The Relationship between Advanced Oxidation Protein Products, Vascular Calcifications and Arterial Stiffness in Predialysis Chronic Kidney Disease Patients
Abstract
1. Introduction
2. Materials and Methods
2.1. Demographic and Clinical Parameters
2.2. Laboratory Parameters
2.3. Imaging Studies
2.4. Statistical Analysis
3. Results
3.1. Patient Characteristics
3.2. Vascular and Valvular Calcifications
3.3. Pulse-Wave Analysis and Arterial Stiffness
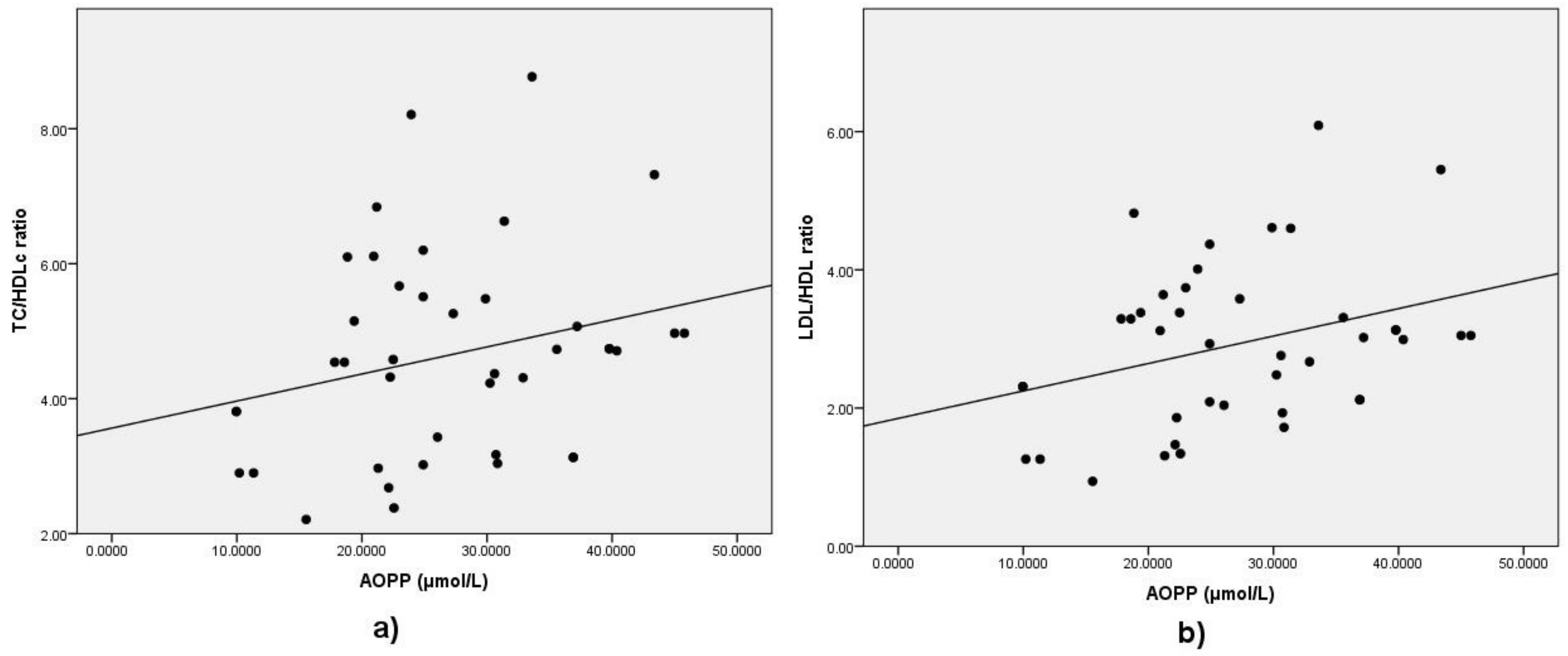
3.4. Metabolic Parameters and their Relationship with AOPP
3.5. Relationship between Serum AOPP and Inflammation Markers
4. Discussion
Limitations
5. Conclusions
Author Contributions
Funding
Institutional Review Board Statement
Informed Consent Statement
Data Availability Statement
Conflicts of Interest
References
- Locatelli, F.; Canaud, B.; Eckardt, K.U.; Stenvinkel, P.; Wanner, C.; Zoccali, C. Oxidative stress in end-stage renal disease: An emerging threat to patient outcome. Nephrol. Dial. Transplant. 2003, 18, 1272–1280. [Google Scholar] [CrossRef] [PubMed]
- Tucker, P.S.; Dalbo, V.J.; Han, T.; Kingsley, M.I. Clinical and research markers of oxidative stress in chronic kidney disease. Biomarkers 2013, 18, 103–115. [Google Scholar] [CrossRef] [PubMed]
- Kaisar, M.; Isbel, N.; Johnson, D.W. Cardiovascular disease in patients with chronic kidney disease. A clinical review. Minerva Urol. Nefrol. 2007, 59, 281–297. [Google Scholar] [PubMed]
- Cao, W.; Hou, F.F.; Nie, J. AOPPs and the progression of kidney disease. Kidney Int. Suppl. 2014, 4, 102–106. [Google Scholar] [CrossRef]
- Camilla, R.; Suzuki, H.; Daprà, V.; Loiacono, E.; Peruzzi, L.; Amore, A.; Ghiggeri, G.M.; Mazzucco, G.; Scolari, F.; Gharavi, A.G.; et al. Oxidative stress and galactose-deficient IgA1 as markers of progression in IgA nephropathy. Clin. J. Am. Soc. Nephrol. 2011, 6, 1903–1911. [Google Scholar] [CrossRef]
- Cao, W.; Xu, J.; Zhou, Z.M.; Wang, G.B.; Hou, F.F.; Nie, J. Advanced oxidation protein products activate intrarenal renin-angiotensin system via a CD36-mediated, redox-dependent pathway. Antioxid. Redox Signal. 2013, 18, 19–35. [Google Scholar] [CrossRef]
- Zhou, L.L.; Cao, W.; Xie, C.; Tian, J.; Zhou, Z.; Zhou, Q.; Zhu, P.; Li, A.; Liu, Y.; Miyata, T.; et al. The receptor of advanced glycation end products plays a central role in advanced oxidation protein products-induced podocyte apoptosis. Kidney Int. 2012, 82, 759–770. [Google Scholar] [CrossRef]
