Therapeutic Effects of Esomeprazole on Pancreatic and Lung Injury in Acute Pancreatitis: An Experimental Study
Abstract
1. Introduction
2. Materials and Methods
2.1. Animals
- –
- Control group (2 mL of 0.9% NaCl solution was given intraperitoneally, n = 8);
- –
- PCT group (acute pancreatitis was induced by cerulein, and then 2 mL 0.9% saline solution was administered intraperitoneally, n = 8);
- –
- ESM group (acute pancreatitis was induced by cerulein, and then 10 mg esomeprazole was administered intraperitoneally, n = 8).
2.2. Experimental Model
2.3. Histopathological Evaluation
2.4. Biochemical Analysis
2.5. Statistical Analysis
3. Results
3.1. Histopathologic Examination
3.2. Biochemical Analysis Results
4. Discussion
Limitations
5. Conclusions
Author Contributions
Funding
Institutional Review Board Statement
Informed Consent Statement
Data Availability Statement
Conflicts of Interest
References
- Bhatia, M. Novel therapeutic targets for acute pancreatitis and associated multiple organ dysfunction syndrome. Curr. Drug Targets-Inflamm. Allergy 2002, 1, 343–351. [Google Scholar] [CrossRef] [PubMed]
- Lankisch, P.; Apte, M.; Banks, P. Acute pancreatitis. Lancet 2015, 386, 85–96. [Google Scholar] [CrossRef]
- Pastor, C.M.; Matthay, M.A.; Frossard, J.-L. Pancreatitis-associated acute lung injury: New insights. Chest 2003, 124, 2341–2351. [Google Scholar] [CrossRef] [PubMed]
- Huang, Y.; Badurdeen, D.S. Acute pancreatitis review. Turk. J. Gastroenterol. 2023, 34, 795. [Google Scholar] [CrossRef] [PubMed]
- Cao, J.-P.; Piao, X.-H.; Zhu, L.-X.; Feng, P.-F. Xuebijing and somatostatin against acute pancreatitis: A systematic review and network pharmacology. Medicine 2024, 103, e40964. [Google Scholar] [CrossRef]
- Horvath, I.L.; Bunduc, S.; Fehervari, P.; Vancsa, S.; Nagy, R.; Garmaa, G.; Kleiner, D.; Hegyi, P.; Erőss, B.; Csupor, D. The combination of ulinastatin and somatostatin reduces complication rates in acute pancreatitis: A systematic review and meta-analysis of randomized controlled trials. Sci. Rep. 2022, 12, 17979. [Google Scholar] [CrossRef]
- Monti, G.; Konkayev, A.; Carta, S.; Bradic, N.; Bruni, A.; Kotani, Y.; Guarracino, F.; Redkin, I.; Biondi-Zoccai, G.; Benedetto, U. High dose esomeprazole as an anti-inflammatory agent in sepsis: Protocol for a randomized controlled trial. Contemp. Clin. Trials 2023, 133, 107319. [Google Scholar] [CrossRef] [PubMed]
