RETRACTED: Association of Entamoeba gingivalis with Periodontal Disease—Systematic Review and Meta-Analysis
Abstract
1. Introduction
2. Materials and Methods
2.1. Inclusion and Exclusion Criteria
2.2. Data Selection Protocol
2.3. Study Selection
2.4. Quality, Risk of Bias, and Heterogenity Assessment
2.5. Statistical Analysis
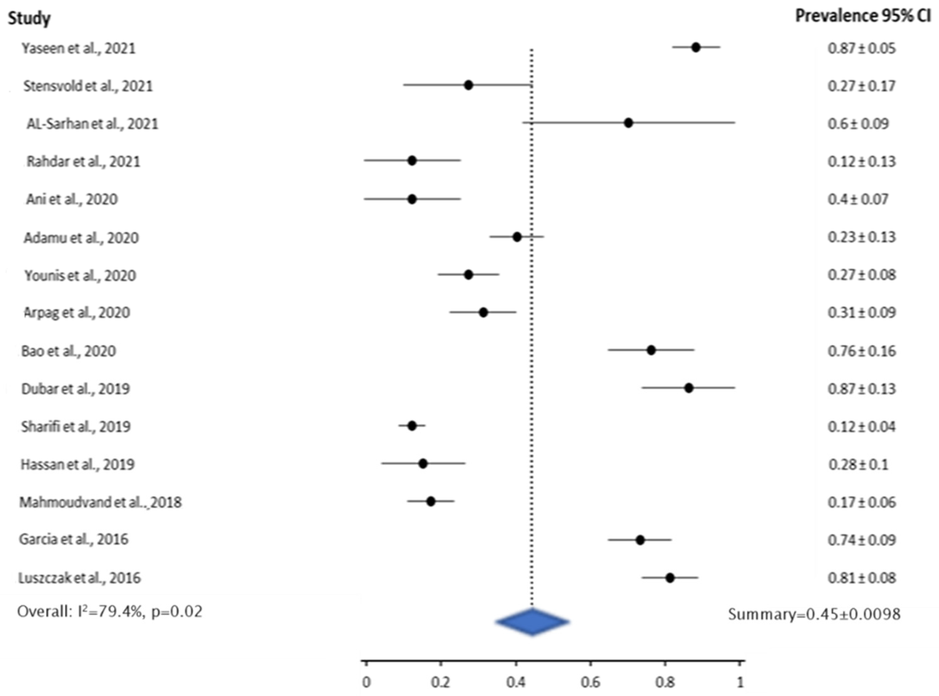
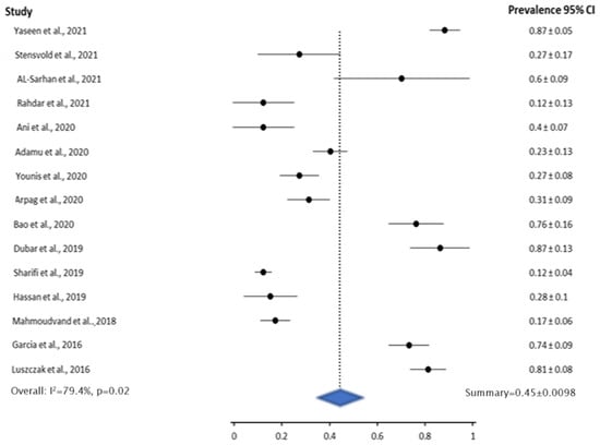
3. Results
3.1. Results Based on Periodontal Disease
3.2. Results Based on Dental Health
3.3. Results Based on the Gender
3.4. Results Based on Age
3.5. Results Based on the Method of Detection Used
3.6. Results Based on Location of the Samples
4. Discussion
5. Conclusions
Author Contributions
Funding
Conflicts of Interest
References
- Hijryana, M.; MacDougall, M.; Ariani, N.; Kusdhany, L.S.; Walls, A.W.G. Impact of Periodontal Disease on the Quality of Life of Older People in Indonesia: A Qualitative Study. JDR Clin. Trans. Res. 2021, 22, 23800844211041911. [Google Scholar] [CrossRef] [PubMed]
- The CDC Overview of Periodontal Disease. Available online: https://www.cdc.gov/oralhealth/conditions/periodontal-disease.html (accessed on 30 May 2022).
