Isolation and Structure Elucidation of New Cytotoxic Macrolides Halosmysins B and C from the Fungus Halosphaeriaceae sp. Associated with a Marine Alga
Abstract
1. Introduction
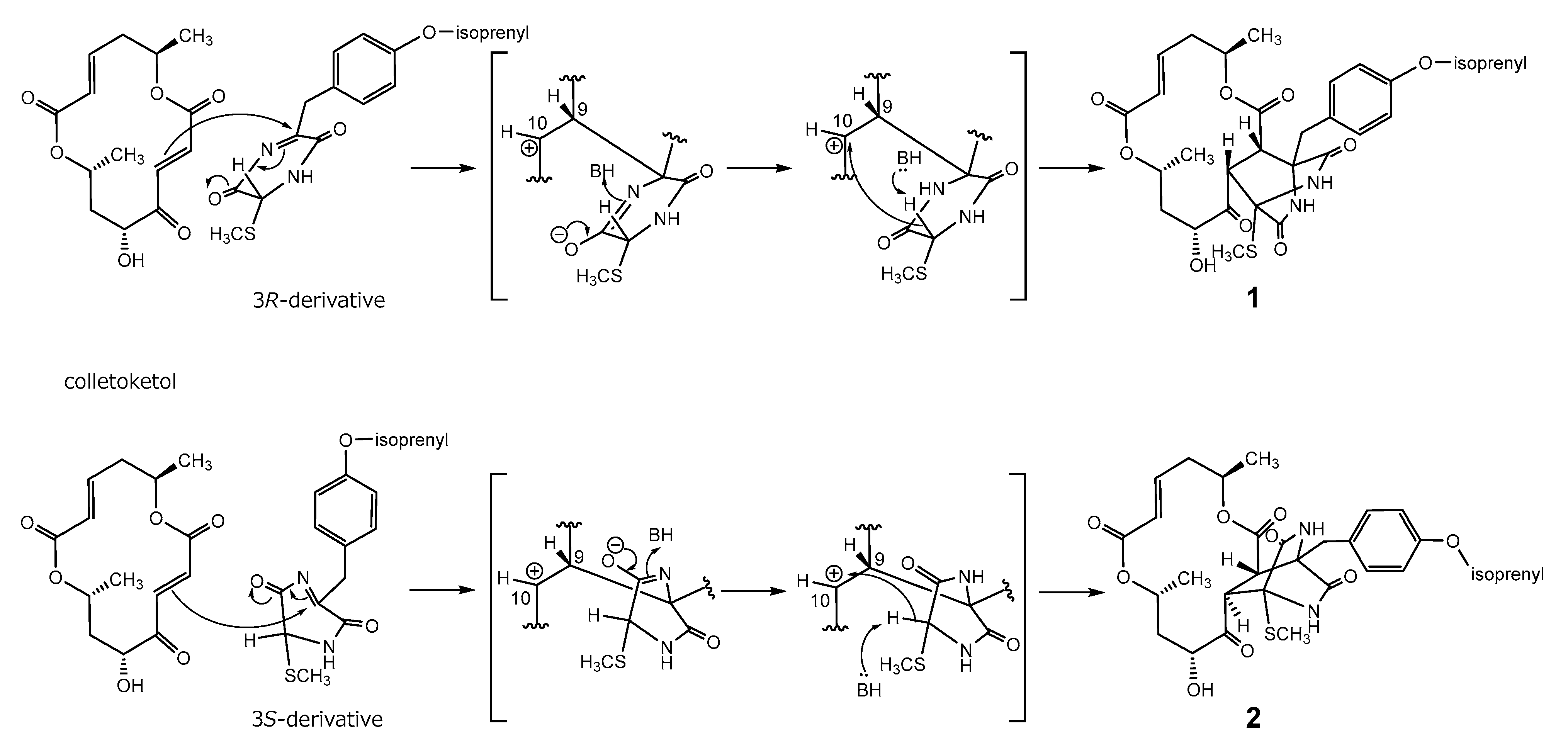
2. Results and Discussion
3. Materials and Methods
3.1. General Experimental Procedures
3.2. Fungal Material
3.3. Culturing and Isolation of Metabolites
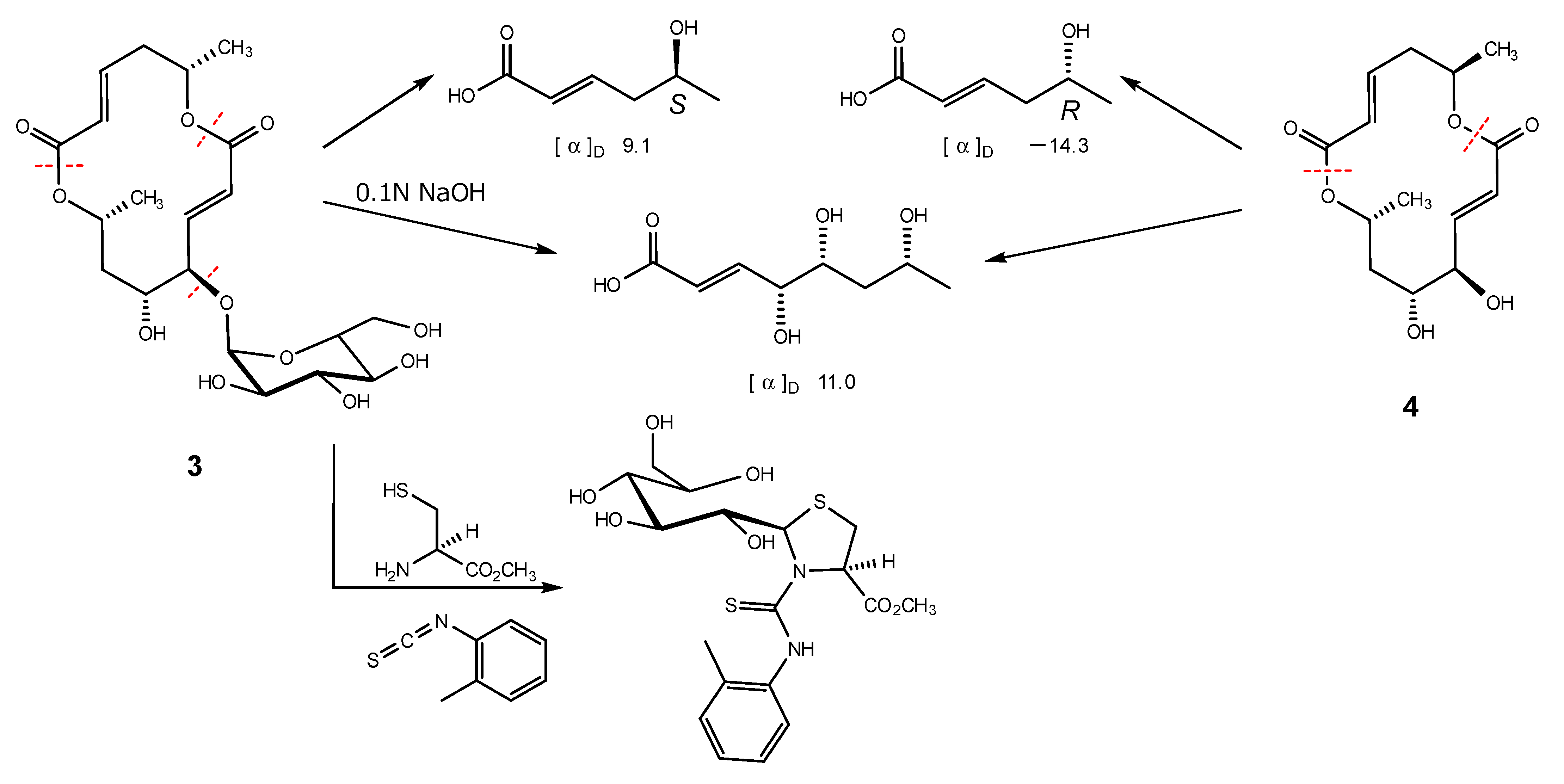
3.4. Alkaline Hydrolysis of 2
3.5. Alkaline Hydrolysis of 3
3.6. Sugar Analysis of 3
3.7. Assay for Cytotoxicity
3.8. The Origin of the Cell Lines
4. Conclusions
Supplementary Materials
Author Contributions
Funding
Institutional Review Board Statement
Informed Consent Statement
Conflicts of Interest
References
- Nicoletti, R.; Vinale, F. Bioactive Compounds from Marine-Derived Aspergillus, Penicillium, Talaromyces and Trichoderma Species. Mar. Drugs 2018, 16, 408. [Google Scholar] [CrossRef] [PubMed]
- Imhoff, J.F. Natural Products from Marine Fungi—Still an Underrepresented Resource. Mar. Drugs 2016, 14, 19. [Google Scholar] [CrossRef] [PubMed]
- Blunt, J.W.; Copp, B.R.; Keyzers, R.A.; Munro, M.H.G.; Prinsep, M.R. Marine natural products. Nat. Prod. Rep. 2017, 34, 235–294. [Google Scholar] [CrossRef]
- Blunt, J.W.; Carroll, A.R.; Copp, B.R.; Davis, R.A.; Keyzers, R.A.; Prinsep, M.R. Marine natural 369 products. Nat. Prod. Rep. 2018, 35, 8–53. [Google Scholar] [CrossRef]
- Yamada, T.; Tanaka, A.; Nehira, T.; Nishii, T.; Kikuchi, T. Altercrasins A–E, decalin derivatives, from a sea-urchin-derived Alternaria sp.: Isolation and structural analysis including stereochemistry. Mar. Drugs 2019, 17, 218. [Google Scholar] [CrossRef] [PubMed]
