High Levels of Physical Activity May Promote a Reduction in Bone Mineral Density in Peritoneal Dialysis
Abstract
1. Introduction
2. Materials and Methods
2.1. Patients
2.2. Data Collection
2.3. Anthropometric Measurements
2.4. Bioimpedance Measurements
2.5. Body Composition
2.6. Muscle Strength
2.7. Physical Activity
2.8. Analytical Chemistry
2.9. Statistical Analysis
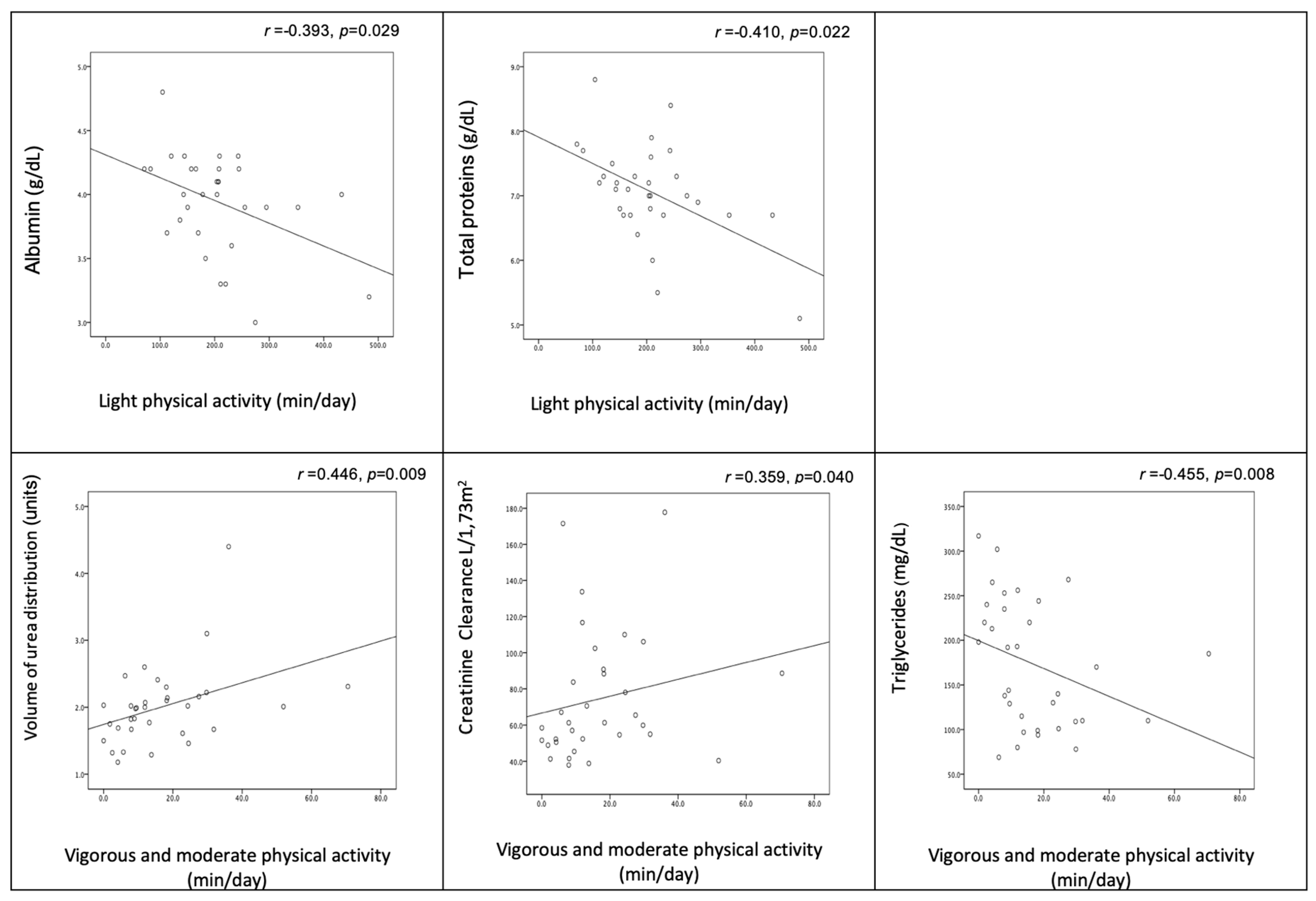
3. Results
4. Discussion
5. Conclusions
Author Contributions
Funding
Acknowledgments
Conflicts of Interest
References
- Johansen, K.L. Exercise and chronic kidney disease: Current recommendations. Sports Med. 2005, 35, 485–499. [Google Scholar] [CrossRef] [PubMed]
- Johansen, K.L.; Shubert, T.; Doyle, J.; Soher, B.; Sakkas, G.K.; Kent-Braun, J.A. Muscle atrophy in patients receiving hemodialysis: Effects on muscle strength, muscle quality, and physical function. Kidney Int. 2003, 63, 291–297. [Google Scholar] [CrossRef] [PubMed]
- Kohl, H.W., 3rd; Craig, C.L.; Lambert, E.V.; Inoue, S.; Alkandari, J.R.; Leetongin, G.; Kahlmeier, S.; Lancet Physical Activity Series Working Group. The pandemic of physical inactivity: Global action for public health. Lancet 2012, 380, 294–305. [Google Scholar] [CrossRef]
- Van Den Ham, E.C.; Kooman, J.P.; Schols, A.M.; Nieman, F.H.; Does, J.D.; Franssen, F.M.; Akkermans, M.A.; Janssen, P.P.; Van Hooff, J.P. Similarities in skeletal muscle strength and exercise capacity between renal transplant and hemodialysis patients. Am. J. Transplant. 2005, 5, 1957–1965. [Google Scholar] [CrossRef] [PubMed]
- Chih-Hsien, W.; Chiu-Huang, K.; Hou, J.-S.; Lai, Y.-H.; Hsu, B.-G. SP526 high serum leptin level is positively associated with peripheral artery disease in adult peritoneal dialysis patients. Nephrol. Dial. Transplant. 2017, 32, iii305–iii306. [Google Scholar] [CrossRef]
- Vogt, B.P.; Borges, M.C.C.; de Goes, C.R.; Caramori, J.C.T. Handgrip strength is an independent predictor of all-cause mortality in maintenance dialysis patients. Clin. Nutr. 2016, 35, 1429–1433. [Google Scholar] [CrossRef]
- Locatelli, F.; Fouque, D.; Heimburger, O.; Drueke, T.B.; Cannata-Andia, J.B.; Horl, W.H.; Ritz, E. Nutritional status in dialysis patients: A European consensus. Nephrol. Dial. Transplant. 2002, 17, 563–572. [Google Scholar] [CrossRef]
- Mottet, J.J.; Horber, F.F.; Casez, J.P.; Descoeudres, C.; Jaeger, P. Evidence for preservation of cortical bone mineral density in patients on continuous ambulatory peritoneal dialysis. J. Bone Miner. Res. 1996, 11, 96–104. [Google Scholar] [CrossRef]
- Thangarasa, T.; Imtiaz, R.; Hiremath, S.; Zimmerman, D. Physical activity in patients treated with peritoneal dialysis: A systematic review and meta-analysis. Can. J. Kidney Health Dis. 2018, 5. [Google Scholar] [CrossRef]
