Predictive Factors of Wound Healing and Limb Salvage After Successful Below-the-Knee Endovascular Angioplasty in Patients with Diabetic Foot Ulcer: A Retrospective Study
Abstract
1. Introduction
2. Materials and Methods
2.1. Ethical Approval
2.2. Definition
2.2.1. University of Texas (UT) Classification
2.2.2. Wagner Classification
2.2.3. WIfI Classification
2.3. Study Design and Population
2.4. Data Collection
2.5. Follow-Up
2.6. Statistical Analysis
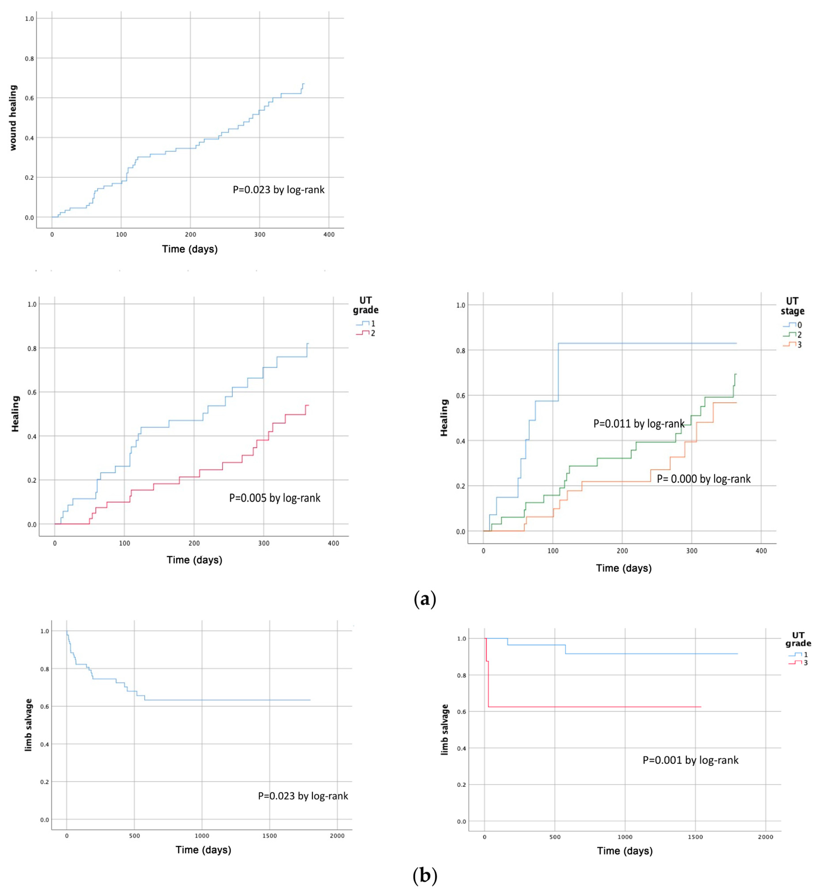
3. Results
3.1. Clinical Characteristics
3.2. Ulcer Characteristics
3.3. Risk Factor Analysis for Delayed Wound Healing and Limb Salvage Rate
4. Discussion
5. Conclusions
Supplementary Materials
Author Contributions
Funding
Institutional Review Board Statement
Informed Consent Statement
Data Availability Statement
Acknowledgments
Conflicts of Interest
References
- Armstrong, D.G.; Boulton, A.J.; Bus, S.A. Diabetic foot ulcers and their recurrence. N. Engl. J. Med. 2017, 376, 2367–2375. [Google Scholar] [CrossRef] [PubMed]
- Zhang, P.; Lu, J.; Jing, Y.; Tang, S.; Zhu, D.; Bi, Y. Global epidemiology of diabetic foot ulceration: A systematic review and meta-analysis (dagger). Ann. Med. 2017, 49, 106–116. [Google Scholar] [CrossRef] [PubMed]
- Song, S.O.; Song, Y.D.; Nam, J.Y.; Park, K.H.; Yoon, J.H.; Son, K.M.; Ko, Y.; Lim, D.-H. Epidemiology of Type 1 Diabetes Mellitus in Korea through an Investigation of the National Registration Project of Type 1 Diabetes for the Reimbursement of Glucometer Strips with Additional Analyses Using Claims Data. Diabetes Metab. J. 2016, 40, 35–45. [Google Scholar] [CrossRef]
- Jang, W.; Kim, S.; Son, Y.; Kim, S.; Kim, H.J.; Jo, H.; Park, J.; Lee, K.; Lee, H.; A Tully, M.; et al. Prevalence, Awareness, Treatment, and Control of Type 2 Diabetes in South Korea (1998 to 2022): Nationwide Cross-Sectional Study. JMIR Public Health Surveill. 2024, 10, e59571. [Google Scholar] [CrossRef] [PubMed]
- Machin, M.; Younan, H.C.; Gueroult, A.M.; Onida, S.; Shalhoub, J.; Davies, A.H. Systematic review of inframalleolar endovascular interventions and rates of limb salvage, wound healing, restenosis, rest pain, reintervention and complications. Vascular 2022, 30, 105–114. [Google Scholar] [CrossRef]
- Soderstrom, M.I.; Arvela, E.M.; Korhonen, M.; Halmesmaki, K.H.; Alback, A.N.; Biancari, F.; Lepäntalo, M.J.; Venermo, M.A. Infrapopliteal percutaneous transluminal angioplasty versus bypass surgery as first-line strategies in critical leg ischemia: A propensity score analysis. Ann. Surg. 2010, 252, 765–773. [Google Scholar] [CrossRef] [PubMed]
