabe, P.; Marcos, I.S.; Pineda, J.; Lithgow, A.M.; Moro, R.F.; Palma, F.M.S.B.; Araújo, M.E.M.; Gravalos, M.D.G. Meroterpenes from Cystoseira usneoides. Phytochemistry 1992, 31, 179–182. [Google Scholar] [CrossRef]
- Urones, J.G.; Araujo, M.E.M.; Palma, F.M.S.B.; Basabe, P.; Marcos, I.S.; Moro, R.F.; Lithgow, A.M.; Pineda, J. Meroterpenes from Cystoseira usneoides II. Phytochemistry 1992, 31, 2105–2109. [Google Scholar] [CrossRef]
- Amico, V.; Cunsolo, F.; Piattelli, M.; Ruberto, G. Acyclic tetraprenyltoluquinols from Cystoseira sauvageuana and their possible role as biogenetic precursors of the cyclic Cystoseira metabolites. Phytochemistry 1985, 24, 2663–2668. [Google Scholar] [CrossRef]
- Laird, D.W.; Poole, R.; Wikström, M.; van Altena, I.A. Pycnanthuquinone C, an unusual 6,6,5-tricyclic geranyltoluquinone from the Western Australian brown alga Cystophora harveyi. J. Nat. Prod. 2007, 70, 671–674. [Google Scholar] [CrossRef] [PubMed]
- Reddy, P.; Urban, S. Meroditerpenoids from the southern Australian marine brown alga Sargassum fallax. Phytochemistry 2009, 70, 250–255. [Google Scholar] [CrossRef]
- Niwa, H.; Kurimoto, S.; Kubota, T.; Sekiguchi, M. Macrocarquinoids A–C, new meroterpenoids from Sargassum macrocarpum. J. Nat. Med. 2021, 75, 194–200. [Google Scholar] [CrossRef]
- Mori, J.; Iwashima, M.; Wakasugi, H.; Saito, H.; Matsunaga, T.; Ogasawara, M.; Takahashi, S.; Suzuki, H.; Hayashi, T. New plastoquinones isolated from the brown alga, Sargassum micracanthum. Chem. Pharm. Bull. 2005, 53, 1159–1163. [Google Scholar] [CrossRef]
- Brkljača, R.; Urban, S. Chemical profiling (HPLC-NMR & HPLC-MS), isolation, and identification of bioactive meroditerpenoids from the southern Australian marine brown alga Sargassum paradoxum. Mar. Drugs 2015, 13, 102–127. [Google Scholar]
- Horie, S.; Tsutsumi, S.; Takada, Y.; Kimura, J. Antibacterial quinone metabolites from the brown alga, Sargassum sagamianum. Bull. Chem. Soc. Jpn. 2008, 81, 1125–1130. [Google Scholar] [CrossRef]
- Segawa, M.; Shirahama, H. New plastoquinones from the brown alga Sargassum sagamianum var. yezoense. Chem. Lett. 1987, 16, 1365–1366. [Google Scholar] [CrossRef]
- Jung, M.; Jang, K.H.; Kim, B.; Lee, B.H.; Choi, B.W.; Oh, K.-B.; Shin, H. Meroditerpenoids from the brown alga Sargassum siliquastrum. J. Nat. Prod. 2008, 71, 1714–1719. [Google Scholar] [CrossRef] [PubMed]
- Ishitsuka, M.; Kusumi, T.; Nomura, Y.; Konno, T.; Kakisawa, H. New geranylgeranylbenzoquinone derivatives from Sargassum tortile. Chem. Lett. 1979, 8, 1269–1272. [Google Scholar] [CrossRef]
- Valls, R.; Piovetti, L.; Banaigs, B.; Praud, A. Secondary metabolites from Morocco brown algae of the genus Cystoseira. Phytochemistry 1993, 32, 961–966. [Google Scholar] [CrossRef]
- Fuentes-Monteverde, J.C.C.; Nath, N.; Forero, A.M.; Balboa, E.M.; Navarro-Vázquez, A.; Griesinger, C.; Jiménez, C.; Rodríguez, J. Connection of isolated stereoclusters by combining 13C-RCSA, RDC, and J-based configurational analyses and structural revision of a tetraprenyltoluquinol chromane meroterpenoid from Sargassum muticum. Mar. Drugs 2022, 20, 462. [Google Scholar] [CrossRef]
- Balboa, E.M.; Li, Y.-X.; Ahn, B.-N.; Eom, S.-H.; Domínguez, H.; Jiménez, C.; Rodríguez, J. Photodamage attenuation effect by a tetraprenyltoluquinol chromane meroterpenoid isolated from Sargassum muticum. J. Photochem. Photobiol. B. 2015, 148, 51–58. [Google Scholar] [CrossRef]