- Yamada, T.; Kogure, H.; Kataoka, M.; Kikuchi, T.; Hirano, T. Halosmysin A, a novel 14-membered macrodiolide isolated from the marine-algae-derived fungus Halosphaeriaceae sp. Mar. Drugs 2020, 18, 320. [Google Scholar] [CrossRef] [PubMed]
- MacMillan, J.; Simpson, T.J. Fungal Products. Part, V. The absolute stereochemistry of colletodiol and the structures of related metabolites of Colletotrichum capsici. J. Chem. Soc. Perkin Trans 1 1973, 1487–1493. [Google Scholar] [CrossRef]
- Ronald, R.C.; Gurusiddaiah, S. Grahamimycin A1: A novel dilactone antibiotic from Cytospora. Tetrahedron Lett. 1980, 21, 681–684. [Google Scholar] [CrossRef]
- Gurusiddaiah, S.; Ronald, R.C. Grahamimycins: Antibiotics from Cytospora sp. Ehrenb. W.F.P.L. 13A. Antimicrob. Agents Chemother. 1981, 19, 681–684. [Google Scholar] [CrossRef]
- Hanson, K.; O’neill, J.A.; Simpson, T.J.; Willis, C.L. Bartanol and bartallol, novel macrodiolides from Cytospora sp. ATCC 20502. J. Chem. Soc. Perkin Trans 1 1994, 17, 2493–2497. [Google Scholar] [CrossRef]
- Höller, U.; König, G.M.; Wright, A.D. A new tyrosine kinase inhibitor from a marine isolate of Ulocladium botrytis and new metabolites from the marine fungi Asteromyces cruciatus and Varicosporina ramulosa. Eur. J. Org. Chem. 1999, 11, 2949–2955. [Google Scholar] [CrossRef]
- Grabley, S.; Hammann, P.; Thiericke, R.; Wink, J. Secondary metabolites by Chemical screening. 21 Clonostachydiol, a novel anthelmintic macrolide from the fungus Clonostachys cylindrospora (strain FH-A 6607). J. Antibiot. 1992, 46, 343–345. [Google Scholar] [CrossRef] [PubMed]
- Lang, G.; Mitova, M.I.; Ellis, G.; van der Sar, S.; Phipps, R.K.; Blunt, J.W.; Cummings, N.J.; Cole, A.L.J.; Munro, M.H.G. Bioactivity profiling using HPLC/microtiter-plate analysis: Application to a New Zealand marine alga-derived fungus, Gliocladium sp. J. Nat. Prod. 2006, 69, 1007–1010. [Google Scholar] [CrossRef]
