The Use of F-18 FDG PET-Based Cognitive Reserve to Evaluate Cognitive Decline in Alzheimer’s Disease, Independent of Educational Influence
Abstract
1. Background
2. Materials and Methods
2.1. Dataset from the Alzheimer’s Disease Neuroimaging Initiative
2.2. Statistical Analyses
3. Results
3.1. Baseline Demographics
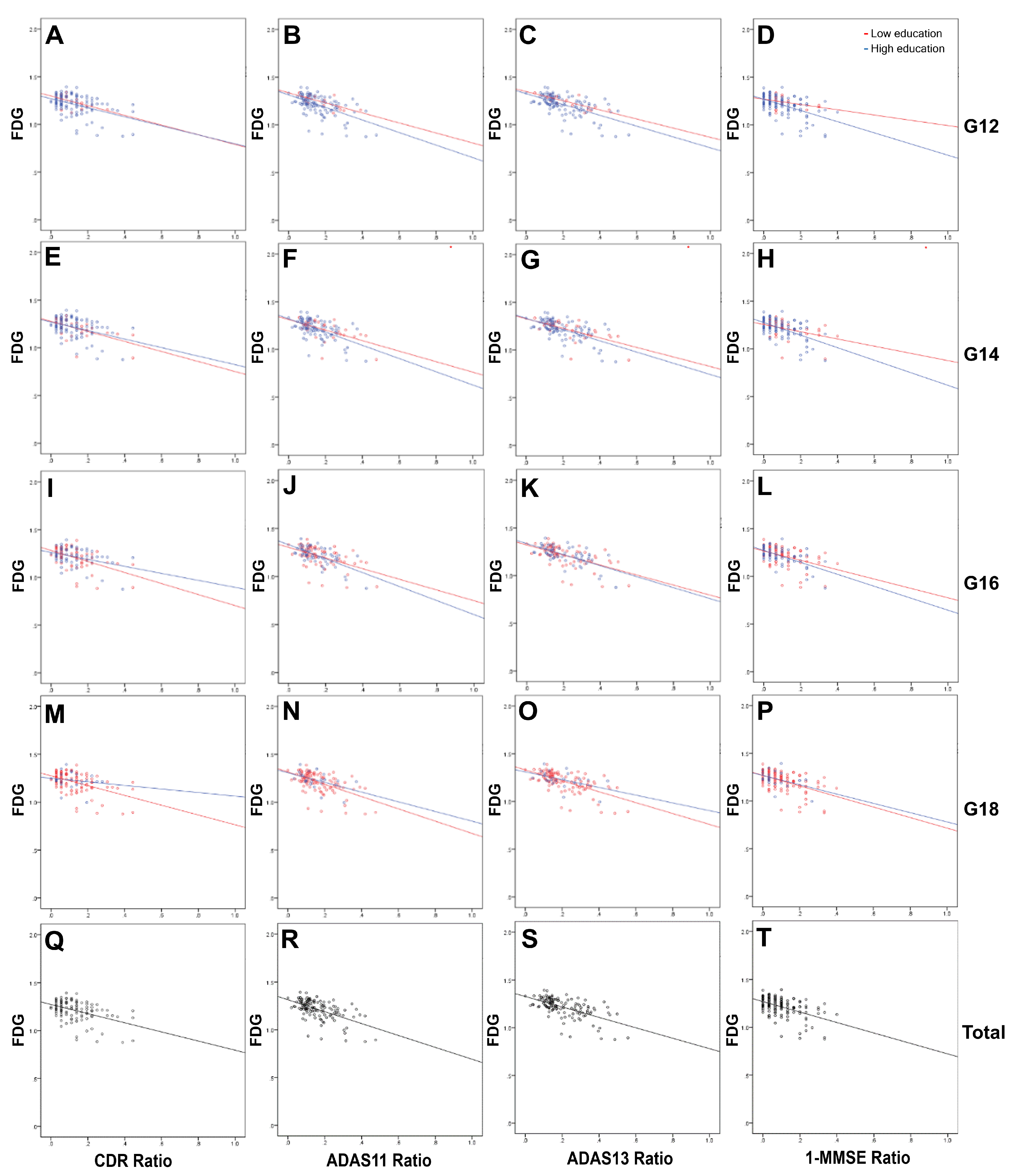
3.2. Differences in Variables between the Low and High Education Subgroups Using Four Cut-Offs for EDU
3.3. Correlation between Demographics, FDGSUVR, FBBSUVR, and Neuropsychological Tests
3.4. Multivariable Analyses for Correlations between Demographics, FDGSUVR, FBBSUVR, and Neuropsychological Tests
4. Discussion
5. Conclusions
Supplementary Materials
Author Contributions
Funding
Institutional Review Board Statement
Informed Consent Statement
Data Availability Statement
Acknowledgments
Conflicts of Interest
References
- Petersen, R.C.; Wiste, H.J.; Weigand, S.D.; Fields, J.A.; Geda, Y.E.; Graff-Radford, J. NIA-AA Alzheimer’s Disease Framework: Clinical Characterization of Stages. Ann. Neurol. 2021, 89, 1145–1156. [Google Scholar] [CrossRef] [PubMed]
- Balsis, S.; Benge, J.F.; Lowe, D.A.; Geraci, L.; Doody, R.S. How Do Scores on the ADAS-Cog, MMSE, and CDR-SOB Correspond? Clin. Neuropsychol. 2015, 29, 1002–1009. [Google Scholar] [CrossRef] [PubMed]
- Benoit, J.S.; Chan, W.; Piller, L.; Doody, R. Longitudinal Sensitivity of Alzheimer’s Disease Severity Staging. Am. J. Alzheimer’s Dis. Other Dement. 2020, 35, 1533317520918719. [Google Scholar] [CrossRef] [PubMed]
- Stern, Y. Cognitive reserve in ageing and Alzheimer’s disease. Lancet Neurol. 2012, 11, 1006–1012. [Google Scholar] [CrossRef]
- Kemppainen, N.M.; Aalto, S.; Karrasch, M.; Någren, K.; Savisto, N.; Oikonen, V.; Viitanen, M.; Parkkola, R.; Rinne, J.O. Cognitive reserve hypothesis: Pittsburgh Compound B and fluorodeoxyglucose positron emission tomography in relation to education in mild Alzheimer’s disease. Ann. Neurol. 2008, 63, 112–118. [Google Scholar] [CrossRef]
- Crum, R.M.; Anthony, J.C.; Bassett, S.S.; Folstein, M.F. Population-based norms for the Mini-Mental State Examination by age and educational level. Jama 1993, 269, 2386–2391. [Google Scholar] [CrossRef]
- Jack, C.R., Jr.; Bennett, D.A.; Blennow, K.; Carrillo, M.C.; Dunn, B.; Haeberlein, S.B.; Holtzman, D.M.; Jagust, W.; Jessen, F.; Karlawish, J.; et al. NIA-AA Research Framework: Toward a biological definition of Alzheimer’s disease. Alzheimer’s Dement. J. Alzheimer’s Assoc. 2018, 14, 535–562. [Google Scholar] [CrossRef]
