Long-Term Outcomes of Laparoscopic Greater Curvature Plication and Laparoscopic Sleeve Gastrectomy: Critical Appraisal of the Role of Gastric Plication in Bariatric Surgery
Abstract
1. Introduction
2. Materials and Methods
2.1. Patients
2.2. Variables
2.3. Surgical Technique
2.4. Statistical Analysis
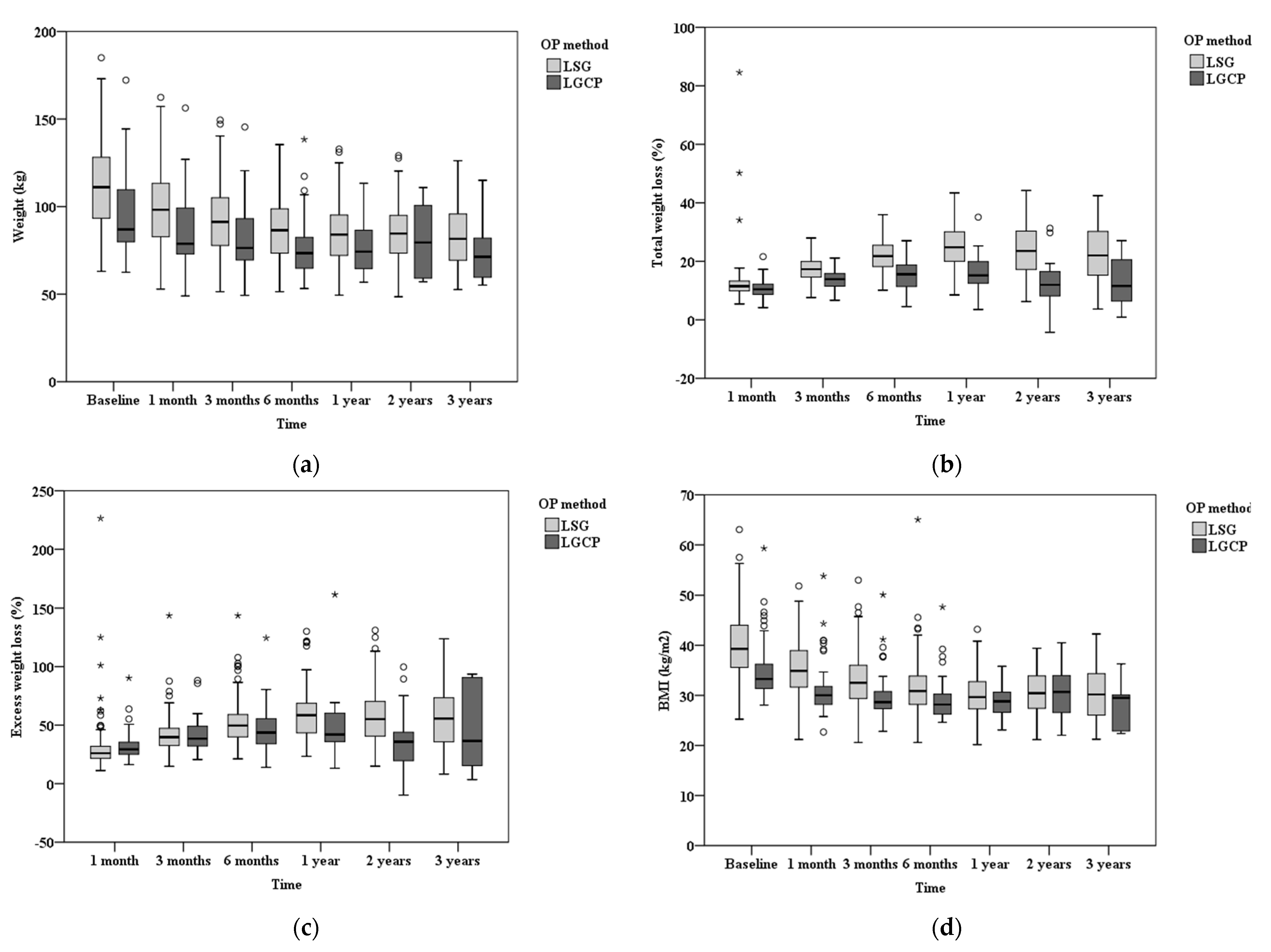
3. Results
4. Discussion
Limitations
5. Conclusions
Author Contributions
Funding
Institutional Review Board Statement
Informed Consent Statement
Data Availability Statement
Acknowledgments
Conflicts of Interest
References
- Allison, D.B.; Fontaine, K.R.; Manson, J.E.; Stevens, J.; VanItallie, T.B. Annual deaths attributable to obesity in the United States. JAMA 1999, 282, 1530–1538. [Google Scholar] [CrossRef] [PubMed]
- Must, A.; Spadano, J.; Coakley, E.H.; Field, A.E.; Colditz, G.; Dietz, W.H. The disease burden associated with overweight and obesity. JAMA 1999, 282, 1523–1529. [Google Scholar] [CrossRef] [PubMed]
- World Health Organization. Obesity. Available online: https://www.who.int/news-room/facts-in-pictures/detail/6-facts-on-obesity (accessed on 1 July 2022).