- Ebrahimpour, A.; Ahir, M.; Wang, M.; Jegga, A.G.; Bonnen, M.D.; Eissa, N.T.; Montesi, S.B.; Raghu, G.; Ghebre, Y.T. Combination of esomeprazole and pirfenidone enhances antifibrotic efficacy in vitro and in a mouse model of TGFβ-induced lung fibrosis. Sci. Rep. 2022, 12, 20668. [Google Scholar] [CrossRef] [PubMed]
- Nelson, C.; Lee, J.; Ko, K.; Sikora, A.G.; Bonnen, M.D.; Enkhbaatar, P.; Ghebre, Y.T. Therapeutic efficacy of esomeprazole in cotton smoke-induced lung injury model. Front. Pharmacol. 2017, 8, 16. [Google Scholar] [CrossRef]
- Pham, N.; Ludwig, M.S.; Wang, M.; Ebrahimpour, A.; Bonnen, M.D.; Diwan, A.H.; Kim, S.J.; Bryan, J.; Newton, J.M.; Sikora, A.G. Topical esomeprazole mitigates radiation-induced dermal inflammation and fibrosis. Radiat. Res. 2019, 192, 473–482. [Google Scholar] [CrossRef] [PubMed]
- Eltahir, H.M.; Nazmy, M.H. Esomeprazole ameliorates CCl4 induced liver fibrosis in rats via modulating oxidative stress, inflammatory, fibrogenic and apoptotic markers. Biomed. Pharmacother. 2018, 97, 1356–1365. [Google Scholar] [CrossRef] [PubMed]
- Ghebremariam, Y.T.; Cooke, J.P.; Gerhart, W.; Griego, C.; Brower, J.B.; Doyle-Eisele, M.; Moeller, B.C.; Zhou, Q.; Ho, L.; de Andrade, J. Pleiotropic effect of the proton pump inhibitor esomeprazole leading to suppression of lung inflammation and fibrosis. J. Transl. Med. 2015, 13, 249. [Google Scholar] [CrossRef]
- Kedika, R.R.; Souza, R.F.; Spechler, S.J. Potential anti-inflammatory effects of proton pump inhibitors: A review and discussion of the clinical implications. Dig. Dis. Sci. 2009, 54, 2312–2317. [Google Scholar] [CrossRef] [PubMed]
- Handa, O.; Yoshida, N.; Fujita, N.; Tanaka, Y.; Ueda, M.; Takagi, T.; Kokura, S.; Naito, Y.; Okanoue, T.; Yoshikawa, T. Molecular mechanisms involved in anti-inflammatory effects of proton pump inhibitors. Inflamm. Res. 2006, 55, 476–480. [Google Scholar] [CrossRef] [PubMed]
- Yoshida, N.; Yoshikawa, T.; Tanaka, Y.; Fujita, N.; Kassai, K.; Naito, Y.; Kondo, M. A new mechanism for anti-inflammatory actions of proton pump inhibitors–inhibitory effects on neutrophil–endothelial cell interactions. Aliment. Pharmacol. Ther. 2000, 14, 74–81. [Google Scholar] [CrossRef]
- Niederau, C.; Ferrell, L.D.; Grendell, J.H. Caerulein-induced acute necrotizing pancreatitis in mice; protective effects of Proglumide Benzotript, and Secretin. Gastroenterology 1985, 88, 1192–1204. [Google Scholar] [CrossRef]