- Descamps-Latscha, B.; Witko-Sarsat, V.; Nguyen-Khoa, T.; Nguyen, A.T.; Gausson, V.; Mothu, N.; London, G.M.; Jungers, P. Advanced oxidation protein products as risk factors for atherosclerotic cardiovascular events in nondiabetic predialysis patients. Am. J. Kidney Dis. 2005, 45, 39–47. [Google Scholar] [CrossRef]
- Liang, M.; Wang, J.; Xie, C.; Yang, Y.; Tian, J.W.; Xue, Y.M.; Hou, F.F. Increased plasma advanced oxidation protein products is an early marker of endothelial dysfunction in type 2 diabetes patients without albuminuria 2. J. Diabetes 2014, 6, 417–426. [Google Scholar] [CrossRef]
- Hammes, M. Hemodynamic and biologic determinates of arteriovenous fistula outcomes in renal failure patients. Biomed. Res. Int. 2015, 2015, 171674. [Google Scholar] [CrossRef]
- Wu, M.; Rementer, C.; Giachelli, C.M. Vascular calcification: An update on mechanisms and challenges in treatment. Calcif. Tissue Int. 2013, 93, 365–373. [Google Scholar] [CrossRef]
- Nakahara, T.; Dweck, M.R.; Narula, N.; Pisapia, D.; Narula, J.; Strauss, H.W. Coronary artery calcification: From mechanism to molecular imaging. JACC Cardiovasc. Imaging 2017, 10, 582–593. [Google Scholar] [CrossRef]
- Reiss, A.B.; Miyawaki, N.; Moon, J.; Kasselman, L.J.; Voloshyna, I.; D’Avino, R., Jr.; De Leon, J. CKD, arterial calcification, atherosclerosis and bone health: Inter-relationships and controversies. Atherosclerosis 2018, 278, 49–59. [Google Scholar] [CrossRef]
- Drueke, T.B.; Massy, Z.A. Atherosclerosis in CKD: Differences from the general population. Nat. Rev. Nephrol. 2010, 6, 723–735. [Google Scholar] [CrossRef]
- Lanzer, P.; Boehm, M.; Sorribas, V.; Thiriet, M.; Janzen, J.; Zeller, T.; St Hilaire, C.; Shanahan, C. Medial vascular calcification revisited: Review and perspectives. Eur. Heart J. 2014, 35, 1515–1525. [Google Scholar] [CrossRef]
- Ibels, L.S.; Alfrey, A.C.; Huffer, W.E.; Craswell, P.W.; Anderson, J.T.; Weil, R., III. Arterial calcification and pathology in uremic patients undergoing dialysis. Am. J. Med. 1979, 66, 790–796. [Google Scholar] [CrossRef]
- Kirsch, A.H.; Kirsch, A.; Artinger, K.; Schabhüttl, C.; Goessler, W.; Klymiuk, I.; Gülly, C.; Fritz, G.A.; Frank, S.; Wimmer, R.; et al. Heterogeneous susceptibility for uraemic media calcification and concomitant inflammation within the arterial tree. Nephrol. Dial. Transplant. 2015, 30, 1995–2005. [Google Scholar] [CrossRef]
- Benz, K.; Varga, I.; Neureiter, D.; Campean, V.; Daniel, C.; Heim, C.; Reimann, A.; Weyand, M.; Hilgers, K.F.; Amann, K. Vascular inflammation and media calcification are already present in early stages of chronic kidney disease. Cardiovasc. Pathol. 2017, 27, 57–67. [Google Scholar] [CrossRef]
