Next Article in Journal
Biomaterials and Bioactive Natural Products from Marine Invertebrates: From Basic Research to Innovative Applications
Previous Article in Journal
In Vitro Anticancer and Cancer-Preventive Activity of New Triterpene Glycosides from the Far Eastern Starfish Solaster pacificus
 
 
Font Type:
Arial Georgia Verdana
Font Size:
Aa Aa Aa
Line Spacing:
Column Width:
Background:
Article

Ximaoornatins A–C, Polyoxygenated Diterpenoids from the Hainan Soft Coral Sinularia ornata

1
State Key Laboratory of Drug Research, Shanghai Institute of Materia Medica, Chinese Academy of Sciences, 555 Zu Chong Zhi Road, Zhangjiang Hi-Tech Park, Shanghai 201203, China
2
University of Chinese Academy of Sciences, No. 19A Yuquan Road, Beijing 100049, China
3
Drug Discovery Shandong Laboratory, Bohai Rim Advanced Research Institute for Drug Discovery, Yantai 264117, China
*
Authors to whom correspondence should be addressed.
Mar. Drugs 2022, 20(3), 218; https://doi.org/10.3390/md20030218
Submission received: 25 February 2022 / Revised: 17 March 2022 / Accepted: 18 March 2022 / Published: 20 March 2022

Abstract

:
Three complex polyoxygenated diterpenoids possessing uncommon tetradecahydro-2,13:6,9-diepoxybenzo[10]annulene scaffold, namely ximaoornatins A–C (13), one new eunicellin-type diterpene, litophynin K (4), and a related known compound, litophynol B (5) were isolated from the South China Sea soft coral Sinularia ornata. The structures and absolute configurations of 14 were established by extensive spectroscopic analysis, X-ray diffraction analysis, and/or modified Mosher’s method. A plausible biosynthetic relationship of 1 and its potential precursor 4 was proposed. In a bioassay, none of the isolated compounds showed obvious anti-inflammatory activity on LPS-induced TNF-α release in RAW264.7 macrophages and PTP1B inhibitory effects.

Graphical Abstract

1. Introduction

The soft corals of the genus Sinularia (phylum Cnidaria, class Alcyonaria, subclass Octocorallia, order Alcyonacea, family Alcyoniidae), were widely distributed in oceans including the South China Sea. Chemical investigations indicated that Sinularia corals are rich sources of diverse and complex metabolites (terpenoids, steroids, polyamines, alkaloids, etc.), with widespread biological activities, such as immunological, cytotoxic, antibacterial, and anti-inflammatory properties [1,2,3,4]. A literature survey disclosed that, among all the species of Sinularia, S. ornata have never been chemically studied.
In our ongoing search aiming to explore bioactive secondary metabolites from Chinese marine organisms [5,6,7,8,9], S. ornata were collected off Ximao Island, Hainan Province, China, and chemically investigated, resulting in the discovery of three structurally unprecedented diterpenoids, namely ximaoornatins A–C (13), one new eunicellin-type diterpene, litophynin K (4), and a related known compound, litophynol B (5) [10] (Figure 1). Detailed isolation, full structural determination, as well as the plausible biosynthetic pathway of the new compounds are reported herein.