- Hussain, A.; Mahawar, K.; Xia, Z.; Yang, W.; Shamsi, E.-H. RETRACTED: Obesity and mortality of COVID-19. Meta-analysis. Obes. Res. Clin. Pract. 2020, 14, 295–300. [Google Scholar] [CrossRef] [PubMed]
- Tartof, S.Y.; Qian, L.; Hong, V.; Wei, R.; Nadjafi, R.F.; Fischer, H.; Li, Z.; Shaw, S.F.; Caparosa, S.L.; Nau, C.L. Obesity and mortality among patients diagnosed with COVID-19: Results from an integrated health care organization. Ann. Intern. Med. 2020, 173, 773–781. [Google Scholar] [CrossRef] [PubMed]
- Steinbrook, R. Surgery for severe obesity. N. Engl. J. Med. 2004, 350, 1075–1079. [Google Scholar] [CrossRef]
- Golomb, I.; David, M.B.; Glass, A.; Kolitz, T.; Keidar, A. Long-term metabolic effects of laparoscopic sleeve gastrectomy. JAMA Surg. 2015, 150, 1051–1057. [Google Scholar] [CrossRef]
- Alexandrou, A.; Athanasiou, A.; Michalinos, A.; Felekouras, E.; Tsigris, C.; Diamantis, T. Laparoscopic sleeve gastrectomy for morbid obesity: 5-year results. Am. J. Surg. 2015, 209, 230–234. [Google Scholar] [CrossRef]
- Ji, Y.; Wang, Y.; Zhu, J.; Shen, D. A systematic review of gastric plication for the treatment of obesity. Surg. Obes. Relat. Dis. 2014, 10, 1226–1232. [Google Scholar] [CrossRef]
- Doležalova-Kormanova, K.; Buchwald, J.; Skochova, D.; Pichlerova, D.; McGlennon, T.; Fried, M. Five-year outcomes: Laparoscopic greater curvature plication for treatment of morbid obesity. Obes. Surg. 2017, 27. [Google Scholar] [CrossRef]
- Khidir, N.; Al Dhaheri, M.; El Ansari, W.; Al Kuwari, M.; Sargsyan, D.; Bashah, M. Outcomes of laparoscopic gastric greater curvature plication in morbidly obese patients. J. Obes. 2017, 2017, 7989714. [Google Scholar] [CrossRef]
- Shen, D.; Ye, H.; Wang, Y.; Ji, Y.; Zhan, X.; Zhu, J.; Li, W. Comparison of short-term outcomes between laparoscopic greater curvature plication and laparoscopic sleeve gastrectomy. Surg. Endosc. 2013, 27, 2768–2774. [Google Scholar] [CrossRef] [PubMed]
- Abdelbaki, T.N.; Sharaan, M.; Abdel-Baki, N.A.; Katri, K. Laparoscopic gastric greater curvature plication versus laparoscopic sleeve gastrectomy: Early outcome in 140 patients. Surg. Obes. Relat. Dis. 2014, 10, 1141–1146. [Google Scholar] [CrossRef] [PubMed]
- Sharma, S.; Narwaria, M.; Cottam, D.R.; Cottam, S. Randomized double-blinded trial of laparoscopic gastric imbrication v laparoscopic sleeve gastrectomy at a single Indian institution. Obes. Surg. 2015, 25, 800–804. [Google Scholar] [CrossRef] [PubMed]
- Tang, Y.; Tang, S.; Hu, S. Comparative efficacy and safety of laparoscopic greater curvature plication and laparoscopic sleeve gastrectomy: A meta-analysis. Obes. Surg. 2015, 25, 2169–2175. [Google Scholar] [CrossRef]
