Safety and Efficacy of Post-Dilation in Percutaneous Coronary Intervention Using Polymer-Free Ultrathin Strut Sirolimus-Probucol Coated Drug-Eluting Stents
Abstract
1. Introduction
2. Materials and Methods
2.1. Study Design and Population
2.2. Stent Implantation and Post-Dilation Procedure
2.3. Data Collection and Follow-Up
2.4. Clinical Outcomes
2.5. Statistical Analysis
3. Results
3.1. Patient Characteristics and Procedural Data
3.2. Primary Outcomes
3.3. Secondary Outcomes
3.4. Multivariate Analysis
4. Discussion
5. Conclusions
Author Contributions
Funding
Institutional Review Board Statement
Informed Consent Statement
Data Availability Statement
Conflicts of Interest
References
- Pagidipati, N.J.; Gaziano, T.A. Estimating deaths from cardiovascular disease: A review of global methodologies of mortality measurement. Circulation 2013, 127, 749–756. [Google Scholar] [CrossRef] [PubMed]
- Fischman, D.L.; Leon, M.B.; Baim, D.S.; Schatz, R.A.; Savage, M.P.; Penn, I.; Detre, K.; Veltri, L.; Ricci, D.; Nobuyoshi, M.; et al. A randomized comparison of coronary-stent placement and balloon angioplasty in the treatment of coronary artery disease. Stent Restenosis Study Investigators. N. Engl. J. Med. 1994, 331, 496–501. [Google Scholar] [CrossRef] [PubMed]
- Serruys, P.W.; de Jaegere, P.; Kiemeneij, F.; Macaya, C.; Rutsch, W.; Heyndrickx, G.; Emanuelsson, H.; Marco, J.; Legrand, V.; Materne, P.; et al. A comparison of balloon-expandable-stent implantation with balloon angioplasty in patients with coronary artery disease. Benestent Study Group. N. Engl. J. Med. 1994, 331, 489–495. [Google Scholar] [CrossRef] [PubMed]
- Cornelissen, A.; Guo, L.; Fernandez, R.; Kelly, M.C.; Janifer, C.; Kuntz, S.; Sakamoto, A.; Jinnouchi, H.; Sato, Y.; Paek, K.H.; et al. Endothelial Recovery in Bare Metal Stents and Drug-Eluting Stents on a Single-Cell Level. Arterioscler. Thromb. Vasc. Biol. 2021, 41, 2277–2292. [Google Scholar] [CrossRef]
- Cheneau, E.; Leborgne, L.; Mintz, G.S.; Kotani, J.; Pichard, A.D.; Satler, L.F.; Canos, D.; Castagna, M.; Weissman, N.J.; Waksman, R. Predictors of subacute stent thrombosis: Results of a systematic intravascular ultrasound study. Circulation 2003, 108, 43–47. [Google Scholar] [CrossRef]
- Fujii, K.; Carlier, S.G.; Mintz, G.S.; Yang, Y.M.; Moussa, I.; Weisz, G.; Dangas, G.; Mehran, R.; Lansky, A.J.; Kreps, E.M.; et al. Stent underexpansion and residual reference segment stenosis are related to stent thrombosis after sirolimus-eluting stent implantation: An intravascular ultrasound study. J. Am. Coll. Cardiol. 2005, 45, 995–998. [Google Scholar] [CrossRef]
- Cheneau, E.; Satler, L.F.; Escolar, E.; Suddath, W.O.; Kent, K.M.; Weissman, N.J.; Waksman, R.; Pichard, A.D. Underexpansion of sirolimus-eluting stents: Incidence and relationship to delivery pressure. Catheter. Cardiovasc. Interv. 2005, 65, 222–226. [Google Scholar] [CrossRef]