- Iwashima, M.; Tako, N.; Hayakawa, T.; Matsunaga, T.; Mori, J.; Saito, H. New chromane derivatives isolated from the brown alga, Sargassum micracanthum. Chem. Pharm. Bull. 2008, 56, 124–128. [Google Scholar] [CrossRef]
- Cho, S.H.; Cho, J.Y.; Kang, S.E.; Hong, Y.K.; Ahn, D.H. Antioxidant activity of mojabanchromanol, a novel chromene, isolated from brown alga Sargassum siliquastrum. J. Environ. Biol. 2008, 29, 479–484. [Google Scholar]
- Lee, J.I.; Seo, Y. Chromanols from Sargassum siliquastrum and their antioxidant activity in HT1080 cells. Chem. Pharm. Bull. 2011, 59, 757–761. [Google Scholar] [CrossRef]
- Jang, K.H.; Lee, B.H.; Choi, B.W.; Lee, H.S.; Shin, J. Chromenes from the brown alga Sargassum siliquastrum. J. Nat. Prod. 2005, 68, 716–723. [Google Scholar] [CrossRef] [PubMed]
- Lee, J.-I.; Park, B.J.; Kim, H.; Seo, Y. Isolation of two new meroterpenoids from Sargassum siliquastrum. Bull. Korean. Chem. Soc. 2014, 35, 2867–2869. [Google Scholar] [CrossRef]
- Kang, H.-S.; Kim, J.-P. New chromene derivatives with radical scavenging activities from the brown alga Sargassum siliquastrum. J. Chem. Res. 2017, 41, 116–119. [Google Scholar] [CrossRef]
- Dhara, S.; Chakraborty, K. Novel furanyl-substituted isochromanyl class of anti-inflammatory turbinochromanone from brown seaweed Turbinaria conoides. Chem. Biodivers. 2022, 19, e202100723. [Google Scholar] [CrossRef] [PubMed]
- Seo, Y.; Park, K.E.; Kim, Y.A.; Lee, H.-J.; Yoo, J.-S.; Ahn, J.-W.; Lee, B.-J. Isolation of tetraprenyltoluquinols from the brown alga Sargassum thunbergii. Chem. Pharm. Bull. 2006, 54, 1730–1733. [Google Scholar] [CrossRef] [PubMed]
- Numata, A.; Kanbara, S.; Takahashi, C.; Fujiki, R.; Yoneda, M.; Usami, Y.; Fujita, E. A cytotoxic principle of the brown alga Sargassum tortile and structures of chromenes. Phytochemistry 1992, 31, 1209–1213. [Google Scholar] [CrossRef]
- Kikuchi, T.; Mori, Y.; Yokoi, T.; Nakazawa, S.; Kuroda, H.; Masada, Y.; Kitamura, K.; Umezaki, I. Structure of sargatriol, a new isoprenoid chromenol from a marine alga: Sargassum tortile. Chem. Pharm. Bull. 1975, 23, 690–692. [Google Scholar] [CrossRef]
- Kikuchi, T.; Mori, Y.; Yokoi, T.; Nakazawa, S.; Kuroda, H.; Masada, Y.; Kitamura, K.; Kuriyama, K. Structure and absolute configuration of sargatriol, a new isoprenoid chromenol from a brown alga, Sargassum tortile C. Agardh. Chem. Pharm. Bull. 1983, 31, 106–113. [Google Scholar] [CrossRef]
- Jung, M.; Jang, K.H.; Kim, B.; Lee, B.H.; Choi, B.W.; Oh, K.-B.; Shin, H. Meroditerpenoids from the brown alga Sargassum siliquastrum. J. Nat. Prod. 2009, 72, 1723. [Google Scholar] [CrossRef]
- Gunathilake, T.; Akanbi, T.O.; Suleria, H.A.R.; Nalder, T.D.; Francis, D.S.; Barrow, C.J. Seaweed phenolics as natural antioxidants, aquafeed additives, veterinary treatments and cross-linkers for microencapsulation. Mar. Drugs 2022, 20, 445. [Google Scholar] [CrossRef]
- Singh, I.P.; Bharate, S.B. Phloroglucinol compounds of natural origin. Nat. Prod. Rep. 2006, 23, 558–591. [Google Scholar] [CrossRef] [PubMed]
- Jiang, C.-S.; Wang, Y.-Y.; Song, J.-T.; Yu, J.-H. Acylphloroglucinols as kinase inhibitors from Sargassum nigrifoloides. J. Asian Nat. Prod. Res. 2018, 21, 619–626. [Google Scholar] [CrossRef] [PubMed]
- Kim, C.; Lee, I.-K.; Cho, G.Y.; Oh, K.-H.; Lim, Y.W.; Yun, B.-S. Sargassumol, a novel antioxidant from the brown alga Sargassum micracanthum. J. Antibiot. 2012, 65, 87–89. [Google Scholar] [CrossRef] [PubMed]