- Gultekin, F.A.; Kerem, M.; Tatlicioglu, E.; Aricioglu, A.; Unsal, C.; Bukan, N. Leptin treatment ameliorates acute lung injury in rats with cerulein-induced acute pancreatitis. World J. Gastroenterol. WJG 2007, 13, 2932. [Google Scholar] [CrossRef] [PubMed]
- Nair, A.B.; Jacob, S. A simple practice guide for dose conversion between animals and human. J. Basic Clin. Pharm. 2016, 7, 27. [Google Scholar] [CrossRef] [PubMed]
- Kaplan, M.; Tanoğlu, A.; Güney, B.Ç.; Yeniçeri, M.; Çırak, Z.; Taştan, Y.Ö.; Sade, A.G. Golimumab ameliorates pancreatic inflammatory response in the cerulein-induced acute pancreatitis in rats. Turk. J. Gastroenterol. 2022, 33, 918. [Google Scholar] [CrossRef]
- Schoenberg, M.; Büchler, M.; Gaspar, M.; Stinner, A.; Younes, M.; Melzner, I.; Bültmann, B.; Beger, H. Oxygen free radicals in acute pancreatitis of the rat. Gut 1990, 31, 1138. [Google Scholar] [CrossRef]
- Um, S.H.; Kwon, Y.D.; Kim, C.D.; Lee, H.S.; Jeen, Y.T.; Chun, H.J.; Lee, S.W.; Choi, J.H.; Ryu, H.S.; Hyun, J.H. The role of nitric oxide in experimental cerulein induced pancreatitis. J. Korean Med. Sci. 2003, 18, 520. [Google Scholar] [CrossRef]
- Dawra, R.; Ku, Y.S.; Sharif, R.; Dhaulakhandi, D.; Phillips, P.; Dudeja, V.; Saluja, A.K. An improved method for extracting myeloperoxidase and determining its activity in the pancreas and lungs during pancreatitis. Pancreas 2008, 37, 62–68. [Google Scholar] [CrossRef] [PubMed]
- Frossard, J.-L.; Hadengue, A.; Spahr, L.; Morel, P.; Pastor, C.M. Natural history of long-term lung injury in mouse experimental pancreatitis. Crit. Care Med. 2002, 30, 1541–1546. [Google Scholar] [CrossRef] [PubMed]
- Han, X.; Wang, Y.; Chen, H.; Zhang, J.; Xu, C.; Li, J.; Li, M. Enhancement of ICAM-1 via the JAK2/STAT3 signaling pathway in a rat model of severe acute pancreatitis-associated lung injury. Exp. Ther. Med. 2016, 11, 788–796. [Google Scholar] [CrossRef] [PubMed]
- Feddersen, C.; Willemer, S.; Karges, W.; Püchner, A.; Adler, G.; Wichert, P. Lung injury in acute experimental pancreatitis, in rats: II. Functional Studies. Int. J. Pancreatol. 1991, 8, 323–331. [Google Scholar] [CrossRef] [PubMed]
- Willemer, S.; Feddersen, C.; Karges, W.; Adler, G. Lung injury in acute experimental pancreatitis in rats: I. Morphological studies. Int. J. Pancreatol. 1991, 8, 305–321. [Google Scholar] [CrossRef]
