New Carboxamides and a New Polyketide from the Sponge-Derived Fungus Arthrinium sp. SCSIO 41421
Abstract
:1. Introduction
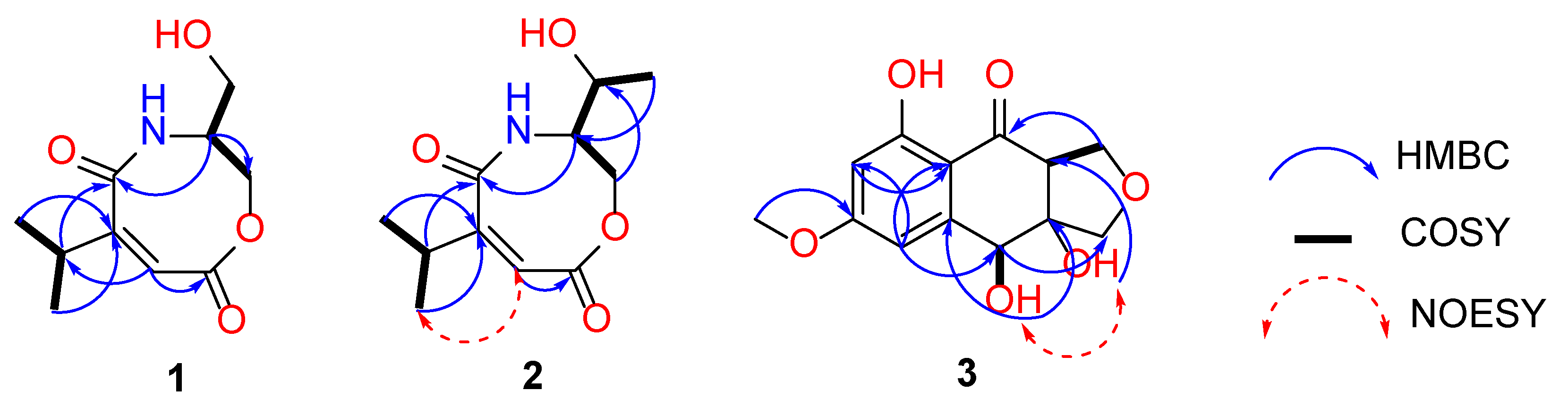
2. Results and Discussion
3. Materials and Methods
3.1. General Experimental Procedures
3.2. Fungal Strain
3.3. Fermentation, Extraction and Isolation
3.4. Measurement of AChE Inhibition Activity
3.5. Antibacterial Activity Assay
3.6. Molecular Docking
3.7. NMR Computational Methods
3.8. ECD Computational Methods
4. Conclusions
Supplementary Materials
Author Contributions
Funding
Institutional Review Board Statement
Informed Consent Statement
Data Availability Statement
Acknowledgments
Conflicts of Interest
References
- Zhang, B.; Zhang, T.; Xu, J.; Lu, J.; Qiu, P.; Wang, T.; Ding, L. Marine sponge-associated fungi as potential novel bioactive natural product sources for drug discovery. Mini Rev. Med. Chem. 2020, 20, 1966–2010. [Google Scholar] [CrossRef] [PubMed]
- Jansen, N.; Ohlendorf, B.; Erhard, A.; Bruhn, T.; Bringmann, G.; Imhoff, J.F.; Helicusin, E. isochromophilone X and isochromophilone XI: New chloroazaphilones produced by the fungus Bartalinia robillardoides strain LF550. Mar. Drugs 2013, 11, 800–816. [Google Scholar] [CrossRef] [PubMed] [Green Version]
- Kong, F.; Zhao, C.; Hao, J.; Wang, C.; Wang, W.; Huang, X.; Zhu, W. New α-glucosidase inhibitors from a marine sponge-derived fungus, Aspergillus sp. OUCMDZ-1583. RSC Adv. 2015, 5, 68852–68863. [Google Scholar] [CrossRef]
- Zhao, Y.; Liu, D.; Proksch, P.; Yu, S.; Lin, W. Isocoumarin derivatives from the sponge-associated fungus Peyronellaea glomerata with antioxidant activities. Chem. Biodivers. 2016, 13, 1186–1193. [Google Scholar] [CrossRef]
- Kuppers, L.; Ebrahim, W.; El-Neketi, M.; Ozkaya, F.C.; Mandi, A.; Kurtan, T.; Orfali, R.S.; Muller, W.E.G.; Hartmann, R.; Lin, W.; et al. Lactones from the sponge-derived fungus Talaromyces rugulosus. Mar. Drugs 2017, 15, 359. [Google Scholar] [CrossRef] [Green Version]
- Guo, T.T.; Song, M.M.; Han, W.R.; Zhu, J.H.; Liu, Q.C.; Wang, J.F. New N-methyl-4-quinolone alkaloid and citrinin dimer derivatives from the sponge-derived fungus Penicillium sp. SCSIO 41303. Phytochem. Lett. 2021, 46, 29–35. [Google Scholar] [CrossRef]
- Liu, Y.; Ding, L.; He, J.; Zhang, Z.; Deng, Y.; He, S.; Yan, X. A new antibacterial chromone from a marine sponge-associated fungus Aspergillus sp. LS57. Fitoterapia 2021, 154, 105004. [Google Scholar] [CrossRef]