- Sonoda, S.; Morino, Y.; Ako, J.; Terashima, M.; Hassan, A.H.; Bonneau, H.N.; Leon, M.B.; Moses, J.W.; Yock, P.G.; Honda, Y.; et al. Impact of final stent dimensions on long-term results following sirolimus-eluting stent implantation: Serial intravascular ultrasound analysis from the sirius trial. J. Am. Coll. Cardiol. 2004, 43, 1959–1963. [Google Scholar] [CrossRef]
- Fujii, K.; Mintz, G.S.; Kobayashi, Y.; Carlier, S.G.; Takebayashi, H.; Yasuda, T.; Moussa, I.; Dangas, G.; Mehran, R.; Lansky, A.J.; et al. Contribution of stent underexpansion to recurrence after sirolimus-eluting stent implantation for in-stent restenosis. Circulation 2004, 109, 1085–1088. [Google Scholar] [CrossRef]
- Brodie, B.R.; Cooper, C.; Jones, M.; Fitzgerald, P.; Cummins, F. Is adjunctive balloon postdilatation necessary after coronary stent deployment? Final results from the POSTIT trial. Catheter. Cardiovasc. Interv. 2003, 59, 184–192. [Google Scholar] [CrossRef]
- Gorge, G.; Haude, M.; Ge, J.; Voegele, E.; Gerber, T.; Rupprecht, H.J.; Meyer, J.; Erbel, R. Intravascular ultrasound after low and high inflation pressure coronary artery stent implantation. J. Am. Coll. Cardiol. 1995, 26, 725–730. [Google Scholar] [CrossRef] [PubMed]
- Albiero, R.; Rau, T.; Schluter, M.; Di Mario, C.; Reimers, B.; Mathey, D.G.; Tobis, J.M.; Schofer, J.; Colombo, A. Comparison of immediate and intermediate-term results of intravascular ultrasound versus angiography-guided Palmaz-Schatz stent implantation in matched lesions. Circulation 1997, 96, 2997–3005. [Google Scholar] [CrossRef] [PubMed]
- Werner, G.S.; Diedrich, J.; Schunemann, S.; Gastmann, O.; Ferrari, M.; Buchwald, A.B.; Figulla, H.R.; Kreuzer, H. Additional luminal area gain by intravascular ultrasound guidance after coronary stent implantation with high inflation pressure. Int. J. Card. Imaging 1997, 13, 311–321. [Google Scholar] [CrossRef]
- Bermejo, J.; Botas, J.; Garcia, E.; Elizaga, J.; Osende, J.; Soriano, J.; Abeytua, M.; Delcan, J.L. Mechanisms of residual lumen stenosis after high-pressure stent implantation: A quantitative coronary angiography and intravascular ultrasound study. Circulation 1998, 98, 112–118. [Google Scholar] [CrossRef] [PubMed]
- de Jaegere, P.; Mudra, H.; Figulla, H.; Almagor, Y.; Doucet, S.; Penn, I.; Colombo, A.; Hamm, C.; Bartorelli, A.; Rothman, M.; et al. Intravascular ultrasound-guided optimized stent deployment. Immediate and 6 months clinical and angiographic results from the Multicenter Ultrasound Stenting in Coronaries Study (MUSIC Study). Eur. Heart J. 1998, 19, 1214–1223. [Google Scholar] [CrossRef]
