Assessing Whether Morphological Changes in Axillary Lymph Node Have Already Occurred Prior to Metastasis in Breast Cancer Patients by Ultrasound
Abstract
1. Introduction
2. Materials and Methods
2.1. Ethical Approval
2.2. Patients
2.3. Ultrasound Examination
2.4. Histological Examination
2.5. Statistical Analyses
3. Results
3.1. Clinical Characteristics
3.2. Correlational Analyses of Ultrasound Features of Axillary Lymph Node
3.3. Multiple Logistic Regression Analysis of Axillary Lymph Node in Different Status
3.4. Observer Agreement
4. Discussion
5. Conclusions
Author Contributions
Funding
Institutional Review Board Statement
Informed Consent Statement
Data Availability Statement
Conflicts of Interest
References
- Martin, F.T.; O’Fearraigh, C.; Hanley, C.; Curran, C.; Sweeney, K.J.; Kerin, M.J. The prognostic significance of nodal ratio on breast cancer recurrence and its potential for incorporation in a new prognostic index. Breast J. 2013, 19, 388–393. [Google Scholar] [CrossRef] [PubMed]
- Mayadev, J.; Elshaikh, M.A.; Christie, A.; Nagel, C.; Kennedy, V.; Khan, N.; Lea, J.; Ghanem, A.; Miller, D.; Xie, X.J.; et al. Prognostic significance of nodal location and ratio in stage iiic endometrial carcinoma among a multi-institutional academic collaboration. Am. J. Clin. Oncol. 2018, 41, 1220–1224. [Google Scholar] [CrossRef] [PubMed]
- Hennigs, A.; Riedel, F.; Feisst, M.; Kopke, M.; Rezai, M.; Nitz, U.; Moderow, M.; Golatta, M.; Sohn, C.; Heil, J. Evolution of the use of completion axillary lymph node dissection in patients with t1/2n0m0 breast cancer and tumour-involved sentinel lymph nodes undergoing mastectomy: A cohort study. Ann. Surg. Oncol. 2019, 26, 2435–2443. [Google Scholar] [CrossRef]
- Jalalian, A.; Mashohor, S.B.; Mahmud, H.R.; Saripan, M.I.; Ramli, A.R.; Karasfi, B. Computer-aided detection/diagnosis of breast cancer in mammography and ultrasound: A review. Clin. Imaging 2013, 37, 420–426. [Google Scholar] [CrossRef] [PubMed]
- Nori, J.; Vanzi, E.; Bazzocchi, M.; Bufalini, F.N.; Distante, V.; Branconi, F.; Susini, T. Role of axillary ultrasound examination in the selection of breast cancer patients for sentinel node biopsy. Am. J. Surg. 2007, 193, 16–20. [Google Scholar] [CrossRef] [PubMed]
- Almerey, T.; Villacreses, D.; Li, Z.; Patel, B.; McDonough, M.; Gibson, T.; Maimone, S.; Gray, R.; McLaughlin, S.A. Value of axillary ultrasound after negative axillary mri for evaluating nodal status in high-risk breast cancer. J. Am. Coll. Surg. 2019, 228, 792–797. [Google Scholar] [CrossRef] [PubMed]
- Wang, Y.; Dong, H.; Wu, H.; Zhang, L.; Yuan, K.; Chen, H.; Jiao, M.; Fu, R. Improved false negative rate of axillary status using sentinel lymph node biopsy and ultrasound-suspicious lymph node sampling in patients with early breast cancer. BMC Cancer 2015, 15, 382. [Google Scholar] [CrossRef]
- Wo, Y.; Li, S.; Wang, Y.; Lu, T.; Qin, Y.; Sun, X.; Jiao, W. Predictors of nodal metastasis and prognostic significance of lymph node ratio and total lymph node count in tracheobronchial adenoid cystic carcinoma. Cancer Manag. Res. 2018, 10, 5919–5925. [Google Scholar] [CrossRef]