- Verdi, D.; Prevedello, L.; Albanese, A.; Lobba, A.; Foletto, M. Laparoscopic gastric plication (LGCP) vs sleeve gastrectomy (LSG): A single institution experience. Obes. Surg. 2015, 25, 1653–1657. [Google Scholar] [CrossRef]
- Abouzeid, M.M.; Taha, O. Laparoscopic sleeve gastrectomy versus laparoscopic gastric greater curvature plication: A prospective randomized comparative study. Egypt. J. Surg. 2015, 34, 41–47. [Google Scholar] [CrossRef]
- Toprak, Ş.S.; Gültekin, Y.; Okuş, A. Comparison of laparoscopic sleeve gastrectomy and laparoscopic gastric plication: One year follow-up results. Turk. J. Surg. /Ulus. Cerrahi Derg. 2016, 32, 18. [Google Scholar] [CrossRef]
- Bužga, M.; Švagera, Z.; Tomášková, H.; Hauptman, K.; Holéczy, P. Metabolic effects of sleeve gastrectomy and laparoscopic greater curvature plication: An 18-month prospective, observational, open-label study. Obes. Surg. 2017, 27, 3258–3266. [Google Scholar] [CrossRef]
- Rabi Eid, K.; Salama Sayoh, A.; Mahmoud Elwan, A. Study of the rate of excess weight loss after laparoscopic sleeve gastrectomy and laparoscopic gastric plication in morbidly obese patients. Al-Azhar Med. J. 2017, 46, 297–313. [Google Scholar] [CrossRef]
- Ye, M.; Huang, R.; Min, Z.; Zhang, P.; Wang, T.; Yu, B. Comparison of the effect by which gastric plication and sleeve gastrectomy procedures alter metabolic and physical parameters in an obese type 2 diabetes rodent model. Surg. Obes. Relat. Dis. 2017, 13, 1819–1828. [Google Scholar] [CrossRef]
- Ye, Q.; Chen, Y.; Zhan, X.; Wang, Y.; Zhu, J. Comparison of laparoscopic sleeve gastrectomy and laparoscopic greater curvature plication regarding efficacy and safety: A meta-analysis. Obes. Surg. 2017, 27, 1358–1364. [Google Scholar] [CrossRef] [PubMed]
- Perivoliotis, K.; Sioka, E.; Katsogridaki, G.; Zacharoulis, D. Laparoscopic gastric plication versus laparoscopic sleeve gastrectomy: An up-to-date systematic review and meta-analysis. J. Obes. 2018, 2018, 3617458. [Google Scholar] [CrossRef] [PubMed]
- Li, Y.-H.; Wang, B.-Y.; Huang, Y.-C.; Tsao, L.-C.; Chan, C.-P.; Huang, C.-Y.; Chang, H.-C. Clinical outcomes of laparoscopic greater curvature plication and laparoscopic sleeve gastrectomy: A case-matched control study. Obes. Surg. 2019, 29, 387–393. [Google Scholar] [CrossRef] [PubMed]
- World Health Organization. Obesity: Preventing and Managing the Global Epidemic; WHO: Geneva, Switzerland, 2000. [Google Scholar]
- Morita, K.; Maeda, N.; Kawaoka, T.; Hiraki, S.; Kudo, A.; Fukuda, S.; Oka, M. Effects of the time interval between clamping and linear stapling for resection of porcine small intestine. Surg. Endosc. 2008, 22, 750–756. [Google Scholar] [CrossRef]