- Minoshima, S.; Cross, D.; Thientunyakit, T.; Foster, N.L.; Drzezga, A. (18)F-FDG PET Imaging in Neurodegenerative Dementing Disorders: Insights into Subtype Classification, Emerging Disease Categories, and Mixed Dementia with Copathologies. J. Nucl. Med. Off. Publ. Soc. Nucl. Med. 2022, 63, 2s–12s. [Google Scholar]
- Perani, D.; Schillaci, O.; Padovani, A.; Nobili, F.M.; Iaccarino, L.; Della Rosa, P.A.; Frisoni, G.; Caltagirone, C. A survey of FDG- and amyloid-PET imaging in dementia and GRADE analysis. BioMed Res. Int. 2014, 2014, 785039. [Google Scholar] [CrossRef]
- Park, S.Y.; Byun, B.H.; Kim, B.I.; Lim, S.M.; Ko, I.O.; Lee, K.C.; Kim, K.M.; Kim, Y.K.; Lee, J.Y.; Bu, S.H.; et al. The correlation of neuropsychological evaluation with 11C-PiB and 18F-FC119S amyloid PET in mild cognitive impairment and Alzheimer disease. Medicine 2020, 99, e19620. [Google Scholar] [CrossRef]
- Qiao, Z.; Wang, G.; Zhao, X.; Wang, K.; Fan, D.; Chen, Q.; Ai, L. Neuropsychological Performance Is Correlated with Tau Protein Deposition and Glucose Metabolism in Patients with Alzheimer’s Disease. Front. Aging Neurosci. 2022, 14, 841942. [Google Scholar] [CrossRef]
- Lange, C.; Mäurer, A.; Suppa, P.; Apostolova, I.; Steffen, I.G.; Grothe, M.J.; Buchert, R. Brain FDG PET for Short- to Medium-Term Prediction of Further Cognitive Decline and Need for Assisted Living in Acutely Hospitalized Geriatric Patients with Newly Detected Clinically Uncertain Cognitive Impairment. Clin. Nucl. Med. 2022, 47, 123–129. [Google Scholar] [CrossRef]
- Lane, C.A.; Hardy, J.; Schott, J.M. Alzheimer’s disease. Eur. J. Neurol. 2018, 25, 59–70. [Google Scholar] [CrossRef]
- Stern, Y.; Gurland, B.; Tatemichi, T.K.; Tang, M.X.; Wilder, D.; Mayeux, R. Influence of education and occupation on the incidence of Alzheimer’s disease. Jama 1994, 271, 1004–1010. [Google Scholar] [CrossRef]
- Pettigrew, C.; Soldan, A. Defining Cognitive Reserve and Implications for Cognitive Aging. Curr. Neurol. Neurosci. Rep. 2019, 19, 1. [Google Scholar] [CrossRef]
- Landau, S.M.; Harvey, D.; Madison, C.M.; Koeppe, R.A.; Reiman, E.M.; Foster, N.L.; Weiner, M.W.; Jagust, W.J. Associations between cognitive, functional, and FDG-PET measures of decline in AD and MCI. Neurobiol. Aging 2011, 32, 1207–1218. [Google Scholar] [CrossRef]