- Schwentner, L.; Helms, G.; Nekljudova, V.; Ataseven, B.; Bauerfeind, I.; Ditsch, N.; Fehm, T.; Fleige, B.; Hauschild, M.; Heil, J.; et al. Using ultrasound and palpation for predicting axillary lymph node status following neoadjuvant chemotherapy-results from the multi-center sentina trial. Breast 2017, 31, 202–207. [Google Scholar] [CrossRef]
- Sun, Q.; Lin, X.; Zhao, Y.; Li, L.; Yan, K.; Liang, D.; Sun, D.; Li, Z.C. Deep learning vs. Radiomics for predicting axillary lymph node metastasis of breast cancer using ultrasound images: Don’t forget the peritumoral region. Front. Oncol. 2020, 10, 53. [Google Scholar] [CrossRef]
- Fanizzi, A.; Pomarico, D.; Paradiso, A.; Bove, S.; Diotaiuti, S.; Didonna, V.; Giotta, F.; La Forgia, D.; Latorre, A.; Pastena, M.I.; et al. Predicting of sentinel lymph node status in breast cancer patients with clinically negative nodes: A validation study. Cancers 2021, 13, 352. [Google Scholar] [CrossRef] [PubMed]
- Qiu, X.; Jiang, Y.; Zhao, Q.; Yan, C.; Huang, M.; Jiang, T. Could ultrasound-based radiomics noninvasively predict axillary lymph node metastasis in breast cancer? J. Ultrasound Med. Off. J. Am. Inst. Ultrasound Med. 2020, 39, 1897–1905. [Google Scholar] [CrossRef] [PubMed]
- Zhou, W.J.; Zhang, Y.D.; Kong, W.T.; Zhang, C.X.; Zhang, B. Preoperative prediction of axillary lymph node metastasis in patients with breast cancer based on radiomics of gray-scale ultrasonography. Gland Surg. 2021, 10, 1989–2001. [Google Scholar] [CrossRef] [PubMed]
- Bove, S.; Comes, M.C.; Lorusso, V.; Cristofaro, C.; Didonna, V.; Gatta, G.; Giotta, F.; La Forgia, D.; Latorre, A.; Pastena, M.I.; et al. A ultrasound-based radiomic approach to predict the nodal status in clinically negative breast cancer patients. Sci. Rep. 2022, 12, 7914. [Google Scholar] [CrossRef]
- Lin, Y.; Liu, F.; Fan, Y.; Qian, X.; Lang, R.; Gu, F.; Gu, J.; Fu, L. Both high expression of pyruvate kinase m2 and vascular endothelial growth factor-c predicts poorer prognosis in human breast cancer. Int. J. Clin. Exp. Pathol. 2015, 8, 8028–8037. [Google Scholar]
- Cools-Lartigue, J.; Meterissian, S. Accuracy of axillary ultrasound in the diagnosis of nodal metastasis in invasive breast cancer: A review. World J. Surg. 2012, 36, 46–54. [Google Scholar] [CrossRef]
- Ceugnart, L.; Taieb, S.; Vennin, P.; Giard, S.; Chauvet, M.P.; Chaveron, C.; Bachelle, F.; Faivre-Pierret, M.; Rocourt, N.; Bercez, H.; et al. Role of mri in the presurgical work-up of breast cancer: Appropriate utilization of mri as a complement to mammography and ultrasound. J. Radiol. 2008, 89, 1774–1779. [Google Scholar] [CrossRef]
- Pessoa, E.C.; Rodrigues, J.R.; Pessoa, C.P.; Vespoli, H.M.; Uemura, G. Axillary lymph node aspiration guided by ultrasound is effective as a method of predicting lymph node involvement in patients with breast cancer? Rev. Bras. Ginecol. Obstet. 2014, 36, 118–123. [Google Scholar] [CrossRef][Green Version]
- Farrell, T.P.; Adams, N.C.; Stenson, M.; Carroll, P.A.; Griffin, M.; Connolly, E.M.; O’Keeffe, S.A. The z0011 trial: Is this the end of axillary ultrasound in the pre-operative assessment of breast cancer patients? Eur. Radiol. 2015, 25, 2682–2687. [Google Scholar] [CrossRef]