2. Results and Discussion

The acetone extract of the soft coral S. ornata was partitioned between Et2O and H2O. The Et2O-soluble portion was subjected to repeated chromatography over silica gel, Sephadex LH-20, and RP-HPLC to afford four new compounds, compounds 1 (11.6 mg), 2 (1.2 mg), 3 (2.0 mg), 4 (12.3 mg) and 5 (17.0 mg), respectively.
Compound 1 was isolated as an optically active colorless crystal. Mp. 166.2–166.4 °C. Its molecular formula was deduced to be C26H40O7 by the HRESIMS 487.2670 [M + Na]+ (cald 487.2666), indicating the presence of seven degrees of unsaturation. The 13C NMR, DEPT and HSQC spectra (Figures S2 and S3) disclosed 26 carbon signals, including six methyls, five sp3 methylenes, nine sp3 methines (five oxygenated ones at δC 75.7, 78.4, 78.9, 86.4, and 86.8), two oxygenated sp3 quaternary carbons (δC 79.1, 85.2), one sp2 methylene, three sp2 quaternary carbon (two ester carbonyls at δC 170.2, 173.0). The diagnostic 1H and 13C NMR resonances (Figures S1 and S2), as well as coupling constants of the connected protons, revealed the presence of one disubstituted terminal double bond (δH 5.08, s, 1H, H-17a; δH 5.05, s, 1H, H-17b; δC 111.5, CH2, C-17; 144.6, C, C-11). One double bond and two ester carbonyls accounted for three of the total seven degrees of unsaturation, implying a tetracyclic ring system in the molecule.
The structure of 1 was established by detailed 2D NMR analysis (Figure 2). The extensive analysis of the 1H−1H COSY spectrum (Figure S5) of 1 elucidated four structural fragments ad, by clear correlations of H2-4 (δH 3.01, 1.45)/H2-5 (δH 1.50, 1.44)/H-6 (δH 3.90) (a); H-8 (δH 5.27)/H-9 (δH 4.62)/H-10 (δH 2.57)/H-1 (δH 2.65) (b); H2-12 (δH 2.45, 2.38)/H-13 (δH 4.10)/H-14 (δH 1.91)/H-1 (δH 2.65)/H-2 (δH 4.39), H-14/H-18 (δH 1.79)/H3-19 (δH 1.07) and H-18/H3-20 (δH 1.00) (c); H2-2′ (δH 2.26)/H2-3′ (δH 1.66)/H3-4′ (δH 0.97) (d), respectively. Fragments a and b were deduced to be connected through C-7 by the HMBC correlations (Figure S4) from H3-16 to C-6/C7/C-8. The HMBC correlations from H2-17 to C-10/C-11/C-12 and from H-10 to C-1/C-2/C-12 determined the presence of a cyclohexane ring (ring A) with a terminal double bond at C-11 and an isopropyl group at C-14. The cross peaks from H3-15 to C-2/C-3/C-4, revealed that the fragments a and c were connected via the quaternary carbon C-3. Furthermore, the presence of ether bridges between C-2 and C-13 and between C-6 and C-9 were deduced by HMBC correlations from H-13 to C-2 and from H-6 to C-9, respectively, forming two tetrahydrofuran rings (rings B and D) and one nonatomic ring C. Finally, the presence of a butyryloxy group at C-3 was deduced by the diagnostic HMBC correlations from H2-2′ to C-1′ and from H-2 to C-1′. In addition, the key HMBC correlations from H-8 to C-1″ and from H3-2″ to C-1″ indicated the connection of an acetyloxy group at C-8. Thus, the structure of 1 was determined as drawn in Figure 2, with an uncommon tetracyclic ring system.
The relative configuration of 1 was determined by a detailed analysis of its NOESY spectrum (Figure S6). As show in Figure 2, the NOE correlations of H-1/H-10, H-1/H-13, H-8/H-10, and H-8/H3-16 suggested that H-1, H-8, H-10, H-13, and H3-16 were all co-facial, arbitrarily assigned as β-configuration. The opposite (α) orientation of H-2, H-6, H-9, H-14, and H3-15 was indicated by the NOE cross peaks of H-2/H-9, H-2/H-14, H-2/H3-15, and H-6/H-9. Finally, the relative configuration of 1 was established as 1R*,2S*,3R*,6R*,7R*,8S*,9S*,10R*,13R*, 14R*.
To determine the absolute configuration of 1, we fortunately managed to obtain its suitable single crystals in methanol, which were successful applied on X-ray crystallography using Cu Kα radiation (λ = 1.54178 Å). The analysis of the X-ray data not only unambiguously confirmed the structure of 1 but also disclose its absolute configuration as 1R,2S,3R,6R,7R,8S,9S, 10R,13R,14R (Flack parameter was −0.09(7)) (Figure 3, CCDC 2126980).
Compound 2 was isolated as colorless oil with the chemical formula of C28H44O7 as disclosed by the HREIMS ion peak at m/z 492.3080, ([M]+, calcd 492.3082), implying seven degrees of unsaturation. The 13C NMR, DEPT and HSQC spectra (Figures S10 and S11) revealed the presence of 28 carbons including six methyl groups, eight methylenes, nine methines, three quaternary carbons and two ester carbonyls (δC 172.8, 172.9). In fact, compound 2 displayed very similar 1D NMR data as those of 1 (Table 1), with the only difference on the substitution at C-8 position. Instead of the acetoxyl group in 1, the HMBC correlations (Figure S12) from H-8 to 1″ and the 1H-1H COSY correlations (Figure S13) of H2-2″ (δH 2.38)/H2-3″ (δH 1.70)/H3-4″ (δH 0.98), indicating the butyryloxy group at the C-8 of 2, which was in agreement with a 28 mass units’ difference in their molecular weights. Therefore, the structure of 2 was determined as shown in Figure 1, named ximaoornatin B.