- Roe, C.M.; Mintun, M.A.; D’Angelo, G.; Xiong, C.; Grant, E.A.; Morris, J.C. Alzheimer disease and cognitive reserve: Variation of education effect with carbon 11-labeled Pittsburgh Compound B uptake. Arch. Neurol. 2008, 65, 1467–1471. [Google Scholar] [CrossRef]
- Rösner, P.; Berger, J.; Tarasova, D.; Birkner, J.; Kaiser, H.; Diefenbacher, A.; Sappok, T. Assessment of dementia in a clinical sample of persons with intellectual disability. J. Appl. Res. Intellect. Disabil. JARID 2021, 34, 1618–1629. [Google Scholar] [CrossRef]
- Arevalo-Rodriguez, I.; Smailagic, N.; Roqué-Figuls, M.; Ciapponi, A.; Sanchez-Perez, E.; Giannakou, A.; Pedraza, O.L.; Bonfill Cosp, X.; Cullum, S. Mini-Mental State Examination (MMSE) for the early detection of dementia in people with mild cognitive impairment (MCI). Cochrane Database Syst. Rev. 2021, 7, Cd010783. [Google Scholar]
- Kang, I.W.; Beom, I.G.; Cho, J.Y.; Son, H.R. Accuracy of Korean-Mini-Mental Status Examination Based on Seoul Neuro-Psychological Screening Battery II Results. Korean J. Fam. Med. 2016, 37, 177–181. [Google Scholar] [CrossRef]
- Zamarian, L.; Karner, E.; Bodner, T.; Djamshidian, A.; Delazer, M. Differential Impact of Education on Cognitive Performance in Neurological Patients with Progressive Cognitive Decline. J. Alzheimer’s Dis. JAD 2021, 80, 1491–1501. [Google Scholar] [CrossRef] [PubMed]
- van Loenhoud, A.C.; Groot, C.; Bocancea, D.I.; Barkhof, F.; Teunissen, C.; Scheltens, P.; van de Flier, W.M.; Ossenkoppele, R. Association of Education and Intracranial Volume with Cognitive Trajectories and Mortality Rates Across the Alzheimer Disease Continuum. Neurology 2022, 98, e1679–e1691. [Google Scholar] [CrossRef]
- Ou, Y.N.; Xu, W.; Li, J.Q.; Guo, Y.; Cui, M.; Chen, K.L.; Huang, Y.Y.; Dong, Q.; Tan, L.; Yu, J.T. FDG-PET as an independent biomarker for Alzheimer’s biological diagnosis: A longitudinal study. Alzheimer’s Res. Ther. 2019, 11, 57. [Google Scholar] [CrossRef] [PubMed]
- Ackley, S.F.; Hayes-Larson, E.; Brenowitz, W.D.; Swinnerton, K.; Mungas, D.; Fletcher, E.; Singh, B.; Whitmer, R.A.; DeCarli, C.; Maria Glymour, M. Amyloid-PET imaging offers small improvements in predictions of future cognitive trajectories. NeuroImage Clin. 2021, 31, 102713. [Google Scholar] [CrossRef] [PubMed]


| Normal | MCI | AD | Total | |
|---|---|---|---|---|
| No. | 3 | 91 | 30 | 124 |