- Van Berckelaer, C.; Huizing, M.; Van Goethem, M.; Vervaecke, A.; Papadimitriou, K.; Verslegers, I.; Trinh, B.X.; Van Dam, P.; Altintas, S.; Van den Wyngaert, T.; et al. Preoperative ultrasound staging of the axilla make’s peroperative examination of the sentinel node redundant in breast cancer: Saving tissue, time and money. Eur. J. Obstet. Gynecol. Reprod. Biol. 2016, 206, 164–171. [Google Scholar] [CrossRef]
- Hanko-Bauer, O.; Podoleanu, C.; Georgescu, R.; Stolnicu, S. The accuracy of the preoperative axillary ultrasound examination in predicting the status of the sentinel lymph node involvement in patients with infiltrating breast carcinoma. Chirurgia 2019, 114, 384–391. [Google Scholar] [CrossRef] [PubMed]
- Valente, S.A.; Levine, G.M.; Silverstein, M.J.; Rayhanabad, J.A.; Weng-Grumley, J.G.; Ji, L.; Holmes, D.R.; Sposto, R.; Sener, S.F. Accuracy of predicting axillary lymph node positivity by physical examination, mammography, ultrasonography, and magnetic resonance imaging. Ann. Surg. Oncol. 2012, 19, 1825–1830. [Google Scholar] [CrossRef] [PubMed]
- Adler, D.D.; Carson, P.L.; Rubin, J.M.; Quinn-Reid, D. Doppler ultrasound color flow imaging in the study of breast cancer: Preliminary findings. Ultrasound Med. Biol. 1990, 16, 553–559. [Google Scholar] [CrossRef]
- You, S.; Kang, D.K.; Jung, Y.S.; An, Y.S.; Jeon, G.S.; Kim, T.H. Evaluation of lymph node status after neoadjuvant chemotherapy in breast cancer patients: Comparison of diagnostic performance of ultrasound, mri and (1)(8)f-fdg pet/ct. Br. J. Radiol. 2015, 88, 20150143. [Google Scholar] [CrossRef]
- Peppe, A.; Wilson, R.; Pope, R.; Downey, K.; Rusby, J. The use of ultrasound in the clinical re-staging of the axilla after neoadjuvant chemotherapy (nact). Breast 2017, 35, 104–108. [Google Scholar] [CrossRef]
- Vasigh, M.; Meshkati Yazd, S.M.; Karoobi, M.; Hajebi, R.; Yazdankhah Kenari, A. Does ultrasound evaluation of the axilla increase the rate of axillary lymph node dissection in early stage clinically node negative breast cancer patients? BMC Surg. 2022, 22, 80. [Google Scholar] [CrossRef]
- Yamashita, Y.; Tsunoda, H.; Nozaki, F.; Suzuki, K.; Yamauchi, H. Evaluation of axillary lymph nodes in breast cancer patients with atopic dermatitis. Ultrasound Med. Biol. 2021, 47, 370–375. [Google Scholar] [CrossRef]
- Gerber, B.; Schneeweiss, A.; Mobus, V.; Golatta, M.; Tesch, H.; Krug, D.; Hanusch, C.; Denkert, C.; Lubbe, K.; Heil, J.; et al. Pathological response in the breast and axillary lymph nodes after neoadjuvant systemic treatment in patients with initially node-positive breast cancer correlates with disease free survival: An exploratory analysis of the geparocto trial. Cancers 2022, 14, 521. [Google Scholar] [CrossRef]
- Ruohola, J.K.; Valve, E.M.; Karkkainen, M.J.; Joukov, V.; Alitalo, K.; Harkonen, P.L. Vascular endothelial growth factors are differentially regulated by steroid hormones and antiestrogens in breast cancer cells. Mol. Cell. Endocrinol. 1999, 149, 29–40. [Google Scholar] [CrossRef]