- London, G.M.; Guérin, A.P.; Marchais, S.J.; Métivier, F.; Pannier, B.; Adda, H. Arterial media calcification in end-stage renal disease: Impact on all-cause and cardiovascular mortality. Nephrol. Dial. Transplant. 2003, 18, 1731–1740. [Google Scholar] [CrossRef]
- You, H.; Yang, H.; Zhu, Q.; Li, M.; Xue, J.; Gu, Y.; Lin, S.; Ding, F. Advanced oxidation protein products induce vascular calcification by promoting osteoblastic trans-differentiation of smooth muscle cells via oxidative stress and ERK pathway. Ren. Fail. 2009, 31, 313–319. [Google Scholar] [CrossRef]
- Feng, W.; Zhang, K.; Liu, Y.; Chen, J.; Cai, Q.; He, W.; Zhang, Y.; Wang, M.H.; Wang, J.; Huang, H. Advanced oxidation protein products aggravate cardiac remodeling via cardiomyocyte apoptosis in chronic kidney disease. Am. J. Physiol. Heart Circ. Physiol. 2018, 314, H475–H483. [Google Scholar] [CrossRef] [PubMed]
- Lin, L.; Zhao, G.J.; Qin, L.L. Association between advanced oxidation protein products (AOPP) and vascular calcification in uremic patients. Eur. Rev. Med. Pharm. Sci. 2017, 21, 4147–4152. [Google Scholar]
- Kidney Disease: Improving Global Outcomes (KDIGO) CKD Work Group. KDIGO 2012 Clinical Practice Guideline for the Evaluation and Management of Chronic Kidney Disease. Kidney Int. 2013, 3, 1–150. [Google Scholar]
- Adragao, T.; Pires, A.; Lucas, C.; Birne, R.; Magalhaes, L.; Gonçalves, M.; Negrao, A.P. A simple vascular calcification score predicts cardiovascular risk in haemodialysis patients. Nephrol. Dial. Transplant. 2004, 19, 1480–1488. [Google Scholar] [CrossRef] [PubMed]
- Byon, C.H.; Javed, A.; Dai, Q.; Kappes, J.C.; Clemens, T.L.; Darley-Usmar, V.M.; McDonald, J.M.; Chen, Y. Oxidative stress induces vascular calcification through modulation of the osteogenic transcription factor Runx2 by AKT signaling. J. Biol. Chem. 2008, 283, 15319–15327. [Google Scholar] [CrossRef] [PubMed]
- Kurabayashi, M. Molecular mechanism of vascular calcification. Clin. Calcium 2019, 29, 157–163. [Google Scholar] [PubMed]
- Sutra, T.; Morena, M.; Bargnoux, A.S.; Caporiccio, B.; Canaud, B.; Cristol, J.P. Superoxide production: A procalcifying cell signalling event in osteoblastic differentiation of vascular smooth muscle cells exposed to calcification media. Free Radic. Res. 2008, 42, 789–797. [Google Scholar] [CrossRef] [PubMed]
- Gryszczyńska, B.; Formanowicz, D.; Budzyń, M.; Wanic-Kossowska, M.; Pawliczak, E.; Formanowicz, P.; Majewski, W.; Strzyżewski, K.W.; Kasprzak, M.P.; Iskra, M. Advanced Oxidation Protein Products and Carbonylated Proteins as Biomarkers of Oxidative Stress in Selected Atherosclerosis-Mediated Diseases. Biomed. Res. Int. 2017, 2017, 4975264. [Google Scholar] [CrossRef]