| Age, years | 79.4 ± 15.9 | 71.8 ± 7.9 | 73.9 ± 7.8 | 72.5 ± 8.0. |
| Sex, n (%) | ||||
| Male | 2 (67) | 51 (56) | 19 (63) | 72 (58) |
| Female | 1 (33) | 40 (44) | 11 (37) | 52 (42) |
| EDU | 17.7 ± 2.1 | 16.3 ± 2.5 | 16.2 ± 2.5 | 16.3 ± 2.5 |
| APOE, n * (%) | ||||
| 0 | 2 (100) | 37 (54) | 4 (14) | 43 (43) |
| 1 | 0 (0) | 26 (38) | 15 (54) | 41 (41) |
| 2 | 0 (0) | 6 (8) | 9 (32) | 15 (16) |
| CDR * | 2.3 ± 4.0 | 1.6 ± 1.0 | 4.1 ± 1.8 | 2.2 ± 1.7 |
| ADAS11 * | 13.9 ± 13.9 | 8.7 ± 3.7 | 19.2 ± 5.5 | 11.4 ± 6.4 |
| ADAS13 * | 19.6 ± 19.6 | 13.7 ± 5.7 | 29.8 ± 7.1 | 17.8 ± 9.5 |
| MMSE * | 25.3 ± 4.7 | 28.1 ± 7.5 | 23.8 ± 2.8 | 27.0 ± 2.8 |
| FDGSUVR * | 1.118 ± 0.210 | 1.243 ± 0.077 | 1.135 ± 0.111 | 1.214 ± 0.102 |
| FBBSUVR * | 1.302 ± 0.295 | 1.200 ± 0.252 | 1.482 ± 0.275 | 1.271 ± 0.283 |
| EDU | G12 | G14 | G16 | G18 | ||||
|---|---|---|---|---|---|---|---|---|
| ≤12 | >12 | ≤24 | >14 | ≤46 | >16 | ≤68 | >18 | |
| No. | 15 | 109 | 31 | 93 | 67 | 57 | 102 | 22 |
| Age | 70.0 ± 5.6 | 72.8 ± 8.2 | 70.6 ± 7.6 | 73.1 ± 8.1 | 70.4 ± 8.3 * | 74.9 ± 6.9 * | 71.9 ± 7.9 | 75.3 ± 8.3 |
| Sex, n (%) | ||||||||
| Male | 9 (60) | 63 (58) | 16 (52) | 56 (60) | 34 (51) | 38 (67) | 57 (56) | 15 (68) |
| Female | 6 (40) | 46 (42) | 15 (48) | 37 (40) | 33 (49) | 19 (33) | 45 (44) | 7 (32) |
| Diagnosis, n (%) | ||||||||
| AD | 3 (20) | 27 (25) | 10 (32) | 20 (22) | 15 (22) | 15 (26) | 26 (25) | 4 (18) |
| MCI | 12 (80) | 79 (72) | 21 (68) | 70 (75) | 51 (76) | 40 (70) | 74 (73) | 17 (77) |
| Normal | 0 (0) | 3 (3) | 0 (0) | 3 (3) | 1 (2) | 2 (4) | 2 (2) | 1 (5) |
| APOE, n † (%) | ||||||||
| 0 | 6 (40) | 37 (34) | 12 (39) | 31 (33) | 26 (39) | 17 (30) | 34 (33) | 9 (41) |
| 1 | 3 (20) | 38 (35) | 10 (32) | 31 (33) | 23 (34) | 18 (31) | 39 (38) | 2 (9) |
| 2 | 3 (20) | 12 (11) | 6 (20) | 9 (10) | 9 (13) | 6 (11) | 11 (11) | 4 (18) |
| CDR | 2.2 ± 1.4 | 2.2 ± 1.8 | 2.5 ± 2.1 | 2.1 ± 1.6 | 2.2 ± 1.7 | 2.3 ± 1.8 | 2.3 ± 1.8 | 2.0 ± 1.4 |
| ADAS11 | 13.2 ± 6.8 | 11.1 ± 6.4 | 13.8 ± 7.7 * | 10.6 ± 5.7 * | 11.6 ± 6.8 | 11.1 ± 6.0 | 11.5 ± 6.5 | 10.9 ± 6.1 |
| ADAS13 | 19.8 ± 9.9 | 17.5 ± 9.4 | 20.9 ± 11.1 * | 16.7 ± 8.7 * | 17.8 ± 9.8 | 17.7 ± 9.1 | 18.0 ± 9.6 | 17.0 ± 9.1 |
| MMSE | 26.5 ± 2.6 | 27.1 ± 2.8 | 25.9 ± 3.3 * | 27.3 ± 2.6 * | 26.7 ± 2.9 | 27.3 ± 2.8 | 26.8 ± 2.9 | 27.6 ± 2.4 |
| FDGSUVR | 1.236 ± 0.069 | 1.211 ± 0.105 | 1.204 ± 0.105 | 1.217 ± 0.101 | 1.213 ± 0.108 | 1.215 ± 0.095 | 1.211 ± 0.104 | 1.229 ± 0.089 |