Compound 3 was isolated as an optical active colorless oil. From the molecular ion peak at m/z 422.2665 [M]+ (calcd 422.2663) in the HRESIMS spectrum, a molecular formula of C24H38O6 was elucidated, indicating six degrees of unsaturation. The 1D NMR data of 3 were reminiscent of those of 1 and 2 (Table 1), and a further analysis of their 2D NMR spectra (Figure 2, Figures S19−S22) suggested the same skeleton of the three compounds with the same tetrahydrofuran rings A−D. The main differences between these compounds were found to be the presence of a hydroxy group at C-8 (δC 79.0; δH 4.09) in 3 instead of the acetoxyl group in 1 and butyroxyl group in 2, which was also confirmed by their mass spectrum. Thus, compound 3 was C-8 deacetyl derivative of 1, named ximaoornatins C.
The relative configurations of 2 and 3 were assigned to be the same as that of 1 due to the same NOE patterns in all three compounds. The absolute configurations of 2 and 3 were also assigned to be same as that of 1 by comparing their NMR spectra and on a biogenetic consideration since they only differed by the different substitution on 8-OH.
The molecular formula of compound 4 was found to be C26H40O6 by HRESIMS (m/z 471.2718 [M + Na]+, calcd 471.2717), suggesting seven degrees of unsaturation. The 13C NMR and HSQC spectra (Figures S26 and S27) disclosed the presence of 26 carbons including six sp2 carbon atoms (2 × C=O, 1 × C = CH2, 1 × C = CH) at lower field and twenty sp3 carbon atoms at higher field (4 × OCH, 1 × OC, 5 × CH2, 4 × CH, 6 × CH3), accounting for four degrees of unsaturation. Thus, the remaining three degrees of unsaturation reveal 4 as a tricyclic molecule. Detailed analysis of its NMR data indicated that the spectroscopic features of 4 were similar to those of the known compound litophynin B (6) [11]. The apparent downfield shift of H-13 (from δH 1.75, 1.05 in 6 to δH 3.57 in 4) and C-13 (from δC 25.4 in 6 to δC 72.3 in 4) indicated the presence of 13-OH in 4, which was implied by the clear COSY correlations (Figure S29) of H2-12 (δH 2.46, 2.31)/H-13/H-14 (δH 1.40). In addition, the significant HMBC cross-peaks (Figure S28) from H-8 (δH 4.83) to C-1″ (δC 170.6)/C-2″ (δC 21.4), and from H-2″ to C-1″ confirmed the replacement of a butyryloxy group at C-8 in litophynin B by an acetyloxy group in 4. Therefore, the structure of 4 was defined as shown in Figure 1.
The relative configuration of 4 was confirmed by NOESY experiment (Figure 2 and Figure S30). The NOE correlations (Figure 2) of H-5/H3-16 proved that the Δ6,7 double bond has E-geometry. The NOE correlations between H-1 (δH 2.03) and H-10 (δH 2.82), H-1 and H-13, and H-8 and H-10, suggested that H-1, H-8, H-10, and H-13 were β-oriented. The correlations of H-2 (δH 3.86)/H-14, H-2/H3-15 (δH 1.47), and H-9/H-14, suggested that of all of H-2, H-9 (δH 4.09), H-14, and H3-15 are α-oriented. From the above evidence, the relative configuration of 4 was determined as 1R*,2R*,3R*,8R*,9S*,10R*,13R*,14R*. Finally, to deduce the absolute configuration of the secondary alcohol at C-13, two aliquots of compound 4 were treated with (R)- and (S)-α-methoxy-α-trifluoromethylphenyl acetyl (MTPA) chlorides to obtain the (S)- and (R)-esters, respectively. The analysis of ΔδSR values (δSδR) observed for the signals of the protons close to 13-OH and according to Mosher’s rule [12,13], the absolute configuration at C-13 in 4 was established as R (Figure 4). Thus, the stereochemistry of 4 was unambiguously elucidated as 1R,2R,3R,8R,9S,10R,13R,14R.
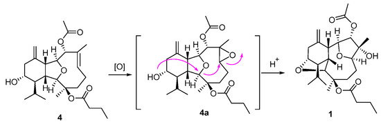
Compounds 13 comprise an unprecedented tetradecahydro-2,13:6,9-diepoxybenzo[10]annulene skeleton, which were totally different from the co-occurring compound 4 and other eunicellin-type diterpenes. However, they are structurally related by sharing some common moieties, such as a six-membered ring A. Therefore, a plausible biosynthetic connection from the eunicellin diterpene 4 to 1 was proposed as drawn in Scheme 1, which mainly underwent an oxidation of Δ6,7 on 4 towards the epoxide intermediate 4a, followed by an acid-promoted electron delivery from the 13-hydroxyl to 6,7-epoxyl via the 2,9-ether group. All the isolates were subjected to the test of anti-inflammatory effects on LPS-induced TNF-α release in RAW264.7 macrophages and PTP1B inhibitory effects, and none of them showed obvious activities.