- Awla, D.; Hartman, H.; Abdulla, A.; Zhang, S.; Rahman, M.; Regnér, S.; Thorlacius, H. Rho-kinase signalling regulates trypsinogen activation and tissue damage in severe acute pancreatitis. Br. J. Pharmacol. 2011, 162, 648–658. [Google Scholar] [CrossRef]
- Bhatia, M.; Brady, M.; Shokuhi, S.; Christmas, S.; Neoptolemos, J.P.; Slavin, J. Inflammatory mediators in acute pancreatitis. J. Pathol. A J. Pathol. Soc. Great Br. Irel. 2000, 190, 117–125. [Google Scholar] [CrossRef]
- Kaufmann, P.; Tilz, G.P.; Smolle, K.H.; Demel, U.; Krejs, G.J. Increased plasma concentrations of circulating intercellular adhesion molecule-1 (cICAM-1) in patients with necrotizing pancreatitis. Immunobiology 1996, 195, 209–219. [Google Scholar] [CrossRef]
- He, L.; Wang, L.; Hou, H. Bicarbonated Ringer’s solution improves L-arg-induced acute pancreatitis in rats via the NF-κB and Nrf2 pathways. Scand. J. Gastroenterol. 2023, 58, 276–285. [Google Scholar] [CrossRef]





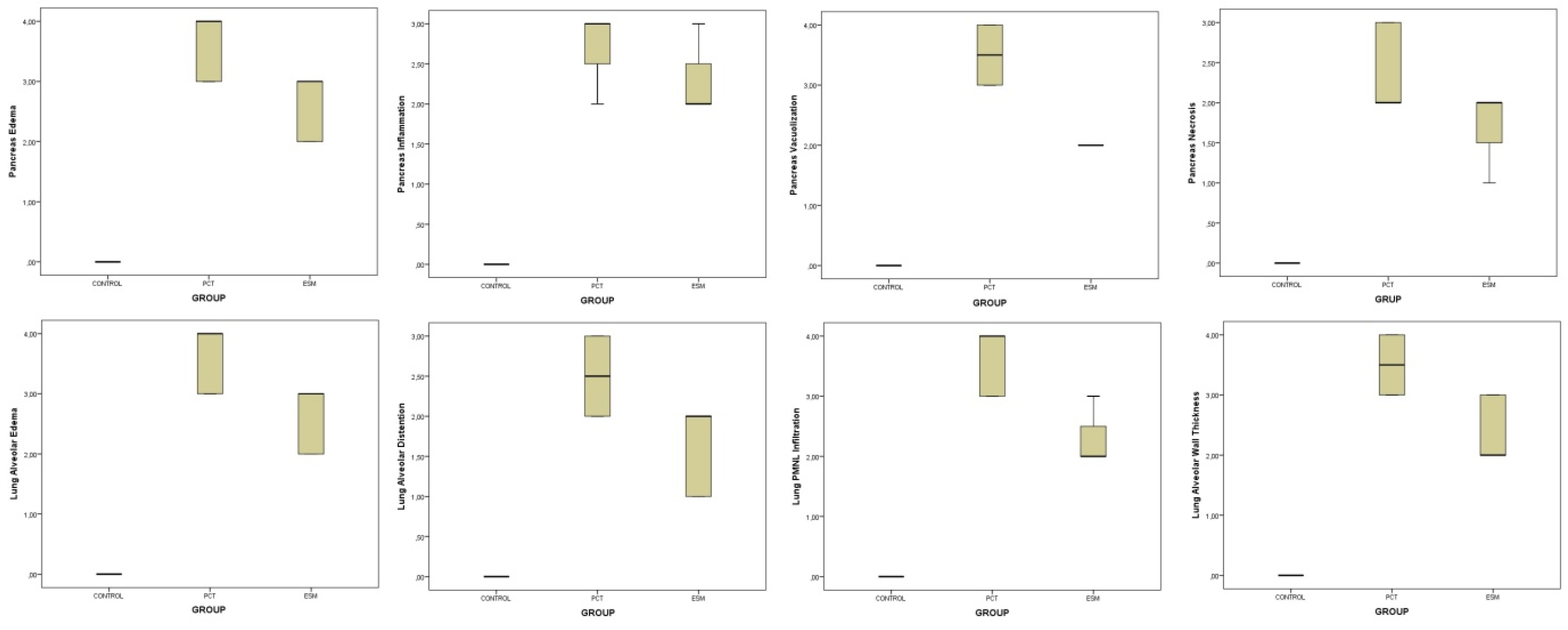
| Variable | CONTROL | PCT | ESM | X2 | p | |
|---|---|---|---|---|---|---|
| Mean ± SD/ Median (Min–Max) | Mean ± SD/ Median (Min–Max) | Mean ± SD/ Median (Min–Max) | ||||
| Pancreas | Edema | 0 (0–0) | 2 (2–3) | 2 (2–1) | 19.413 | <0.001 |
| Inflammation | 0 (0–0) | 3 (2–3) | 2 (2–3) | 18.688 | <0.001 | |
| Vacuolization | 0 (0–0) | 4 (3–4) | 2 (2–3) | 21.445 | <0.001 | |
| Necrosis | 0 (0–0) | 3 (2–3) | 2 (1–2) | 19.413 | <0.001 | |
| Lung | Alveolar edema | 0 (0–0) | 4 (3–4) | 2 (2–3) | 20.034 | <0.001 |
| Alveolar distention | 0 (0–0) | 3 (2–3) | 2 (1–2) | 19.642 | <0.001 | |
| Alveolar wall thickness | 0 (0–0) | 4 (3–4) | 2 (2–3) | 20.236 | <0.001 | |
| PMNL infiltration | 0 (0–0) | 4 (3–4) | 2 (2–3) | 21.018 | <0.001 |
| Variable | Group (I/J) | Z | p | |
|---|---|---|---|---|
| Pancreas | Edema | CONTROL/PCT | −3.664 | <0.001 |
| CONTROL/ESM | −3.703 | <0.001 | ||
| PCT/ESM | −2.183 | 0.029 | ||
| Inflammation | CONTROL/PCT | −3.703 | <0.001 | |
| CONTROL/ESM | −3.703 | <0.001 | ||
| PCT/ESM | −1.936 | 0.053 | ||
| Vacuolization | CONTROL/PCT | −3.651 | <0.001 | |
| CONTROL/ESM | −3.771 | <0.001 | ||
| PCT/ESM | −3.371 | 0.001 | ||
| Necrosis | CONTROL/PCT | −3.664 | <0.001 | |
| CONTROL/ESM | −3.703 | <0.001 | ||
| PCT/ESM | −2.183 | 0.029 | ||
| Lung | Alveolar edema | CONTROL/PCT | −3.664 | <0.001 |
| CONTROL/ESM | −3.664 | <0.001 | ||
| PCT/ESM | −2.805 | 0.005 | ||
| Alveolar distention | CONTROL/PCT | −3.651 | <0.001 | |
| CONTROL/ESM | −3.664 | <0.001 | ||