| FBBSUVR | 1.253 ± 0.269 | 1.273 ± 0.286 | 1.314 ± 0.293 | 1.256 ± 0.280 | 1.281 ± 0.295 | 1.259 ± 0.271 | 1.275 ± 0.289 | 1.249 ± 0.261 |
| CDR (Correlation Coefficient) | |||||||||
| G12 | G14 | G16 | G18 | Total | |||||
| ≤12 | >12 | ≤14 | >14 | ≤16 | >16 | ≤18 | >18 | ||
| Age † | −0.374 | 0.178 | −0.006 | 0.225 * | 0.120 | 0.153 | 0.156 | 0.116 | 0.142 |
| Sex ‡ | −0.016 | −0.129 | 0.069 | −0.188 | 0.037 | −0.300* | −0.086 | −0.295 | −0.117 |
| EDU † | −0.066 | −0.076 | 0.132 | 0.019 | −0.129 | −0.181 | −0.028 | 0.254 | −0.047 |
| APOE ‡ | 0.358 | 0.290 * | 0.446 * | 0.226 | 0.406 * | 0.118 | 0.252 * | 0.436 | 0.290 * |
| FDGSUVR † | −0.570 * | −0.444 * | −0.586 * | −0.391 * | −0.514 * | −0.373 * | −0.489 * | −0.163 | −0.451 * |
| FBBSUVR † | 0.164 | 0.286 * | 0.489 * | 0.172 | 0.513 * | −0.019 | 0.262 * | 0.359 | 0.275 * |
| ADAS11 (Correlation Coefficient) | |||||||||
| G12 | G14 | G16 | G18 | Total | |||||
| ≤12 | >12 | ≤14 | >14 | ≤16 | >16 | ≤18 | >18 | ||
| Age † | −0.311 | 0.255 * | −0.041 | 0.343 * | 0.092 | 0.392 * | 0.194 | 0.193 | 0.189 * |
| Sex ‡ | 0.000 | −0.164 | −0.029 | −0.210 * | −0.098 | −0.272 * | −0.157 | −0.177 | −0.159 |
| EDU † | −0.018 | −0.120 | 0.068 | 0.042 | −0.269 * | −0.110 | −0.191 | 0.128 | −0.155 |
| APOE ‡ | 0.330 | 0.319 * | 0.309 | 0.332 * | 0.342 * | 0.292 | 0.300 * | 0.434 | 0.327 * |
| FDGSUVR † | −0.737 * | −0.565 * | −0.578 * | −0.561 * | −0.496 * | −0.653 * | −0.570 * | −0.491 * | −0.559 * |
| FBBSUVR † | 0.325 | 0.462 * | 0.450 * | 0.431 * | 0.477 * | 0.385 * | 0.409 * | 0.612 * | 0.440 * |
| ADAS13 (Correlation Coefficient) | |||||||||
| G12 | G14 | G16 | G18 | Total | |||||
| ≤12 | >12 | ≤14 | >14 | ≤16 | >16 | ≤18 | >18 | ||
| Age † | −0.230 | 0.283 * | 0.015 | 0.359 * | 0.139 | 0.381 * | 0.230 * | 0.237 | 0.225 * |
| Sex ‡ | 0.063 | −0.130 | 0.058 | −0.188 | −0.056 | −0.224 | −0.120 | −0.131 | −0.114 |
| EDU † | 0.032 | −0.116 | 0.089 | 0.037 | −0.263 * | −0.161 | −0.155 | 0.061 | −0.133 |
| APOE ‡ | 0.467 | 0.349 * | 0.379 * | 0.350 * | 0.425 * | 0.287 | 0.336 * | 0.422 | 0.366 * |
| FDGSUVR † | −0.806 * | −0.598 * | −0.622 * | −0.596 * | −0.564 * | −0.649 * | −0.617 * | −0.487 * | −0.599 * |
| FBBSUVR † | 0.445 | 0.511 * | 0.510 * | 0.490 * | 0.554 * | 0.425 * | 0.474 * | 0.639 * | 0.499 * |
| MMSE (Correlation Coefficient) | |||||||||
