Blood Coagulation Activities of Cotton–Alginate–Copper Composites
Abstract
1. Introduction
2. Results and Discussion
2.1. Preparation of Composite Material
2.2. Chemical and Structural Characterization
2.2.1. Fourier Transform Infrared Spectroscopy
2.2.2. Flame Atomic Absorption Spectrometry
2.2.3. Morphology and Elemental Analysis
Microscopy Analysis
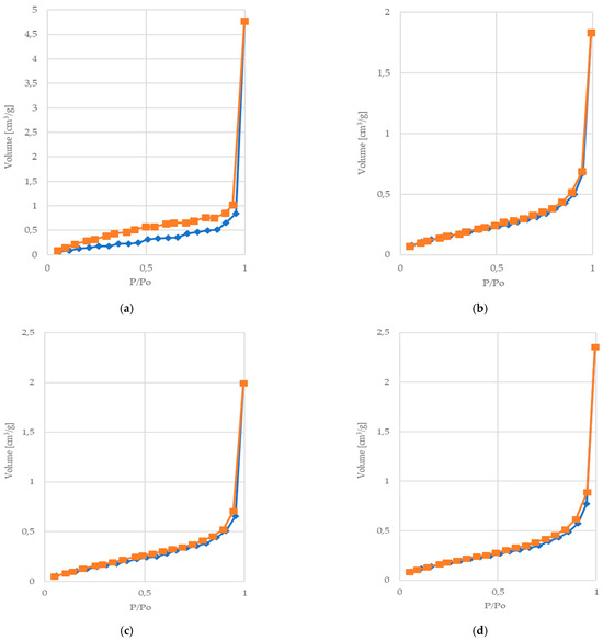
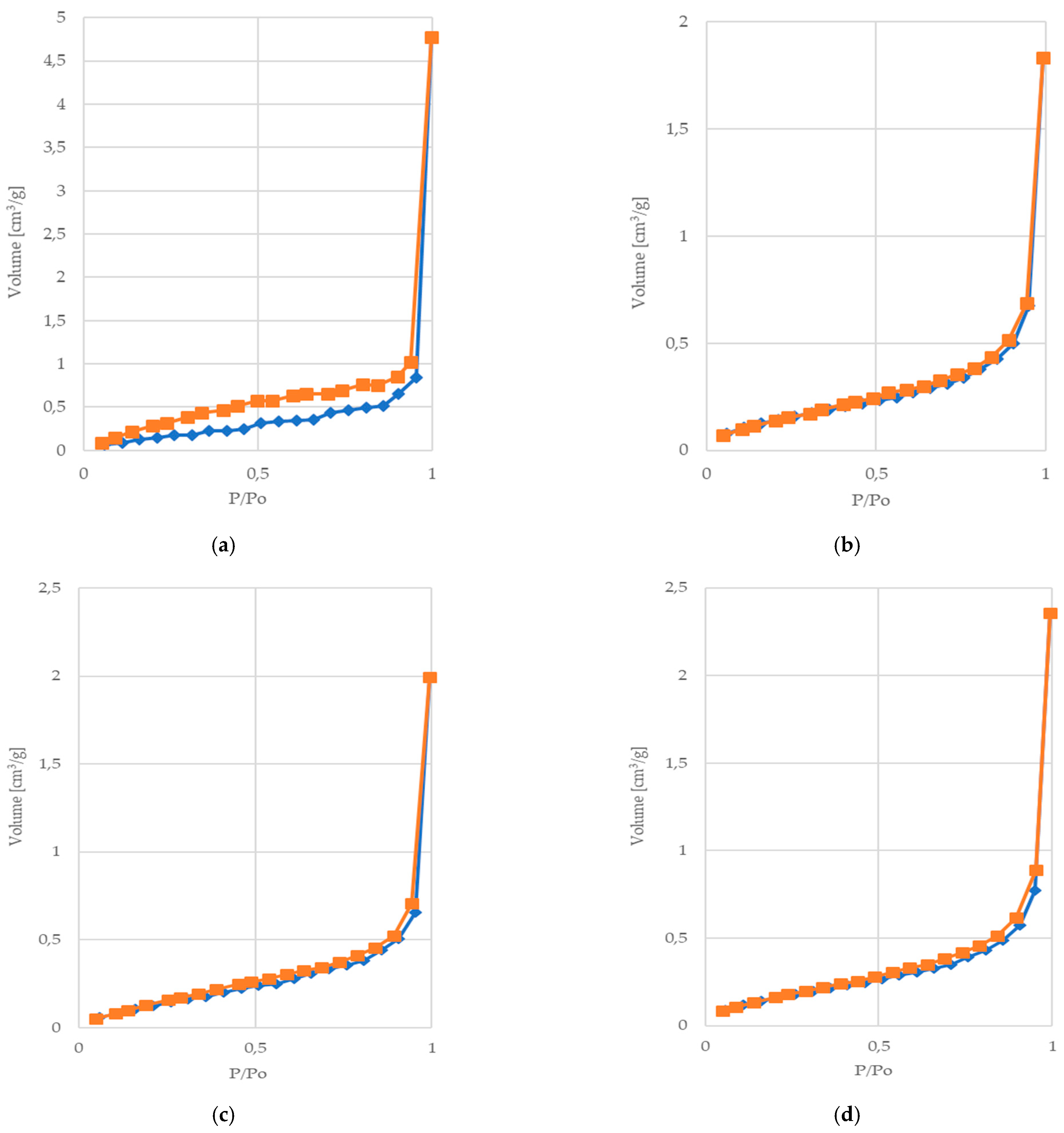
Specific Surface Area
2.2.4. Air Permeability
2.2.5. Tensile Testing
2.3. Biological and Biochemical Properties
2.3.1. Antimicrobial Activity
2.3.2. Blood Plasma Clotting: aPTT and PT
3. Conclusions
4. Materials and Methods
4.1. Materials
- Alginic acid sodium salt (CAS Number 9005-38-3; molecular weight: 120,000–190,000 g/moL; mannuronic acid to guluronic acid–M/G ratio: 1.56) from Millipore Sigma (St. Louis, MO, USA) was used for the surface modification of polymer nonwovens;
- Medical fabric with a plain weave, qualitative composition: cotton (100% w/w), weight: 200 g/m2 (Andropol S.A., Andrychów, Poland);
- Copper(II) chloride, CuCl2, 97% (CAS Number: 7447-39-4) from Millipore Sigma (St. Louis, MO, USA) was used for surface modification of the nonwoven composite;
- Bacterial strains: E. coli (ATCC 25922), S. aureus (ATCC 6538), and P. aeruginosa (ATCC 27853) were purchased from Microbiologics (St. Cloud, MN, USA);
- Fungal strains: C. albicans (ATCC 10231) and Ch. globosum (ATCC 6205) were purchased from Microbiologics (St. Cloud, MN, USA).
- Standard human blood plasma lyophilizates and clotting times reagents (Dia-PTT, Dia-PT, 0.025 M CaCl2 solution) were obtained from a vendor (Diagon Kft, Budapest, Hungary) and prepared according to the manufacturer’s instructions for measurements (K-3002 OPTIC coagulometers, KSELMED®, Grudziądz, Poland).
4.2. Methods
4.2.1. Chemical and Structural Characterization
Attenuated Total Reflection–Fourier-Transform Infrared Spectroscopy (ATR-FTIR)
Flame Atomic Absorption Spectroscopy (FAAS)
Microscopy Analysis
Specific Surface Area
Air Filtration Parameters
Tensile Testing
4.2.2. Antimicrobial Activity
4.2.3. Activated Partial Thromboplastin Time (aPTT) and Prothrombin Time (PT)
Author Contributions
Funding
Institutional Review Board Statement
Data Availability Statement
Acknowledgments
Conflicts of Interest
References
- Granados, A.; Pleixats, R.; Vallribera, A. Recent advances on antimicrobial and anti-inflammatory cotton fabrics containing nanostructures. Molecules 2021, 26, 3008. [Google Scholar] [CrossRef] [PubMed]
- Shahriari-Khalaji, M.; Alassod, A.; Nozhat, Z. Cotton-based health care textile: A mini review. Polym. Bull. 2022, 79, 10409–10432. [Google Scholar] [CrossRef]
- Venkatraja, B.; Malathy, V.V.; Elayarajah, B.; Rajendran, M.R.; Rammohan, R. Biopolymer and Bletilla striata herbal extract coated cotton gauze preparation for wound healing. J. Med. Sci. 2012, 12, 148–160. [Google Scholar] [CrossRef][Green Version]