- Ojima, K.; Yangchum, A.; Laksanacharoen, P.; Tasanathai, K.; Tanakitpipattana, D.; Tokuyama, H.; Isaka, M. Cordybislactone, a stereoisomer of the 14-membered bislactoneclonostachydiol, from the hopper pathogenic fungus Cordyceps sp. BCC 49294: Revision of the absolute configuration of clonostachydiol. J. Antibiot. 2018, 71, 351–358. [Google Scholar] [CrossRef]
- Isaka, M.; Yangchum, A.; Auncharoen, P.; Srichomthong, K.; Srikitikulchai, P. Ring B aromatic norpimarane glucoside from a Xylaria sp. J. Nat. Prod. 2011, 74, 300–302. [Google Scholar] [CrossRef] [PubMed]
- Han, J.; Su, Y.; Xu, Y.; Huo, X.; She, X. Asymmetric total synthesis and revision of the absolute configuration of 4-Keto-clonostachydiol. J. Org. Chem. 2009, 74, 3930–3932. [Google Scholar] [CrossRef] [PubMed]
- Berg, A.; Notni, J.; Dorfelt, H.; Grafe, U. Acremonol and acremodiol, new fungal bislactones. J. Antibiot. 2002, 55, 660–662. [Google Scholar] [CrossRef][Green Version]
- Wang, T.T.; Wei, Y.J.; Ge, H.M.; Tan, R.X. Acaulide, an osteogenic macrodiolide from Acaulium sp. H-JQSF, an isopod-associated fungus. Org. Lett. 2018, 20, 1007–1010. [Google Scholar] [CrossRef]
- Chu, M.; Mierzwa, R.; Truumees, I.; Gentile, F.; Patel, M.; Gullo, V.; Chan, T.-M.; Puar, M.S. Two novel diketopiperazines isolated from the fungus Tolypocladium sp. Tetrahedron Lett. 1993, 34, 7537–7540. [Google Scholar] [CrossRef]
- Simpson, T.J.; Stevenson, G.I. Studies of polyketide chain-assembly processes: Origins of the hydrogen and oxygen atoms in colletodiol. J. Chem. Soc. Chem. Commun. 1985, 24, 1822–1824. [Google Scholar] [CrossRef]