- Fitzgerald, P.J.; Oshima, A.; Hayase, M.; Metz, J.A.; Bailey, S.R.; Baim, D.S.; Cleman, M.W.; Deutsch, E.; Diver, D.J.; Leon, M.B. Final results of the can routine ultrasound influence stent expansion (CRUISE) study. Circulation 2000, 102, 523–530. [Google Scholar] [CrossRef]
- Oemrawsingh, P.V.; Mintz, G.S.; Schalij, M.J.; Zwinderman, A.H.; Jukema, J.W.; van der Wall, E.E. Intravascular ultrasound guidance improves angiographic and clinical outcome of stent implantation for long coronary artery stenoses: Final results of a randomized comparison with angiographic guidance (TULIP Study). Circulation 2003, 107, 62–67. [Google Scholar] [CrossRef]
- He, R.; Zhao, L.; Silberschmidt, V.V.; Liu, Y.; Vogt, F. Computational Evaluation of Artery Damage in Stent Deployment. Procedia Struct. Integr. 2018, 13, 187–191. [Google Scholar] [CrossRef]
- Kuriyama, N.; Kobayashi, Y.; Kuroda, N.; Desai, K.; Yamamoto, Y.; Komiyama, N.; Komuro, I.; Fitzgerald, P.J. Effect of coronary stent overexpansion on lumen size and intimal hyperplasia at follow-up. Am. J. Cardiol. 2002, 89, 1297–1299. [Google Scholar] [CrossRef]
- Yi, T.; Zhao, Z.W.; Chen, L.L. Over-expansion of second-generation drug-eluting stents, risk of restenosis, and relation to major adverse cardiac events. Rev. Cardiovasc. Med. 2020, 21, 481–487. [Google Scholar] [CrossRef]
- Frobert, O.; Sarno, G.; James, S.K.; Saleh, N.; Lagerqvist, B. Effect of stent inflation pressure and post-dilatation on the outcome of coronary artery intervention. A report of more than 90,000 stent implantations. PLoS ONE 2013, 8, e56348. [Google Scholar]
- Mehrle, A.; Skelton, T.; Almonacid, A. Stent fracture: An unusual cause of late restenosis after sirolimus-eluting stent placement. Catheter. Cardiovasc. Interv. 2007, 69, 988–991. [Google Scholar] [CrossRef] [PubMed]
- Foin, N.; Lee, R.; Mattesini, A.; Caiazzo, G.; Fabris, E.; Kilic, I.D.; Chan, J.N.; Huang, Y.; Venkatraman, S.S.; Di Mario, C.; et al. Bioabsorbable vascular scaffold overexpansion: Insights from in vitro post-expansion experiments. EuroIntervention 2016, 11, 1389–1399. [Google Scholar] [CrossRef] [PubMed]
- Joner, M.; Finn, A.V.; Farb, A.; Mont, E.K.; Kolodgie, F.D.; Ladich, E.; Kutys, R.; Skorija, K.; Gold, H.K.; Virmani, R. Pathology of drug-eluting stents in humans: Delayed healing and late thrombotic risk. J. Am. Coll. Cardiol. 2006, 48, 193–202. [Google Scholar] [CrossRef]
- Lupi, A.; Gabrio Secco, G.; Rognoni, A.; Lazzero, M.; Fattori, R.; Sheiban, I.; Sante Bongo, A.; Bolognese, L.; Agostoni, P.; Porto, I. Meta-analysis of bioabsorbable versus durable polymer drug-eluting stents in 20,005 patients with coronary artery disease: An update. Catheter. Cardiovasc. Interv. 2014, 83, E193–E206. [Google Scholar] [CrossRef] [PubMed]