3. Materials and Methods

3.1. General Experimental Procedures

IR spectra were recorded on a Nicolet 6700 spectrometer (Thermo Scientific, Waltham, MA, USA); peaks are reported in cm−1. Melting points were measured on an X-4 digital micro-melting point apparatus. Optical rotations were measured on a Perkin-Elmer 241MC polarimeter (PerkinElmer, Fremont, CA, USA). The NMR spectra were measured at 300 K on DRX 500 and Avance 600 MHz NMR spectrometers (Bruker Biospin AG, Fallanden, Germany). Chemical shifts are reported in parts per million (δ) in CDCl3 (δH reported referred to CHCl3 at 7.26 ppm; δC reported referred to CDCl3 at 77.16 ppm) and coupling constants (J) in Hz; assignments were supported by 1H–1H COSY, HSQC, HMBC, and NOESY experiments. HR-ESIMS was carried out on a Waters Q-TOF Ultima mass spectrometer (Waters, MA, USA). HREIMS spectra were carried out on a Thermo DFS mass spectrometer. Semi-preparative HPLC was performed on an Agilent-1260 system equipped with a DAD G1315D detector using ODS-HG-5 (250 mm × 9.4 mm, 5 µm) by eluting with the CH3OH–H2O or CH3CN–H2O system at 3.0 mL/min. Commercial silica gel (200−300 and 300−400 mesh; Qingdao, China) was used for column chromatography (CC). Precoated Si gel plates (Merck Chemicals Co., Ltd., G60 F254, Shanghai, China) were used for analytical TLC. Sephadex LH-20 (Amersham Biosciences, London, U.K.) was also used for CC. All solvents used for column chromatography and HPLC were of analytical grade (Shanghai Chemical Reagents Co., Ltd., Shanghai, China) and chromatographic grade (Dikma Technologies Inc., Shanghai, China), respectively. X-ray diffraction studies were carried out on a Bruker D8 Venture diffractometer with Cu Kα radiation (λ = 1.54178 Å).

3.2. Biological Materials

Specimens of the soft coral Sinularia ornata, identified by Prof. Xiu-Bao Li from Hainan university, were collected along the coast of Ximao Island, Hainan province, China, in 2018, and were frozen immediately after collection. A voucher specimen (18-XD-07) was deposited at the Shanghai Institute of Materia Medica, Chinese Academy of Sciences, Shanghai, China.

3.3. Extraction and Isolation

The frozen materials (943 g, dry weight) were cut into pieces and exhaustively extracted with Me2CO at room temperature. The organic extract was evaporated to give a brown residue, which was partitioned between Et2O and H2O. The Et2O solution was concentrated under reduced pressure to give a dark brown residue (36.3 g), which was fractionated by gradient Si gel (200−300 mesh) column chromatography (CC) (0 → 100% Et2O in petroleum ether (PE), yielding eight fractions (A−F). Fraction D was isolated by Sephadex LH-20 (PE/CH2Cl2/MeOH, 2:1:1), followed by silica gel CC (PE/CH2Cl2, 10:0 → 0:10) to give two subfractions (D2E and D2G). Fraction D2E was finally purified by reversed-phase HPLC (MeCN/H2O, 70:30; 3.0 mL/min) to give compound 1 (11.6 mg, tR = 17.1 min) and 4 (12.3 mg, tR = 12.3 min), while compound 2 (1.2 mg, tR = 18.6 min) was isolated from subfraction D2G by RP-HPLC (MeCN/H2O, 60:40; 3.0 mL/min). Fraction E was fractioned by Sephadex LH-20 (PE/CH2Cl2/MeOH, 2:1:1), followed by silica gel CC (PE/Et2O, 10:0 → 0:10) to give two subfractions (E3E and E3H). Subfraction E3E was further purified by stepwise HPLC (MeCN/H2O, 62:38 → 70:30; 3.0 mL/min) to obtain compound 5 (17.0 mg, tR = 5.3 min). Similarly, compound 3 (2.0 mg, tR = 13.5 min) was isolated from fraction E3H by reversed-phase HPLC (MeCN/H2O, 75:25 → 98:2; 3.0 mL/min).
Ximaoornatin A (1): colorless crystals; m.p. 166.2~166.4 °C; [α] D 20 −46.7 (c 0.35, CHCl3); IR (KBr) νmax = 3445, 2919, 2849, 1959, 1620, 1384, 1156, 1043 cm−1; 1H and 13C NMR data see Table 1; HR-ESIMS m/z 487.2670 [M + Na]+ (calcd. for C26H40NaO7, 487.2666).
Ximaoornatin B (2): colorless oil; [α] D 20 −15.4 (c 0.12, CHCl3); IR (KBr) νmax = 3441, 2960, 2924, 2870, 1959, 1732, 1620, 1384, 1260, 1074, 1040 cm−1; 1H and 13C NMR data see Table 1; HR-EIMS m/z 492.3080 [M]+ (calcd. for C28H44O7, 492.3082).
Ximaoornatin C (3): colorless oil; [α] D 20 −55.0 (c 0.11, CH3OH); IR (KBr) νmax = 3444, 2924, 1959, 1731, 1620, 1384, 1260, 1045, 800 cm−1; 1H and 13C NMR data see Table 1; HR-EIMS m/z 422.2665 [M]+ (calcd. for C24H38O6, 422.2663).
Litophynin K (4): colorless oil; [α] D 20 −58.4 (c 0.24, CHCl3); IR (KBr) νmax = 3446, 2925, 1959, 1733, 1665, 1384, 1247, 1097, 1051 cm−1; 1H and 13C NMR data see Table 1; HR-ESIMS m/z 471.2718 [M + Na]+ (calcd. for C26H40NaO6, 471.2717).
X-ray Crystallographic Analysis for 1. Colorless blocks, C2.08H3.2O0.56, Mr = 37.17, monoclinic, crystal size 0.15 × 0.08 × 0.05 mm3, space group P21, a = 11.0532(5) Å, b = 9.4225(4) Å, c = 12.3134(5) Å, V = 1271.54 (9) Å3, Z = 25, Dcalcd = 1.213 g/cm3, F(000) = 504.0, 19,814 reflections measured (7.24° ≤ 2Θ ≤ 149.14°), 5096 unique (Rint = 0.0470, Rsigma = 0.0381) which were used in all calculations. The final R1 was 0.0346 (I > 2σ(I)) and wR2 was 0.0901 (all data). The X-ray measurements were made on a Bruker D8 Venture X-ray diffractometer with Cu Kα radiation (λ = 1.54178 Å) at 170.0 K. The structure was solved with the ShelXT structure solution program using Intrinsic Phasing and refined with the ShelXL refinement package using least squares minimization. Crystallographic data for 1 were deposited at the Cambridge Crystallographic Data Centre (Deposition nos. CCDC 2126980). Copies of these data can be obtained free of charge via www.ccdc.cam.ac.uk/conts/retrieving.html or from the Cambridge Crystallographic Data Centre, 12 Union Road, Cambridge CB21EZ, UK (fax: +44-1223-336-033; e-mail: deposit@ccdc.cam.ac.uk).

