Impact of Neoadjuvant Chemotherapy (NAC) on Biomarker Expression in Breast Cancer
Abstract
1. Introduction
2. Materials and Methods
2.1. Patients and Data Collection
2.2. Neoadjuvant Chemotherapy
2.3. Immunohistochemistry
2.4. Evaluation of NAC Response
2.5. Statistics
3. Results
3.1. Patient Characteristics
3.2. Correlation between Clinico-Pathological Variables and NAC Response
3.3. Changes in Each Biomarker Status after NAC
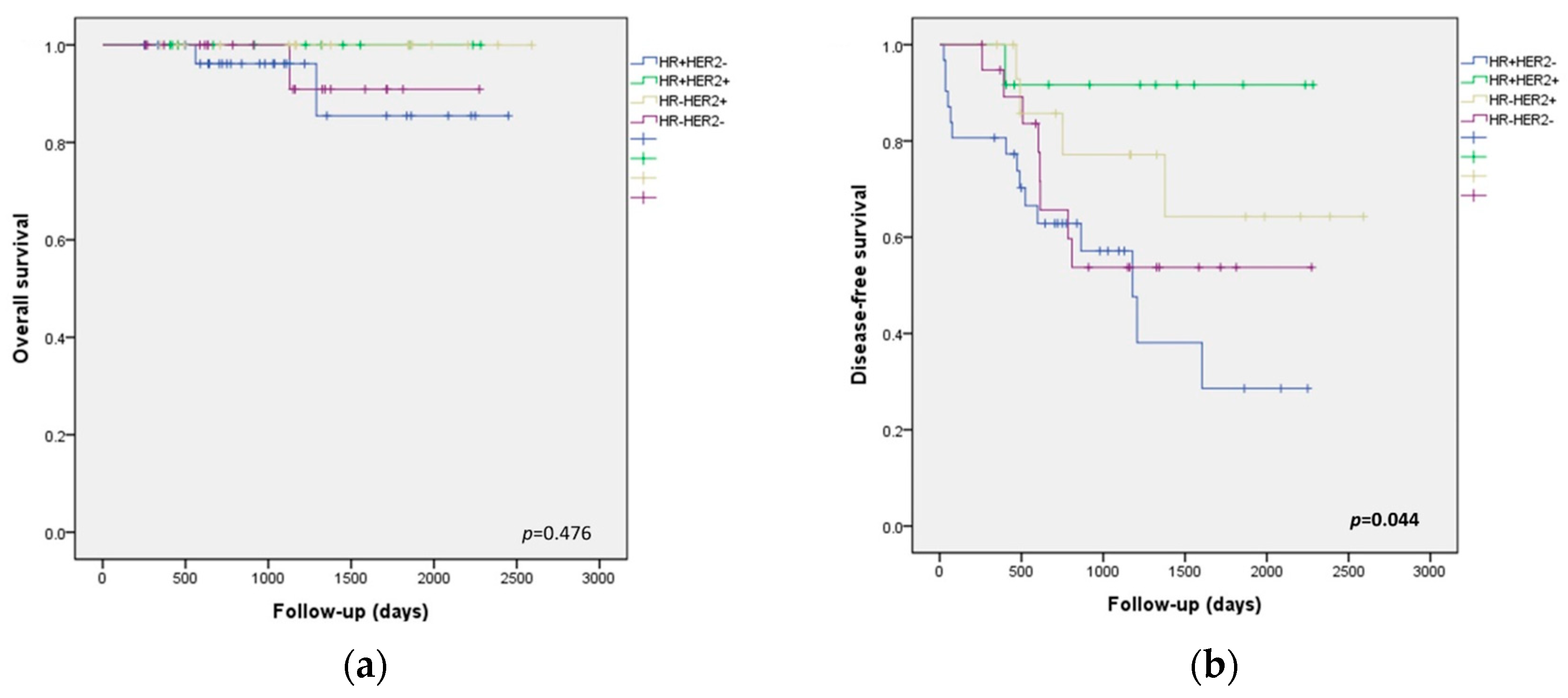
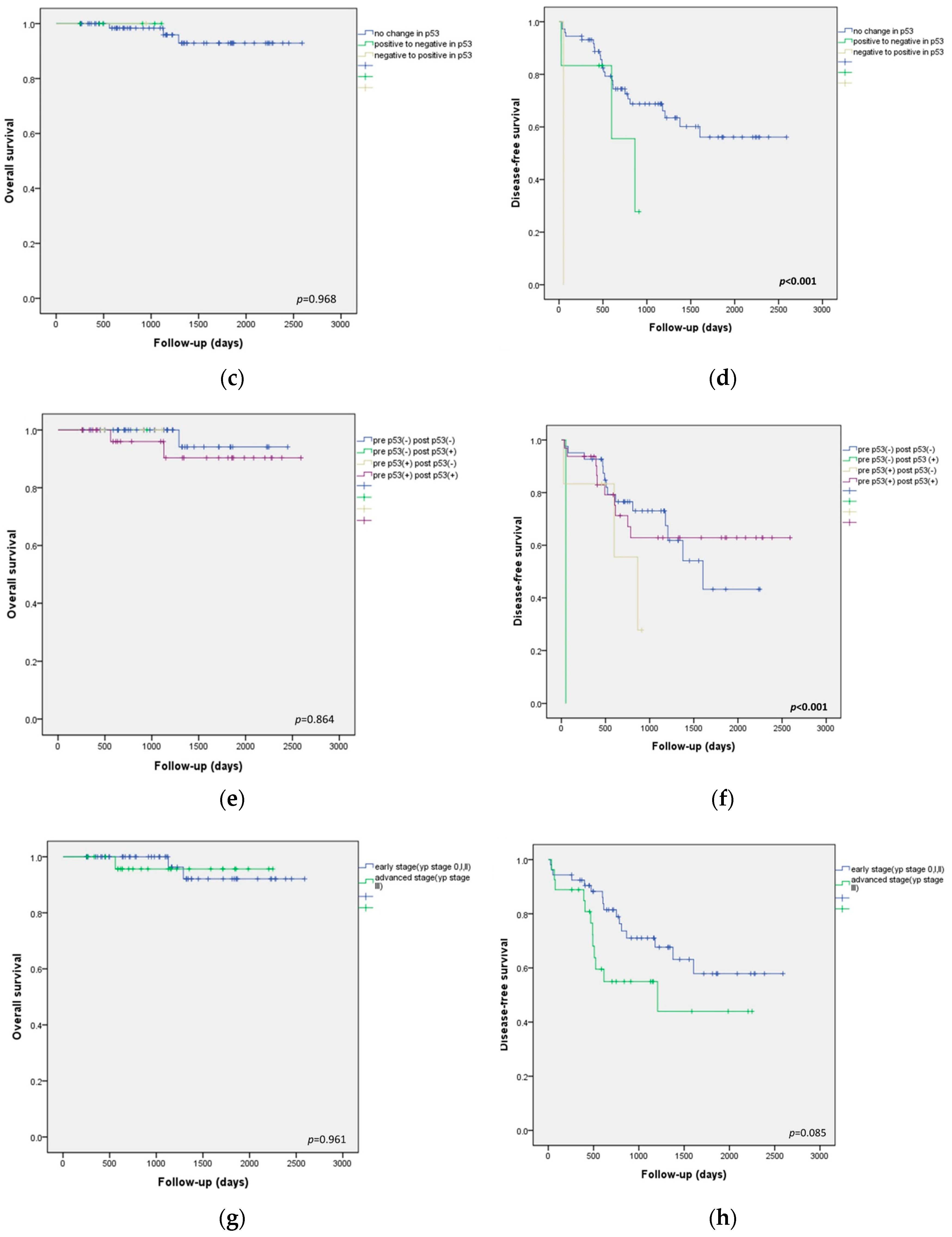
3.4. Overall Survival and Disease-Free Survival
4. Discussion
5. Conclusions
Author Contributions
Funding
Institutional Review Board Statement
Informed Consent Statement
Data Availability Statement
Conflicts of Interest
References
- Thompson, A.M.; Moulder-Thompson, S.L. Neoadjuvant treatment of breast cancer. Ann. Oncol. 2012, 23 (Suppl. 10), 231–236. [Google Scholar] [CrossRef] [PubMed]
- Mohan, S.C.; Walcott-Sapp, S.; Lee, M.K.; Srour, M.K.; Kim, S.; Amersi, F.F.; Giuliano, A.E.; Chung, A.P. Alterations in Breast Cancer Biomarkers Following Neoadjuvant Therapy. Ann. Surg. Oncol. 2021, 28, 5907–5917. [Google Scholar] [CrossRef] [PubMed]
- Cortazar, P.; Zhang, L.; Untch, M.; Mehta, K.; Costantino, J.P.; Wolmark, N.; Bonnefoi, H.; Cameron, D.; Gianni, L.; Valagussa, P.; et al. Pathological complete response and long-term clinical benefit in breast cancer: The CTNeoBC pooled analysis. Lancet 2014, 384, 164–172. [Google Scholar] [CrossRef] [PubMed]
- Symmans, W.F.; Peintinger, F.; Hatzis, C.; Rajan, R.; Kuerer, H.; Valero, V.; Assad, L.; Poniecka, A.; Hennessy, B.; Green, M.; et al. Measurement of residual breast cancer burden to predict survival after neoadjuvant chemotherapy. J. Clin. Oncol. 2007, 25, 4414–4422. [Google Scholar] [CrossRef] [PubMed]
- von Minckwitz, G.; Untch, M.; Blohmer, J.-U.; Costa, S.D.; Eidtmann, H.; Fasching, P.A.; Gerber, B.; Eiermann, W.; Hilfrich, J.; Huober, J.; et al. Definition and impact of pathologic complete response on prognosis after neoadjuvant chemotherapy in various intrinsic breast cancer subtypes. J. Clin. Oncol. 2012, 30, 1796–1804. [Google Scholar] [CrossRef] [PubMed]
- Chen, X.; He, C.; Han, D.; Zhou, M.; Wang, Q.; Tian, J.; Li, L.; Xu, F.; Zhou, E.; Yang, K. The predictive value of Ki-67 before neoadjuvant chemotherapy for breast cancer: A systematic review and meta-analysis. Future Oncol. 2017, 13, 843–857. [Google Scholar] [CrossRef] [PubMed]