- Holtfreter, B.; Kocher, T.; Hoffmann, T.; Desvarieux, M.; Micheelis, W. Prevalence of periodontal disease and treatment demands based on a German dental survey (DMS IV). J. Clin. Periodontol. 2010, 37, 211–219. [Google Scholar] [CrossRef] [PubMed]
- Chen, C.; Hemme, C.; Beleno, J.; Shi, Z.J.; Ning, D. Oral microbiota of periodontal health and disease and their changes after nonsurgical periodontal therapy. ISME J. 2018, 12, 1210–1224. [Google Scholar] [CrossRef] [PubMed]
- Loos, B.G.; Van Dyke, T.E. The role of inflammation and genetics in periodontal disease. Periodontol 2000 2020, 83, 26–39. [Google Scholar] [CrossRef] [PubMed] [PubMed Central]
- Lamont, R.J.; Koo, H.; Hajishengallis, G. The oral microbiota: Dynamic communities and host interactions. Nat. Rev. Microbiol. 2018, 16, 745–759. [Google Scholar] [CrossRef] [PubMed]
- Kilian, M.; Chapple, I.; Hannig, M. The oral microbiome—An update for oral healthcare professionals. Br. Dent. J. 2016, 221, 657–666. [Google Scholar] [CrossRef] [PubMed]
- Belkaid, Y.; Hand, T.W. Role of the microbiota in immunity and inflammation. Cell 2014, 157, 121–141. [Google Scholar] [CrossRef] [PubMed]
- Newman, M.G.; Takei, H.H.; Klokkevold, P.R.; Carranza, A. Carranza’s Clinical Periodontology, 12th ed.; Elsevier: St. Louis, MO, USA, 2015; pp. 138–146. [Google Scholar]
- Suzuki, N.; Yoneda, M.; Hirofuji, T. Mixed red-Complex bacterial infection in periodontitis. Int. J. Dent. 2013, 2013, 587279. [Google Scholar] [CrossRef] [PubMed]
- Bao, X.; Wiehe, R.; Dommisch, H.; Schaefer, A.S. Entamoeba gingivalis causes Oral inflammation and tissue destruction. J. Dent. Res. 2020, 99, 561–567. [Google Scholar] [CrossRef]
- El-Dib, N.A.; Khater, M.M. Entamoeba. In Encyclopedia of Infection and Immunity; Rezaei, N., Ed.; Elsevier: Oxford, UK, 2022; pp. 492–512. [Google Scholar]
- Bonner, M.; Fresno, M.; Gironès, N.; Guillén, N.; Santi-Rocca, J. Reassessing the Role of Entamoeba gingivalis in Periodontitis. Front. Cell Infect. Microbiol. 2018, 8, 379. [Google Scholar] [CrossRef]
- Mielnik-Błaszczak, M.; Rzymowska, J.; Michałowski, A.; Skawińska-Bednarczyk, A.; Błaszczak, J. Entamoeba gingivalis—Prevalence and correlation with dental caries in children from rural and urban regions of Lublin Province, Eastern Poland. Ann. Agric. Environ. Med. 2018, 25, 656–658. [Google Scholar] [CrossRef] [PubMed]
- Page, M.J.; McKenzie, J.E.; Bossuyt, P.M.; Boutron, I.; Hoffmann, T.C.; Mulrow, C.D.; Shamseer, L.; Tetzlaff, J.M.; Akl, E.A.; Brennan, S.E.; et al. The PRISMA 2020 statement: An updated guideline for reporting systematic reviews. PLoS Med. 2021, 18, e1003583. [Google Scholar] [CrossRef] [PubMed]
- Luszczak, J.; Bartosik, M.; Rzymowska, J.; Sochaczewska-Dolecka, A.; Tomaszek, E. The occurrence of Entamoeba gingivalis among patients with periodontal disease. Curr. Issues Pharm. Med. Sci. 2016, 29, 86–89. [Google Scholar] [CrossRef]
- El-Dardiry, M.A.; Shabaan, S.H. Detection of Entamoeba gingivalis trophozoites in patients suffering from gingivitis versus healthy subjects. AENSI J. 2016, 10, 222–226. [Google Scholar]