- Otsuka, F.; Vorpahl, M.; Nakano, M.; Foerst, J.; Newell, J.B.; Sakakura, K.; Kutys, R.; Ladich, E.; Finn, A.V.; Kolodgie, F.D.; et al. Pathology of second-generation everolimus-eluting stents versus first-generation sirolimus- and paclitaxel-eluting stents in humans. Circulation 2014, 129, 211–223. [Google Scholar] [CrossRef] [PubMed]
- Krackhardt, F.; Kocka, V.; Waliszewski, M.W.; Utech, A.; Lustermann, M.; Hudec, M.; Studencan, M.; Schwefer, M.; Yu, J.; Jeong, M.H.; et al. Polymer-free sirolimus-eluting stents in a large-scale all-comers population. Open Heart 2017, 4, e000592. [Google Scholar] [CrossRef]
- Nunes, G.L.; Abizaid, A.C.; Theodoro, M.P.; Brito, F.S., Jr.; Caixeta, A.; da Silva, L.F.; Mazzotti, N.G.; Bello-Klein, A.; Clausell, N. Role of probucol in inhibiting intimal hyperplasia after coronary stent implantation: A randomized study. Am. Heart J. 2006, 152, 914.e1–914.e7. [Google Scholar] [CrossRef]
- Ferns, G.A.; Forster, L.; Stewart-Lee, A.; Konneh, M.; Nourooz-Zadeh, J.; Anggard, E.E. Probucol inhibits neointimal thickening and macrophage accumulation after balloon injury in the cholesterol-fed rabbit. Proc. Natl. Acad. Sci. USA 1992, 89, 11312–11316. [Google Scholar] [CrossRef]
- Tardif, J.C.; Cote, G.; Lesperance, J.; Bourassa, M.; Lambert, J.; Doucet, S.; Bilodeau, L.; Nattel, S.; de Guise, P. Probucol and multivitamins in the prevention of restenosis after coronary angioplasty. Multivitamins and Probucol Study Group. N. Engl. J. Med. 1997, 337, 365–372. [Google Scholar] [CrossRef]
- Tardif, J.C.; Gregoire, J.; Schwartz, L.; Title, L.; Laramee, L.; Reeves, F.; Lesperance, J.; Bourassa, M.G.; L’Allier, P.L.; Glass, M.; et al. Effects of AGI-1067 and probucol after percutaneous coronary interventions. Circulation 2003, 107, 552–558. [Google Scholar] [PubMed]
- Kufner, S.; Sorges, J.; Mehilli, J.; Cassese, S.; Repp, J.; Wiebe, J.; Lohaus, R.; Lahmann, A.; Rheude, T.; Ibrahim, T.; et al. Randomized Trial of Polymer-Free Sirolimus- and Probucol-Eluting Stents Versus Durable Polymer Zotarolimus-Eluting Stents: 5-Year Results of the ISAR-TEST-5 Trial. JACC Cardiovasc. Interv. 2016, 9, 784–792. [Google Scholar] [PubMed]
- Byrne, R.A.; Mehilli, J.; Iijima, R.; Schulz, S.; Pache, J.; Seyfarth, M.; Schomig, A.; Kastrati, A. A polymer-free dual drug-eluting stent in patients with coronary artery disease: A randomized trial vs. polymer-based drug-eluting stents. Eur. Heart J. 2009, 30, 923–931. [Google Scholar] [PubMed]
- Krackhardt, F.; Kocka, V.; Waliszewski, M.; Tousek, P.; Janek, B.; Trencan, M.; Krajci, P.; Lozano, F.; Roman, K.G.; Otaegui, I.; et al. Unrestricted use of polymer-free sirolimus eluting stents in routine clinical practice. Medicine 2020, 99, e19119. [Google Scholar] [PubMed]
- Sperling, C.; Waliszewski, M.W.; Kherad, B.; Krackhardt, F. Comparative preclinical evaluation of a polymer-free sirolimus-eluting stent in porcine coronary arteries. Ther. Adv. Cardiovasc. Dis. 2019, 13, 1753944719826335. [Google Scholar]