- Li, C.; Fan, H.; Xiang, Q.; Xu, L.; Zhang, Z.; Liu, Q.; Zhang, T.; Ling, J.; Zhou, Y.; Zhao, X.; et al. Prognostic value of receptor status conversion following neoadjuvant chemotherapy in breast cancer patients: A systematic review and meta-analysis. Breast Cancer Res. Treat. 2019, 178, 497–504. [Google Scholar] [CrossRef] [PubMed]
- Rizzo, A.; Cusmai, A.; Acquafredda, S.; Rinaldi, L.; Palmiotti, G. Ladiratuzumab vedotin for metastatic triple negative cancer: Preliminary results, key challenges, and clinical potential. Expert Opin. Investig. Drugs 2022, 31, 495–498. [Google Scholar] [CrossRef] [PubMed]
- Emens, L.A. Breast Cancer Immunotherapy: Facts and Hopes. Clin. Cancer Res. 2018, 24, 511–520. [Google Scholar] [CrossRef]
- Santoni, M.; Rizzo, A.; Mollica, V.; Matrana, M.R.; Rosellini, M.; Faloppi, L.; Marchetti, A.; Battelli, N.; Massari, F. The impact of gender on The efficacy of immune checkpoint inhibitors in cancer patients: The MOUSEION-01 study. Crit. Rev. Oncol. 2022, 170, 103596. [Google Scholar] [CrossRef]
- Shaaban, A.M.; Provenzano, E. Receptor Status after Neoadjuvant Therapy of Breast Cancer: Significance and Implications. Pathobiology 2022, 89, 297–308. [Google Scholar] [CrossRef] [PubMed]
- Yemelyanova, A.; Vang, R.; Kshirsagar, M.; Lu, D.; Marks, M.A.; Shih, I.M.; Kurman, R.J. Immunohistochemical staining patterns of p53 can serve as a surrogate marker for TP53 mutations in ovarian carcinoma: An immunohistochemical and nucleotide sequencing analysis. Mod. Pathol. 2011, 24, 1248–1253. [Google Scholar] [CrossRef] [PubMed]
- Enomoto, Y.; Morimoto, T.; Nishimukai, A.; Higuchi, T.; Yanai, A.; Miyagawa, Y.; Miyoshi, Y. Impact of biomarker changes during neoadjuvant chemotherapy for clinical response in patients with residual breast cancers. Int. J. Clin. Oncol. 2016, 21, 254–261. [Google Scholar] [CrossRef] [PubMed]
- Rey-Vargas, L.; Mejia-Henao, J.C.; Sanabria-Salas, M.C.; Serrano-Gomez, S.J. Effect of neoadjuvant therapy on breast cancer biomarker profile. BMC Cancer 2020, 20, 675. [Google Scholar] [CrossRef] [PubMed]
- Tan, S.; Fu, X.; Xu, S.; Qiu, P.; Lv, Z.; Xu, Y.; Zhang, Q. Quantification of Ki67 Change as a Valid Prognostic Indicator of Luminal B Type Breast Cancer After Neoadjuvant Therapy. Pathol. Oncol. Res. 2021, 27, 1609972. [Google Scholar] [CrossRef] [PubMed]