- Hicks, C.W.; Canner, J.K.; Mathioudakis, N.; Sherman, R.; Malas, M.B.; Black, J.H., 3rd; Abularrage, C.J. The Society for Vascular Surgery Wound, Ischemia, and foot Infection (WIfI) classification independently predicts wound healing in diabetic foot ulcers. J. Vasc. Surg. 2018, 68, 1096–1103. [Google Scholar] [CrossRef]
- Tokuda, T.; Hirano, K.; Sakamoto, Y.; Mori, S.; Kobayashi, N.; Araki, M.; Yamawaki, M.; Ito, Y. Use of the Wound, Ischemia, foot Infection classification system in hemodialysis patients after endovascular treatment for critical limb ischemia. J. Vasc. Surg. 2018, 67, 1762–1768. [Google Scholar] [CrossRef] [PubMed]
- Cerqueira, L.O.; Duarte, E.G.; Barros, A.L.S.; Cerqueira, J.R.; De Araújo, W.J.B. WIfI classification: The Society for Vascular Surgery lower extremity threatened limb classification system, a literature review. J. Vasc. Bras. 2020, 19, e20190070. [Google Scholar] [CrossRef]
- Kawarada, O.; Fujihara, M.; Higashimori, A.; Yokoi, Y.; Honda, Y.; Fitzgerald, P.J. Predictors of adverse clinical outcomes after successful infrapopliteal intervention. Catheter. Cardiovasc. Interv. 2012, 80, 861–871. [Google Scholar] [CrossRef] [PubMed]
- Mills, J.L., Sr.; Conte, M.S.; Armstrong, D.G.; Pomposelli, F.B.; Schanzer, A.; Sidawy, A.N.; Andros, G. The Society for Vascular Surgery Lower Extremity Threatened Limb Classification System: Risk stratification based on wound, ischemia, and foot infection (WIfI). J. Vasc. Surg. 2014, 59, 220–234.e221-222. [Google Scholar] [CrossRef]
- Das, S.K.; Yuan, Y.F.; Li, M.Q. Predictors of delayed wound healing after successful isolated below-the-knee endovascular intervention in patients with ischemic foot ulcers. J. Vasc. Surg. 2018, 67, 1181–1190. [Google Scholar] [CrossRef] [PubMed]
- Jeon, B.J.; Choi, H.J.; Kang, J.S.; Tak, M.S.; Park, E.S. Comparison of five systems of classification of diabetic foot ulcers and predictive factors for amputation. Int. Wound J. 2017, 14, 537–545. [Google Scholar] [CrossRef]
- Oyibo, S.O.; Jude, E.B.; Tarawneh, I.; Nguyen, H.C.; Harkless, L.B.; Boulton, A.J.M. A Comparison of Two Diabetic Foot Ulcer Classification Systems: The Wagner and the University of Texas wound classification systems. Diabetes Care 2001, 24, 84–88. [Google Scholar] [CrossRef] [PubMed]
- Chae, K.J.; Shin, J.Y. Is angiosome-targeted angioplasty effective for limb salvage and wound healing in diabetic foot?: A meta-analysis. PLoS ONE 2016, 11, e0159523. [Google Scholar] [CrossRef]