- Elissawy, M.; Ebada, S.S.; Ashour, M.L.; Özkaya, F.C.; Ebrahim, W.; Singab, A.B.; Proksch, P. Spiroarthrinols A and B, two novel meroterpenoids isolated from the sponge-derived fungus Arthrinium sp. Phytochem. Lett. 2017, 20, 246–251. [Google Scholar] [CrossRef]
- Shu, Y.; Wang, J.P.; Li, B.X.; Gan, J.L.; Ding, H.; Liu, R.; Cai, L.; Ding, Z.T. Bioactive cytochalasans from the fungus Arthrinium arundinis DJ-13. Phytochemistry 2022, 194, 113009. [Google Scholar] [CrossRef]
- Sharma, R.; Kulkarni, G.; Sonawane, M.S.; Shouche, Y.S. A new endophytic species of Arthrinium (Apiosporaceae) from Jatropha podagrica. Mycoscience 2014, 55, 118–123. [Google Scholar] [CrossRef]
- Ebada, S.S.; Schulz, B.; Wray, V.; Totzke, F.; Kubbutat, M.H.; Muller, W.E.; Hamacher, A.; Kassack, M.U.; Lin, W.; Proksch, P. Arthrinins A-D: Novel diterpenoids and further constituents from the sponge derived fungus Arthrinium sp. Bioorg. Med. Chem. 2011, 19, 4644–4651. [Google Scholar] [CrossRef] [PubMed]
- Noriler, S.A.; Savi, D.C.; Ponomareva, L.V.; Rodrigues, R.; Rohr, J.; Thorson, J.S.; Glienke, C.; Shaaban, K.A. Vochysiamides A and B: Two new bioactive carboxamides produced by the new species Diaporthe vochysiae. Fitoterapia 2019, 138, 104273. [Google Scholar] [CrossRef] [PubMed]
- Grimblat, N.; Zanardi, M.M.; Sarotti, A.M. Beyond DP4: An improved probability for the stereochemical assignment of isomeric compounds using quantum chemical calculations of NMR shifts. J. Org. Chem. 2015, 80, 12526. [Google Scholar] [CrossRef]
- Whyte, A.C.; Gloer, K.B.; Gloer, J.B.; Korster, B.; Malloch, D. New antifungal metabolites from the coprophilous fungus Cercophora sordarioides. Can. J. Chem. 1997, 75, 768–772. [Google Scholar] [CrossRef]
- Wang, C.F.; Guan, F.F.; Du, S.Y.; Wei, M.Y.; Wang, C.Y.; Shao, C.L. Two polyhydroxy xanthones and their antiviral activity from gorgonian coral-derived fungus Arthrinium sp. Chin. J. Mar. Drugs 2016, 35, 31–35. [Google Scholar]
- Liu, S.Z.; Zhao, W.M. Chemical constituents of medicinal fungus Shiraia bambusicola. Chin. Tradit. Herbal Drugs 2010, 41, 1239–1242. [Google Scholar]
- Kongprapan, T.; Xu, X.; Rukachaisirikul, V.; Phongpaichit, S.; Sakayaroj, J.; Chen, J.; Shen, X. Cytosporone derivatives from the endophytic fungus Phomopsis sp. PSU-H188. Phytochem. Lett. 2017, 22, 219–223. [Google Scholar] [CrossRef]