- Zhou, X.; Zhang, J.; Yun, H.; Shi, R.; Wang, Y.; Wang, W.; Lagercrantz, S.B.; Mu, K. Alterations of biomarker profiles after neoadjuvant chemotherapy in breast cancer: Tumor heterogeneity should be taken into consideration. Oncotarget 2015, 6, 36894–36902. [Google Scholar] [CrossRef] [PubMed]
- Gianni, L.; Colleoni, M.; Bisagni, G.; Mansutti, M.; Zamagni, C.; Del Mastro, L.; Zambelli, S.; Bianchini, G.; Frassoldati, A.; Maffeis, I.; et al. Effects of neoadjuvant trastuzumab, pertuzumab and palbociclib on Ki67 in HER2 and ER-positive breast cancer. npj Breast Cancer 2022, 8, 1–7. [Google Scholar] [CrossRef] [PubMed]
- Brown, J.R.; DiGiovanna, M.P.; Killelea, B.; Lannin, D.R.; Rimm, D.L. Quantitative assessment Ki-67 score for prediction of response to neoadjuvant chemotherapy in breast cancer. Lab. Investig. 2014, 94, 98–106. [Google Scholar] [CrossRef] [PubMed]
- Banerji, U.; van Herpen, C.M.; Saura, C.; Thistlethwaite, F.; Lord, S.; Moreno, V.; Aftimos, P. Trastuzumab duocarmazine in locally advanced and metastatic solid tumours and HER2-expressing breast cancer: A phase 1 dose-escalation and dose-expansion study. Lancet Oncol. 2019, 20, 1124–1135. [Google Scholar] [CrossRef]
- Modi, S.; Park, H.; Murthy, R.K.; Iwata, H.; Tamura, K.; Tsurutani, J.; Takahashi, S. Antitumor Activity and Safety of Trastuzumab Deruxtecan in Patients With HER2-Low-Expressing Advanced Breast Cancer: Results From a Phase Ib Study. J. Clin. Oncol. 2020, 38, 1887–1896. [Google Scholar] [CrossRef]
- Ahn, S.; Woo, J.W.; Lee, K.; Park, S.Y. HER2 status in breast cancer: Changes in guidelines and complicating factors for interpretation. J. Pathol. Transl. Med. 2020, 54, 34–44. [Google Scholar] [CrossRef] [PubMed]
- Tural, D.; Karaca MFau—Zirtiloglu, A.; Zirtiloglu AFau—MHacioglu, B.; MHacioglu BFau—Sendur, M.A.; Sendur Ma Fau—Ozet, A.; Ozet, A. Receptor discordances after neoadjuvant chemotherapy and their effects on survival. J. BU ON 2019, 24, 20–25. [Google Scholar]
- Duffy, M.J.; Synnott, N.C.; Crown, J. Mutant p53 in breast cancer: Potential as a therapeutic target and biomarker. Breast Cancer Res. Treat. 2018, 170, 213–219. [Google Scholar] [CrossRef] [PubMed]
- Darb-Esfahani, S.; Denkert, C.; Stenzinger, A.; Salat, C.; Sinn, B.; Schem, C.; Endris, V.; Klare, P.; Schmitt, W.; Blohmer, J.-U.; et al. Role of TP53 mutations in triple negative and HER2-positive breast cancer treated with neoadjuvant anthracycline/taxane-based chemotherapy. Oncotarget 2016, 7, 67686–67698. [Google Scholar] [CrossRef]