- Khor, B.Y.; Price, P. The comparative efficacy of angiosome-directed and indirect revascularisation strategies to aid healing of chronic foot wounds in patients with co-morbid diabetes mellitus and critical limb ischaemia: A literature review. J. Foot Ankle Res. 2017, 10, 26. [Google Scholar] [CrossRef]
- Da Cruz Renó, L.; Renó, A.a.C.L. The Angiosome Concept and Endovascular Techniques for Limb Salvage; IntechOpen: London, UK, 2024. [Google Scholar]
- Veraldi, G.F.; Mezzetto, L.; Macrì, M.; Criscenti, P.; Corvasce, A.; Poli, R. Comparison of Endovascular Versus Bypass Surgery in Femoropopliteal TASC II D Lesions: A Single-Center Study. Ann. Vasc. Surg. 2018, 47, 179–187. [Google Scholar] [CrossRef] [PubMed]
- Vossen, R.J.; Vahl, A.C.; Fokkema, T.M.; Leijdekkers, V.J.; Van Swijndregt, A.D.M.; Balm, R. Endovascular therapy versus femoropopliteal bypass surgery for medium-length TASC II B and C lesions of the superficial femoral artery: An observational propensity-matched analysis. Vascular 2019, 27, 542–552. [Google Scholar] [CrossRef]
- Won, K.B.; Chang, H.J.; Hong, S.J.; Ko, Y.G.; Hong, M.K.; Jang, Y.; Choi, D. Prognostic usefulness of metabolic syndrome compared with diabetes in Korean patients with critical lower limb ischemia treated with percutaneous transluminal angioplasty. Yonsei Med. J. 2014, 55, 46–52. [Google Scholar] [CrossRef][Green Version]
- Morisaki, K.; Guntani, A.; Matsuda, D.; Kinoshita, G.; Kawanami, S.; Yoshino, S.; Inoue, K.; Honma, K.; Yamaoka, T.; Mii, S.; et al. Comparison of limb outcomes between bypass surgery and endovascular therapy in dialysis-dependent and -independent patients with chronic limb-threatening ischemia. J. Vasc. Surg. 2024, 79, 316–322.e312. [Google Scholar] [CrossRef]
- Lin, C.; Liu, J.; Sun, H. Risk factors for lower extremity amputation in patients with diabetic foot ulcers: A meta-analysis. PLoS ONE 2020, 15, e0239236. [Google Scholar] [CrossRef] [PubMed]
- Rodrigues, B.T.; Vangaveti, V.N.; Malabu, U.H. Prevalence and Risk Factors for Diabetic Lower Limb Amputation: A Clinic-Based Case Control Study. J. Diabetes Res. 2016, 2016, 5941957. [Google Scholar] [CrossRef]


| (a) | ||||
| Variables | Healed (n = 44) | Non-Healed (n = 44) | Total (n = 88) | p-Value |
| Age (years) | 74.659 | 74.409 | 74.53 ± 1.94 | 0.215 |
| Male, n (%) | 34 (77.3%) | 28 (63.6%) | 62 (70%) | 0.161 |
| BMI | 22.73 | 21.41 | 22.07 ± 0.43 | 0.129 |
| HbA1c | 7.17 | 7.33 | 7.25 ± 0.18 | 0.070 |
| Hb | 10.81 | 10.32 | 10.56 ± 0.18 | 0.907 |
| WBC | 8472 | 8515 | 8493 ± 298 | 0.756 |