- Nakayama, S.; Hasegawa, S.; Nagayama, S.; Kato, S.; Hida, K.; Tanaka, E.; Itami, A.; Kubo, H.; Sakai, Y. The importance of precompression time for secure stapling with a linear stapler. Surg. Endosc. 2011, 25, 2382–2386. [Google Scholar] [CrossRef]
- Nakayama, S.; Hasegawa, S.; Hida, K.; Kawada, K.; Sakai, Y. Obtaining secure stapling of a double stapling anastomosis. J. Surg. Res. 2015, 193, 652–657. [Google Scholar] [CrossRef][Green Version]
- James, P.T.; Leach, R.; Kalamara, E.; Shayeghi, M. The worldwide obesity epidemic. Obes. Res. 2001, 9, 228S–233S. [Google Scholar] [CrossRef]
- Costa-Font, J.; Mas, N. ‘Globesity’? The effects of globalization on obesity and caloric intake. Food Policy 2016, 64, 121–132. [Google Scholar] [CrossRef]
- Blüher, M. Obesity: Global epidemiology and pathogenesis. Nat. Rev. Endocrinol. 2019, 15, 288–298. [Google Scholar] [CrossRef]
- Dawood, F.S.; Iuliano, A.D.; Reed, C.; Meltzer, M.I.; Shay, D.K.; Cheng, P.-Y.; Bandaranayake, D.; Breiman, R.F.; Brooks, W.A.; Buchy, P. Estimated global mortality associated with the first 12 months of 2009 pandemic influenza A H1N1 virus circulation: A modelling study. Lancet Infect. Dis. 2012, 12, 687–695. [Google Scholar] [CrossRef]
- Guan, W.-J.; Ni, Z.-Y.; Hu, Y.; Liang, W.-H.; Ou, C.-Q.; He, J.-X.; Liu, L.; Shan, H.; Lei, C.-L.; Hui, D.S. Clinical characteristics of coronavirus disease 2019 in China. N. Engl. J. Med. 2020, 382, 1708–1720. [Google Scholar] [CrossRef] [PubMed]
- Di Lorenzo, N.; Antoniou, S.A.; Batterham, R.L.; Busetto, L.; Godoroja, D.; Iossa, A.; Carrano, F.M.; Agresta, F.; Alarçon, I.; Azran, C. Clinical practice guidelines of the European Association for Endoscopic Surgery (EAES) on bariatric surgery: Update 2020 endorsed by IFSO-EC, EASO and ESPCOP. Surg. Endosc. 2020, 34, 2332–2358. [Google Scholar] [CrossRef] [PubMed]
- Almogy, G.; Crookes, P.F.; Anthone, G.J. Longitudinal gastrectomy as a treatment for the high-risk super-obese patient. Obes. Surg. 2004, 14, 492–497. [Google Scholar] [CrossRef]
- Sczepaniak, J.P.; Owens, M.L.; Shukla, H.; Perlegos, J.; Garner, W. Comparability of weight loss reporting after gastric bypass and sleeve gastrectomy using BOLD data 2008–2011. Obes. Surg. 2015, 25, 788–795. [Google Scholar] [CrossRef]
- Halverson, J.D.; Koehler, R. Gastric bypass: Analysis of weight loss and factors determining success. Surgery 1981, 90, 446–455. [Google Scholar] [PubMed]
- Nedeljkovic-Arsenovic, O.; Banovic, M.; Radenkovic, D.; Rancic, N.; Polovina, S.; Micic, D.; Nedeljkovic, I. Five-year outcomes in bariatric surgery patients. Medicina 2020, 56, 669. [Google Scholar] [CrossRef] [PubMed]