- Albinsaad, L.S.; Kim, J.; Chung, I.Y.; Ko, B.S.; Kim, H.J.; Lee, J.W.; Lee, S.B. Prognostic value of p53 expression in hormone receptor-positive and human epidermal growth factor receptor 2-negative breast cancer patients receiving neoadjuvant chemotherapy. Breast Cancer Res. Treat. 2021, 187, 447–454. [Google Scholar] [CrossRef] [PubMed]
- Kim, T.; Han, W.; Kim, M.K.; Lee, J.W.; Kim, J.; Ahn, S.K.; Noh, D.Y. Predictive Significance of p53, Ki-67, and Bcl-2 Expression for Pathologic Complete Response after Neoadjuvant Chemotherapy for Triple-Negative Breast Cancer. J. Breast Cancer 2015, 18, 16–21. [Google Scholar] [CrossRef] [PubMed]
- Bae, S.Y.; Lee, J.H.; Bae, J.W.; Jung, S.P. Differences in prognosis by p53 expression after neoadjuvant chemotherapy in triple-negative breast cancer. Ann. Surg. Treat. Res. 2020, 98, 291–298. [Google Scholar] [CrossRef] [PubMed]
- Wein, L.; Loi, S. Mechanisms of resistance of chemotherapy in early-stage triple negative breast cancer (TNBC). Breast 2017, 34 (Suppl. 1), S27–S30. [Google Scholar] [CrossRef] [PubMed]
- Singh, N.; Piskorz, A.M.; Bosse, T.; Jimenez-Linan, M.; Rous, B.; Brenton, J.D.; Köbel, M. p53 immunohistochemistry is an accurate surrogate for TP53 mutational analysis in endometrial carcinoma biopsies. J. Pathol. 2020, 250, 336–345. [Google Scholar] [CrossRef]
- Balko, J.M.; Giltnane, J.M.; Wang, K.; Schwarz, L.J.; Young, C.D.; Cook, R.S.; Arteaga, C.L. Molecular profiling of the residual disease of triple-negative breast cancers after neoadjuvant chemotherapy identifies actionable therapeutic targets. Cancer Discov. 2014, 4, 232–245. [Google Scholar] [CrossRef]
- Howlader, N.; Cronin, K.A.; Kurian, A.W.; Andridge, R. Differences in Breast Cancer Survival by Molecular Subtypes in the United States. Cancer Epidemiol. Biomark. Prev. 2018, 27, 619–626. [Google Scholar] [CrossRef] [PubMed]
- Tao, L.; Chu, L.; Wang, L.I.; Moy, L.; Brammer, M.; Song, C.; Green, M.; Kurian, A.W.; Gomez, S.L.; Clarke, C.A. Occurrence and outcome of de novo metastatic breast cancer by subtype in a large, diverse population. Cancer Causes Control 2016, 27, 1127–1138. [Google Scholar] [CrossRef] [PubMed]
- Goldhirsch, A.; Wood, W.C.; Coates, A.S.; Gelber, R.D.; Thürlimann, B.; Senn, H.J. Strategies for subtypes--dealing with the diversity of breast cancer: Highlights of the St. Gallen International Expert Consensus on the Primary Therapy of Early Breast Cancer 2011. Ann. Oncol. 2011, 22, 1736–1747. [Google Scholar] [CrossRef] [PubMed]