| CRP | 3.08 | 2.99 | 3.03 ± 0.46 | 0.805 |
| Creatine | 2.55 | 4.78 | 3.67 ± 0.71 | 0.100 |
| Albumin | 3.39 | 3.10 | 3.24 ± 0.06 | 0.239 |
| ABI | 0.645 | |||
| >0.8 | 25 (62.5%) | 21 (58.3%) | 46 (60.5%) | |
| 0.6~0.79 | 6 (15%) | 5 (13.9%) | 11 (14.5%) | |
| 0.4~0.59 | 7 (17.5%) | 5 (13.9%) | 12 (15.8%) | |
| <0.4 | 7 (9.2%) | 5 (13.9%) | 7 (9.2%) | |
| TP | 0.324 | |||
| >60 | 6 (15.8%) | 3 (7.5%) | 9 (11.5%) | |
| 40~59 | 10 (26.3%) | 7 (17.5%) | 17 (21.8%) | |
| 30~39 | 6 (15.8%) | 5 (12.5%) | 11 (14.1%) | |
| <30 | 16 (42.1%) | 25 (32.5%) | 41 (52.6%) | |
| TCPO2 | 0.511 | |||
| >40 | 11 (28.2%) | 12 (30%) | 23 (29.1%) | |
| 30~39 | 7 (17.9%) | 11 (27.5%) | 18 (22.8%) | |
| <30 | 21 (53.8%) | 17 (42.5%) | 38 (48.1%) | |
| HTN | 35 (79.5%) | 35 (79.5%) | 70 (79.5%) | 1.0 |
| CAD | 19 (43.2%) | 23 (52.3%) | 42 (47.7%) | 0.522 |
| CVD | 8 (18.2%) | 11 (25%) | 19 (21.6%) | 0.605 |
| ESRD on dialysis | 11 (25%) | 21 (47.7%) | 32 (36.4%) | 0.027 |
| Dyslipidemia | 10 (22.7%) | 8 (18.2%) | 18 (20.5%) | 0.597 |
| Smoking | 14 (31.8%) | 12 (27.3%) | 26 (29.5%) | 0.640 |
| Ambulation | 33 (75%) | 21 (47.7%) | 54 (61.4%) | 0.009 |
| Aspirin | 26 (59.1%) | 32 (72.7%) | 58 (65.9%) | 0.177 |
| Cilostazol | 14 (31.8%) | 17 (38.6%) | 31 (35.2%) | 0.503 |
| (b) | ||||
| Variables | Amputation (n = 25) | Non-Amputation (n = 63) | Total (n = 88) | p-Value |
| Age (years) | 73.8 | 74.82 | 74.53 ± 1.17 | 0.549 |
| Male, n (%) | 17 (68%) | 45 (71.4%) | 62 (70%) | 0.751 |
| BMI | 20.34 | 22.75 | 22 ± 0.43 | 0.155 |
| HbA1c | 7.14 | 7.30 | 7.25 ± 0.14 | 0.661 |
| Hb | 10.11 | 10.75 | 10.56 ± 0.18 | 0.134 |
| WBC | 8792 | 8374 | 8493 ± 298 | 0.608 |
| CRP | 3.88 | 2.69 | 3.03 ± 0.44 | 0.061 |
| Creatine | 3.97 | 3.54 | 3.68 ± 0.71 | 0.407 |
| Albumin | 3.00 | 3.34 | 3.24 ± 0.06 | 0.174 |
| ABI | 0.621 | |||
| >0.8 | 16 (69.6%) | 30 (56.6%) | 46 (60.5%) | |
| 0.6~0.79 | 2 (8.7%) | 9 (17%) | 11 (14.5%) | |
| 0.4~0.59 | 4 (17.4%) | 8 (15.1%) | 12 (15.8%) | |
| <0.4 | 1 (4.3%) | 6 (11.3%) | 7 (9.2%) | |
| TP | 0.80 | |||
| >60 | 1 (4.2%) | 8 (14.8%) | 9 (11.5%) | |
| 40~59 | 2 (8.3%) | 15 (27.8%) | 17 (21.8%) | |
| 30~39 | 4 (16.7%) | 7 (13%) | 11 (14.1%) | |
| <30 | 17 (70.8%) | 24 (44.4%) | 41 (52.6%) | |
| TCPO2 | 0.498 | |||
| >40 | 7 (30.4%) | 16 (28.6%) | 23 (29.1%) | |
| 30~39 | 7 (30.4%) | 11 (30.4%) | 18 (22.8%) | |
| <30 | 9 (39.1%) | 29 (51.8%) | 38 (48.1%) | |
| HTN | 18 (72%) | 52 (82.5%) | 70 (79.5%) | 0.269 |
| CAD | 12 (48%) | 30 (47.6%) | 42 (47.7%) | 0.974 |
| CVD | 8 (32%) | 11 (17.5%) | 19 (21.6%) | 0.135 |