- Yang, H.; Wang, J.; Mei, S.X.; Sun, H.D. A new peroxide compound from Clerodendrum bungee. Acta Bot. Yunnanica 2000, 22, 234–236. [Google Scholar]
- Suzuki, T.; Yasuhara, N.; Ueda, T. Reaction of acetaldehyde with 5-aminolevulinic acid via dihydropyrazine derivative. Chem. Pharm. Bul. 2015, 63, 126–129. [Google Scholar] [CrossRef] [Green Version]
- Shi, H.; Yu, S.; Liu, D.; Ofwegen, L.V.; Proksch, P.; Lin, W. Sinularones A-I, new cyclopentenone and butenolide derivatives from a marine soft coral Sinularia sp. and their antifouling activity. Mar. Drugs 2012, 10, 1331–1344. [Google Scholar] [CrossRef] [Green Version]
- Wang, Y.Y.; Luo, D.Q.; Shuai, B.Z.; Yang, X.L. Secondary metabolites of endophytic fungus Pestalotiopsis Zonata from guava leaves. Chin. Tradit. Patent Med. 2011, 33, 857–859. [Google Scholar]
- Chen, X.Y.; Zhong, W.M.; Zeng, Q.; Wang, F.Z. A preliminary study on the chemical diversity of the deep-sea derived fungus Acrostalagmus luteoalbus SCSIO F457 based on OSMAC strategy. Chin. J. Mar. Drugs 2020, 39, 7–15. [Google Scholar]
- Li, H.X.; Deng, T.Z.; Chen, Y.; Feng, H.J.; Yang, G.Z. Isolation and identification of phenolic constituents from Juncus effusus. Acta Pharm. Aceutica Sin. 2007, 42, 174–178. [Google Scholar]
- Li, X.J.; Gao, J.M.; Chen, H.; Zhang, A.L.; Tang, M. Toxins from a symbiotic fungus, Leptographium qinlingensis associated with Dendroctonus armandi and their in vitro toxicities to Pinus armandi seedlings. Eur. J. Plant. Pathol. 2012, 134, 239–247. [Google Scholar] [CrossRef]
- Li, J.; Kadota, S.; Kawata, Y.; Hattori, M.; Xu, G.J.; Namba, T. Constituents of the roots of Cynanchum bungei DECNE. Isolation and structures of four new glucosides, Bungeiside-A, -B, -C, and -D. Chem. Pharm. Bull. 1992, 40, 3133–3137. [Google Scholar] [CrossRef] [Green Version]
- Guan, Y.Q.; Cao, M.M.; Liu, Y.; Song, X.M.; Luo, D.Q. Effect of secondary metabolites of endophytic fungus Pestalotiopsis adusta on HeLa cells. Chin. Tradit. Patent Med. 2014, 36, 325–329. [Google Scholar]
- Firdous, S.; Khan, K.; Zikr-Ur-Rehman, S.; Ail, Z.; Soomro, S.; Ahmad, V.U.; Rasheed, M.; Mesaik, M.A.; Faizi, S. Isolation of phytochemicals from Cordia rothii (Boraginaceae) and evaluation of their immunomodulatory properties. Nat. Prod. Rep. 2014, 8, 51–55. [Google Scholar]