- Laws, A.; Pastorello, R.; Dey, T.; Grossmith, S.; King, C.; McGrath, M.; Schnitt, S.J.; Mittendorf, E.A.; King, T. Impact of the Histologic Pattern of Residual Tumor After Neoadjuvant Chemotherapy on Recurrence and Survival in Stage I–III Breast Cancer. Ann. Surg. Oncol. 2022, 29, 7726–7736. [Google Scholar] [CrossRef]
- Tinterri, C.; Fernandes, B.; Zambelli, A.; Sagona, A.; Barbieri, E.; Di Maria Grimaldi, S.; Gentile, D. The Impact of Different Patterns of Residual Disease on Long-Term Oncological Outcomes in Breast Cancer Patients Treated with Neo-Adjuvant Chemotherapy. Cancers 2024, 16, 376. [Google Scholar] [CrossRef]




| Age at Diagnosis | 54 (24–77) | Total patients (n = 104) | |
| NAC response | Pathological complete response (pCR) | 24 (23.1) | |
| Residual disease (RD) | 80 (76.9) | ||
| Pre-NAC subtypes (biopsy) | HR+/HER2− | 33 (31.7) | |
| HR+/HER2+ | 17 (16.4) | ||
| HR−/HER2+ | 28 (26.9) | ||
| HR−/HER2− | 26 (25.0) | ||
| Pre-NAC clinical stage (c stage, biopsy) | I | 3 (2.9) | |
| II | 17 (16.3) | ||
| III | 79 (76.0) | ||
| IV | 5 (4.8) | ||
| Pre-NAC nuclear grade (biopsy) | Low (grade 1, 2) | 71 (68.3) | |
| High (grade 3) | 29 (27.9) | ||
| Not applicable | 4 (3.8) | ||
| Post-NAC pathological stage (yp stage, resection) | 0 | 32 (30.8) | |
| I | 14 (13.5) | ||
| II | 31 (29.8) | ||
| III | 27 (26.0) | ||
| Post-NAC lympho-vascular invasion (resection) | Absent | 72 (69.2) | |
| Present | 32 (30.8) | ||
| Post-NAC nuclear grade (resection) | Low (grade 1, 2) | 35 (33.7) | |
| High (grade 3) | 33 (31.7) | ||
| Post-NAC histological grade (resection) | Not applicable | 36 (34.6) | |
| Low (well, moderately) | 39 (37.5) | ||
| High (poorly) | 28 (26.9) | ||
| Post-NAC subtypes (resection) | Not applicable | 37 (35.6) | Residual disease patients (n = 80) |
| HR+/HER2− | 36 (45.0) | ||
| HR+/HER2+ | 7 (8.8) | ||
| HR−/HER2+ | 16 (20.0) | ||
| Pre-NAC Subtypes (Biopsy) | |||||
|---|---|---|---|---|---|
| HR+/HER2− (n = 31) | HR+/HER2+ (n = 12) | HR−/HER2+ (n = 17) | HR−/HER2− (n = 20) | ||
| Pre-NAC nuclear grade (biopsy) | Low (grade 1, 2) | 25 (80.6) | 11 (91.7) | 7 (41.2) | 11 (55.0) |
| High (grade 3) | 4 (12.9) | 1 (8.3) | 10 (58.8) | 8 (40.0) | |
| Not applicable | 2 (6.5) | 0 (0.0) | 0 (0.0) | 1 (5.0) | |
| Pre-NAC clinical stage (c stage, biopsy) | I | 3 (9.7) | 0 (0.0) | 0 (0.0) | 0 (0.0) |