| ESRD on dialysis | 14 (56%) | 18 (28.6%) | 32 (36.4%) | 0.016 |
| Dyslipidemia | 4 (16%) | 14 (22.2%) | 18 (20.5%) | 0.514 |
| Smoking | 9 (36%) | 17 (27%) | 26 (29.5%) | 0.403 |
| Ambulation | 12 (48%) | 42 (66.7%) | 54 (61.4%) | 0.105 |
| Insulin | 10 (40%) | 21 (33.3%) | 31 (35.2%) | 0.555 |
| Aspirin | 17 (68%) | 41 (65.1%) | 58 (65.9%) | 0.794 |
| Cilostazol | 11 (44%) | 20 (31.7%) | 31 (35.2%) | 0.278 |
| (a) | ||||
| Variables | Healed (n = 44) | Non-Healed (n = 44) | Total (n = 88) | p-Value |
| Wound location | 0.309 | |||
| Toe | 27 (61.4%) | 24 (54.5%) | 51 (58%) | |
| Dorsal or plantar | 15 (34.1%) | 14 (31.8%) | 29 (33%) | |
| Ankle | 2 (4.5%) | 2 (4.5%) | 4 (4.5%) | |
| Heel | 0 | 4 (9.1%) | 4 (4.5%) | |
| Wound type | 0.146 | |||
| Ulcer | 22 (50%) | 13 (29.5%) | 35 (39.8%) | |
| Gangrene | 9 (20.5%) | 13 (29.5%) | 22 (25%) | |
| Combined | 13 (29.5%) | 18 (40.9%) | 31 (35.2%) | |
| Vascularization | 0.106 | |||
| DR | 34 (77.3%) | 27 (61.4%) | 61 (69.3%) | |
| IR | 10 (22.7%) | 17 (38.6%) | 27 (30.7%) | |
| Pedal arch classification | 0.360 | |||
| Classification 1 | 7 (15.9%) | 3 (6.8%) | 10 (11.4%) | |
| Classification 2 | 21 (47.7%) | 21 (47.7%) | 42 (47.7%) | |
| Classification 3 | 16 (36.4%) | 20 (45.5%) | 36 (40.9%) | |
| Wagner | 0.084 | |||
| Wagner 1 | 17 (38.6%) | 8 (18.2%) | 25 (28.4%) | |
| Wagner 2 | 6 (13.6%) | 5 (11.4%) | 11 (12.5%) | |
| Wagner 3 | 9 (20.5%) | 12 (27.3%) | 21 (23.9%) | |
| Wagner 4 | 10 (22.7%) | 10 (22.7%) | 20 (22.7%) | |
| Wagner 5 | 2 (4.5%) | 9 (20.5%) | 11 (12.5%) | |
| UT grade | 0.017 | |||
| Grade 1 | 24 (54.5%) | 11 (25%) | 35 (39.85%) | |
| Grade 2 | 17 (38.6%) | 28 (63.6%) | 45 (51.1%) | |
| Grade 3 | 3 (6.85%) | 5 (11.4%) | 8 (9.1%) | |
| UT stage | 0.055 | |||
| Stage A | 10 (22.7%) | 4 (9.1%) | 14 (15.9%) | |
| Stage B | 4 (9.1%) | 3 (6.8%) | 7 (8%) | |
| Stage C | 19 (43.2%) | 14 (31.8%) | 33 (37.5%) | |
| Stage D | 11 (25%) | 23 (52.3%) | 34 (38.6%) | |
| WIFI AR | 0.101 | |||
| Stage 1 | 14 (31.8%) | 7 (15.9%) | 21 (23.9%) | |
| Stage 2 | 8 (15.9%) | 6 (13.6%) | 14 (15.9%) | |
| Stage 3 | 13 (29.5%) | 12 (27.3%) | 25 (28.4%) | |
| Stage 4 | 9 (20.5%) | 19 (43.2%) | 28 (31.8%) | |
| WIFI IB | 0.356 | |||
| Stage 1 | 25 (56.8%) | 21 (47.7%) | 46 (52.3%) | |
| Stage 2 | 2 (4.5%) | 0 | 2 (4.5%) | |
| Stage 3 | 4 (9.1%) | 4 (9.1%) | 8 (9.1%) | |
| Stage 4 | 13 (29.5%) | 19 (43.2%) | 32 (36.4%) | |
| (b) | ||||
| Variables | Major Amputation (n = 25) | Non-Amputation (n = 63) | Total (n = 88) | p-Value |
| Wound location | 0.788 | |||