| PCT/ESM | −2.578 | 0.010 | ||
| Alveolar wall thickness | CONTROL/PCT | −3.651 | <0.001 | |
| CONTROL/ESM | −3.664 | <0.001 | ||
| PCT/ESM | −2.922 | 0.003 | ||
| PMNL infiltration | CONTROL/PCT | −3.664 | <0.001 | |
| CONTROL/ESM | −3.703 | <0.001 | ||
| PCT/ESM | −3.229 | 0.001 |
| Variable | CONTROL | PCT | ESM | F/X2 | p |
|---|---|---|---|---|---|
| Mean ± SD/ Median (Min–Max) | Mean ± SD/ Median (Min–Max) | Mean ± SD/ Median (Min–Max) | |||
| Streptolysin-O (pancreas) | 3.64 ± 0.29 | 5.00 ± 0.48 | 4.83 ± 0.48 | 24.516 * | <0.001 |
| Streptolysin-O (lung) | 6.10 ± 0.35 | 7.77 ± 0.59 | 7.52 ± 0.56 | 24.886 * | <0.001 |
| Myeloperoxidase (pancreas) | 1.65 ± 0.52 | 2.39 ± 0.58 | 2.25 ± 0.69 | 3.428 * | 0.051 |
| Myeloperoxidase (lung) | 2.01 ± 0.59 | 2.90 ± 0.71 | 2.73 ± 0.69 | 4.008 * | 0.034 |
| Nitric oxide (pancreas) | 3.64 ± 0.29 | 5.01 ± 0.48 | 4.82 ± 0.44 | 25.873 * | <0.001 |
| Nitric oxide (lung) | 6.10 ± 0.35 | 7.77 ± 0.59 | 7.47 ± 0.53 | 25.144 * | <0.001 |
| Interleukin 1β (serum) | 13.08 ± 2.04 | 27.99 ± 4.59 | 23.30 ± 3.09 | 40.137 * | <0.001 |
| TNF-α (serum) | 48.38 ± 7.57 | 103.55 ± 16.97 | 86.22 ± 11.43 | 40.132 * | <0.001 |
| MIP.2 (serum) | 134.11 (75.26–160.85) | 2853.96 (1167.43–5180.15) | 596.68 (476.18–1782.67) | 19.245 † | <0.001 |
| ICAM.1 (serum) | 3.13 ± 1.30 | 16.87 ± 6.70 | 14.27 ± 6.62 | 14.312 * | <0.001 |
| Amylase (serum) | 3.20 ± 1.33 | 10.51 ± 2.44 | 6.95 ± 1.66 | 30.333 * | <0.001 |
| Lipase (serum) | 71.30 (34.28–92.77) | 890.51 (432.98–1084.88) | 476.52 (350.76–1078.88) | 16.141 † | <0.001 |
| Variable | Group (I/J) | Mean Difference/Z | p |
|---|---|---|---|
| Streptolysin-O (pancreas) | CONTROL/PCT | −1.370 * | <0.001 |
| CONTROL/ESM | −1.191 * | <0.001 | |
| PCT/ESM | 0.179 * | 0.696 | |
| Streptolysin-O (lung) | CONTROL/PCT | −1.673 * | <0.001 |
| CONTROL/ESM | −1.424 * | <0.001 | |
| PCT/ESM | 0.249 * | 0.619 | |
| Myeloperoxidase (lung) | CONTROL/PCT | −0.888 * | 0.037 |
| CONTROL/ESM | −0.725 * | 0.100 | |
| PCT/ESM | 0.163 * | 0.877 | |
| Nitric oxide (pancreas) | CONTROL/PCT | −1.370 * | 0.001 |
| CONTROL/ESM | −1.180 * | 0.001 | |
| PCT/ESM | 0.190 * | 0.634 | |
| Nitric oxide (lung) | CONTROL/PCT | −1.672 * | <0.001 |
| CONTROL/ESM | −1.373 * | <0.001 | |
| PCT/ESM | 0.299 * | 0.472 | |
| Interleukin 1β (serum) | CONTROL/PCT | −14.910 * | <0.001 |
| CONTROL/ESM | −10.225 * | <0.001 | |
| PCT/ESM | 4.685 * | 0.031 | |