- Raber, L.; Haner, J.D.; Luscher, T.F.; Moccetti, M.; Roffi, M.; Stortecky, S.; Muller, O.; Garcia-Garcia, H.M.; Waksman, R.; Siegrist, P. A prospective, multicentre first-in-man study of the polymer-free ultrathin-strut BIOrapid stent (BIOVITESSE). EuroIntervention 2022, 18, e132–e139. [Google Scholar]
- Otaegui Irurueta, I.; Gonzalez Sucarrats, S.; Barron Molina, J.L.; Perez de Prado, A.; Massotti, M.; Carmona Ramirez, M.A.; Marti, G.; Bellera, N.; Serra, B.; Serra, V.; et al. Can an ultrathin strut stent design and a polymer free, proendothelializing probucol matrix coating improve early strut healing? The FRIENDLY-OCT trial. An intra-patient randomized study with OCT, evaluating early strut coverage of a novel probucol coated polymer-free and ultra-thin strut sirolimus-eluting stent compared to a biodegradable polymer sirolimus-eluting stent. Int. J. Cardiol. 2022, 360, 13–20. [Google Scholar]
- Mahmood Zuhdi, A.S.; Krackhardt, F.; Waliszewski, M.W.; Ismail, M.D.; Boxberger, M.; Wan Ahmad, W.A. Efficacy and Safety of Polymer-Free Ultrathin Strut Sirolimus-Probucol Coated Drug-Eluting Stents for Chronic Total Occlusions: Insights from the Coroflex ISAR 2000 Worldwide Registry. Cardiol. Res. Pract. 2018, 2018, 8053168. [Google Scholar]
- Improta, R.; Scarparo, P.; Wilschut, J.; Wolff, Q.; Daemen, J.; Den Dekker, W.K.; Zijlstra, F.; Van Mieghem, N.M.; Diletti, R. Elastic stent recoil in coronary total occlusions: Comparison of durable-polymer zotarolimus eluting stent and ultrathin strut bioabsorbable-polymer sirolimus eluting stent. Catheter. Cardiovasc. Interv. 2022, 99, 88–97. [Google Scholar]
- Teeuwen, K.; van der Schaaf, R.J.; Adriaenssens, T.; Koolen, J.J.; Smits, P.C.; Henriques, J.P.; Vermeersch, P.H.; Tjon Joe Gin, R.M.; Scholzel, B.E.; Kelder, J.C.; et al. Randomized Multicenter Trial Investigating Angiographic Outcomes of Hybrid Sirolimus-Eluting Stents With Biodegradable Polymer Compared With Everolimus-Eluting Stents With Durable Polymer in Chronic Total Occlusions: The PRISON IV Trial. JACC Cardiovasc. Interv. 2017, 10, 133–143. [Google Scholar]
- McBeath, K.C.C.; Rathod, K.S.; Cadd, M.; Beirne, A.; Guttmann, O.; Knight, C.J.; Amersey, R.; Bourantas, C.V.; Wragg, A.; Smith, E.J.; et al. Use of enhanced stent visualisation compared to angiography alone to guide percutaneous coronary intervention. Int. J. Cardiol. 2020, 321, 24–29. [Google Scholar]
- Lee, J.M.; Choi, K.H.; Song, Y.B.; Lee, J.Y.; Lee, S.J.; Lee, S.Y.; Kim, S.M.; Yun, K.H.; Cho, J.Y.; Kim, C.J.; et al. Intravascular Imaging-Guided or Angiography-Guided Complex PCI. N. Engl. J. Med. 2023, 388, 1668–1679. [Google Scholar]