- Keusgen, M.; Falk, M.; Walter, J.A.; Glombitza, K.-W. A phloroglucinol derivative from brown alga Sargassum spinuligerum. Phytochemistry 1997, 46, 1–8. [Google Scholar] [CrossRef]
- Glombitza, K.-W.; Li, S.-M. Fucophlorethols from the brown alga Carpophyllum maschalocarpum. Phytochemistry 1991, 30, 3423–3427. [Google Scholar] [CrossRef]
- Glombitza, K.-M.; Keusgen, M.; Hauperich, S. Fucophlorethols from the brown algae Sargassum spinuligerum and Cystophora torulosa. Phytochemistry 1997, 46, 1417–1422. [Google Scholar] [CrossRef]
- Glombitza, K.-W.; Hauperich, S. Phlorotannins from the brown alga Cystophora torulosa. Phytochemistry 1997, 46, 735–740. [Google Scholar] [CrossRef]
- Glombitza, K.-M.; Hauperich, S.; Keusgen, M. Phlorotannins from the brown algae Cystophora torulosa and Sargassum spinuligerum. Nat. Toxins 1997, 5, 58–63. [Google Scholar] [CrossRef]
- Glombitza, K.-W.; Li, S.-M. Hydroxyphlorethols from the brown alga Carpophyllum maschalocarpum. Phytochemistry 1991, 30, 2741–2745. [Google Scholar] [CrossRef]
- Glombitza, K.-M.; Schmidt, A. Trihydroxyphlorethols from the brown alga Carpophyllum angustifolium. Phytochemistry 1999, 51, 1095–1100. [Google Scholar] [CrossRef]
- Li, S.-M.; Glombitza, K.-W. Carmalols and phlorethofuhalols from the brown alga Carpophyllum maschalocarpum. Phytochemistry 1991, 30, 3417–3421. [Google Scholar] [CrossRef]
- Glombitza, K.-W.; Schmidt, A. Nonhalogenated and halogenated phlorotannins from the brown alga Carpophyllum angustifolium. J. Nat. Prod. 1999, 62, 1238–1240. [Google Scholar] [CrossRef] [PubMed]
- Kawamura-Konishi, Y.; Watanabe, N.; Saito, M.; Nakajima, N.; Sakaki, T.; Katayama, T.; Enomoto, T. Isolation of a new phlorotannin, a potent inhibitor of carbohydrate-hydrolyzing enzymes, from the brown alga Sargassum patens. J. Agric. Food Chem. 2012, 60, 5565–5570. [Google Scholar] [CrossRef] [PubMed]
- Hamdy, A.-H.A.; Aboutabl, E.A.; Sameer, S.; Hussein, A.A.; Díaz-Marrero, A.R.; Darias, J.; Cueto, M. 3-Keto-22-epi-28-nor-cathasterone, a brassinosteroid-related metabolite from Cystoseira myrica. Steroids 2009, 74, 927–930. [Google Scholar] [CrossRef]
- Ayyad, S.-E.N.; Sowellim, S.Z.A.; El-Hosini, M.S.; Abo-Atia, A. The structural determination of a new steroidal metabolite from the brown alga Sargassum asperifolium. Z. Naturforsch. C. 2003, 58, 5–6. [Google Scholar] [CrossRef]
- Tang, H.-F.; Yi, Y.-H.; Yao, X.-S.; Xu, Q.-Z.; Zhang, S.-Y.; Lin, H.-W. Bioactive steroids from the brown alga Sargassum carpophyllum. J. Asian Nat. Prod. Res. 2002, 4, 95–101. [Google Scholar] [CrossRef]
- Wang, S.-Y.; Xiang, J.; Huang, X.-J.; Wei, X.; Zhang, Q.; Du, X.-H.; Hu, J.-S.; Wang, Y.-M.; Zhang, C.-X. Chemical constituents from Sargassum fusiforme (Harv.) Setch. Chem. Biodivers. 2020, 17, e2000182. [Google Scholar] [CrossRef]
- Xu, S.-H.; Ding, L.-S.; Wang, M.-K.; Peng, S.-L.; Liao, X. Studies on the chemical constituents of the algae Sargassum polycystcum. Chin. J. Org. Chem. 2002, 22, 138–140. [Google Scholar]
- Kobayashi, M.; Hasegawa, A.; Mitsuhashi, H. Marine sterols. XV. Isolation of 24-vinyloxycholesta-5,23-dien-3β-ol from the brown alga Sargassum thumbergii. Chem. Pharm. Bull. 1985, 33, 4012–4013. [Google Scholar] [CrossRef]
- He, W.-F.; Yao, L.-G.; Liu, H.-L.; Guo, Y.-W. Thunberol, a new sterol from the Chinese brown alga Sargassum thunbergii. J. Asian Nat. Prod. Res. 2014, 16, 685–689. [Google Scholar] [CrossRef]