- Emam, H.E. Antimicrobial cellulosic textiles based on organic compounds. 3 Biotech 2019, 9, 29. [Google Scholar] [CrossRef] [PubMed]
- Hegde, V.; Uthappa, U.T.; Altalhi, T.; Jung, H.Y.; Han, S.S.; Kurkuri, M.D. Alginate based polymeric systems for drug delivery, antibacterial/microbial, and wound dressing applications. Mater. Today Commun. 2022, 33, 104813. [Google Scholar] [CrossRef]
- He, Q.; Tong, T.; Yu, C.; Wang, Q. Advances in algin and alginate-hybrid materials for drug delivery and tissue engineering. Mar. Drugs 2022, 21, 14. [Google Scholar] [CrossRef]
- Sahoo, D.R.; Biswal, T. Alginate and its application to tissue engineering. SN Appl. Sci. 2021, 1, 30. [Google Scholar] [CrossRef]
- Li, J.; He, J.; Huang, Y. Role of alginate in antibacterial finishing of textiles. Int. J. Biol. Macromol. 2017, 94, 466–473. [Google Scholar] [CrossRef] [PubMed]
- Zhang, H.; Cheng, J.; Ao, Q. Preparation of alginate-based biomaterials and their applications in biomedicine. Mar. Drugs 2021, 19, 264. [Google Scholar] [CrossRef]
- Zhang, M.; Zhao, X. Alginate Hydrogel Dressings for Advanced Wound Management. Int. J. Biol. Macromol. 2020, 162, 42. [Google Scholar] [CrossRef]
- Garcia, T.D.F.; Silva, P.G.A.; Barcelos, B.J.; Miranda, M.D.G.R.D.; Alonso, C.D.S.; Abreu, M.N.S.; Borges, E.L. Criteria to Evaluate the Quality of Alginate Wound Dressings. Rev. Bras. Enferm. 2021, 74, e20201091. [Google Scholar] [CrossRef] [PubMed]
- Barbu, A.; Neamtu, B.; Zăhan, M.; Iancu, G.M.; Bacila, C.; Mireșan, V. Current Trends in Advanced Alginate-Based Wound Dressings for Chronic Wounds. J. Pers. Med. 2021, 11, 890. [Google Scholar] [CrossRef] [PubMed]
- Aderibigbe, B.A.; Buyana, B. Alginate in Wound Dressings. Pharmaceutics 2018, 10, 42. [Google Scholar] [CrossRef] [PubMed]
- Soleimanpour, M.; Mirhaji, S.S.; Jafari, S.; Derakhshankhah, H.; Mamashli, F.; Nedaei, H.; Karimi, M.R.; Motasadizadeh, H.; Fatahi, Y.; Ghasemi, A.; et al. Designing a new alginate-fibrinogen biomaterial composite hydrogel for wound healing. Sci. Rep. 2022, 12, 7213. [Google Scholar] [CrossRef] [PubMed]
- Xie, Y.; Gao, P.; He, F.; Zhang, C. Application of alginate-based hydrogels in hemostasis. Gels 2022, 8, 109. [Google Scholar] [CrossRef]
- Hurtado, A.; Aljabali, A.A.; Mishra, V.; Tambuwala, M.M.; Serrano-Aroca, A. Alginate: Enhancement strategies for advanced applications. Int. J. Mol. Sci. 2022, 23, 4486. [Google Scholar] [CrossRef]
- Varaprasad, K.; Jayaramudu, T.; Kanikireddy, V.; Toro, C.; Sadiku, E.R. Alginate-based composite materials for wound dressing application: A mini review. Carbohydr. Polym. 2020, 236, 116025. [Google Scholar] [CrossRef]
- Raus, R.A.; Wan Nawawi, W.M.F.; Nasaruddin, R.R. Alginate and alginate composites for biomedical applications. Asian J. Pharmac. Sci. 2021, 16, 280–306. [Google Scholar] [CrossRef]
- Essa, E.A.; Elebyary, T.T.; Abdelquader, M.M.; El Maghraby, G.M.; Elkordy, A.A. Smart liquids for oral controlled drug release: An overview of alginate and non-alginate based systems. J. Drug Deliv. Sci. Technol. 2021, 61, 102211. [Google Scholar] [CrossRef]