| Tumor necrosis factor-α (serum) | CONTROL/PCT | −55.167 * | <0.001 |
| CONTROL/ESM | −37.832 * | <0.001 | |
| PCT/ESM | 17.335 * | 0.031 | |
| MIP.2 (serum) | CONTROL/PCT | −3.361 † | 0.001 |
| CONTROL/ESM | −3.240 † | 0.001 | |
| PCT/ESM | −3.125 † | 0.002 | |
| ICAM−1 (serum) | CONTROL/PCT | −13.739 * | <0.001 |
| CONTROL/ESM | −11.141 * | 0.002 | |
| PCT/ESM | 2.598 * | 0.631 | |
| Amylase (serum) | CONTROL/PCT | −7.315 * | <0.001 |
| CONTROL/ESM | −3.751 * | 0.003 | |
| PCT/ESM | 3.565 * | 0.004 | |
| Lipase (serum) | CONTROL/PCT | −3.361 † | 0.001 |
| CONTROL/ESM | −3.240 † | 0.001 | |
| PCT/ESM | −1.620 † | 0.105 |
Disclaimer/Publisher’s Note: The statements, opinions and data contained in all publications are solely those of the individual author(s) and contributor(s) and not of MDPI and/or the editor(s). MDPI and/or the editor(s) disclaim responsibility for any injury to people or property resulting from any ideas, methods, instructions or products referred to in the content. |
© 2025 by the authors. Published by MDPI on behalf of the Lithuanian University of Health Sciences. Licensee MDPI, Basel, Switzerland. This article is an open access article distributed under the terms and conditions of the Creative Commons Attribution (CC BY) license (https://creativecommons.org/licenses/by/4.0/).
Share and Cite
Tandoğan, Y.İ.; Aydin, O.; Pehlivanli, F.; Aydinuraz, K.; Daphan, Ç.E.; Kaplan, İ. Therapeutic Effects of Esomeprazole on Pancreatic and Lung Injury in Acute Pancreatitis: An Experimental Study. Medicina 2025, 61, 200. https://doi.org/10.3390/medicina61020200
Tandoğan Yİ, Aydin O, Pehlivanli F, Aydinuraz K, Daphan ÇE, Kaplan İ. Therapeutic Effects of Esomeprazole on Pancreatic and Lung Injury in Acute Pancreatitis: An Experimental Study. Medicina. 2025; 61(2):200. https://doi.org/10.3390/medicina61020200
Chicago/Turabian StyleTandoğan, Yusuf İskender, Oktay Aydin, Faruk Pehlivanli, Kuzey Aydinuraz, Çağatay Erden Daphan, and İlker Kaplan. 2025. "Therapeutic Effects of Esomeprazole on Pancreatic and Lung Injury in Acute Pancreatitis: An Experimental Study" Medicina 61, no. 2: 200. https://doi.org/10.3390/medicina61020200
APA StyleTandoğan, Y. İ., Aydin, O., Pehlivanli, F., Aydinuraz, K., Daphan, Ç. E., & Kaplan, İ. (2025). Therapeutic Effects of Esomeprazole on Pancreatic and Lung Injury in Acute Pancreatitis: An Experimental Study. Medicina, 61(2), 200. https://doi.org/10.3390/medicina61020200