- Salvatore, M.M.; Nicoletti, R.; DellaGreca, M.; Andolfi, A. Occurrence and properties of thiosilvatins. Mar. Drugs 2019, 17, 664. [Google Scholar] [CrossRef] [PubMed]
- Tanaka, T.; Nakashima, T.; Ueda, T.; Tomii, K.; Kouno, I. Facile discrimination od aldose enantiomers by reversed-phase HPLC. Chem. Pharm. Bull. 2007, 55, 899–901. [Google Scholar] [CrossRef] [PubMed]





| 1 | 2 | 3 | ||||||||||
|---|---|---|---|---|---|---|---|---|---|---|---|---|
| Position | δH a | δC | δH a | δC | δH a | δC | ||||||
| 2 | 165.6 | (s) | 166.2 | (s) | 166.9 | (s) | ||||||
| 3 | 5.64 | d (16.2) | 125.3 | (d) | 5.66 | d (16.4) | 124.6 | (d) | 5.78 | d (16.2) | 126.8 | (d) |
| 4 | 6.78 | ddd (16.2,10.2,6.0) | 143.5 | (d) | 6.83 | ddd (16.4,10.8,6.0) | 145.2 | (d) | 6.68 | ddd (16.2,12.0,4.2) | 146.0 | (d) |
| 5α | 2.48 | ddd (13.2,6.0,1.2) | 39.0 | (t) | 2.53 | ddd (13.2,6.0,1.8) | 40.0 | (t) | 2.27 | ddd (13.2, 12.0, 12.0) | 42.0 | (t) |
| 5β | 2.23 | ddd (13.2,13.2, 10.2) | 2.25 | ddd (13.2,12.6,10.8) | 2.58 | ddd (13.2,4.2,4.2) | ||||||
| 6 | 5.30 | dqd (13.2,6.0,1.2) | 69.9 | (d) | 5.31 | dqd (12.6,6.6,1.8) | 69.9 | (d) | 5.29 | dqd (12.0,6.0,4.2) | 70.1 | (d) |
| 8 | 168.9 | (s) | 169.0 | (s) | 167.8 | (s) | ||||||
| 9 | 3.38 | d (3.0) | 51.9 | (d) | 3.59 | d (3.6) | 52.6 | (d) | 6.08 | dd (15.6,0.6) | 125.2 | (d) |
| 10 | 4.57 | d (3.0) | 51.0 | (d) | 4.81 | d (3.6) | 52.4 | (d) | 6.77 | dd (15.6,6.0) | 147.2 | (d) |
| 11 | 208.2 | (s) | 208.0 | (s) | 3.96 | ddd (9.0,6.0,0.6) | 83.8 | (d) | ||||
| 12 | 4.55 | d (7.8) | 75.6 | (d) | 4.56 | dd (9.0,8.4) | 75.1 | (d) | 3.76 | ddd (9.0,6.6,1.2) | 72.6 | (d) |
| 13α | 1.96 | ddd (14.4,7.8,3.0) | 37.4 | (t) | 1.93 | ddd (15.0,8.4,2.4) | 37.3 | (t) | 1.92 | dd (16.2,4.2) | 37.1 | (t) |