- Gaibazzi, N.; Baldari, C.; Faggiano, P.; Albertini, L.; Faden, G.; Pigazzani, F.; Rossi, C.; Reverberi, C. Cardiac calcium score on 2D echo: Correlations with cardiac and coronary calcium at multi-detector computed tomography. Cardiovasc. Ultrasound 2014, 12, 43. [Google Scholar] [CrossRef]
- Schlieper, G.; Schurgers, L.; Brandenburg, V.; Reutelingsperger, C.; Floege, J. Vascular calcification in chronic kidney disease: An update. Nephrol. Dial. Transplant. 2016, 31, 31–39. [Google Scholar] [CrossRef]
- Townsend, R.R. Arterial Stiffness in CKD: A Review. Am. J. Kidney Dis. 2019, 73, 240–247. [Google Scholar] [CrossRef]
- Townsend, R.R.; Anderson, A.H.; Chirinos, J.A.; Feldman, H.I.; Grunwald, J.E.; Nessel, L.; Roy, J.; Weir, M.R.; Wright, J.T., Jr.; Bansal, N.; et al. Association of Pulse Wave Velocity with Chronic Kidney Disease Progression and Mortality: Findings from the CRIC Study (Chronic Renal Insufficiency Cohort). Hypertension 2018, 71, 1101–1107. [Google Scholar] [CrossRef]
- Voelkl, J.; Lang, F.; Eckardt, K.U.; Amann, K.; Kuro-O, M.; Pasch, A.; Pieske, B.; Alesutan, I. Signaling pathways involved in vascular smooth muscle cell calcification during hyperphosphatemia. Cell Mol. Life Sci. 2019, 76, 2077–2091. [Google Scholar] [CrossRef]
- De Leeuw, P.W.; Thijs, L.; Birkenhäger, W.H.; Voyaki, S.M.; Efstratopoulos, A.D.; Fagard, R.H.; Leonetti, G.; Nachev, C.; Petrie, J.C.; Rodicio, J.L.; et al. Prognostic significance of renal function in elderly patients with isolated systolic hypertension: Results from the Syst-Eur trial. J. Am. Soc. Nephrol. 2002, 13, 2213–2222. [Google Scholar] [CrossRef]
- Gao, H.; Liu, S. Role of uremic toxin indoxyl sulfate in the progression of cardiovascular disease. Life Sci. 2017, 185, 23–29. [Google Scholar] [CrossRef]
- Lekawanvijit, S.; Kompa, A.R.; Wang, B.H.; Kelly, D.J.; Krum, H. Cardiorenal syndrome: The emerging role of protein-bound uremic toxins. Circ. Res. 2012, 111, 1470–1483. [Google Scholar] [CrossRef]
- Ito, S.; Yoshida, M. Protein-bound uremic toxins: New culprits of cardiovascular events in chronic kidney disease patients. Toxins 2014, 6, 665–678. [Google Scholar] [CrossRef]
- Furuya, R.; Kumagai, H.; Odamaki, M.; Takahashi, M.; Miyaki, A.; Hishida, A. Impact of residual renal function on plasma levels of advanced oxidation protein products and pentosidine in peritoneal dialysis patients. Nephron Clin. Pract. 2009, 112, c255–c261. [Google Scholar] [CrossRef]