3.4. Anti-Inflammatory Activity Assay

RAW264.7 cell, a murine macrophage cell line, was obtained from American Type Culture Collection (ATCC, Manassas, VA, USA). In the bioassay for anti-inflammation, RAW264.7 cells were grown in DMEM containing 2 mmol/L L-glutamine, 10% FBS, 100 U/mL penicillin, and 100 μg/mL streptomycin, and maintained in a humidified incubator of 5% CO2 at 37 °C. The anti-inflammatory effect was measured by the cell viability and TNF-α production of RAW264.7 cells. The cells (1 × 105/well) were incubated in 96-well plates in triplicate. For the cell viability part, RAW264.7 cells were cultured with vehicle (final concentration of 0.125% DMSO) or tested compounds at the indicated concentrations for 24 h. A total of 20 μL CCK-8 reagent was added to each well and after 1 h incubation and the OD values were collected after 1 h incubation at 450 nm (650 nm calibration) by a microplate reader (Molecular Devices, Sunnyvale, CA, USA). For the anti-inflammatory activity assay, after adherence, the cells were cultured with vehicle (final concentration of 0.125% DMSO) or tested compounds at the indicated concentrations for 30 min. Then, the cells were primed with 1 μg/mL of LPS (Lipopolysaccharide) for 24 h. Supernatants were centrifuged and then quantified with the mouse TNF-α ELISA kit following the manufacturer’s instructions. The CC50 and IC50 were estimated using the log (inhibitor) vs. normalized response nonlinear fit (Graph Pad Prism 6.0).

3.5. PTP1B Inhibitory Activity Assay

The recombinant PTP1B catalytic domain was expressed and purified according to a previous report [13]. The enzymatic activities of the PTP1B catalytic domain were determined at 30 °C by monitoring the hydrolysis of pNPP. The dephosphorylation of pNPP generates product pNP, which was monitored at an absorbance of 405 nm by the EnVision multilabel plate reader (PerkinElmer Life Sciences, Boston, MA, USA). In a typical 100 μL assay mixture containing 50 mmol/L 3-[N-morpholino]-propanesulfonic acid (MOPs), pH 6.5, 2 mmol/L pNPP, and 30 nmol/L recombinant PTP1B, activities were continuously monitored and the initial rate of the hydrolysis was determined using the early linear region of the enzymatic reaction kinetic curve. The IC50 was calculated with Prism 4 software (Graphpad, San Diego, CA, USA) from the nonlinear curve fitting of the percentage of inhibition (% inhibition) vs. the inhibitor concentration [I] using the following equation: % inhibition = 100/(1 + [IC50/[I]]k), where k is the Hill coefficient.