- Bhandari, M.; Fobi, M.; Buchwald, J.N. Standardization of bariatric metabolic procedures: World consensus meeting statement. Obes. Surg. 2019, 29, 309–345. [Google Scholar] [CrossRef] [PubMed]
- Diaz-Guerra, C.S.-C.; Jiménez, A.L. Analysis of weight loss with the biliopancreatic diversion of Larrad: Absolute failures or relative successes? Obes. Surg. 2002, 12, 249–252. [Google Scholar] [CrossRef]
- Alfadda, A.A.; Al-Naami, M.Y.; Masood, A.; Elawad, R.; Isnani, A.; Ahamed, S.S.; Alfadda, N.A. Long-Term Weight Outcomes after Bariatric Surgery: A Single Center Saudi Arabian Cohort Experience. J. Clin. Med. 2021, 10, 4922. [Google Scholar] [CrossRef]
- Boza, C.; Daroch, D.; Barros, D.; León, F.; Funke, R.; Crovari, F. Long-term outcomes of laparoscopic sleeve gastrectomy as a primary bariatric procedure. Surg. Obes. Relat. Dis. 2014, 10, 1129–1133. [Google Scholar] [CrossRef]
- Mui, W.L.-M.; Ng, E.K.-W.; Tsung, B.Y.-S.; Lam, C.C.-H.; Yung, M.-Y. Laparoscopic sleeve gastrectomy in ethnic obese Chinese. Obes. Surg. 2008, 18, 1571–1574. [Google Scholar] [CrossRef] [PubMed]
- Van Rijswijk, A.-S.; van Olst, N.; Schats, W.; van der Peet, D.L.; van de Laar, A.W. What is weight loss after bariatric surgery expressed in percentage total weight loss (% TWL)? A systematic review. Obes. Surg. 2021, 31, 3833–3847. [Google Scholar] [CrossRef] [PubMed]
- Grover, B.T.; Morell, M.C.; Kothari, S.N.; Borgert, A.J.; Kallies, K.J.; Baker, M.T. Defining weight loss after bariatric surgery: A call for standardization. Obes. Surg. 2019, 29, 3493–3499. [Google Scholar] [CrossRef] [PubMed]
- Park, Y.H.; Kim, S.M. Short-term outcomes of laparoscopic greater curvature plication and laparoscopic sleeve gastrectomy in patients with a body mass index of 30 to 35 kg/m2. Yonsei Med. J. 2017, 58, 1025–1030. [Google Scholar] [CrossRef] [PubMed]
- Currie, A.C.; Kaur, V.; Carey, I.; Al-Rubaye, H.; Mahawar, K.; Madhok, B.; Small, P.; McGlone, E.R.; Khan, O.A. Obstructive sleep apnea remission following bariatric surgery: A national registry cohort study. Surg. Obes. Relat. Dis. 2021, 17, 1576–1582. [Google Scholar] [CrossRef]
- Abdelgawad, M.; Elgeidie, A.; Sorogy, M.E.; Elrefai, M.; Hamed, H.; El-Magd, E.-S.A. Long-Term Outcomes of Laparoscopic Gastric Plication for Treatment of Morbid Obesity: A Single-Center Experience. Obes. Surg. 2022, 1–8. [Google Scholar] [CrossRef]

| OP Method | |||||
|---|---|---|---|---|---|
| LSG (n = 231) | LGCP (n = 49) | ||||
| Median | IQR | Median | IQR | p-Value | |
| Age | 34.0 | 27.0–41.0 | 34.0 | 30.0–41.0 | 0.768 |
| Height | 167.0 | 160.0–173.0 | 163.0 | 158.0–167.0 | 0.028 |