- Liang, X.; Chen, Y.; Zhuang, J.; Zhang, M.; Xiong, W.; Guo, H.; Jiang, F.; Hu, P.; Guo, D.; Shi, W. Advanced oxidation protein products as prognostic biomarkers for recovery from acute kidney injury after coronary artery bypass grafting. Biomarkers 2012, 17, 507–512. [Google Scholar] [CrossRef]
- Huang, Q.T.; Zhong, M.; Tian, J.W.; Hou, F.F. Higher plasma AOPP is associated with increased proteinuria excretion and decreased glomerular filtration rate in pre-eclamptic women. Pregnancy Hypertens. 2013, 3, 16–20. [Google Scholar] [CrossRef]
- Colombo, G.; Reggiani, F.; Astori, E.; Altomare, A.; Finazzi, S.; Garavaglia, M.L.; Angelini, C.; Milzani, A.; Badalamenti, S.; Dalle-Donne, I. Advanced oxidation protein products in nondiabetic end stage renal disease patients on maintenance haemodialysis. Free Radic. Res. 2019, 53, 1114–1124. [Google Scholar] [CrossRef] [PubMed]
- Rysavá, R.; Kalousová, M.; Zima, T.; Dostál, C.; Merta, M.; Tesar, V. Does renal function influence plasma levels of advanced glycation and oxidation protein products in patients with chronic rheumatic diseases complicated by secondary amyloidosis? Kidney Blood Press. Res. 2007, 30, 1–7. [Google Scholar] [CrossRef] [PubMed]
- Sebeková, K.; Klenovicsová, K.; Ferenczová, J.; Hedvig, J.; Podracká, L.; Heidland, A. Advanced oxidation protein products and advanced glycation end products in children and adolescents with chronic renal insufficiency. J. Ren. Nutr. 2012, 22, 143–148. [Google Scholar] [CrossRef] [PubMed]
- Bhat, T.; Teli, S.; Rijal, J.; Bhat, H.; Raza, M.; Khoueiry, G.; Meghani, M.; Akhtar, M.; Costantino, T. Neutrophil to lymphocyte ratio and cardiovascular diseases: A review. Expert Rev. Cardiovasc. 2013, 11, 55–59. [Google Scholar] [CrossRef] [PubMed]







| Patients’ Characteristics | Value | |
|---|---|---|
| Gender (%) | Male | 52.2 |
| Female | 47.8 | |
| Mean age (y) | 65.07 (SD = 13.89) | |
| Smoking status (%) | Current smoker | 23.9 |
| Nonsmoker | 76.0 | |
| Arterial hypertension (%) | Hypertensive | 78.3 |
| Non-hypertensive | 21.7 | |
| Type 2 diabetes mellitus (%) | Diabetic | 43.5 |
| Nondiabetic | 56.5 | |
| Vascular calcifications (%) | With calcification | 74.3 |
| Without calcification | 25.6 | |
| Valvular calcifications (%) | With calcification | 57.1 |
| Without calcification | 42.8 | |
| Pulse-Wave Analysis | ||
| PWV (m/s, M ± SD) | 9.52 ± 1.83 | |
| Median augmentation pressure (mmHg) | 9.5 | |
| IQR (mmHg) | 16.25 | |
| Mean augmentation index (%, M ± SD) | 25.3 ± 14.6 | |
| Mean pulse pressure (mmHg, M ± SD) | 56.6 ± 18.6 | |
| Advanced Oxidation Protein Products (µmol/L) | ||
| Male (M ± SD) | 26.4 ± 8.4 | |
| Female (M ± SD) | 27.6 ± 11.09 | |
| Total (M ± SD) | 26.9 ± 9.7 | |