| Toe | 16 (64%) | 35 (55.6%) | 51 (58%) | |
| Dorsal or plantar | 8 (32%) | 21 (33.3%) | 29 (33%) | |
| Ankle | 1 (4%) | 3 (4.8%) | 4 (4.5%) | |
| Heel | 0 | 4 (6.3%) | 4 (4.5%) | |
| Wound type | 0.140 | |||
| Ulcer | 6 (24%) | 29 (46%) | 35 (39.8%) | |
| Gangrene | 7 (28%) | 15 (23.8%) | 22 (25%) | |
| Combined | 12 (48%) | 19 (30.2%) | 31 (35.2%) | |
| Vascularization | 0.088 | |||
| DR | 14 (56%) | 47 (74.6%) | 61 (69.3%) | |
| IR | 11 (44%) | 16 (25.4%) | 27 (30.7%) | |
| Pedal arch classification | 0.907 | |||
| Classification 1 | 3 (12%) | 7 (11.1%) | 10 (11.4%) | |
| Classification 2 | 11 (44%) | 31 (49.2%) | 42 (47.7%) | |
| Classification 3 | 11 (44%) | 25 (39.7%) | 36 (40.9%) | |
| Wagner | 0.010 | |||
| Wagner 1 | 2 (8%) | 23 (36.5%) | 25 (28.4%) | |
| Wagner 2 | 3 (12%) | 8 (12.7%) | 11 (12.5%) | |
| Wagner 3 | 5 (20%) | 16 (25.4%) | 21 (23.9%) | |
| Wagner 4 | 11 (44%) | 9 (14.3%) | 20 (22.7%) | |
| Wagner 5 | 4 (16%) | 7 (11.1%) | 11 (12.5% | |
| UT grade | 0.001 | |||
| Grade 1 | 2 (8%) | 33 (52.4%) | 35 (39.8%) | |
| Grade 2 | 20 (80%) | 25 (39.7%) | 45 (51.1%) | |
| Grade 3 | 3 (12%) | 5 (7.9%) | 8 (9.1%) | |
| UT stage | 0.004 | |||
| Stage A | 1 (4%) | 13 (20.6%) | 14 (15.9%) | |
| Stage B | 1 (4%) | 6 (9.5%) | 7 (8%) | |
| Stage C | 6 (24%) | 27 (42.9%) | 33 (37.5%) | |
| Stage D | 17 (68%) | 17 (27%) | 34 (38.6%) | |
| WIFI AR | 0.025 | |||
| Stage 1 | 1 (4%) | 20 (31.7%) | 21 (23.9%) | |
| Stage 2 | 3 (12%) | 11 (17.5%) | 14 (15.9%) | |
| Stage 3 | 10 (40%) | 15 (23.8%) | 25 (28.4%) | |
| Stage 4 | 11 (44%) | 17 (27%) | 28 (31.8%) | |
| WIFI IB | 0.683 | |||
| Stage 1 | 15 (60%) | 31 (49.2%) | 46 (52.3%) | |
| Stage 2 | 0 | 2 (3.2%) | 2 ( (2.3%) | |
| Stage 3 | 1 (4%) | 7 (11.1%) | 8 (9.1%) | |
| Stage 4 | 9 (36%) | 23 (36.5%) | 32 (36.4%) | |
| Variable | Wound Healing | Amputation | ||||
|---|---|---|---|---|---|---|
| Multivariate Analysis | Univariate Analysis | Multivariate Analysis | ||||
| p-Value | Hazard Ratio | p-Value | p-Value | Hazard Ratio | p-Value | |
| Age | 0.921 | 0.349 | ||||
| Male | 0.264 | 0.633 | ||||
| HTN | 0.727 | 0.343 | ||||
| DM | 0.941 | 0.777 | ||||
| CVD | 0.767 | 0.075 | ||||
| CAD | 0.786 | 0.797 | ||||
| Dyslipidemia | 0.133 | 0.586 | ||||
| ESRD on dialysis | 0.053 | 0.264 | 0.007 | 0.220 | ||
| Ambulation | 0.017 | 0.270 | 0.032 | 0.436 | ||
| Smoking | 0.540 | 0.498 | ||||
| Cilostazol | 0.724 | 0.438 | ||||
| Albumin | 0.091 | 0.018 | 0.256 | |||
| CRP | 0.459 | 0.060 | 0.908 | |||
| ABI | 0.858 | 0.130 | ||||
| Toe pressure | 0.031 | 0.471 | 0.040 | 0.438 | ||