- Toth, G.G.; Achim, A.; Kafka, M.; Wu, X.; Lunardi, M.; Biswas, S.; Shahzad, A.; Thury, A.; Ruzsa, Z.; Johnson, T.W.; et al. Bench test and in vivo evaluation of longitudinal stent deformation during proximal optimisation. EuroIntervention 2022, 18, 83–90. [Google Scholar] [CrossRef]
- Achim, A.; Alampi, C.; Krivoshei, L.; Leibundgut, G. In vitro effect of intravascular lithotripsy on the polymer of a drug-eluting stent. EuroIntervention 2022, 18, e333–e334. [Google Scholar] [PubMed]
- Zhang, Z.J.; Marroquin, O.C.; Stone, R.A.; Weissfeld, J.L.; Mulukutla, S.R.; Selzer, F.; Kip, K.E. Differential effects of post-dilation after stent deployment in patients presenting with and without acute myocardial infarction. Am. Heart J. 2010, 160, 979–986. [Google Scholar]
- Ellis, S.G.; Vandormael, M.G.; Cowley, M.J.; DiSciascio, G.; Deligonul, U.; Topol, E.J.; Bulle, T.M. Coronary morphologic and clinical determinants of procedural outcome with angioplasty for multivessel coronary disease. Implications for patient selection. Multivessel Angioplasty Prognosis Study Group. Circulation 1990, 82, 1193–1202. [Google Scholar] [CrossRef] [PubMed]
- Konigstein, M.; Redfors, B.; Zhang, Z.; Kotinkaduwa, L.N.; Mintz, G.S.; Smits, P.C.; Serruys, P.W.; von Birgelen, C.; Madhavan, M.V.; Golomb, M.; et al. Utility of the ACC/AHA Lesion Classification to Predict Outcomes After Contemporary DES Treatment: Individual Patient Data Pooled Analysis From 7 Randomized Trials. J. Am. Heart Assoc. 2022, 11, e025275. [Google Scholar]
- Neumann, F.J.; Sousa-Uva, M.; Ahlsson, A.; Alfonso, F.; Banning, A.P.; Benedetto, U.; Byrne, R.A.; Collet, J.P.; Falk, V.; Head, S.J.; et al. 2018 ESC/EACTS Guidelines on myocardial revascularization. Eur. Heart J. 2019, 40, 87–165. [Google Scholar] [PubMed]
- Oh, D.J.; Choi, C.U.; Kim, S.; Im, S.I.; Na, J.O.; Lim, H.E.; Kim, J.W.; Kim, E.J.; Han, S.W.; Rha, S.W.; et al. Effect of StentBoost imaging guided percutaneous coronary intervention on mid-term angiographic and clinical outcomes. Int. J. Cardiol. 2013, 168, 1479–1484. [Google Scholar]
- Sanidas, E.A.; Maehara, A.; Barkama, R.; Mintz, G.S.; Singh, V.; Hidalgo, A.; Hakim, D.; Leon, M.B.; Moses, J.W.; Weisz, G. Enhanced stent imaging improves the diagnosis of stent underexpansion and optimizes stent deployment. Catheter. Cardiovasc. Interv. 2013, 81, 438–445. [Google Scholar]
- Nazif, T.M.; Weisz, G.; Moses, J.W. Clinical applications of a new Enhanced Stent Imaging technology. Catheter. Cardiovasc. Interv. 2013, 82, 1115–1122. [Google Scholar] [CrossRef] [PubMed]
- Avci, I.I.; Zeren, G.; Sungur, M.A.; Akdeniz, E.; Simsek, B.; Yilmaz, M.F.; Can, F.; Gurkan, U.; Karagoz, A.; Tanboga, I.H.; et al. Enhanced Stent Imaging System Guided Percutaneous Coronary Intervention Is Linked to Optimize Stent Placement. Angiology 2022, 2022, 33197221130203. [Google Scholar]