- Zdiri, K.; Cayla, A.; Elamri, A.; Erard, A.; Salaun, F. Alginate-based bio-composites and their potential applications. J. Funct. Biomater. 2022, 13, 117. [Google Scholar] [CrossRef] [PubMed]
- Pino, P.; Bosco, F.; Mollea, C.; Onida, B. Antimicrobial Nano-Zinc Oxide biocomposites for wound healing applications: A Review. Pharmaceutics 2023, 15, 970. [Google Scholar] [CrossRef] [PubMed]
- Rinaudo, M. Biomaterials based on a natural polysaccharide: Alginate. TIP 2014, 17, 92–96. [Google Scholar] [CrossRef]
- Lv, C.; Zhou, X.; Wang, P.; Li, J.; Wu, Z.; Jiao, Z.; Guo, M.; Wang, Z.; Wang, Y.; Wang, L.; et al. Biodegradable alginate-based sponge with antibacterial and shape memory properties for penetrating wound hemostasis. Compos. B Eng. 2022, 247, 110263. [Google Scholar] [CrossRef]
- Orlowska, J.; Kurczewska, U.; Derwinska, K.; Orlowski, W.; Orszulak-Michalak, D. In vitro evaluation of immunogenic properties of active dressings. Curr. Issues Pharm. Med. Sci. 2014, 27, 55–60. [Google Scholar] [CrossRef]
- Cleetus, C.M.; Primo, F.A.; Fregoso, G.; Raveendran, N.L.; Noveron, J.C.; Spencer, C.T.; Ramana, C.V.; Joddar, B. Alginate hydrogels with embedded zno nanoparticles for wound healing therapy. Int. J. Nanomed. 2020, 15, 5097–5111. [Google Scholar] [CrossRef] [PubMed]
- Segal, H.C.; Hunt, B.J.; Gilding, K. The effects of alginate and non-alginate wound dressings on blood coagulation and platelet activation. J. Biomater. Appl. 1998, 12, 249–257. [Google Scholar] [CrossRef] [PubMed]
- Kamoun, E.A.; Kenawy, E.R.S.; Tamer, T.M.; El-Meligy, M.A.; Eldin, M.S.M. Poly (vinyl alcohol)-alginate physically crosslinked hydrogel membranes for wound dressing applications: Characterization and bio-evaluation. Arab. J. Chem. 2015, 8, 38–47. [Google Scholar] [CrossRef]
- Rafiq, M.; Hussain, T.; Abid, S.; Nazir, A.; Masood, R. Development of sodium alginate/PVA antibacterial nanofibers by the incorporation of essential oils. Mater. Res. Express 2018, 5, 035007. [Google Scholar] [CrossRef]
- Emam, H.E.; Manian, A.P.; Široká, B.; Duelli, H.; Merschak, P.; Redl, B.; Bechtold, T. Copper(I)oxide surface modified cellulose fibers—Synthesis, characterization and antimicrobial properties. Surf. Coat. Technol. 2014, 254, 344–351. [Google Scholar] [CrossRef]
- Cady, N.C.; Behnke, J.L.; Strickland, A.D. Copper-based nanostructured coatings on natural cellulose: Nanocomposites exhibiting rapid and efficient inhibition of a multi-drug resistant wound pathogen, A. baumannii, and mammalian cell biocompatibility in vitro. Adv. Funct. Mater. 2011, 21, 2506–2514. [Google Scholar] [CrossRef]
- Vincent, M.; Hartemann, P.; Engels-Deutsch, M. Antimicrobial applications of copper. Int. J. Hyg. Environ. Health 2016, 219, 585–591. [Google Scholar] [CrossRef]
- Ingle, A.P.; Duran, N.; Rai, M. Bioactivity, mechanism of action, and cytotoxicity of copper-based nanoparticles: A review. Appl. Microbiol. Biotechnol. 2014, 98, 1001–1009. [Google Scholar] [CrossRef]