| G12 | G14 | G16 | G18 | Total | |||||
| ≤12 | >12 | ≤14 | >14 | ≤16 | >16 | ≤18 | >18 | ||
| Age † | 0.404 | −0.109 | −0.028 | −0.120 | −0.060 | −0.142 | −0.062 | −0.172 | −0.062 |
| Sex ‡ | 0.100 | 0.018 | 0.022 | 0.041 | −0.045 | 0.137 | −0.014 | 0.267 | 0.023 |
| EDU † | −0.162 | 0.185 | −0.183 | 0.042 | 0.184 | 0.109 | 0.165 | −0.417 | 0.171 |
| APOE ‡ | 0.095 | −0.300 * | −0.179 | −0.296 * | −0.299 * | −0.237 | −0.239 * | −0.339 | −0.268 * |
| FDGSUVR † | 0.348 | 0.527 * | 0.395 * | 0.555 * | 0.434 * | 0.603 * | 0.510 * | 0.435 * | 0.503 * |
| FBBSUVR † | −0.201 | −0.418 * | −0.494 * | −0.340 * | −0.444 * | −0.325 * | −0.409 * | −0.287 | −0.394 * |
| CDR (p-Value) | ||||||||||
| G12 | G14 | G16 | G18 | Total | ||||||
| Mode | EDU | ≤12 | >12 | ≤14 | >14 | ≤16 | >16 | ≤18 | >18 | |
| Enter | ||||||||||
| Age | 0.155 | 0.044 * | 0.552 | 0.059 | 0.401 | 0.300 | 0.108 | 0.372 | 0.089 | |
| Sex (dummy) | 0.976 | 0.868 | 0.419 | 0.460 | 0.321 | 0.130 | 0.682 | 0.525 | 0.873 | |
| EDU | 0.747 | 0.598 | 0.406 | 0.820 | 0.317 | 0.072 | 0.628 | 0.362 | 0.573 | |
| APOE (dummy1) | 0.838 | 0.738 | 0.452 | 0.630 | 0.899 | 0.653 | 0.946 | 0.535 | 0.891 | |
| APOE (dummy2) | 0.416 | 0.097 | 0.419 | 0.182 | 0.630 | 0.166 | 0.466 | 0.188 | 0.164 | |
| FDGSUVR | 0.119 | <0.001 * | 0.012 * | 0.002 * | 0.002 * | 0.018 * | <0.001 * | 0.767 | <0.001 * | |
| FBBSUVR | 0.846 | 0.847 | 0.044 * | 0.597 | 0.063 | 0.152 | 0.817 | 0.370 | 0.853 | |
| R2 | 0.578 | 0.257 | 0.473 | 0.215 | 0.387 | 0.273 | 0.264 | 0.464 | 0.242 | |
| Stepwise † | ||||||||||
| FDGSUVR | 0.027 | <0.001 | 0.001 | <0.001 | 0.003 | 0.005 | <0.001 | - | <0.001 | |
| FBBSUVR | - | - | - | - | 0.003 | - | - | - | - | |
| Age | - | 0.048 | - | 0.045 | - | - | - | - | - | |
| R2 | 0.325 | 0.227 | 0.343 | 0.190 | 0.360 | 0.138 | 0.239 | - | 0.204 | |
| ADAS11 (p-value) | ||||||||||
| G12 | G14 | G16 | G18 | Total | ||||||
| Mode | EDU | ≤12 | >12 | ≤14 | >14 | ≤16 | >16 | ≤18 | >18 | |
| Enter | ||||||||||
| Age | 0.623 | 0.007 * | 0.498 | 0.004* | 0.536 | 0.005 * | 0.034 * | 0.271 | 0.015 * | |
| Sex (dummy) | 0.875 | 0.995 | 0.530 | 0.854 | 0.555 | 0.547 | 0.648 | 0.565 | 0.988 | |
| EDU | 0.676 | 0.436 | 0.363 | 0.658 | 0.023 * | 0.992 | 0.012 * | 0.515 | 0.040 * | |
| APOE (dummy1) | 0.538 | 0.853 | 0.106 | 0.448 | 0.414 | 0.328 | 0.965 | 0.162 | 0.622 | |