| Renal Function Tests | ||
| Median serum creatinine (mg/dL) | 5.0 | |
| IQR (mg/dL) | 2.65 | |
| Serum urea (mg/dL, M ± SD) | 142.0 ± 52.52 | |
| Median serum uric acid (mg/dL) | 7.22 | |
| IQR (mg/dL) | 3.40 | |
| Median eGFR (mL/min/1.73 m2) | 10.0 | |
| IQR (mL/min/1.73 m2) | 9.86 | |
| Calcium Phosphate Metabolism | ||
| Serum calcium (mg/dL, M ± SD) | 9.28 ± 0.77 | |
| Serum phosphate (mg/dL, M ± SD) | 4.68 ± 1.07 | |
| iPTH (pg/mL, Median) | 184.0 | |
| IQR (pg/mL) | 230.2 | |
| Ca × PO4− (mg2/dL2, M ± SD) | 42.9 ± 9.8 | |
| Lipid Profile | ||
| Cholesterol (mg/dL, M ± SD) | 186.0 ± 53.1 | |
| LDL-cholesterol (mg/dL, M ± SD) | 122.7 ± 42.85 | |
| HDL-cholesterol (mg/dL, M ± SD) | 44.7 ± 13.2 | |
| Total cholesterol/HDLc ratio (M ± SD) | 4.65 ± 1.5 | |
| LDLc/HDLc ratio (M ± SD) | 2.92 ± 1.17 | |
| Markers of Inflammation | ||
| Erythrocyte sedimentation rate (mm/h, M ± SD) | 59.13 ± 37.2 | |
| Fibrinogen (mg/dL, M ± SD) | 503.8 ± 152.6 | |
| Mean C-reactive protein (mg/L, M ± SD) | 5.05 ± 12.22 | |
| Other Tests | ||
| Serum albumin (mg/dL, M ± SD) | 3.83 ± 0.78 | |
| Serum total proteins (mg/dL, Median) | 7.11 | |
| IQR (mg/dL) | 1.35 | |
| Albuminuria (mg/24 h, Median) | 819.6 | |
| IQR (mg/24 h) | 1881.94 | |
| Proteinuria (mg/24 h, Median) | 776.0 | |
| IQR (mg/24 h) | 1153.4 | |
| Vascular Calcifications | Valvular Calcifications | |||||
|---|---|---|---|---|---|---|
| Present | Absent | p-Value | Present | Absent | p-Value | |
| Gender (Male/Female) | 13/6 | 6/4 | 0.79 | 13/11 | 10/8 | 0.92 |
| Age (M ± SD, y) | 67.7 ± 13.9 | 62.2 ± 16.15 | 0.6 | 69.3 ± 14.3 | 61.4 ± 12.6 | 0.07 |
| Diabetes mellitus (%) | 14 (70%) | 4 (25%) | 0.65 | 10 (50%) | 9 (45%) | 0.59 |
| Hypertension (%) | 22 (61%) | 8 (22%) | 0.78 | 19 (52%) | 14 (38%) | 0.91 |
| AOPP (M ± SD) | 25.9 ± 10.9 | 29.8 ± 8.5 | 0.31 | 27.3 ± 10.3 | 26.9 ± 10.07 | 0.89 |
| PWV (M ± SD) | 9.8 ± 1.8 | 9.04 ± 1.9 | 0.24 | 10.04 ± 1.83 | 9.06 ± 1.7 | 0.08 |
| Model Correlation Statistics | |||||||
|---|---|---|---|---|---|---|---|
| Standardized β | T-Value | p-Value | r-Value | F-Value | p-Value | ||
| MODEL 1 | AOPP | 0.316 | 2.306 | 0.02 | 0.446 | 4.858 | 0.03 |
| eGFR | 0.336 | 2.457 | 0.018 | ||||
| MODEL 2 | AOPP | 0.245 | 2.003 | 0.05 | 0.62 | 8.87 | <0.01 |
| eGFR | 0.20 | 1.579 | NS | ||||
| PP | 0.466 | 3.605 | 0.01 | ||||
| MODEL 3 | AOPP | 0.318 | 2.4 | 0.01 | 0.537 | 5.671 | 0.002 |
| eGFR | 0.283 | 2.1 | 0.03 | ||||
| SysBP | 0.304 | 2.3 | 0.02 | ||||
| MODEL 4 | AOPP | 0.27 | 2.05 | 0.04 | 0.539 | 5.720 | 0.02 |
| eGFR | 0.35 | 2.684 | 0.06 | ||||
| AugP | 0.306 | 2.327 | 0.02 | ||||