- Garcia, G.; Ramos, F.; Maldonado, J.; Fernandez, A.; Yáñez, J.; Hernandez, L. Prevalence of two Entamoeba gingivalis ST1 and ST2-kamaktli subtypes in the human oral cavity under various conditions. Parasitol. Res. 2018, 117, 2941–2948. [Google Scholar] [CrossRef] [PubMed]
- Mahmoudvand, H.; Saedi Dezaki, S.; Soleimani, S.; Baneshi, M.R. Seroprevalence and risk factors of Toxoplasma gondii infection among healthy blood donors in south-east of Iran. Parasite Immunol. 2016, 37, 362–367. [Google Scholar] [CrossRef] [PubMed]
- Hassan, S.S.; Madkour, G.G.; Henin, R.W.; Gad, S.W.F.; Abd El-Aal, A.A. Is Entamoeba Gingivalis a Risk Factor for Periodontal Diseases? A Case-Control Study. Perio J. 2019, 3, 18–28. [Google Scholar] [CrossRef]
- Dubar, M.; Zaffino, M.L.; Remen, T.; Thilly, N.; Cunat, L.; Machouart, M.C.; Bisson, C. Protozoans in subgingival biofilm: Clinical and bacterial associated factors and impact of scaling and root planning treatment. J. Oral. Microbiol. 2019, 12, 1693222. [Google Scholar] [CrossRef] [PubMed]
- Arpag, O.F. Presence of Trichomonas tenax and Entamoeba gingivalis in peri-implantitis lesions. Quintessence Int. 2020, 51, 212–218. [Google Scholar]
- Younis, E.Z.; Khater, H.F.; Hayam Elawamy, A.; Aldinali, A.; Rabia El Ghazal, B. Biochemical Assays and Epidemiological Status of Visceral Leishmaniasis among Patient Attending to Benghazi Children’s Hospital. Ann. Microbiol. Immunol. 2020, 3, 1022. [Google Scholar]
- Adamu, V.E.; Eneojo, N.I.F.; Amaechi, A.A.; Nwoke, B.E.B.; Ajaero, C.M.U. Periodontal health and human oral protozoa in parts of Enugu State, Nigeria. Orap J. 2020, 1, 701. [Google Scholar]
- Ani, O.C.; Agbo, E.E.; Nnamonu, E.I.; Onyeidu, S.O.; Onyeidu, B.U.; Okwerekwu, N.J. Rising Profile of Oral Cavity Protozoa amongst Dental Patients in South Eastern Nigeria. LIFE Int. J. Health Life-Sci. 2020, 6, 34–42. [Google Scholar]
- Al-Jubory, Z.H.; Al-Hamairy, A.K. Molecular Study of entamoeba gingivalis and trichomonas tenax among plaque-induced gingivitis patients in Babylon Province. Ann. Rom. Soc. Cell Biol. 2021, 25, 14012–14027. [Google Scholar]
- Al-Nuaimi, B.N.; Al-Taee, A.F.; Al-Kattan, M.M. Conventional and Molecular Identification of Entamoeba gingivalis from Periodontitis Patients in Nineveh Governorate /Iraq. Ann. Rom. Soc. Cell Biol. 2021, 25, 1293–1306. [Google Scholar]
- AL-Sarhan, O.H.; Mohamed, A.A.; Saeed, A.Y. Detection of entamoeba gingivalis by PCI technology and its association with oral diseases. IOP Conf. Ser. Earth Environ. Sci. 2021, 790, 012053. [Google Scholar] [CrossRef]
- Stensvold, C.R.; Lebbad, M.; Victory, E.L.; Verweij, J.J.; Tannich, E.; Alfellani, M.; Legarraga, P.; Clark, C.G. Increased sampling reveals novel lineages of Entamoeba: Consequences of genetic diversity and host specificity for taxonomy and molecular detection. Protist 2011, 162, 525–541. [Google Scholar] [CrossRef] [PubMed]