| APOE (dummy2) | 0.702 | 0.260 | 0.418 | 0.283 | 0.632 | 0.261 | 0.499 | 0.554 | 0.188 | |
| FDGSUVR | 0.022 * | <0.001 * | 0.009 * | <0.001 * | 0.002 * | <0.001 * | <0.001 * | 0.105 | <0.001 * | |
| FBBSUVR | 0.649 | 0.056 | 0.040 * | 0.162 | 0.061 | 0.382 | 0.378 | 0.017 * | 0.079 | |
| R2 | 0.712 | 0.437 | 0.495 | 0.447 | 0.410 | 0.558 | 0.417 | 0.718 | 0.419 | |
| Stepwise † | ||||||||||
| FDGSUVR | 0.002 | <0.001 | 0.001 | <0.001 | 0.002 | <0.001 | <0.001 | 0.031 | <0.001 | |
| FBBSUVR | - | 0.005 | - | 0.001 | 0.009 | - | - | 0.002 | 0.002 | |
| Age | - | 0.011 | - | 0.035 | - | 0.004 | 0.015 | - | - | |
| EDU | - | - | - | - | 0.011 | - | 0.005 | - | - | |
| R2 | 0.534 | 0.427 | 0.334 | 0.435 | 0.392 | 0.516 | 0.401 | 0.575 | 0.368 | |
| ADAS13 (p-value) | ||||||||||
| G12 | G14 | G16 | G18 | Total | ||||||
| Mode | EDU | ≤12 | >12 | ≤14 | >14 | ≤16 | >16 | ≤18 | >18 | |
| Enter | ||||||||||
| Age | 0.601 | 0.001 * | 0.753 | 0.002 * | 0.300 | 0.007 * | 0.016 * | 0.166 | 0.004 * | |
| Sex (dummy) | 0.724 | 0.516 | 0.489 | 0.706 | 0.347 | 0.852 | 0.461 | 0.862 | 0.634 | |
| EDU | 0.512 | 0.617 | 0.303 | 0.493 | 0.013* | 0.735 | 0.023* | 0.548 | 0.074 | |
| APOE (dummy1) | 0.785 | 0.648 | 0.216 | 0.335 | 0.614 | 0.379 | 0.684 | 0.148 | 0.907 | |
| APOE (dummy2) | 0.565 | 0.286 | 0.568 | 0.388 | 0.567 | 0.337 | 0.554 | 0.402 | 0.184 | |
| FDGSUVR | 0.015 * | <0.001 * | 0.004 * | <0.001 * | <0.001 * | <0.001 * | <0.001 * | 0.068 | <0.001 * | |
| FBBSUVR | 0.666 | 0.019 * | 0.038 * | 0.052 | 0.026 * | 0.210 | 0.171 | 0.011 * | 0.023 * | |
| R2 | 0.753 | 0.506 | 0.542 | 0.515 | 0.509 | 0.559 | 0.485 | 0.759 | 0.487 | |
| Stepwise † | ||||||||||
| FDGSUVR | <0.001 | <0.001 | 0.002 | <0.001 | <0.001 | <0.001 | <0.001 | 0.028 | <0.001 | |
| FBBSUVR | - | <0.001 | 0.040 | 0.001 | 0.001 | 0.045 | 0.005 | 0.001 | 0.001 | |
| Age | - | 0.003 | - | 0.004 | - | 0.008 | - | - | 0.028 | |
| EDU | - | - | - | - | 0.007 | - | - | - | - | |
| R2 | 0.650 | 0.497 | 0.475 | 0.504 | 0.491 | 0.544 | 0.429 | 0.615 | 0.462 | |
| MMSE (p-value) | ||||||||||
| G12 | G14 | G16 | G18 | Total | ||||||
| Mode | EDU | ≤12 | >12 | ≤14 | >14 | ≤16 | >16 | ≤18 | >18 | |
| Enter | ||||||||||
| Age | 0.187 | 0.174 | 0.448 | 0.266 | 0.839 | 0.551 | 0.771 | 0.031 * | 0.432 | |
| Sex (dummy) | 0.472 | 0.787 | 0.976 | 0.611 | 0.721 | 0.726 | 0.755 | 0.407 | 0.941 | |
| EDU | 0.463 | 0.158 | 0.902 | 0.752 | 0.176 | 0.750 | 0.089 | 0.283 | 0.060 | |