4. Conclusions

In summary, this is the first detailed chemical investigation of the soft coral S. ornata leading to the isolation and full characterization of three unusual diterpenoids, ximaoornatins A–C (13), with unprecedented tetradecahydro-2,13:6,9-diepoxybenzo[10]annulene skeleton, and a related new eunicellin-type diterpene, litophynin K (4). The two ether bridges between C-2 and C-13, and between C-6 and C-9, respectively, as well as the tetracyclic ring systems of compounds 13, are totally different from the skeleton of eunicellin diterpenoids, the 2,11-cyclized cembranoids [14]. Therefore, compounds 13 represent a new subclass of 2,11-cyclized cembranoids which have greatly expanded the diversity and complexity of the marine diterpenoids. The stereochemistry of the new compounds was determined by extensive spectroscopic analysis, X-ray diffraction analysis, and/or modified Mosher’s method. In the bioassay, none of the isolates showed obvious anti-inflammatory activity and PTP1B inhibitory effects. Further biomimetic synthesis and other biological studies should be conducted to understand the real ecological and/or biological role played by these interesting molecules during the life cycle of the soft corals and their possible medicinal application.

Supplementary Materials

The following supporting information can be downloaded at: https://www.mdpi.com/article/10.3390/md20030218/s1, 1D NMR and 2D (COSY, HSQC, HMBC, NOESY) NMR spectra of 14, and 1H and 13C NMR spectra of 5.

Author Contributions

L.-L.S. contributed to the purification, structural elucidation, data acquisition and manuscript preparation. X.-W.L. and Y.-W.G. designed and supervised the research and revised the manuscript. All authors have read and agreed to the published version of the manuscript.

Funding

This research was funded by the National Key Research and Development Program of China (No. 2021YFF0502400), the Natural Science Foundation of China (Nos. 81991521, 82022069, and 42076099), the Shanghai Rising-Star Program (No. 20QA1411100), “Youth Innovation Promotion Association” of Chinese Academy of Sciences (No. Y202065) and the SKLDR/SIMM Project (No. SIMM2103ZZ-06).

Institutional Review Board Statement

Not applicable.

Informed Consent Statement

Not applicable.

Data Availability Statement

Data are contained within the article or Supplementary Material.

Acknowledgments

We thank X.-B. Li from Hainan University for the taxonomic identification of the soft coral material.

Conflicts of Interest

The authors declare no conflict of interest.