- Kudzin, M.H.; Kaczmarek, A.; Mrozińska, Z.; Olczyk, J. Deposition of copper on polyester knitwear fibers by a magnetron sputtering system. physical properties and evaluation of antimicrobial response of new multi-functional composite materials. Appl. Sci. 2020, 10, 6990. [Google Scholar] [CrossRef]
- Kudzin, M.H.; Boguń, M.; Mrozińska, Z.; Kaczmarek, A. Physical properties, chemical analysis, and evaluation of antimicrobial response of new Polylactide/Alginate/Copper Composite Materials. Mar. Drugs 2020, 18, 660. [Google Scholar] [CrossRef] [PubMed]
- Kudzin, M.H.; Mrozińska, Z.; Kaczmarek, A.; Lisiak-Kucińska, A. Deposition of copper on poly(lactide) non-woven fabrics by magnetron sputtering—Fabrication of new multi-functional, antimicrobial composite materials. Materials 2020, 13, 3971. [Google Scholar] [CrossRef]
- Borkow, G.; Gabbay, J. Putting copper into action: Copper-impregnated products with potent biocidal activities. FASEB J. 2004, 18, 1728–1730. [Google Scholar] [CrossRef] [PubMed]
- Heliopoulos, N.S.; Papageorgiou, S.K.; Galeou, A.; Favvas, E.P.; Katsaros, F.K.; Stamatakis, K. Effect of copper and copper alginate treatment on wool fabric. Study of textile and antibacterial properties. Surf. Coat. Technol. 2013, 235, 24–31. [Google Scholar] [CrossRef]
- Perelshtein, I.; Applerot, G.; Perkas, N.; Wehrschuetz-Sigl, E.; Hasmann, A.; Guebitz, G.; Gedanken, A. CuO–cotton nanocomposite: Formation, morphology, and antibacterial activity. Surf. Coat. Technol. 2009, 204, 54–57. [Google Scholar] [CrossRef]
- Emam, H.E.; Ahmed, H.B.; Bechtold, T. In-situ deposition of Cu2O micro-needles for biologically active textiles and their release properties. Carbohydr. Polym. 2017, 165, 255–265. [Google Scholar] [CrossRef]
- Bajpai, S.K.; Bajpai, M.; Sharma, L. Copper nanoparticles loaded alginate-impregnated cotton fabric with antibacterial prop-erties. J. Appl. Polym. Sci. 2012, 126, E319–E326. [Google Scholar] [CrossRef]
- Liu, J.; Zhang, R.; Ci, M.; Sui, S.; Zhu, P. Sodium alginate/cellulose nanocrystal fibers with enhanced mechanical strength prepared by wet spinning. J. Eng. Fibers Fabr. 2019, 14, 155892501984755. [Google Scholar] [CrossRef]
- Bakil, S.N.A.; Kamal, H.; Abdullah, H.Z.; Idris, M.I. Sodium alginate-zinc oxide nanocomposite film for antibacterial wound healing applications. Biointerface Res. Appl. Chem. 2020, 10, 6245–6252. [Google Scholar] [CrossRef]
- Klinkajon, W.; Supaphol, P. Novel copper (II) alginate hydrogels and their potential for use as anti-bacterial wound dressings. Biomed. Mater. 2014, 9, 045008. [Google Scholar] [CrossRef] [PubMed]
- Mikołajczyk, T.; Wołowska-Czapnik, D. Multifunctional alginate fibres with anti-bacterial properties. Fibres Text. East. Eur. 2005, 13, 35–40. Available online: https://www.semanticscholar.org/paper/Multifunctional-Alginate-Fibres-with-Anti-bacterial-Miko%C5%82ajczyk-Wo%C5%82owska-Czapnik/ed7706448cb20d28995d259f6aa47b79bf3a0825 (accessed on 31 August 2023).