| Pearson’s R/Spearman’s Rho * | p-Value | |
|---|---|---|
| Renal parameters (N = 46) | ||
| Creatinine | 0.05 * | 0.368 |
| eGFR | −0.66 * | 0.33 |
| Urea | 0.19 | 0.10 |
| Uric acid | 0.15 * | 0.15 |
| Glycemic profile (N = 22) | ||
| Glycemia | −0.09 | 0.25 |
| HbA1c | 0.35 | 0.05 |
| Lipid profile (N = 41) | ||
| Total cholesterol | 0.03 | 0.40 |
| HDL-cholesterol | −0.27 | 0.04 |
| LDL-cholesterol | 0.18 | 0.12 |
| Total cholesterol/HDLc ratio | 0.28 | 0.03 |
| LDLc/HDLc ratio | 0.35 | 0.01 |
| Calcium and phosphate metabolism (N = 46) | ||
| Calcium | −0.15 | 0.15 |
| Phosphate | 0.05 | 0.36 |
| Ca × Phosphate product | −0.12 | 0.22 |
| Markers of acute inflammation (N = 46) | ||
| Erythrocyte sedimentation rate | −0.03 | 0.39 |
| Fibrinogen | −0.37 | 0.40 |
| C-reactive protein | 0.30 | 0.025 |
| NLR | 0.17 | 0.14 |
| PLR | −0.14 | 0.19 |
Publisher’s Note: MDPI stays neutral with regard to jurisdictional claims in published maps and institutional affiliations. |
© 2021 by the authors. Licensee MDPI, Basel, Switzerland. This article is an open access article distributed under the terms and conditions of the Creative Commons Attribution (CC BY) license (https://creativecommons.org/licenses/by/4.0/).
Share and Cite
Vinereanu, I.-V.; Peride, I.; Niculae, A.; Tiron, A.T.; Caragheorgheopol, A.; Manda, D.; Checherita, I.A. The Relationship between Advanced Oxidation Protein Products, Vascular Calcifications and Arterial Stiffness in Predialysis Chronic Kidney Disease Patients. Medicina 2021, 57, 452. https://doi.org/10.3390/medicina57050452
Vinereanu I-V, Peride I, Niculae A, Tiron AT, Caragheorgheopol A, Manda D, Checherita IA. The Relationship between Advanced Oxidation Protein Products, Vascular Calcifications and Arterial Stiffness in Predialysis Chronic Kidney Disease Patients. Medicina. 2021; 57(5):452. https://doi.org/10.3390/medicina57050452
Chicago/Turabian StyleVinereanu, Ion-Vlad, Ileana Peride, Andrei Niculae, Andreea Taisia Tiron, Andra Caragheorgheopol, Dana Manda, and Ionel Alexandru Checherita. 2021. "The Relationship between Advanced Oxidation Protein Products, Vascular Calcifications and Arterial Stiffness in Predialysis Chronic Kidney Disease Patients" Medicina 57, no. 5: 452. https://doi.org/10.3390/medicina57050452
APA StyleVinereanu, I.-V., Peride, I., Niculae, A., Tiron, A. T., Caragheorgheopol, A., Manda, D., & Checherita, I. A. (2021). The Relationship between Advanced Oxidation Protein Products, Vascular Calcifications and Arterial Stiffness in Predialysis Chronic Kidney Disease Patients. Medicina, 57(5), 452. https://doi.org/10.3390/medicina57050452