| II | 6 (19.4) | 2 (16.7) | 3 (17.6) | 2 (10.0) | |
| III | 20 (64.5) | 9 (75.0) | 13 (76.5) | 17 (85.0) | |
| IV | 2 (6.5) | 1 (8.3) | 1 (5.9) | 1 (5.0) | |
| Post-NAC subtypes (resection) | HR+/HER2− | 28 (90.3) | 4 (33.3) | 2 (11.8) | 2 (10.0) |
| HR+/HER2+ | 0 (0.0) | 4 (33.3) | 3 (17.6) | 0 (0.0) | |
| HR−/HER2+ | 0 (0.0) | 4 (33.3) | 11 (64.7) | 1 (5.0) | |
| HR−/HER2− | 3 (9.7) | 0 (0.0) | 1 (5.9) | 17 (85.0) | |
| Post-NAC nuclear grade (resection) | Low (grade 1) | 22 (71.0) | 4 (33.3) | 6 (35.3) | 3 (15.0) |
| High (grade 2, 3) | 6 (19.4) | 7 (58.3) | 6 (35.3) | 14 (70.0) | |
| Not applicable | 3 (9.7) | 1 (8.3) | 5 (29.4) | 3 (15.0) | |
| Post-NAC pathological stage (yp stage, resection) | 0 | 3 (9.7) | 1 (8.3) | 3 (17.6) | 1 (5.0) |
| I | 5 (16.1) | 2 (16.7) | 6 (35.3) | 1 (5.0) | |
| II | 10 (32.3) | 8 (66.7) | 2 (11.8) | 11 (55.0) | |
| III | 13 (41.9) | 1 (8.3) | 6 (35.3) | 7 (35.0) | |
| Variables | Pathological Complete Response (n = 24) | Residual Disease (n = 80) | p-Value | |
|---|---|---|---|---|
| Age at Diagnosis | 55.5 Years (29–71) | 54 Years (24–77) | ||
| Pre-NAC subtypes (biopsy) | HR+/HER2− | 2 (8.3) | 31 (38.8) | 0.019 |
| HR+/HER2+ | 5 (20.8) | 12 (15.0) | ||
| HR−/HER2+ | 11 (45.8) | 17 (21.3) | ||
| HR−/HER2− | 6 (25.0) | 20 (25.0) | ||
| Pre-NAC clinical stage (c stage, biopsy) | I | 0 (0.0) | 3 (3.8) | 0.453 |
| II | 4 (16.7) | 13 (16.3) | ||
| III | 20 (83.3) | 59 (73.8) | ||
| IV | 0 (0.0) | 5 (6.3) | ||
| Pre-NAC nuclear grade (biopsy) | Low (grade 1, 2) | 17 (70.8) | 54 (67.5) | 0.926 |
| High (grade 3) | 6 (25.0) | 23 (28.8) | ||
| Not applicable | 1 (4.2) | 3 (3.8) | ||
| Post-NAC pathological stage (yp stage, resection) | 0 | 24 (100.0) | 8 (10.0) | <0.001 |
| I | 0 (0.0) | 14 (17.5) | ||
| II | 0 (0.0) | 31 (38.8) | ||
| III | 0 (0.0) | 27 (33.8) | ||
| Post-NAC lympho-vascular invasion (resection) | Absent | 23 (95.8) | 49 (61.3) | 0.001 |
| Present | 1 (4.2) | 31 (38.8) | ||
| Post-NAC nuclear grade (resection) | Low (grade 1, 2) | 0 (0.0) | 35 (43.8) | <0.001 |
| High (grade 3) | 0 (0.0) | 33 (41.3) | ||
| Not applicable | 24 (100.0) | 12 (15.0) | ||
| Post-NAC histological grade (resection) | Low (well, moderately) | 0 (0.0) | 39 (48.8) | <0.001 |
| High (poorly) | 0 (0.0) | 28 (35.0) | ||
| Not applicable | 24 (100.0) | 13 (16.3) | ||
| Post-NAC Subtypes (Resection) | |||||||||||||||||||||
|---|---|---|---|---|---|---|---|---|---|---|---|---|---|---|---|---|---|---|---|---|---|