- Nechepurenko, I.V.; Polovinka, M.P.; Komarova, N.I.; Korchagina, D.V.; Salakhutdinov, N.F.; Nechepurenko, S.B. Low molecular weight phenolic compounds from Hedysarum theinum roots. Chem. Nat. Compd. 2008, 44, 31–34. [Google Scholar] [CrossRef]
- Li, Y.J.; He, X.; Liu, Z.B.; Huang, Y.; Lan, Y.Y.; Wang, A.M.; Wang, Y.L. Chemical constituents of flowers of Polygonum orientale. Lishizhen Med. Mater. Med. Res. 2010, 34, 2613–2615. [Google Scholar]
- Dai, Y.; Li, K.L.; She, J.L.; Zeng, Y.B.; Wang, H.; Liao, S.R.; Lin, X.P.; Yang, B.; Wang, J.F.; Tao, H.M.; et al. Lipopeptide epimers and a phthalide glycerol ether with AChE inhibitory activities from the marine-derived fungus Cochliobolus Lunatus SCSIO41401. Mar. Drugs 2020, 18, 547. [Google Scholar] [CrossRef]
- Cai, J.; Chen, C.M.; Tan, Y.H.; Chen, W.H.; Luo, X.W.; Luo, L.X.; Yang, B.; Liu, Y.H.; Zhou, X.F. Bioactive polyketide and diketopiperazine derivatives from the mangrove-sediment-derived fungus Aspergillus sp. SCSIO41407. Molecules 2021, 26, 4851. [Google Scholar] [CrossRef] [PubMed]
- Cheung, J.; Rudolph, M.J.; Burshteyn, F.; Cassidy, M.S.; Gary, E.N.; Love, J.; Franklin, M.C.; Height, J.J. Structures of human acetylcholinesterase in complex with pharmacologically important ligands. J. Med. Chem. 2012, 55, 10282–10286. [Google Scholar] [CrossRef] [PubMed]
- Lu, T. Molclus Program, Version 1.9.9.9. Available online: http://www.keinsci.com/research/molclus.html (accessed on 1 March 2022).
- Lu, T.; Chen, F.W. Multiwfn: A Multifunctional Wavefunction Analyzer. J. Comput. Chem. 2012, 33, 580–592. [Google Scholar] [CrossRef] [PubMed]




| Pos | 1 (in DMSO-d6) a | 2 (in CDCl3) b | 3 (in DMSO-d6) b | |||
|---|---|---|---|---|---|---|
| δC, Type | δH (J in Hz) | δC, Type | δH (J in Hz) | δC, Type | δH (J in Hz) | |
| 1 | 70.7, CH2 | 4.20 (dd, 8.0, 1.5) 4.12 (dd, 8.0, 5.8) | ||||
| 2 | 171.4, C | 172.4, C | ||||
| 3 | 124.9, CH | 6.53 (d, 1.6) | 125.0, CH | 6.30 (d, 1.6) | 74.8, CH2 | 3.68 (d, 9.7) 3.54 (d, 9.7) |
| 3a | 147.9, C | |||||
| 4 | 154.4, C | 156.2, C | 71.0, CH | 4.95 (s) | ||
| 4a | 81.0, C | |||||
| 5 | 171.2, C | 172.6, C | 105.0, CH | 6.73 (dd, 2.5, 1.3) | ||
| 6 | 166.8, C | |||||
| 7 | 56.0, CH | 3.99 (tt, 8.7, 5.8) | 58.7, CH | 4.07 (m) | 99.2, CH | 6.41 (d, 2.5) |
| 8 | 58.3, CH2 | 3.56 (dt, 11.3, 5.8) | 62.5, CH2 | 3.97 (dd, 12.1, 6.2) 3.91 (dd, 12.1, 4.3) | 164.4, C | |
| 8a | 108.9, C | |||||