- Yaseen, A.; Mahafzah, A.; Dababseh, D.; Taim, D.; Hamdan, A.A.; Al-Fraihat, E. Oral Colonization by Entamoeba gingivalis and Trichomonas tenax: A PCR-Based Study in Health, Gingivitis, and Periodontitis. Front. Cell Infect. Microbiol. 2021, 11, 782805. [Google Scholar] [CrossRef] [PubMed]
- Meyer, M.S.; Joshipura, K.; Giovannucci, E.; Michaud, D.S. A review of the relationship between tooth loss, periodontal disease, and cancer. Cancer Causes Control 2008, 19, 895–907. [Google Scholar] [CrossRef]
- Winning, L.; Kinden, G.J. Periodontitis and systemic disease. BDJ Team 2015, 2, 15163. [Google Scholar] [CrossRef]
- Irani, S.; Barati, I.; Badiei, M. Periodontitis and oral cancer—Current concepts of the etiopathogenesis. Oncol. Rev. 2020, 14, 465. [Google Scholar] [CrossRef]
- Tonetti, M.S.; Jepsen, S.; Jin, L.; Otoma-Corgel, J. Impact of the global burden of periodontal diseases on health, nutrition and wellbeing of mankind: A call for global action. J. Clin. Periodontol. 2017, 44, 456–462. [Google Scholar] [CrossRef] [PubMed]
- Sedghi, L.M.; Bacino, M.; Kapila, Y.L. Periodontal Disease: The Good, The Bad, and the Unknown, Jundishapur. J. Health. Sci. 2021, 11, 766944. [Google Scholar]
- Di Stefano, M.; Polizzi, A.; Santonocito, S.; Romano, A.; Lombardi, T.; Isola, G. Impact of oral microbiome in periodontal health and Periodontitis: A critical review on prevention and treatment. Int. J. Mol. Sci. 2022, 23, 5142. [Google Scholar] [CrossRef] [PubMed]
- Badri, M.; Olfatifar, M.; Abdoli, A.; Houshmand, E.; Zarabadipour, M.; Abadi, P.A. Current Global Status and the Epidemiology of Entamoeba gingivalis in Humans: A Systematic Review and Meta-analysis. Acta Parasitol. 2021, 66, 1102–1113. [Google Scholar] [CrossRef] [PubMed]
- Santi-Rocca, J. The Protozoome of the Periodontal Sulcus: From Health to Disease. In Eukaryome Impact on Human Intestine Homeostasis and Mucosal Immunology; Guillen, N., Ed.; Springer: Cham, Switzerland, 2020. [Google Scholar] [CrossRef]
- Bonner, M.; Amard, V.; Bar-Pinatel, C.; Charpentier, F.; Chatard, J.M.; Desmuyck, Y.; Ihler, S.; Rochet, J.P.; Roux de La Tribouille, V.; Saladin, L.; et al. Detection of the amoeba Entamoeba gingivalis in periodontal pockets. Parasite 2014, 21, 30. [Google Scholar] [CrossRef] [PubMed]
- Martin-Garcia, D.F.; Sallam, M.; Garcia, G.; Santi-Rocca, J. Parasites in Periodontal Health and Disease: A Systematic Review and Meta-analysis. In Periodontitis. Advances in Experimental Medicine and Biology; Santi-Rocca, J., Ed.; Springer: Cham, Switzerland, 2022; p. 1373. [Google Scholar] [CrossRef]
- Trim, R.D.; Skinner, M.A.; Farone, M.B.; Dubois, J.D.; Newsome, A.L. Use of PCR to detect Entamoeba gingivalis in diseased gingival pockets and demonstrate its absence in healthy gingival sites. Parasitol. Res. 2011, 109, 857–864. [Google Scholar] [CrossRef]
- Jiao, J.; Bie, M.; Xu, X.; Duan, D.; Li, Y.; Wu, Y.; Zhao, L. Entamoeba gingivalis is associated with periodontal conditions in Chinese young patients: A cross-sectional study. Front. Cell Infect. Microbiol. 2022, 12, 730. [Google Scholar] [CrossRef]