| Total Residual (n = 80) | HR+/HER2− (n = 31) | HR+/HER2+ (n = 12) | HR−/HER2+ (n = 17) | HR−/HER2− (n = 20) | |||||||||||||||||
| Negative | Low Positive | Positive | p-Value | Negative | Low Positive | Positive | p-Value | Negative | Low Positive | Positive | p-Value | Negative | Low Positive | Positive | p-Value | Negative | Low Positive | Positive | p-Value | ||
| Pre-NAC HER2 status (biopsy) | Negative | 10 (52.6) | 4 (10.8) | 0 (0.0) | <0.001 | 5 (62.5) | 2 (8.7) | 0 (0.0) | 0.002 | 0 (0.0) | 0 (0.0) | 0 (0.0) | 0 (0.0) | 0 (0.0) | 0 (0.0) | 5 (50.0) | 2 (22.2) | 0 (0.0) | 0.337 | ||
| Low positive | 8 (42.1) | 28 (75.7) | 1 (4.2) | 3 (37.5) | 21 (91.3) | 0 (0.0) | 0 (0.0) | 0 (0.0) | 0 (0.0) | 0 (0.0) | 0 (0.0) | 0 (0.0) | 5 (50.0) | 7 (77.8) | 1 (100.0) | ||||||
| Positive | 1 (5.3) | 5 (13.5) | 23 (95.8) | 0 (0.0) | 0 (0.0) | 0 (0.0) | 1 (100.0) | 3 (100.0) | 8 (100.0) | 0 (0.0) | 2 (100.0) | 15 (100.0) | 0 (0.0) | 0 (0.0) | 0 (0.0) | ||||||
| Case | Change Type | Pre-NAC Biopsy Subtype | Post-NAC Resection Subtype |
|---|---|---|---|
| 5 | Positive to negative | HR+/HER2− | HR+/HER2− |
| 13 | Negative to positive | HR+/HER2− | HR+/HER2− |
| 19 | Positive to negative | HR+/HER2+ | HR+/HER2− |
| 20 | Positive to negative | HR−/HER2+ | HR+/HER2+ |
| 39 | Positive to negative | HR−/HER2− | HR−/HER2− |
| 82 | Positive to negative | HR+/HER2− | HR+/HER2− |
| 91 | Positive to negative | HR+/HER2− | HR−/HER2− |
| Univariable | Multivariable | ||||
|---|---|---|---|---|---|
| Hazard Ratio (95% CI) | p-Value | Hazard Ratio (95% CI) | p-Value | ||
| Pre-NAC subtypes (biopsy) | HR+/HER2− | 1 | 0.086 | 1 | 0.131 |
| HR+/HER2+ | 0.12 (0.02–0.90) | 0.039 | 0.13 (0.02–0.99) | 0.049 | |
| HR−/HER2+ | 0.37 (0.12–1.12) | 0.079 | 0.41 (0.13–1.25) | 0.115 | |
| HR−/HER2− | 0.69 (0.29–1.62) | 0.387 | 0.74 (0.31–1.76) | 0.49 | |
| Pre-NAC clinical stage (c Stage, biopsy) | Early (0, I, II) | 1 | |||
| Advanced (III, IV) | 1.71 (0.59–4.94) | 0.319 | |||
| Post-NAC pathologic stage (yp Stage, resection) | Early (0, I, II) | 1 | |||
| Advanced (III) | 1.92 (0.90–4.08) | 0.09 | |||
| Post-NAC histologic grade (resection) | Low (well, moderately) High (poorly) Not applicable | 0.75 (0.29–1.99) | 0.567 | ||
| 0.59 (0.21–1.66) | 0.314 | ||||
| 1 | 0.600 | ||||
| ER change | No change | 1 | 0.754 | ||
| Positive to negative | 1.44 (0.34–6.13) | 0.620 | |||
| Negative to positive | 0.68 (0.16–2.88) | 0.600 | |||