- Kumar, S.S.; Kumar, Y.K.; Khan, M.S.Y.; Gupta, V. New antifungal steroids from Turbinaria conoides (J.Agardh) Kutzing. Nat. Prod. Res. 2010, 24, 1481–1487. [Google Scholar] [CrossRef] [PubMed]
- Sheu, J.-H.; Wang, G.-H.; Sung, P.-J.; Duh, C.-Y. New cytotoxic oxygenated fucosterols from the brown alga Turbinaria conoides. J. Nat. Prod. 1999, 62, 224–227. [Google Scholar] [CrossRef] [PubMed]
- Chakraborty, K.; Dhara, S. Conoidecyclics A-C from marine macroagla Turbinaria conoides: Newly described natural macrolides with prospective bioactive properties. Phytochemistry 2021, 191, 112909. [Google Scholar] [CrossRef] [PubMed]
- Chakraborty, K.; Dhara, S. First report of substituted 2H-pyranoids from brown seaweed Turbinaria conoides with antioxidant and anti-inflammatory activities. Nat. Prod. Res. 2020, 34, 3451–3461. [Google Scholar] [CrossRef] [PubMed]
- Dhara, S.; Chakraborty, K. Turbinafuranone A–C, new 2-furanone analogures from marine macroalga Turbinaria ornata as prospective anti-hyperglycemic agents attenuate tyrosine phosphatase-1B. Med. Chem. Res. 2021, 30, 1635–1648. [Google Scholar] [CrossRef]
- Chakraborty, K.; Dhara, S. Spirornatas A–C from brown alga Turbinaria ornata: Anti-hypertensive spiroketals attenuate angiotensin-I converting enzyme. Phytochemistry 2022, 195, 113024. [Google Scholar] [CrossRef]
- Qi, S.-H.; Zhang, S.; Huang, J.-S.; Xiao, Z.-H.; Wu, J.; Long, L.-J. Glycerol derivatives and sterols from Sargassum parvivesiculosum. Chem. Pharm. Bull. 2004, 52, 986–988. [Google Scholar] [CrossRef]
- Chang, H.W.; Jang, K.H.; Lee, D.; Kang, H.R.; Kim, T.-Y.; Lee, B.H.; Choi, B.W.; Kim, S.; Shin, J. Monoglycerides from the brown alga Sargassum sagamianum: Isolation, synthesis, and biological activity. Bioorg. Med. Chem. Lett. 2008, 18, 3589–3592. [Google Scholar] [CrossRef]
- Kim, Y.H.; Kim, E.-H.; Lee, C.; Kim, M.-H.; Rho, J.-R. Two new monogalactosyl diacylglycerols from brown alga Sargassum thunbergii. Lipids 2007, 42, 395–399. [Google Scholar] [CrossRef]
- Cai, Y.-P.; Xie, C.-B.; Wang, B.-C.; Li, P.-L.; Li, B.-F. Two new resorcinols from Sargassum thunbergii. J. Asian Nat. Prod. Res. 2010, 12, 1001–1104. [Google Scholar] [CrossRef]
- Alzarea, S.I.; Elmaidomy, A.H.; Saber, H.; Musa, A.; Al-Sanea, M.M.; Mostafa, E.M.; Hendawy, O.M.; Youssif, K.A.; Alanazi, A.S.; Alharbi, M.; et al. Potential anticancer lipoxygenase inhibitors from the Red Sea-derived brown algae Sargassum cinereum: An in-silico-supported in-vitro study. Antibiotics 2021, 10, 416. [Google Scholar] [CrossRef] [PubMed]
- Peng, Y.; Cao, L.; Liu, Y.; Huang, R. Sargassulfamide A, an unprecedented amide derivative from the seaweed Sargassum naozhouense. Chem. Nat. Compd. 2020, 56, 98–100. [Google Scholar] [CrossRef]
- Banaigs, B.; Francisco, C.; Gonzalez, E.; Codomier, L. Lipids from the brown alga Cystoseira barbata. Phytochemistry 1984, 23, 2951–2952. [Google Scholar] [CrossRef]
Disclaimer/Publisher’s Note: The statements, opinions and data contained in all publications are solely those of the individual author(s) and contributor(s) and not of MDPI and/or the editor(s). MDPI and/or the editor(s) disclaim responsibility for any injury to people or property resulting from any ideas, methods, instructions or products referred to in the content. |
© 2024 by the authors. Licensee MDPI, Basel, Switzerland. This article is an open access article distributed under the terms and conditions of the Creative Commons Attribution (CC BY) license (https://creativecommons.org/licenses/by/4.0/).