References

  1. Lakshmi, V.; Kumar, R. Metabolites from Sinularia species. Nat. Prod. Res. 2009, 23, 801–850. [Google Scholar] [CrossRef] [PubMed]
  2. Chen, W.-T.; Li, Y.; Guo, Y.-W. Terpenoids of Sinularia soft corals: Chemistry and bioactivity. Acta Pharm. Sin. B 2012, 2, 227–237. [Google Scholar] [CrossRef] [Green Version]
  3. Liu, J.; Wu, M.-J.; Li, H.; Wang, H.; Tang, W.; Gu, Y.-C.; Li, X.-W.; Guo, Y.-W. Unusual polyoxygenated casbane diterpenoids from the South China Sea soft coral Sinularia erecta. Bioorganic Chem. 2021, 114, 105028. [Google Scholar] [CrossRef] [PubMed]
  4. Yan, X.; Liu, J.; Leng, X.; Ouyang, H. Chemical Diversity and Biological Activity of Secondary Metabolites from Soft Coral Genus Sinularia since 2013. Mar. Drugs 2021, 19, 335. [Google Scholar] [CrossRef] [PubMed]
  5. Ye, F.; Li, J.; Wu, Y.; Zhu, Z.-D.; Mollo, E.; Gavagnin, M.; Gu, Y.-C.; Zhu, W.-L.; Li, X.-W.; Guo, Y.-W. Sarinfacetamides A and B, Nitrogenous Diterpenoids with Tricyclo[6.3.1.01,5]dodecane Scaffold from the South China Sea Soft Coral Sarcophyton infundibuliforme. Org. Lett. 2018, 20, 2637–2640. [Google Scholar] [CrossRef] [PubMed]
  6. Liang, L.-F.; Kurtan, T.; Mandi, A.; Yao, L.-G.; Li, J.; Zhang, W.; Guo, Y.-W. Unprecedented Diterpenoids as a PTP1B Inhibitor from the Hainan Soft Coral Sarcophyton trocheliophorum Marenzeller. Org. Lett. 2013, 15, 274–277. [Google Scholar] [CrossRef] [PubMed]
  7. Wu, Q.; Li, S.-W.; Xu, H.; Wang, H.; Hu, P.; Zhang, H.; Luo, C.; Chen, K.-X.; Nay, B.; Guo, Y.-W.; et al. Complex Polypropionates from a South China Sea Photosynthetic Mollusk: Isolationand Biomimetic Synthesis Highlighting Novel Rearrangements. Angew. Chem. Int. Ed. 2020, 59, 12105–12112. [Google Scholar] [CrossRef] [PubMed]
  8. Li, G.; Li, H.; Tang, W.; Guo, Y.-W.; Li, X.-W. Klyflaccilides A and B, Diterpenoids with 6/5/8/3 Fused Tetracyclic Carbon Skeleton from the Hainan Soft Coral Klyxum flaccidum. Org. Lett. 2019, 21, 5660–5664. [Google Scholar] [CrossRef] [PubMed]
  9. Sun, L.-L.; Li, W.-S.; Li, J.; Zhang, H.-Y.; Yao, L.-G.; Luo, H.; Guo, Y.-W.; Li, X.-W. Uncommon Diterpenoids from the South China Sea Soft Coral Sinularia humilis and Their Stereochemistry. J. Org. Chem. 2021, 86, 3367–3376. [Google Scholar] [CrossRef] [PubMed]
  10. Miyamoto, T.; Yamada, K.; Ikeda, N.; Komori, T.; Higuchi, R. Bioactive terpenoids from Octocorallia, I. Bioactive Diterpenoids: Litophynols A and B from the Mucus of the Soft Coral Litophyton sp. J. Nat. Prod. 1994, 57, 1212–1219. [Google Scholar] [CrossRef] [PubMed]
  11. Ochi, M.; Futatsugi, K.; Kotsuki, H.; Ishii, M.; Shibata, K. Litophynin A and B, two new insect growth inhibitory diterpenoids from the soft coral Litophyton sp. Chem. Lett. 1987, 2207–2210. [Google Scholar] [CrossRef]
  12. Hoye, T.R.; Jeffrey, C.S.; Shao, F. Mosher ester analysis for the determination of absolute configuration of stereogenic (chiral) carbinol carbons. Nat. Protoc. 2007, 2, 2451–2458. [Google Scholar] [CrossRef] [PubMed]
  13. Yang, X.; Li, J.; Zhou, Y.; Shen, Q.; Chen, J.; Li, J. Discovery of novel inhibitor of human leukocyte common antigen-related phosphatase. Biochim. Biophys. Acta Gen. Subj. 2005, 1726, 34–41. [Google Scholar] [CrossRef] [PubMed]
  14. Li, G.; Dickschat, J.S.; Guo, Y.-W. Diving into the world of marine 2,11-cyclized cembranoids: A summary of new compounds and their biological activities. Nat. Prod. Rep. 2020, 37, 1367. [Google Scholar] [CrossRef] [PubMed]
Figure 1. Structures of compounds 16.
Figure 1. Structures of compounds 16.
Marinedrugs 20 00218 g001
Figure 2. 1H-1H COSY, key HMBC, and NOESY correlations of compounds 14.
Figure 2. 1H-1H COSY, key HMBC, and NOESY correlations of compounds 14.
Marinedrugs 20 00218 g002
Figure 3. ORTEP drawing of ximaoornatin A (1).
Figure 3. ORTEP drawing of ximaoornatin A (1).
Marinedrugs 20 00218 g003
Figure 4. Application of the modified Mosher’s method for the AC determination of the secondary alcohol on 4. Values of ΔδSR [Δ(δSδR)] were given in ppm. Regions (+ and −) were marked in blue and red, respectively.
Figure 4. Application of the modified Mosher’s method for the AC determination of the secondary alcohol on 4. Values of ΔδSR [Δ(δSδR)] were given in ppm. Regions (+ and −) were marked in blue and red, respectively.
Marinedrugs 20 00218 g004
Scheme 1. Plausible biosynthetic connection of 1 and 4.
Scheme 1. Plausible biosynthetic connection of 1 and 4.
Marinedrugs 20 00218 sch001
Table 1. 1H NMR (δH)a and 13C NMR (δC)b Data for 14 in CDCl3.
Table 1. 1H NMR (δH)a and 13C NMR (δC)b Data for 14 in CDCl3.
No.1234
δH (Mult., J, Hz)δC (Mult.)δH (Mult., J, Hz)δC (Mult.)δH (Mult., J, Hz)δC (Mult.)δH (Mult., J, Hz)δC
12.65, d (5.0)37.9, d2.65, d (5.0)37.7, d3.36, d (5.6)39.0, d2.03, m46.3, d
24.39, s86.8, d4.39, s86.6, d4.73, s88.4, d3.86, s93.7, d
3 85.2, s 85.1, s 87.1, s 86.7, s
4a3.01, dd (14.3, 10.6)32.5, t3.01, m32.3, t2.80, dd (14.4, 6.7)38.3, t1.47, m24.7, t
4b1.45, m 1.45, m 1.79, m
5a1.50, m26.1, t1.46, m26.0, t1.48, m21.6, t2.25, m25.4, t
5b1.44, m
63.90, dd (12.2, 4.7)86.4, d3.90, dd (12.2, 4.9)86.2, d4.10, m85.7, d5.87, d (10.4)133.8, d
7 79.1, s 78.9, s 78.6, s 124.3, s
85.27, d (7.9)78.4, d5.30, d (7.8)77.8, d4.09, d (5.1)79.0, d4.83, s77.3, d
94.62, d (7.9)78.9, d4.62, d (7.8)78.6, d4.17, d (5.1)79.1, d4.09, d (10.5)82.6, d
102.57, brs40.1, d2.54, brs39.9, d2.71, brs43.1, d2.82, brs45.3, d
11 144.6, s 144.4, s 144.4, s 142.3, s
12a2.45, dd (15.6, 3.4)37.4, t2.42, m37.2, t2.48, m36.9, d2.46, dd (12.9, 4.2)41.5, t
12b2.38, d (15.6) 2.40, d (16.2) 2.31, m
13a4.10, t (3.4)75.7, d4.10, t (4.1)75.5, d4.10, m76.0, d3.57, td (10.7, 4.2)72.3, d
13 b
141.91, m53.2, d1.90, m53.0, d1.64, m52.7, d1.40, m48.6, d
151.54, s22.5, q1.59, s22.4, q1.56, s23.3, q1.47, s24.7, q
161.20, s20.1, q1.20, s20.0, q1.24, s15.2, q1.87, s19.6, q
17a5.08, s111.5, t5.08, s111.3, t5.07, s111.4, t4.88, s113.5, t
17b5.05, s 5.06, s 5.03, s 4.85, s
181.79, m25.2, d1.77, m25.1, d1.76, m25.5, d1.84, m29.3, d
191.07, d (6.4)21.4, q1.07, d (6.2)21.1, q1.04, d (6.5)21.4, q1.19, d (6.8)24.9, q
201.00, d (6.4)21.9, q1.00, d (6.2)21.7, q1.00, d (6.5)21.7, q0.96, d (6.8)15.9, q
1′ 173.0, s 172.9, s 172.8, s 172.7, s
2′2.26, m37.9, t2.26, m37.7, t2.25, m37.7, t2.25, m37.7, t
3′1.66, m18.9, t1.67, m18.6, t1.65, m18.8, t1.62, m18.7, t
4′0.97, t (7.4)13.8, q0.98, t (7.4)13.7, q0.95, t (7.3)14.0, q0.94, t (7.4)13.8, q
1″ 170.2, s 172.8, s 170.6, s
2″2.18, s21.1, q2.38, m36.1, t 2.06, s21.4, q
3″ 1.70, m18.9, t
4″ 0.98, t (7.3)13.6, q
a Recorded at 600 MHz. b Recorded at 125 MHz. Assignments were deduced by analysis of 1D and 2D NMR spectra.
Publisher’s Note: MDPI stays neutral with regard to jurisdictional claims in published maps and institutional affiliations.