| Weight | 111.1 | 93.3–128.4 | 87.0 | 79.9–109.7 | <0.001 |
| Ideal weight | 61.3 | 56.3–65.8 | 58.5 | 54.9–61.4 | 0.028 |
| Weight excess | 49.0 | 36.4–64.1 | 28.5 | 24.3–40.8 | <0.001 |
| BMI-baseline | 39.3 | 35.6–44.1 | 33.3 | 31.4–36.2 | <0.001 |
| BMI-end | 30.2 | 26.1–34.4 | 29.5 | 22.9–30.1 | 0.472 |
| GOT-baseline | 29.0 | 21.0–42.0 | 25.0 | 20.0–35.0 | 0.083 |
| GOT-end | 19.0 | 17.0–24.0 | 22.5 | 21.0–27.0 | 0.211 |
| GPT-baseline | 36.0 | 24.0–60.0 | 31.0 | 17.0–42.0 | 0.022 |
| GPT-end | 17.0 | 13.0–24.0 | 22.0 | 18.0–34.0 | 0.259 |
| Cholesterol- baseline | 187.0 | 163.0–220.0 | 194.0 | 168.0–219.0 | 0.751 |
| Cholesterol-end | 179.0 | 148.0–191.0 | 202.0 | 178.0–215.0 | 0.062 |
| TG-baseline | 145.0 | 95.0–180.0 | 121.0 | 82.0–175.0 | 0.103 |
| TG-end | 93.0 | 49.0–120.0 | 52.5 | 41.0–126.0 | 0.559 |
| Uric acid-baseline | 6.4 | 5.4–7.4 | 5.7 | 5.1–6.7 | 0.010 |
| Uric acid-end | 5.8 | 5.5–6.6 | 4.8 | 4.4–5.5 | 0.197 |
| Creatinine-baseline | 0.7 | 0.6–0.8 | 0.7 | 0.6–0.7 | 0.067 |
| Creatinine-end | 0.8 | 0.7–0.8 | 0.7 | 0.6–0.8 | 0.382 |
| HbA1c-baseline | 5.8 | 5.4–6.5 | 5.5 | 5.3–5.7 | 0.001 |
| HbA1c-end | 5.4 | 5.1–5.6 | 5.3 | 5.2–5.5 | 0.901 |
| Glucose AC-baseline | 96.0 | 89.0–111.0 | 91.0 | 87.0–102.5 | 0.039 |
| Glucose AC-end | 87.0 | 81.0–97.0 | 87.0 | 83.0–96.0 | 0.969 |
| Operative time(min) | 159.0 | 132.0–193.0 | 183.0 | 155.0–220.0 | <0.001 |
| Length of stay(day) | 4.0 | 4.0–5.0 | 4.0 | 4.0–5.0 | 0.017 |
| OP Method | ||||||||
|---|---|---|---|---|---|---|---|---|
| LSG (n = 231) | LGCP (n = 49) | Total (n = 280) | p-Value | |||||
| Baseline | N | % | N | % | N | % | ||
| Gender | Female | 133 | 57.6 | 36 | 73.5 | 169 | 60.4 | 0.039 |
| Male | 98 | 42.4 | 13 | 26.5 | 111 | 39.6 | ||
| Hypertension | No | 125 | 54.1 | 30 | 61.2 | 155 | 55.4 | 0.363 |
| Yes | 106 | 45.9 | 19 | 38.8 | 125 | 44.6 | ||
| Hyperglycemia | No | 167 | 72.3 | 43 | 87.8 | 210 | 75.0 | 0.023 |
| Yes | 64 | 27.7 | 6 | 12.2 | 70 | 25.0 | ||
| Hyperuricemia | No | 216 | 93.5 | 45 | 91.8 | 261 | 93.2 | 0.753 |
| Yes | 15 | 6.5 | 4 | 8.2 | 19 | 6.8 | ||
| Osteoarthritis | No | 223 | 96.5 | 44 | 89.8 | 267 | 95.4 | 0.057 |
| Yes | 8 | 3.5 | 5 | 10.2 | 13 | 4.6 | ||
| Fatty liver | No | 216 | 93.5 | 39 | 79.6 | 255 | 91.1 | 0.005 |
| Yes | 15 | 6.5 | 10 | 20.4 | 25 | 8.9 | ||
| Fatty liver severity | 1 | 0 | 0.0 | 1 | 10.0 | 1 | 4.0 | 0.155 |
| 2 | 1 | 6.7 | 3 | 30.0 | 4 | 16.0 | ||
| 3 | 1 | 6.7 | 1 | 10.0 | 2 | 8.0 | ||
| 4 | 2 | 13.3 | 2 | 20.0 | 4 | 16.0 | ||
| 5 | 6 | 40.0 | 3 | 30.0 | 9 | 36.0 | ||
| 6 | 5 | 33.3 | 0 | 0.0 | 5 | 20.0 | ||
| Re-operation | No | 227 | 98.3 | 42 | 85.7 | 269 | 96.1 | 0.001 |
| Yes | 4 | 1.7 | 7 | 14.3 | 11 | 3.9 | ||