| 9 | 58.3, CH2 | 3.63 (m) | 67.3, CH | 4.24 (m) | 201.5, C | |
| 9a | 57.3, CH | 3.04 (dd, 5.8, 1.5) | ||||
| 10 | 25.1, CH | 2.71 (m) | 20.9, CH3 | 1.19 (d, 6.4) | 55.8, CH3 | 3.84 (s) |
| 11 | 20.6, CH3 | 1.15 (d, 6.8) | 26.1, CH3 | 2.85 (m) | ||
| 12 | 20.6, CH3 | 1.15 (d, 6.8) | 20.9, CH3 | 1.24 (d, 6.9) | ||
| 13 | 20.9, CH3 | 1.24 (d, 6.9) | ||||
| OH | 4.79 (t, 5.8) | 12.77 (s, OH-8) | ||||
| OH | 6.13 (s, OH-4) | |||||
| OH | 5.61 (s, OH-3a) | |||||
| Compounds | Inhibition Rates of AchE | Docking Score | Glide Gscore |
|---|---|---|---|
| 2 | 79.38% | −7.126 | −7.126 |
| 3 | 84.22% | −7.041 | −7.046 |
| 4 | 86.00% | −9.383 | −9.518 |
| 5 | 78.36% | −7.097 | −7.097 |
| 6 | 81.52% | −6.729 | −6.800 |
| 7 | 71.34% | −5.645 | −5.645 |
| 8 | 81.59% | −6.880 | −6.880 |
| 9 | 75.89% | −6.574 | −6.577 |
| 10 | 65.78% | −6.260 | −6.260 |
| 11 | 80.53% | −5.624 | −5.624 |
| 12 | 68.91% | −6.492 | −6.581 |
| 15 | 81.32% | −6.398 | −6.398 |
| 17 | 58.37% | −6.213 | −6.213 |
| Others | <50% | / | / |
Publisher’s Note: MDPI stays neutral with regard to jurisdictional claims in published maps and institutional affiliations. |
© 2022 by the authors. Licensee MDPI, Basel, Switzerland. This article is an open access article distributed under the terms and conditions of the Creative Commons Attribution (CC BY) license (https://creativecommons.org/licenses/by/4.0/).
Share and Cite
She, J.; Chen, Y.; Ye, Y.; Lin, X.; Yang, B.; Xiao, J.; Liu, Y.; Zhou, X. New Carboxamides and a New Polyketide from the Sponge-Derived Fungus Arthrinium sp. SCSIO 41421. Mar. Drugs 2022, 20, 475. https://doi.org/10.3390/md20080475
She J, Chen Y, Ye Y, Lin X, Yang B, Xiao J, Liu Y, Zhou X. New Carboxamides and a New Polyketide from the Sponge-Derived Fungus Arthrinium sp. SCSIO 41421. Marine Drugs. 2022; 20(8):475. https://doi.org/10.3390/md20080475
Chicago/Turabian StyleShe, Jianglian, Yi Chen, Yuxiu Ye, Xiuping Lin, Bin Yang, Jiao Xiao, Yonghong Liu, and Xuefeng Zhou. 2022. "New Carboxamides and a New Polyketide from the Sponge-Derived Fungus Arthrinium sp. SCSIO 41421" Marine Drugs 20, no. 8: 475. https://doi.org/10.3390/md20080475
APA StyleShe, J., Chen, Y., Ye, Y., Lin, X., Yang, B., Xiao, J., Liu, Y., & Zhou, X. (2022). New Carboxamides and a New Polyketide from the Sponge-Derived Fungus Arthrinium sp. SCSIO 41421. Marine Drugs, 20(8), 475. https://doi.org/10.3390/md20080475