| 13β | 2.64 | ddd (14.4,12.0, 1.2) | 2.60 | ddd (15.0,11.4,1.2) | 1.48 | ddd (16.2,6.6,2.4) | ||||||
| 14 | 5.23 | dqd (12.0,6.0,3.0) | 65.5 | (d) | 5.25 | dqd (11.4,6.6,2.4) | 65.8 | (d) | 5.13 | qdd (6.6,4.2,2.4) | 69.7 | (d) |
| 15 | 1.44 | d (6.0) | 20.9 | (q) | 1.40 | d (6.6) | 20.5 | (q) | 1.36 | d (6.0) | 20.6 | (q) |
| 16 | 1.26 | d (6.0) | 20.2 | (q) | 1.27 | d (6.6) | 20.3 | (q) | 1.33 | d (6.6) | 18.4 | (q) |
| 12-OH | Not observed | 3.31 | 3.31 | Not observed | Not observed | |||||||
| 1′ | 5.73 | s | 5.84 | s | 5.00 | d (3.6) | 102.9 | (d) | ||||
| 2′ | 165.7 | (s) | 165.4 | (s) | 3.43 | dd (9.6,3.6) | 73.9 | (d) | ||||
| 3′ | 68.6 | (s) | 68.6 | (s) | 3.67 | dd (9.6,9.6) | 75.1 | (d) | ||||
| 4′ | 5.95 | s | 6.26 | s | 3.34 | dd (10.2,9.6) | 71.4 | (d) | ||||
| 5′ | 170.9 | (s) | 169.5 | (s) | 3.55 | dt (10.2,3.6) | 74.3 | (d) | ||||
| 6′ | 63.7 | (s) | 62.2 | (s) | 3.64 | d (3.6) | 62.1 | (t) | ||||
| 7′A | 2.83 | d (14.4) | 33.0 | (t) | 2.99 | d (14.4) | 34.2 | (t) | ||||
| 7′B | 3.88 | d (14.4) | 3.56 | d (14.4) | ||||||||
| 8′ | 125.5 | (s) | 125.0 | (s) | ||||||||
| 9′ | 6.83 | d (9.0) | 131.7 | (d) | 6.90 | d (8.4) | 131.6 | (d) | ||||
| 10′ | 7.10 | d (9.0) | 115.2 | (d) | 7.30 | d (8.4) | 115.6 | (d) | ||||
| 11′ | 158.5 | (s) | 158.7 | (s) | ||||||||
| 12′ | 4.47 | d (7.2) | 64.8 | (t) | 4.51 | d (6.0) | 64.8 | (t) | ||||
| 13′ | 5.47 | br t (7.2) | 119.5 | (d) | 5.50 | br t (6.0) | 119.5 | (d) | ||||
| 14′ | 138.4 | (s) | 138.5 | (s) | ||||||||
| 15′ | 1.79 | s | 25.8 | (q) | 1.81 | s | 25.8 | (q) | ||||
| 16′ | 1.74 | s | 18.2 | (q) | 1.76 | s | 18.2 | (q) | ||||
| S-CH3 | 2.25 | s | 13.0 | (q) | 2.34 | s | 12.4 | (q) | ||||
| Compounds | P388 | HL-60 | L1210 |
|---|---|---|---|