| Complication | No | 227 | 98.3 | 49 | 100.0 | 276 | 98.6 | 1.000 |
| Yes | 4 | 1.7 | 0 | 0.0 | 4 | 1.4 | ||
| Acute respiratory failure | No | 229 | 99.1 | 49 | 100.0 | 278 | 99.3 | 1.000 |
| Yes | 2 | 0.9 | 0 | 0.0 | 2 | 0.7 | ||
| Pneumonia | No | 230 | 99.6 | 49 | 100.0 | 279 | 99.6 | 1.000 |
| Yes | 1 | 0.4 | 0 | 0.0 | 1 | 0.4 | ||
| Electrolytes imbalance | No | 230 | 99.6 | 49 | 100.0 | 279 | 99.6 | 1.000 |
| Yes | 1 | 0.4 | 0 | 0.0 | 1 | 0.4 | ||
| Pulmonary edema | No | 230 | 99.6 | 49 | 100.0 | 279 | 99.6 | 1.000 |
| Yes | 1 | 0.4 | 0 | 0.0 | 1 | 0.4 | ||
| Intra-abdominal abscess | No | 231 | 100.0 | 49 | 100.0 | 280 | 100.0 | |
| Gastric outlet obstruction | No | 230 | 99.6 | 49 | 100.0 | 279 | 99.6 | 1.000 |
| Yes | 1 | 0.4 | 0 | 0.0 | 1 | 0.4 | ||
| %EWL | %TWL | ||||||
|---|---|---|---|---|---|---|---|
| Parameter | Mean Ratio | 95% CI | p-Value | Mean Ratio | 95% CI | p-Value | |
| (Intercept) | 90.400 | 64.844–126.028 | <0.001 | 9.600 | 7.502–12.285 | <0.001 | |
| Age | 1.000 | 0.996–1.003 | 0.961 | 0.999 | 0.996–1.002 | 0.559 | |
| Gender | Male | 1.097 | 1.007–1.194 | 0.033 | 1.107 | 1.019–1.203 | 0.016 |
| Female | 1.000 | 1.000 | |||||
| BMI (at before surgery) | 0.971 | 0.964–0.978 | <0.001 | 1.006 | 1.000–1.011 | 0.042 | |
| Hyperglycemia | Yes | 0.952 | 0.882–1.029 | 0.216 | 0.970 | 0.903–1.043 | 0.415 |
| No | 1.000 | 1.000 | |||||
| Fatty liver | Yes | 1.043 | 0.907–1.199 | 0.555 | 1.043 | 0.924–1.177 | 0.499 |
| No | 1.000 | 1.000 | |||||
| OP method (at 1 month after surgery) | LGCP | 0.943 | 0.833–1.069 | 0.359 | 0.922 | 0.826–1.030 | 0.152 |
| LSG | 1.000 | 1.000 | |||||
| Time from surgery (in LSG) | 3 years | 1.922 | 1.696–2.179 | <0.001 | 1.894 | 1.661–2.158 | <0.001 |
| 2 years | 1.971 | 1.807–2.150 | <0.001 | 1.965 | 1.799–2.145 | <0.001 | |
| 1 year | 2.032 | 1.886–2.189 | <0.001 | 2.036 | 1.888–2.195 | <0.001 | |
| 6 months | 1.784 | 1.668–1.909 | <0.001 | 1.788 | 1.669–1.915 | <0.001 | |
| 3 months | 1.433 | 1.346–1.525 | <0.001 | 1.436 | 1.346–1.531 | <0.001 | |
| 1 month | 1.000 | 1.000 | |||||
| Interaction of OP method and time: | |||||||
| OP method (LGCP vs. LSG) | 3 years | 0.675 | 0.450–1.014 | 0.058 | 0.671 | 0.451–0.999 | 0.049 |
| 2 years | 0.679 | 0.502–0.918 | 0.012 | 0.679 | 0.502–0.918 | 0.012 | |
| 1 year | 0.749 | 0.630–0.890 | 0.001 | 0.749 | 0.639–0.878 | <0.001 | |
| 6 months | 0.801 | 0.701–0.914 | 0.001 | 0.804 | 0.708–0.912 | 0.001 | |
| 3 months | 0.911 | 0.827–1.003 | 0.058 | 0.913 | 0.830–1.004 | 0.061 | |
| 1 month | 1.000 | 1.000 | |||||
| OP Method | |||||||
|---|---|---|---|---|---|---|---|
| LSG | LGCP | ||||||