| TCPO2 | 0.065 | 0.918 | ||||
| Hb | 0.847 | 0.546 | 0.098 | |||
| BMI | 0.206 | 0.006 | 0.158 | |||
| Wound location | 0.721 | 0.749 | ||||
| Wagner | 0.047 | 0.410 | 0.003 | 0.070 | ||
| UT grade (ref.1) | 0.016 | 0.004 | 0.000 | 0.007 | ||
| 2 | 0.192 (0.069~0.534) | 0.002 | 25.72 (3.41~193.88) | 0.002 | ||
| 3 | 0.442 (0.085~2.297) | 0.332 | 23.81 (2.34~232.50) | 0.006 | ||
| UT stage (ref. A) | 0.003 | 0.003 | 0.000 | 0.464 | ||
| B | 0.141 (0.028~0.698) | 0.016 | ||||
| C | 0.179 (0.069~0.464) | 0.000 | ||||
| D | 0.422 (0.139~1.283) | 0.128 | ||||
| WIFI AR stage | 0.149 | 0.023 | 0.282 | |||
| WIFI IB stage | 0.050 | 0.694 | 0.567 | |||
| Vascularization | 0.342 | 0.129 | ||||
| Pedal arch class | 0.145 | 0.986 | ||||
Disclaimer/Publisher’s Note: The statements, opinions and data contained in all publications are solely those of the individual author(s) and contributor(s) and not of MDPI and/or the editor(s). MDPI and/or the editor(s) disclaim responsibility for any injury to people or property resulting from any ideas, methods, instructions or products referred to in the content. |
© 2025 by the authors. Published by MDPI on behalf of the Lithuanian University of Health Sciences. Licensee MDPI, Basel, Switzerland. This article is an open access article distributed under the terms and conditions of the Creative Commons Attribution (CC BY) license (https://creativecommons.org/licenses/by/4.0/).
Share and Cite
Shin, C.S.; Yoo, K.C. Predictive Factors of Wound Healing and Limb Salvage After Successful Below-the-Knee Endovascular Angioplasty in Patients with Diabetic Foot Ulcer: A Retrospective Study. Medicina 2025, 61, 277. https://doi.org/10.3390/medicina61020277
Shin CS, Yoo KC. Predictive Factors of Wound Healing and Limb Salvage After Successful Below-the-Knee Endovascular Angioplasty in Patients with Diabetic Foot Ulcer: A Retrospective Study. Medicina. 2025; 61(2):277. https://doi.org/10.3390/medicina61020277
Chicago/Turabian StyleShin, Chang Sik, and Kwon Cheol Yoo. 2025. "Predictive Factors of Wound Healing and Limb Salvage After Successful Below-the-Knee Endovascular Angioplasty in Patients with Diabetic Foot Ulcer: A Retrospective Study" Medicina 61, no. 2: 277. https://doi.org/10.3390/medicina61020277
APA StyleShin, C. S., & Yoo, K. C. (2025). Predictive Factors of Wound Healing and Limb Salvage After Successful Below-the-Knee Endovascular Angioplasty in Patients with Diabetic Foot Ulcer: A Retrospective Study. Medicina, 61(2), 277. https://doi.org/10.3390/medicina61020277