| IC50 (μM) a | IC50 (μM) a | IC50 (μM) a | |
| 1 | 5.6 ± 1.6 | 3.2 ± 1.1 | 13.6 ± 2.2 |
| 2 | 10.7 ± 2.2 | 8.2 ± 1.8 | 20.5 ± 3.6 |
| 3 | >300 | 61.6 ± 7.3 | 80.7 ± 7.7 |
| 5-fluorouracil b | 5.2 ± 2.8 | 3.8 ± 2.1 | 6.4 ± 2.9 |
Publisher’s Note: MDPI stays neutral with regard to jurisdictional claims in published maps and institutional affiliations. |
© 2022 by the authors. Licensee MDPI, Basel, Switzerland. This article is an open access article distributed under the terms and conditions of the Creative Commons Attribution (CC BY) license (https://creativecommons.org/licenses/by/4.0/).
Share and Cite
Yamada, T.; Yoshida, K.; Kikuchi, T.; Hirano, T. Isolation and Structure Elucidation of New Cytotoxic Macrolides Halosmysins B and C from the Fungus Halosphaeriaceae sp. Associated with a Marine Alga. Mar. Drugs 2022, 20, 226. https://doi.org/10.3390/md20040226
Yamada T, Yoshida K, Kikuchi T, Hirano T. Isolation and Structure Elucidation of New Cytotoxic Macrolides Halosmysins B and C from the Fungus Halosphaeriaceae sp. Associated with a Marine Alga. Marine Drugs. 2022; 20(4):226. https://doi.org/10.3390/md20040226
Chicago/Turabian StyleYamada, Takeshi, Kanoko Yoshida, Takashi Kikuchi, and Tomoya Hirano. 2022. "Isolation and Structure Elucidation of New Cytotoxic Macrolides Halosmysins B and C from the Fungus Halosphaeriaceae sp. Associated with a Marine Alga" Marine Drugs 20, no. 4: 226. https://doi.org/10.3390/md20040226
APA StyleYamada, T., Yoshida, K., Kikuchi, T., & Hirano, T. (2022). Isolation and Structure Elucidation of New Cytotoxic Macrolides Halosmysins B and C from the Fungus Halosphaeriaceae sp. Associated with a Marine Alga. Marine Drugs, 20(4), 226. https://doi.org/10.3390/md20040226