- Zare-Gachi, M.; Daemi, H.; Mohammadi, J.; Baei, P.; Bazgir, F.; Hosseini-Salekdeh, S.; Baharvand, H. Improving anti-hemolytic, antibacterial and wound healing properties of alginate fibrous wound dressings by exchanging counter-cation for infected full-thickness skin wounds. Mater. Sci. Eng. C Mater. Biol. Appl. 2020, 107, 110321. [Google Scholar] [CrossRef] [PubMed]
- Wu, Y.; Han, G.T.; Gong, Y.; Zhang, Y.M.; Xia, Y.Z.; Yue, C.Q.; Wu, D.W. Antibacterial property and mechanism of copper alginate fiber. Adv. Mater. Res. 2010, 152–153, 1351–1355. [Google Scholar] [CrossRef]
- Kim, J.O.; Choi, J.Y.; Park, J.K.; Kim, J.H.; Jin, S.G.; Chang, S.W.; Li, D.X.; Hwang, M.R.; Woo, J.S.; Kim, J.A.; et al. Development of clindamycin-loaded wound dressing with polyvinyl alcohol and sodium alginate. Biol. Pharm. Bull. 2008, 31, 2277–2282. [Google Scholar] [CrossRef] [PubMed]
- Kornblatt, A.P.; Nicoletti, V.G.; Travaglia, A. The neglected role of copper ions in wound healing. J. Inorg. Biochem. 2016, 161, 1–8. [Google Scholar] [CrossRef] [PubMed]
- Borkow, G.; Gabbay, J.; Dardik, R.; Eidelman, A.I.; Lavie, Y.; Grunfeld, Y.; Ikher, S.; Huszar, M.; Zatcoff, R.C.; Marikovsky, M. Molecular mechanisms of enhanced wound healing by copper oxide-impregnated dressings. Wound Repair. Regen. 2010, 18, 266–275. [Google Scholar] [CrossRef]
- Cucci, L.M.; Satriano, C.; Marzo, T.; La Mendola, D. Angiogenin and copper crossing in wound healing. Int. J. Mol. Sci. 2021, 22, 10704. [Google Scholar] [CrossRef]
- Tiwari, M.; Narayanan, K.; Thakar, M.B.; Jagani, H.V.; Rao, J.V. Biosynthesis and wound healing activity of copper nanoparticles. IET Nanobiotechnol. 2014, 8, 230–237. [Google Scholar] [CrossRef]
- Cangul, I.T.; Gul, N.Y.; Topal, A.; Yilmaz, R. Evaluation of the effects of topical tripeptide-copper complex and zinc oxide on open-wound healing in rabbits. Vet. Dermatol. 2006, 17, 417–423. [Google Scholar] [CrossRef] [PubMed]
- Alizadeh, S.; Seyedalipour, B.; Shafieyan, S.; Kheime, A.; Mohammadi, P.; Aghdami, N. Copper nanoparticles promote rapid wound healing in acute full thickness defect via acceleration of skin cell migration, proliferation, and neovascularization. Biochem. Biophys. Res. Commun. 2019, 517, 684–690. [Google Scholar] [CrossRef] [PubMed]
- Sen, C.K.; Khanna, S.; Venojarvi, M.; Trikha, P.; Ellison, E.C.; Hunt, T.K.; Roy, S. Copper-induced vascular endothelial growth factor expression and wound healing. Am. J. Physiol. Heart Circ. Physiol. 2002, 282, H1821–H1827. [Google Scholar] [CrossRef]
- Winter, W.E.; Flax, S.D.; Harris, N.S. Coagulation Testing in the Core Laboratory. Lab. Med. 2017, 48, 295–313. [Google Scholar] [CrossRef] [PubMed]
- Kudzin, M.H.; Giełdowska, M.; Mrozińska, Z.; Boguń, M. Poly(lactic acid)/Zinc/Alginate complex material: Preparation and antimicrobial properties. Antibiotics 2021, 10, 1327. [Google Scholar] [CrossRef] [PubMed]
- Kaputskii, V.E.; Komar, V.P.; Skornyakov, I.V. Infrared spectra and structure of cellulose phosphates. J. Appl. Spectrosc. 1988, 48, 176–179. [Google Scholar] [CrossRef]
- Lawrie, G.; Keen, I.; Drew, B.; Chandler-Temple, A.; Rintoul, L.; Fredericks, P.; Grøndahl, L. Interactions between alginate and chitosan biopolymers characterized using FTIR and XPS. Biomacromolecules 2007, 8, 2533–2541. [Google Scholar] [CrossRef]