- Ghafari, C.; Carlier, S. Stent visualization methods to guide percutaneous coronary interventions and assess long-term patency. World J. Cardiol. 2021, 13, 416–437. [Google Scholar] [CrossRef] [PubMed]


| No Post-Dilation | Post-Dilation | p | |
|---|---|---|---|
| Patients, n | 156 | 143 | |
| Male gender, n (%) | 103 (66.0) | 93 (65.0) | 0.857 |
| Age, years ± SD | 67.30 ± 12.20 | 66.04 ± 11.16 | 0.354 |
| Current smoker, n (%) | 59 (37.8) | 43 (30.1) | 0.368 |
| Hypertension, n (%) | 97 (62.2) | 85 (59.4) | 0.628 |
| Diabetes, n (%) | 60 (38.5) | 48 (33.6) | 0.379 |
| Dyslipidemia, n (%) | 23 (14.7) | 18 (12.6) | 0.588 |
| Stroke, n (%) | 7 (4.5) | 12 (8.4) | 0.384 |
| Family history of CAD, n (%) | 6 (3.8) | 7 (4.9) | 0.657 |
| Previous MI, n (%) | 11 (7.1) | 13 (9.1) | 0.517 |
| Previous PCI, n (%) | 34 (21.8) | 41 (28.7) | 0.171 |
| LVEF, % ± SD (n) | 57.65 ± 12.88 (81) | 57.46 ± 14.06 (66) | 0.628 |
| Heart failure, n (%) | 35 (22.4) | 23 (16.1) | 0.165 |
| Peripheral artery disease, n (%) | 3 (1.9) | 1 (0.7) | 0.358 |
| Chronic kindney disease, n (%) | 14 (9.0) | 4 (2.8) | 0.025 |
| Indication for procedure—n (%) | 0.130 | ||
| STE-ACS | 17 (11.0) | 10 (7.0) | |
| NSTE-ACS | 109 (70.3) | 115 (80.4) | |
| CCS | 29 (18.7) | 18 (12.6) | |
| Lesions characteristics—n (%) | |||
| Vessels treated | 0.188 | ||
| Left main | 0 (0.0) | 2 (1.9) | |
| Left anterior descending | 61 (39.1) | 71 (49.7) | |
| Left circumflex | 41 (26.3) | 32 (22.4) | |
| Right coronary | 53 (34.0) | 37 (25.9) | |
| Lesion location | 0.218 | ||
| Ostial location | 2 (1.3) | 9 (6.3) | |
| Proximal location | 47 (30.1) | 45 (31.5) | |
| Mid location | 80 (51.3) | 70 (49.0) | |
| Distal location | 20 (12.8) | 12 (8.4) | |
| Lesion complexity | |||
| B2 or C lesion | 41 (26.6) | 64 (53.6) | <0.001 |
| Total occlusion | 4 (2.6) | 3 (2.1) | 0.790 |
| Calcification | 8 (5.1) | 34 (23.8) | <0.001 |
| Bifurcation | 2 (1.3) | 3 (2.1) | 0.583 |
| Procedural characteristics—mm ± SD | |||
| Reference vessel diameter | 2.91 ± 0.42 | 2.99 ± 0.42 | 0.112 |
| Minimal lumen diameter | 0.29 ± 0.35 | 0.32 ± 0.30 | 0.408 |
| Stent | |||
| Diameter | 2.87 ± 0.39 | 2.92 ± 0.39 | 0.273 |
| Length | 17.67 ± 4.68 | 18.80 ± 4.13 | 0.029 |
| ESV, n (%) | 149 (95.5) | 124 (86.7) | 0.007 |
| IVUS, n (%) | 7 (4.5) | 19 (13.3) | 0.007 |
| Medication at discharge—n (%) | |||
| Aspirin | 156 (100) | 140 (97.9) | 0.069 |
| P2Y12 inhibitor | 156 (100) | 141 (98.6) | 0.138 |
| Clopidogrel | 116 (74.4) | 99 (69.2) | 0.324 |
| Ticagrelor | 44 (28.2) | 43 (30.1) | 0.723 |
| Prasugrel | 3 (1.9) | 1 (0.7) | 0.358 |
| Oral anticoagulant | 6 (3.8) | 8 (5.6) | 0.475 |
| Statin | 134 (85.9) | 112 (85.3) | 0.886 |
| Beta-blocker | 96 (61.5) | 85 (59.4) | 0.711 |
| ACE inhibitor or ARB | 104 (66.7) | 85 (59.4) | 0.196 |