| Inclusion Criteria | Exclusion Criteria |
|---|---|
| Randomized investigations | Animal subjects |
| Non-randomized investigations | Seminar/academic publications |
| In-depth case reports Validated comparative analyses | Incomplete data/opinion pieces Language other than English |
| Author | Year | Sample Size (Number of Patients) | Infected Patients | |
|---|---|---|---|---|
| 1 | Luszczak et al. [16] | 2016 | 102 | 83 |
| 2 | El-Dardiry et al. [17] | 2016 | 80 | 23 |
| 3 | Garcia et al. [18] | 2018 | 102 | 75 |
| 4 | Mahmoudvand et al. [19] | 2019 | 140 | 24 |
| 5 | Hassan et al. [20] | 2019 | 80 | 22 |
| 6 | Dubar et al. [21] | 2019 | 30 | 26 |
| 7 | Bao et al. [11] | 2020 | 51 | 39 |
| 8 | Arpag et al. [22] | 2020 | 101 | 31 |
| 9 | Younis et al. [23] | 2020 | 70 | 19 |
| 10 | Adamu et al. [24] | 2020 | 40 | 9 |
| 11 | Ani et al. [25] | 2020 | 180 | 72 |
| 12 | Al-Jubory et al. [26] | 2021 | 50 | 22 |
| 13 | Al-Nuaimi et al. [27] | 2021 | 124 | 96 |
| 14 | Al-Sarhan et al. [28] | 2021 | 70 | 42 |
| 15 | Stensvold et al. [29] | 2021 | 26 | 7 |
| 16 | Yaseen et al. [30] | 2021 | 143 | 125 |
| Results Based on the Age of the Research Participants | |||
|---|---|---|---|
| Age interval | 25 to 45 years | 45 to 60 years | Over 60 years |
| Mean Prevalence | 73.21% | 80.92% | 82.56% |
Disclaimer/Publisher’s Note: The statements, opinions and data contained in all publications are solely those of the individual author(s) and contributor(s) and not of MDPI and/or the editor(s). MDPI and/or the editor(s) disclaim responsibility for any injury to people or property resulting from any ideas, methods, instructions or products referred to in the content. |
© 2024 by the authors. Licensee MDPI, Basel, Switzerland. This article is an open access article distributed under the terms and conditions of the Creative Commons Attribution (CC BY) license (https://creativecommons.org/licenses/by/4.0/).
Share and Cite
Vlasa, A.; Bud, A.; Lazar, L.; Lazar, A.P.; Herbert, A.; Bud, E. RETRACTED: Association of Entamoeba gingivalis with Periodontal Disease—Systematic Review and Meta-Analysis. Medicina 2024, 60, 736. https://doi.org/10.3390/medicina60050736
Vlasa A, Bud A, Lazar L, Lazar AP, Herbert A, Bud E. RETRACTED: Association of Entamoeba gingivalis with Periodontal Disease—Systematic Review and Meta-Analysis. Medicina. 2024; 60(5):736. https://doi.org/10.3390/medicina60050736
Chicago/Turabian StyleVlasa, Alexandru, Anamaria Bud, Luminita Lazar, Ana Petra Lazar, Alexander Herbert, and Eugen Bud. 2024. "RETRACTED: Association of Entamoeba gingivalis with Periodontal Disease—Systematic Review and Meta-Analysis" Medicina 60, no. 5: 736. https://doi.org/10.3390/medicina60050736
APA StyleVlasa, A., Bud, A., Lazar, L., Lazar, A. P., Herbert, A., & Bud, E. (2024). RETRACTED: Association of Entamoeba gingivalis with Periodontal Disease—Systematic Review and Meta-Analysis. Medicina, 60(5), 736. https://doi.org/10.3390/medicina60050736