- Leal, D.; Matsuhiro, B.; Rossi, M.; Caruso, F. FT-IR spectra of alginic acid block fractions in three species of brown seaweeds. Carbohydr. Res. 2008, 343, 308–316. [Google Scholar] [CrossRef] [PubMed]
- Lim, S.F.; Zheng, Y.M.; Zou, S.W.; Chen, J.P. Characterization of copper adsorption onto an alginate encapsulated magnetic sorbent by a combined FT-IR, XPS, and mathematical modeling study. Environ. Sci. Technol. 2008, 42, 2551–2556. [Google Scholar] [CrossRef]
- Cardenas-Jiron, G.; Leal, D.; Matsuhiro, B.; Osorio-Roman, I.O. Vibrational spectroscopy and density functional theory calculations of poly-D-mannuronate and heteropolymeric fractions from sodium alginate: Vibrational spectroscopy of poly-D-mannuronate and heteropolymeric fractions from sodium alginate. J. Raman Spectrosc. 2011, 42, 870–878. [Google Scholar] [CrossRef]
- Díaz-Visurraga, J.; Daza, C.; Pozo, C.; Becerra, A.; Von Plessing, C.; García, A. Study on antibacterial alginate-stabilized copper nanoparticles by FT-IR and 2D-IR correlation spectroscopy. Int. J. Nanomed. 2012, 7, 3597–3612. [Google Scholar] [CrossRef] [PubMed]
- Nastaj, J.A.; Przewłocka, A.; Rajkowska-Myśliwiec, M. Biosorption of Ni(II), Pb(II) and Zn(II) on calcium alginate beads: Equilibrium, kinetic and mechanism studies. Pol. J. Chem. Technol. 2016, 18, 81–87. [Google Scholar] [CrossRef]
- Fertah, M.; Belfkira, A.; Dahmane, E.M.; Taourirte, M.; Brouillette, F. Extraction and characterization of sodium alginate from Moroccan Laminaria digitata brown seaweed. Arab. J. Chem. 2017, 10, S3707–S3714. [Google Scholar] [CrossRef]
- Airaksinen, S. Role of Excipients in Moisture Sorption and Physical Stability of Solid Pharmaceutical Formulations; University of Helsinki: Helsinki, Finland, 2005; ISBN 952-10-2733-9 (print), ISBN 952-10-2734-7 (pdf). ISSN 1795-7079. [Google Scholar]
- Grada, A.; Mervis, J.; Falanga, V. Research techniques made simple: Animal models of wound healing. J. Investig. Dermatol. 2018, 138, 2095–2105. [Google Scholar] [CrossRef] [PubMed]
- Thommes, M.; Kaneko, K.; Neimark, A.V.; Olivier, J.P.; Rodriguez-Reinoso, F.; Rouquerol, J.; Sing, K.S.W. Physisorption of gases, with special reference to the evaluation of surface area and pore size distribution (IUPAC Technical Report). Pure Appl. Chem. 2015, 87, 1051–1069. [Google Scholar] [CrossRef]
- Qi, L.; Tang, X.; Wang, Z.; Peng, X. Pore characterization of different types of coal from coal and gas outburst disaster sites using low temperature nitrogen adsorption approach. Int. J. Min. Sci. Technol. 2017, 27, 371–377. [Google Scholar] [CrossRef]
- EN ISO 9237:1998; Textiles—Determination of the Permeability of Fabrics to Air. International Organization for Standardization: Geneva, Switzerland, 1998.
- EN ISO 10319:2015; Geosynthetics—Wide-Width Tensile Test. International Organization for Standardization: Geneva, Switzerland, 2015.
- EN ISO 20645:2006; Textile Fabrics—Determination of Antibacterial Activity—Agar Diffusion Plate Test. International Organization for Standardization: Geneva, Switzerland, 2006.
- PN-EN 14119: 2005 Point 10.5 (B2); Testing of Textiles—Evaluation of the Action of Microfungi—Visual Method. British Standards Institution: London, UK, 2005.