- Cui, S.; Reichner, J.S.; Mateo, R.B.; Albina, J.E. Activated murine macrophages induce apoptosis in tumor cells through nitric oxide-dependent or -independent mechanisms. Cancer Res. 1994, 54, 2462–2467. [Google Scholar]
- Ohshima, H.; Bartsch, H. Chronic infections and inflammatory processes as cancer risk factors: Possible role of nitric oxide in carcinogenesis. Mutat. Res. 1994, 305, 253–264. [Google Scholar] [CrossRef]
- Rossi, A.; Landolfo, G.; Sassi, D.; Franchini, A.; Ottaviani, E. Immunocytochemical increased evidence of inducible nitric oxide synthase, tumor necrosis factor-alpha, and adrenocorticotropic hormone in human peritumoral lymph nodes. Appl. Immunohistochem. Mol. Morphol. AIMM 2002, 10, 52–56. [Google Scholar] [CrossRef] [PubMed]
- Ohtsuki, T.; Micallef, M.J.; Kohno, K.; Tanimoto, T.; Ikeda, M.; Kurimoto, M. Interleukin 18 enhances fas ligand expression and induces apoptosis in fas-expressing human myelomonocytic kg-1 cells. Anticancer. Res. 1997, 17, 3253–3258. [Google Scholar] [PubMed]
- Fidler, I.J. The organ microenvironment and cancer metastasis. Differ. Res. Biol. Divers. 2002, 70, 498–505. [Google Scholar] [CrossRef] [PubMed]
- Kaplan, R.N.; Riba, R.D.; Zacharoulis, S.; Bramley, A.H.; Vincent, L.; Costa, C.; MacDonald, D.D.; Jin, D.K.; Shido, K.; Kerns, S.A.; et al. Vegfr1-positive haematopoietic bone marrow progenitors initiate the pre-metastatic niche. Nature 2005, 438, 820–827. [Google Scholar] [CrossRef]
- Bellotti, R.; De Carlo, F.; Massafra, R.; de Tommaso, M.; Sciruicchio, V. Topographic classification of eeg patterns in huntington’s disease. Neurol. Clin. Neurophysiol. NCN 2004, 2004, 37. [Google Scholar]
- Comes, M.C.; Fanizzi, A.; Bove, S.; Didonna, V.; Diotaiuti, S.; La Forgia, D.; Latorre, A.; Martinelli, E.; Mencattini, A.; Nardone, A.; et al. Early prediction of neoadjuvant chemotherapy response by exploiting a transfer learning approach on breast dce-mris. Sci. Rep. 2021, 11, 14123. [Google Scholar] [CrossRef]



| Features | Breast Cancer | Benign Mass | p Value | |
|---|---|---|---|---|
| N− | N+ | |||
| No. of patients | 233 | 218 | 202 | |
| Age | 47 ± 19.7 years | 49 ± 18.3 years | 46 ± 17.8 years | 0.141 |
| Size of tumor | 21 ± 11.7 mm | 23 ± 12.5 mm | 20 ± 10.9 mm | 0.078 |
| BMI (kg/m2) | ||||
| <25 | 145 | 151 | 132 | 0.290 |
| ≥25 | 88 | 67 | 70 | |
| Comorbidities | ||||
| Hypertension | 31 | 34 | 22 | 0.567 |
| Diabetes | 26 | 17 | 19 | |
| CVD | 19 | 21 | 16 | |
| No or Others | 157 | 146 | 145 | |
| Histological type | ||||
| IDC | 126 | 114 | 0.707 | |
| Others | 107 | 104 | ||
| Histological grade | ||||
| Grade 1 | 46 | 32 | 0.112 | |
| Grade 2 | 124 | 109 | ||
| Grade 3 | 63 | 77 | ||
| ER | ||||
| Positive | 69 | 72 | 0.477 | |
| Negative | 164 | 146 | ||
| PR | ||||
| Positive | 175 | 146 | 0.062 | |
| Negative | 58 | 72 | ||
| HER-2 | ||||
| Positive | 80 | 76 | 0.921 | |
| Negative | 153 | 142 | ||
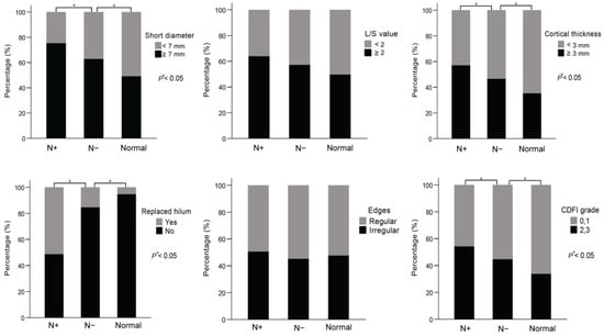
| Features | N− (n = 233) | N+ (n = 218) | Normal (n = 202) | χ2 * | p * | χ2 ** | p ** | χ2 *** | p *** |
|---|---|---|---|---|---|---|---|---|---|
| Short diameter | |||||||||