| PR change | No change | 1 | 0.665 | ||
| Positive to negative | 1.63 (0.56–4.75) | 0.371 | |||
| Negative to positive | 0.98 (0.23–4.17) | 0.977 | |||
| HER2 change | No change | 1 | 0.563 | ||
| Positive to negative | 0 | 0.978 | |||
| Negative to positive | 3.00 (0.40–22.46) | 0.284 | |||
| P53 change | No change | 1 | 0.008 | 1 | 0.03 |
| Positive to negative | 2.34 (0.70–7.90) | 0.170 | 1.972 (0.58–6.67) | 0.275 | |
| Negative to positive | 28.26 (2.92–273.57) | 0.004 | 18.44 (1.86–182.97) | 0.013 | |
| Ki67 change | No change | 1 | |||
| High (≥20) to low(<20) | 0.79 (0.35–1.80) | 0.577 | |||
| Low (<20) to high(≥20) | |||||
Disclaimer/Publisher’s Note: The statements, opinions and data contained in all publications are solely those of the individual author(s) and contributor(s) and not of MDPI and/or the editor(s). MDPI and/or the editor(s) disclaim responsibility for any injury to people or property resulting from any ideas, methods, instructions or products referred to in the content. |
© 2024 by the authors. Licensee MDPI, Basel, Switzerland. This article is an open access article distributed under the terms and conditions of the Creative Commons Attribution (CC BY) license (https://creativecommons.org/licenses/by/4.0/).
Share and Cite
Lee, S.; Kim, J.Y.; Lee, S.J.; Hwang, C.S.; Lee, H.J.; Kim, K.B.; Lee, J.H.; Shin, D.H.; Choi, K.U.; Lee, C.H.; et al. Impact of Neoadjuvant Chemotherapy (NAC) on Biomarker Expression in Breast Cancer. Medicina 2024, 60, 737. https://doi.org/10.3390/medicina60050737
Lee S, Kim JY, Lee SJ, Hwang CS, Lee HJ, Kim KB, Lee JH, Shin DH, Choi KU, Lee CH, et al. Impact of Neoadjuvant Chemotherapy (NAC) on Biomarker Expression in Breast Cancer. Medicina. 2024; 60(5):737. https://doi.org/10.3390/medicina60050737
Chicago/Turabian StyleLee, Suji, Jee Yeon Kim, So Jeong Lee, Chung Su Hwang, Hyun Jung Lee, Kyung Bin Kim, Jung Hee Lee, Dong Hoon Shin, Kyung Un Choi, Chang Hun Lee, and et al. 2024. "Impact of Neoadjuvant Chemotherapy (NAC) on Biomarker Expression in Breast Cancer" Medicina 60, no. 5: 737. https://doi.org/10.3390/medicina60050737
APA StyleLee, S., Kim, J. Y., Lee, S. J., Hwang, C. S., Lee, H. J., Kim, K. B., Lee, J. H., Shin, D. H., Choi, K. U., Lee, C. H., Huh, G. Y., & Kim, A. (2024). Impact of Neoadjuvant Chemotherapy (NAC) on Biomarker Expression in Breast Cancer. Medicina, 60(5), 737. https://doi.org/10.3390/medicina60050737