- Grace, M.; Chand, N.; Bajpai, S.K. Copper alginate-cotton cellulose (CACC) fibers with excellent antibacterial properties. J. Eng. Fibers Fabr. 2009, 4, 24–35. [Google Scholar] [CrossRef]
- Mutch, N.J.; Waters, E.K.; Morrissey, J.H. Immobilized transition metals stimulate contact activation and drive factor XII-mediated coagulation. J. Thromb. Haemost. 2012, 10, 2108–2115. [Google Scholar] [CrossRef]
- Janisse, S.E.; Sharma, V.A.; Caceres, A.; Medici, V.; Heffern, M.C. Systematic evaluation of Copper(II)-loaded immobilized metal affinity chromatography for selective enrichment of copper-binding species in human serum and plasma. Metallomics 2022, 14, mfac059. [Google Scholar] [CrossRef]











| Sample Assignments/Name | Mixture Components of Film-Forming Material (%) | |||
|---|---|---|---|---|
| Sodium Alginate Solution | Copper(II) Chloride Solutions | |||
| 0.5% | 5% | 5% | 10% | |
| COT | − | − | − | − |
| COT-ALG(−)Na(+)-1 (a) | + | − | − | − |
| COT-ALG(−)Na(+)-2 (a) | − | + | − | − |
| COT-ALG(−)Cu(2+)-1 | + | − | + | − |
| COT-ALG(−)Cu(2+)-2 | + | − | − | + |
| COT-Cu(2+)-1 | − | − | + | − |
| COT-Cu(2+)-2 | − | − | − | + |
| Lit: Cellulose | Lit: ALG(−)Na(+) | Sample: COT | Sample: COT-ALG(−)Cu(2+) | ||||
|---|---|---|---|---|---|---|---|
| (ν/cm−1) | Assign./(Ref.) [57] | Lit. Bands ν (cm−1) [58,59,60,61,62] | Assign./(Ref.) [58] | ν (cm−1) | Int./(a) | ν (cm−1) | Int./(a) |
| 3300 | νs O-H | 3350 ± 350 | νs O-H | 3400 | 0.04/(b) | 3292 | 0.11 |
| 2893 | νs C-H | 2926 ± 1 | νs C-H | 2887 | 0.05 | 2900 | 0.09 |
| 1650 | νas COO− | ||||||
| 1614 | νas COO− | 1590 | 0.13 | ||||
| 1429 | γ O-H | 1417 | δ C–H, νs COO− | 1428 | 0.02 | 1417 | 0.12 |
| 1370 | γ CH2 | 1308 | 0.03 | 1305 | 0.12 | ||
| 1120 | νas C-O-C | 1301 (ms) | δ C–H | 1150 | 0.03 | 1150 | 0.1 |
| 1096 (s) | ν C–O, ν C–C, δ C–C–O | 1094 | 0.15 | ||||
| 1060 | νs C-C-O | 1124 (s) | ν C–O, ν C–C, δ C–C–C, νas C–O–C/(c) | ||||
| 1000 | ν C-C | 1034 (vs) | νas C–O–C/(c), ν C–O/(c), ν C–C | 1000 | 0.15 | 1007 | 0.23 |
| 893 | ν C1 | 892 | 0.07 | ||||
| 776 (w) | rb, δ C–C–H, δ C–C–O | ||||||
| 703(ms) | rb | ||||||
| δω O–H | |||||||
| 670 | ω O–H | 826 (ms) | δ C–O–C/(c), δ C–C–C, δ C–C–O/(c) δ C–C–H, δω O–H | 684 | 0.06 | 673 | 0.19 |
| Sample | Cu Concentration | Ultimate Forms of Samples Abbreviations | ||
|---|---|---|---|---|
| (g/kg) | % (g/100 g) | Ml (mol/kg) | ||
| COT | 0.002 | 0.0002 | 0.00003 | |
| COT-ALG(−)Na(+)-1 | 0.002 | 0.0002 | 0.00003 | COT-ALG(−)Na(+)(1%) |
| COT-ALG(−)Na(+)-2 | 0.002 | 0.0002 | 0.00003 | COT-ALG(−)Na(+)(9.7%) |
| COT-Cu(2+)-1 | 10.06 | 1.01 | 0.16 | COT-Cu(2+)(0.16) |
| COT-Cu(2+)-2 | 19.19 | 1.92 | 0.30 | COT-Cu(2+)(0.30) |
| COT-ALG(−)Cu(2+)-(1) | 9.35 | 0.935 | 0.147 | COT-ALG(−)Cu(2+)(0.15) |
| COT-ALG(−)Cu(2+)-(2) | 17.51 | 1.75 | 0.276 | COT-Alg(−)Cu(2+)(0.28) |
| Sample | Analysis | Quantitative Content of Elements of Samples (wt.%) | |||
|---|---|---|---|---|---|
| C | H | O | Cu | ||
| COT | SCLA | 35 | 9 | 56 | - |
| BCEA | 44.4 | 6.22 | |||
| CEC (a) | (44.4) | (6.17) | (49.4) | ||
| ALG(−)Na(+) × 2H2O | CEC (a) | (30.8) | (4.70) | (54.7) | |
| ALG(−)Na(+) × nH2O [66] | BCEA | 29. | 4.5 | ||
| COT-ALG(−)Cu(2+)(0.15) (c) | SCLA | 33 | 9 | 54 | 4 |
| BCEA | 0.94 (b) | ||||
| COT-ALG(−)Cu(2+)(0.28) (c) | SCLA | 28 | 9 | 50 | 13 |