| Time | Mean | SE | 95% CI | Mean | SE | 95% CI | |
| %EWL | 3 years | 56.6 | 61.9 | 6.6–483.2 | 36.0 | 40.2 | 4.1–320.4 |
| 2 years | 58.0 | 63.8 | 6.7–501.2 | 37.2 | 41.1 | 4.3–324.6 | |
| 1 year | 59.8 | 65.9 | 6.9–517.8 | 42.2 | 46.9 | 4.8–373.0 | |
| 6 months | 52.5 | 57.8 | 6.1–453.9 | 39.6 | 44.4 | 4.4–356.0 | |
| 3 months | 42.2 | 46.4 | 4.9–364.0 | 36.2 | 40.6 | 4.0–325.1 | |
| 1 month | 29.4 | 32.3 | 3.4–253.7 | 27.8 | 31.1 | 3.1–249.5 | |
| %TWL | 3 years | 23.1 | 20.0 | 4.3–125.9 | 14.3 | 12.6 | 2.6–79.9 |
| 2 years | 24.0 | 20.9 | 4.3–132.5 | 15.0 | 13.0 | 2.7–82.3 | |
| 1 year | 24.9 | 21.7 | 4.5–137.8 | 17.2 | 15.1 | 3.1–96.0 | |
| 6 months | 21.8 | 19.1 | 3.9–121.0 | 16.2 | 14.4 | 2.8–92.0 | |
| 3 months | 17.5 | 15.3 | 3.2–97.3 | 14.8 | 13.1 | 2.6–83.8 | |
| 1 month | 12.2 | 10.7 | 2.2–67.9 | 11.3 | 10.0 | 2.0–64.1 | |
Publisher’s Note: MDPI stays neutral with regard to jurisdictional claims in published maps and institutional affiliations. |
© 2022 by the authors. Licensee MDPI, Basel, Switzerland. This article is an open access article distributed under the terms and conditions of the Creative Commons Attribution (CC BY) license (https://creativecommons.org/licenses/by/4.0/).
Share and Cite
Tsao, L.-C.; Lin, J.; Wang, B.-Y.; Chang, Y.-J.; Huang, C.-Y.; Yu, S.-F.; Hung, W.-Y.; Lin, C.-C.; Chan, C.-P. Long-Term Outcomes of Laparoscopic Greater Curvature Plication and Laparoscopic Sleeve Gastrectomy: Critical Appraisal of the Role of Gastric Plication in Bariatric Surgery. Medicina 2022, 58, 1299. https://doi.org/10.3390/medicina58091299
Tsao L-C, Lin J, Wang B-Y, Chang Y-J, Huang C-Y, Yu S-F, Hung W-Y, Lin C-C, Chan C-P. Long-Term Outcomes of Laparoscopic Greater Curvature Plication and Laparoscopic Sleeve Gastrectomy: Critical Appraisal of the Role of Gastric Plication in Bariatric Surgery. Medicina. 2022; 58(9):1299. https://doi.org/10.3390/medicina58091299
Chicago/Turabian StyleTsao, Lien-Cheng, Joseph Lin, Bing-Yen Wang, Yu-Jun Chang, Cheng-Yen Huang, Shu-Fen Yu, Wan-Yu Hung, Chi-Chien Lin, and Chien-Pin Chan. 2022. "Long-Term Outcomes of Laparoscopic Greater Curvature Plication and Laparoscopic Sleeve Gastrectomy: Critical Appraisal of the Role of Gastric Plication in Bariatric Surgery" Medicina 58, no. 9: 1299. https://doi.org/10.3390/medicina58091299
APA StyleTsao, L.-C., Lin, J., Wang, B.-Y., Chang, Y.-J., Huang, C.-Y., Yu, S.-F., Hung, W.-Y., Lin, C.-C., & Chan, C.-P. (2022). Long-Term Outcomes of Laparoscopic Greater Curvature Plication and Laparoscopic Sleeve Gastrectomy: Critical Appraisal of the Role of Gastric Plication in Bariatric Surgery. Medicina, 58(9), 1299. https://doi.org/10.3390/medicina58091299