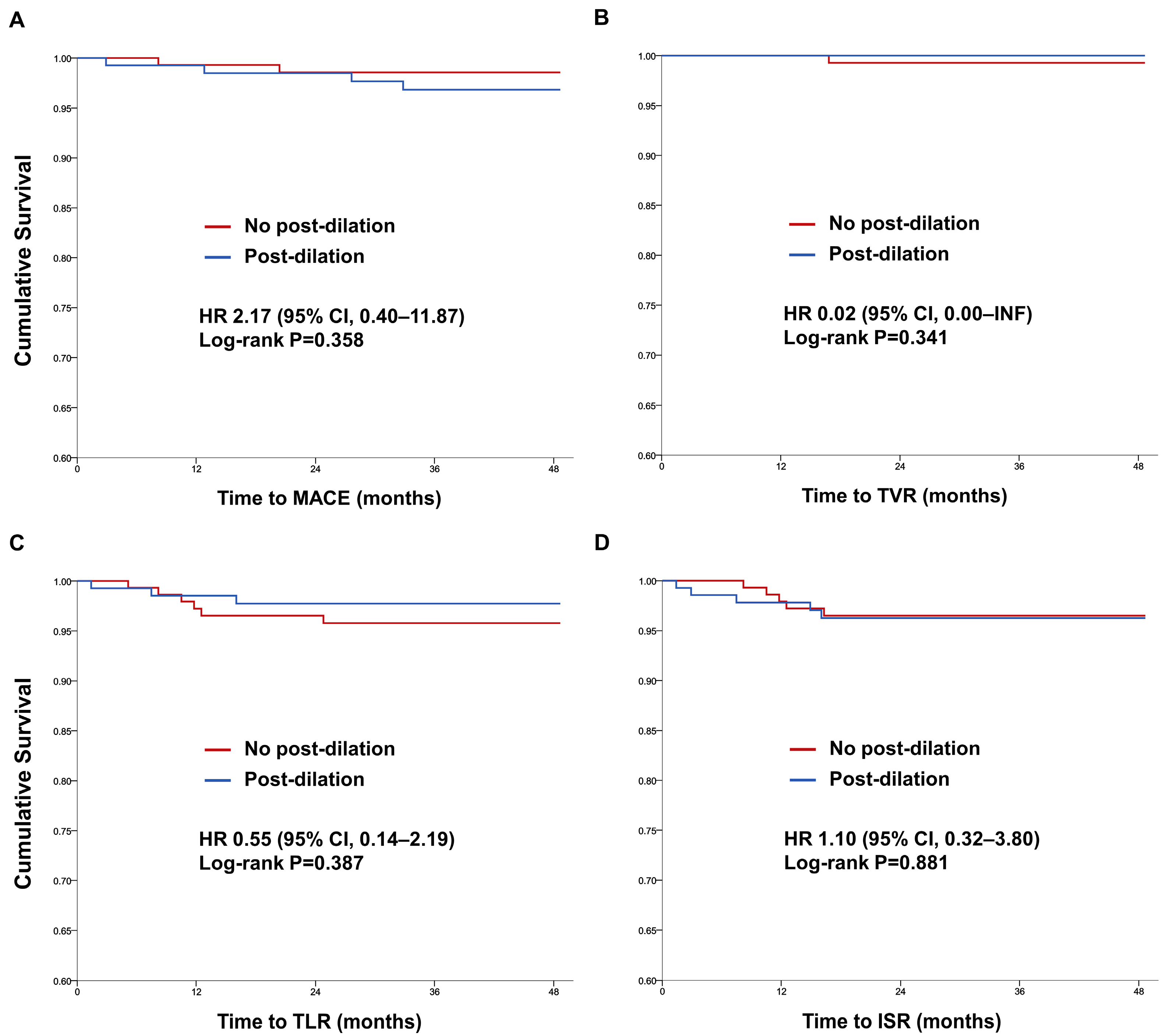
| No Post-Dilatio n (%) | Post-Dilatio n (%) | HR | 95% CI | p | ||
|---|---|---|---|---|---|---|
| MACE | Unadjusted | 2 (1.3) | 4 (2.8) | 2.17 | 0.40–11.87 | 0.370 |
| Adjusted * | - | - | 2.90 | 0.52–16.34 | 0.227 | |
| MI | Unadjusted | 1 (0.6) | 2 (1.4) | 2.18 | 0.20–24.03 | 0.525 |
| Adjusted | - | - | 2.61 | 0.23–29.88 | 0.440 | |
| TVR | Unadjusted | 1 (0.6) | 0 (0.0) | 0.02 | 0.00–INF | 0.619 |
| Adjusted | - | - | 0.04 | 0.00–INF | 0.678 | |
| TLR | Unadjusted | 6 (3.8) | 3 (2.1) | 0.55 | 0.14–2.19 | 0.394 |
| Adjusted | - | - | 0.47 | 0.10–2.16 | 0.334 | |
| ISR | Unadjusted | 5 (3.2) | 5 (3.5) | 1.10 | 0.32–3.80 | 0.881 |
| Adjusted | - | - | 0.95 | 0.25–3.55 | 0.934 |
Disclaimer/Publisher’s Note: The statements, opinions and data contained in all publications are solely those of the individual author(s) and contributor(s) and not of MDPI and/or the editor(s). MDPI and/or the editor(s) disclaim responsibility for any injury to people or property resulting from any ideas, methods, instructions or products referred to in the content. |
© 2023 by the authors. Licensee MDPI, Basel, Switzerland. This article is an open access article distributed under the terms and conditions of the Creative Commons Attribution (CC BY) license (https://creativecommons.org/licenses/by/4.0/).
Share and Cite
Shin, Y.; Won, Y.; Yang, T.; Kim, J.; Lee, J.; Seo, J.; Jang, A.Y.; Kim, M.; Oh, P.C.; Lee, K.; et al. Safety and Efficacy of Post-Dilation in Percutaneous Coronary Intervention Using Polymer-Free Ultrathin Strut Sirolimus-Probucol Coated Drug-Eluting Stents. Medicina 2023, 59, 1649. https://doi.org/10.3390/medicina59091649
Shin Y, Won Y, Yang T, Kim J, Lee J, Seo J, Jang AY, Kim M, Oh PC, Lee K, et al. Safety and Efficacy of Post-Dilation in Percutaneous Coronary Intervention Using Polymer-Free Ultrathin Strut Sirolimus-Probucol Coated Drug-Eluting Stents. Medicina. 2023; 59(9):1649. https://doi.org/10.3390/medicina59091649
Chicago/Turabian StyleShin, Yonghoon, Yoonsun Won, Taeil Yang, Joohan Kim, Joonpyo Lee, Jeongduk Seo, Albert Youngwoo Jang, Minsu Kim, Pyung Chun Oh, Kyounghoon Lee, and et al. 2023. "Safety and Efficacy of Post-Dilation in Percutaneous Coronary Intervention Using Polymer-Free Ultrathin Strut Sirolimus-Probucol Coated Drug-Eluting Stents" Medicina 59, no. 9: 1649. https://doi.org/10.3390/medicina59091649
APA StyleShin, Y., Won, Y., Yang, T., Kim, J., Lee, J., Seo, J., Jang, A. Y., Kim, M., Oh, P. C., Lee, K., Kang, W. C., Han, S. H., & Suh, S. Y. (2023). Safety and Efficacy of Post-Dilation in Percutaneous Coronary Intervention Using Polymer-Free Ultrathin Strut Sirolimus-Probucol Coated Drug-Eluting Stents. Medicina, 59(9), 1649. https://doi.org/10.3390/medicina59091649