| BCEA | 1.75 (b) | ||||
| Sample Name | Specific Surface Area (m2/g) | Total Pore Volume (cm3/g) |
|---|---|---|
| COT | 0.7359 | 7.408 × 10−3 |
| COT-ALG(−)Na(+)(1%) | 0.6191 | 3.095 × 10−3 |
| COT-ALG(−)Na(+)(9.7%) | 0.5577 | 2.840 × 10−3 |
| COT-ALG(−)Cu(2+)(0.15) | 0.6042 | 3.033 × 10−3 |
| COT-ALG(−)Cu(2+)(0.28) | 0.5931 | 2.998 × 10−3 |
| Parameter | COT | COT-ALG(−) Na(+)(1%) | COT-ALG(−) Na(+)(9.7%) | COT-ALG(−)Cu(2+)(0.15) | COT-ALG(−)Cu(2+)(0.28) |
|---|---|---|---|---|---|
| Average air permeability (mm/s) | 810 ± 7 | 278 ± 35 | 39.3 ± 3.8 | 283 ± 41 | 286 ± 35 |
| Parameter | COT | COT-ALG(−) Na(+)(1%) | COT-ALG(−) Na(+)(9.7%) | COT-ALG(−) Cu(2+)(0.15) | COT-Alg(−) Cu(2+)(0.28) | |
|---|---|---|---|---|---|---|
| Tensile strength (N) | (a) | 490 ± 10 | 510 ± 30 | 580 ± 10 | 513 ± 25 | 515 ± 20 |
| (b) | 380 ± 10 | 370 ± 70 | 410 ± 20 | 375 ± 50 | 380 ± 60 | |
| Relative elongationat maximum load (%) | (a) | 7.6 ± 1.6 | 11.0 ± 1.5 | 10.0 ± 1.5 | 11.0 ± 1.6 | 11.0 ± 1.5 |
| (b) | 28.0 ± 2.0 | 34.5 ± 3.5 | 29.5 ± 3.0 | 35.1 ± 4.0 | 33.4 ± 4.3 | |
| Sample Name | Average Inhibition Zone (mm) | ||
|---|---|---|---|
| E. coli | S. aureus | P. aeruginosa | |
| COT | 0 | 0 | 0 |
| COT-ALG(−)Na(+)(1%) | 0 | 0 | 0 |
| COT-ALG(−)Na(+)(9.7%) | 0 | 0 | 0 |
| COT-Cu(2+)(0.16) | 2 | 2 | 2 |
| COT-Cu(2+)(0.30) | 3 | 4 | 4 |
| COT-ALG(−)Cu(2+)(0.15) | 3 | 2 | 2 |
| COT-ALG(−)Cu(2+)(0.28) | 5 | 4 | 3 |
| Sample Name | Average Inhibition Zone (mm) | |
|---|---|---|
| Ch. globosum | C. albicans | |
| COT | 0 | 0 |
| COT-ALG(−)Na(+)(1%) | 0 | 0 |
| COT-ALG(−)Na(+)(9.7%) | 0 | 0 |
| COT-Cu(2+)(0.16) | no growth | no growth |
| COT-Cu(2+)(0.30) | no growth | no growth |
| COT-ALG(−)Cu(2+)(0.15) | no growth | no growth |
| COT-ALG(−)Cu(2+)(0.28) | no growth | no growth |
Disclaimer/Publisher’s Note: The statements, opinions and data contained in all publications are solely those of the individual author(s) and contributor(s) and not of MDPI and/or the editor(s). MDPI and/or the editor(s) disclaim responsibility for any injury to people or property resulting from any ideas, methods, instructions or products referred to in the content. |
© 2023 by the authors. Licensee MDPI, Basel, Switzerland. This article is an open access article distributed under the terms and conditions of the Creative Commons Attribution (CC BY) license (https://creativecommons.org/licenses/by/4.0/).
Share and Cite
Mrozińska, Z.; Ponczek, M.; Kaczmarek, A.; Boguń, M.; Sulak, E.; Kudzin, M.H. Blood Coagulation Activities of Cotton–Alginate–Copper Composites. Mar. Drugs 2023, 21, 625. https://doi.org/10.3390/md21120625
Mrozińska Z, Ponczek M, Kaczmarek A, Boguń M, Sulak E, Kudzin MH. Blood Coagulation Activities of Cotton–Alginate–Copper Composites. Marine Drugs. 2023; 21(12):625. https://doi.org/10.3390/md21120625
Chicago/Turabian StyleMrozińska, Zdzisława, Michał Ponczek, Anna Kaczmarek, Maciej Boguń, Edyta Sulak, and Marcin H. Kudzin. 2023. "Blood Coagulation Activities of Cotton–Alginate–Copper Composites" Marine Drugs 21, no. 12: 625. https://doi.org/10.3390/md21120625
APA StyleMrozińska, Z., Ponczek, M., Kaczmarek, A., Boguń, M., Sulak, E., & Kudzin, M. H. (2023). Blood Coagulation Activities of Cotton–Alginate–Copper Composites. Marine Drugs, 21(12), 625. https://doi.org/10.3390/md21120625