| <7 | 87 (37.3%) | 54 (24.8%) | 103 (51.0%) | 8.279 | 0.004 | 11.323 | 0.005 | 36.002 | <0.001 |
| ≥7 | 146 (63.7%) | 164 (75.2%) | 98 (49.0%) | ||||||
| L/S | |||||||||
| <2 | 100 (42.9%) | 79 (36.2%) | 102 (50.5%) | 1.868 | 0.172 | 2.656 | 0.103 | 8.69 | 0.003 |
| ≥2 | 133 (57.1%) | 139 (63.8%) | 100 (49.5%) | ||||||
| Cortical thickness | |||||||||
| <3 | 125 (53.6%) | 94 (43.1%) | 131 (64.9%) | 4.998 | 0.025 | 5.608 | 0.018 | 19.909 | <0.001 |
| ≥3 | 108 (46.4%) | 124 (56.9%) | 71 (35.1%) | ||||||
| Replaced hilum | |||||||||
| Yes | 36 (15.5%) | 112 (51.4%) | 11 (5.4%) | 1.469 | <0.001 | 10.67 | <0.001 | 19.25 | <0.001 |
| No | 197 (84.5%) | 106 (48.6%) | 191 (94.6%) | ||||||
| Edges | |||||||||
| Regular | 128 (54.9%) | 108 (49.5%) | 106 (52.5%) | 1.314 | 0.259 | 0.264 | 0.631 | 0.361 | 0.548 |
| Irregular | 105 (45.1%) | 110 (50.5%) | 96 (47.5%) | ||||||
| CDFI grade | |||||||||
| 0,1 | 129 (55.4%) | 100 (45.9%) | 134 (66.3%) | 4.061 | 0.048 | 5.448 | 0.024 | 17.797 | <0.001 |
| 2,3 | 104 (44.6%) | 118 (54.1%) | 68 (33.7%) |
| Intercept and Variable | β | Odds Ratio (95% CI) | p |
|---|---|---|---|
| N− vs. Normal | |||
| Intercept | 3.244 | 0.026 | |
| Short diameter | 0.693 | 1.965 (0.796 to 3.935) | 0.114 |
| Cortical thickness | 0.954 | 2.133 (0.893 to 3.395) | <0.001 |
| CDFI grade | 1.196 | 2.923 (1.853 to 6.773) | 0.001 |
| N− vs. N+ | |||
| Intercept | 2.748 | 0.021 | |
| Short diameter | 0.818 | 2.426 (1.006 to 3.532) | <0.001 |
| Cortical thickness | 1.012 | 2.661 (0.893 to 3.395) | 0.053 |
| Replaced hilum | −2.776 | 0.058 (0.031 to 0.205) | <0.001 |
Publisher’s Note: MDPI stays neutral with regard to jurisdictional claims in published maps and institutional affiliations. |
© 2022 by the authors. Licensee MDPI, Basel, Switzerland. This article is an open access article distributed under the terms and conditions of the Creative Commons Attribution (CC BY) license (https://creativecommons.org/licenses/by/4.0/).
Share and Cite
Guo, Q.; Dong, Z.; Jiang, L.; Zhang, L.; Li, Z.; Wang, D. Assessing Whether Morphological Changes in Axillary Lymph Node Have Already Occurred Prior to Metastasis in Breast Cancer Patients by Ultrasound. Medicina 2022, 58, 1674. https://doi.org/10.3390/medicina58111674
Guo Q, Dong Z, Jiang L, Zhang L, Li Z, Wang D. Assessing Whether Morphological Changes in Axillary Lymph Node Have Already Occurred Prior to Metastasis in Breast Cancer Patients by Ultrasound. Medicina. 2022; 58(11):1674. https://doi.org/10.3390/medicina58111674
Chicago/Turabian StyleGuo, Qiang, Zhiwu Dong, Lixin Jiang, Lei Zhang, Ziyao Li, and Dongmo Wang. 2022. "Assessing Whether Morphological Changes in Axillary Lymph Node Have Already Occurred Prior to Metastasis in Breast Cancer Patients by Ultrasound" Medicina 58, no. 11: 1674. https://doi.org/10.3390/medicina58111674
APA StyleGuo, Q., Dong, Z., Jiang, L., Zhang, L., Li, Z., & Wang, D. (2022). Assessing Whether Morphological Changes in Axillary Lymph Node Have Already Occurred Prior to Metastasis in Breast Cancer Patients by Ultrasound. Medicina, 58(11), 1674. https://doi.org/10.3390/medicina58111674