| APOE (dummy1) | 0.768 | 0.896 | 0.204 | 0.623 | 0.454 | 0.552 | 0.579 | 0.950 | 0.734 | |
| APOE (dummy2) | 0.896 | 0.172 | 0.547 | 0.177 | 0.826 | 0.259 | 0.905 | 0.010 | 0.317 | |
| FDGSUVR | 0.532 | <0.001 * | 0.280 | <0.001 * | 0.017 * | <0.001 * | <0.001 * | 0.113 | <0.001 * | |
| FBBSUVR | 0.713 | 0.138 | 0.033 * | 0.786 | 0.055 | 0.669 | 0.061 | 0.672 | 0.092 | |
| R2 | 0.477 | 0.356 | 0.354 | 0.340 | 0.303 | 0.397 | 0.326 | 0.685 | 0.323 | |
| Stepwise † | ||||||||||
| FDGSUVR | - | <0.001 | - | <0.001 | 0.019 | <0.001 | <0.001 | - | <0.001 | |
| FBBSUVR | - | 0.006 | 0.005 | - | 0.013 | - | 0.019 | - | 0.010 | |
| R2 | 0.325 | 0.328 | 0.244 | 0.308 | 0.263 | 0.362 | 0.300 | - | 0.294 | |
Disclaimer/Publisher’s Note: The statements, opinions and data contained in all publications are solely those of the individual author(s) and contributor(s) and not of MDPI and/or the editor(s). MDPI and/or the editor(s) disclaim responsibility for any injury to people or property resulting from any ideas, methods, instructions or products referred to in the content. |
© 2023 by the authors. Licensee MDPI, Basel, Switzerland. This article is an open access article distributed under the terms and conditions of the Creative Commons Attribution (CC BY) license (https://creativecommons.org/licenses/by/4.0/).
Share and Cite
Choi, H.J.; Seo, M.; Kim, A.; Park, S.H. The Use of F-18 FDG PET-Based Cognitive Reserve to Evaluate Cognitive Decline in Alzheimer’s Disease, Independent of Educational Influence. Medicina 2023, 59, 945. https://doi.org/10.3390/medicina59050945
Choi HJ, Seo M, Kim A, Park SH. The Use of F-18 FDG PET-Based Cognitive Reserve to Evaluate Cognitive Decline in Alzheimer’s Disease, Independent of Educational Influence. Medicina. 2023; 59(5):945. https://doi.org/10.3390/medicina59050945
Chicago/Turabian StyleChoi, Hyung Jin, Minjung Seo, Ahro Kim, and Seol Hoon Park. 2023. "The Use of F-18 FDG PET-Based Cognitive Reserve to Evaluate Cognitive Decline in Alzheimer’s Disease, Independent of Educational Influence" Medicina 59, no. 5: 945. https://doi.org/10.3390/medicina59050945
APA StyleChoi, H. J., Seo, M., Kim, A., & Park, S. H. (2023). The Use of F-18 FDG PET-Based Cognitive Reserve to Evaluate Cognitive Decline in Alzheimer’s Disease, Independent of Educational Influence. Medicina, 59(5), 945. https://doi.org/10.3390/medicina59050945