Share and Cite

MDPI and ACS Style

Sun, L.-L.; Li, X.-W.; Guo, Y.-W. Ximaoornatins A–C, Polyoxygenated Diterpenoids from the Hainan Soft Coral Sinularia ornata. Mar. Drugs 2022, 20, 218. https://doi.org/10.3390/md20030218

AMA Style

Sun L-L, Li X-W, Guo Y-W. Ximaoornatins A–C, Polyoxygenated Diterpenoids from the Hainan Soft Coral Sinularia ornata. Marine Drugs. 2022; 20(3):218. https://doi.org/10.3390/md20030218

Chicago/Turabian Style

Sun, Li-Li, Xu-Wen Li, and Yue-Wei Guo. 2022. "Ximaoornatins A–C, Polyoxygenated Diterpenoids from the Hainan Soft Coral Sinularia ornata" Marine Drugs 20, no. 3: 218. https://doi.org/10.3390/md20030218

APA Style

Sun, L.-L., Li, X.-W., & Guo, Y.-W. (2022). Ximaoornatins A–C, Polyoxygenated Diterpenoids from the Hainan Soft Coral Sinularia ornata. Marine Drugs, 20(3), 218. https://doi.org/10.3390/md20030218

Note that from the first issue of 2016, this journal uses article numbers instead of page numbers. See further details here.

Article Metrics

Back to TopTop