- Isnard-Rouchon, M.; West, M.; Bennett, P.N. Exercise and physical activity for people receiving peritoneal dialysis: Why not? Seminars Dialysis 2019, 32, 303–307. [Google Scholar] [CrossRef]
- Association, W.M. World Medical Association Declaration of Helsinki: Ethical principles for medical research involving human subjects. JAMA 2013, 310, 2191. [Google Scholar]
- Essig, M.; Vrtovsnik, F. Quelles méthodes d’évaluation de la composition corporelle doivent être utilisées en néphrologie? Néphrologie Thérapeutique 2008, 4, 92–98. [Google Scholar] [CrossRef]
- Perrin, D.H. Isokinetic Exercise and Assessment; Human Kinetics: Charlottesville, VA, USA, 1993. [Google Scholar]
- Ward, D.S.; Evenson, K.R.; Vaughn, A.; Rodgers, A.B.; Troiano, R.P. Accelerometer use in physical activity: Best practices and research recommendations. Med. Sci. Sport Exerc. 2005, 37, S582–S588. [Google Scholar] [CrossRef] [PubMed]
- Trost, S.G.; McIver, K.L.; Pate, R.R. Conducting accelerometer-based activity assessments in field-based research. Med. Sci. Sports Exerc. 2005, 37, S531–S543. [Google Scholar] [CrossRef] [PubMed]
- Troiano, R.P.; Berrigan, D.; Dodd, K.W.; Masse, L.C.; Tilert, T.; McDowell, M. Physical activity in the United States measured by accelerometer. Med. Sci. Sports Exerc. 2008, 40, 181–188. [Google Scholar] [CrossRef] [PubMed]
- Tzamaloukas, A.H.; Murata, G.H.; Malhotra, D.; Fox, L.; Goldman, R.S.; Avasthi, P.S. Creatinine clearance in continuous peritoneal dialysis: Dialysis dose required for a minimal acceptable level. Perit. Dial. Int. 1996, 16, 41–47. [Google Scholar] [CrossRef]
- Dean, A.; Sullivan, K.; Soe, M. OpenEpi: Open Source Epidemiologic Statistics for Public Health, Version 3.01. Available online: http://www.OpenEpi.com (accessed on 15 November 2018).
- Peters, S.A.E.; Huxley, R.R.; Woodward, M. Sex differences in body anthropometry and composition in individuals with and without diabetes in the UK Biobank. BMJ Open 2016, 6, e010007. [Google Scholar] [CrossRef]
- Liu, X.H.; Zheng, X.H.; Yi, C.Y.; Wu, J.; Ye, H.J.; Guo, Q.Y.; Yu, X.Q.; Yang, X. Gender-specific associations of skeletal muscle mass and arterial stiffness among peritoneal dialysis patients. Sci. Rep. 2018, 8, 1351. [Google Scholar] [CrossRef] [PubMed]
- Fernstrom, A.; Hylander, B.; Moritz, A.; Jacobsson, H.; Rossner, S. Increase of intra-abdominal fat in patients treated with continuous ambulatory peritoneal dialysis. Perit. Dial. Int. 1998, 18, 166–171. [Google Scholar] [CrossRef]
- Medici, G.; Mussi, C.; Fantuzzi, A.L.; Malavolti, M.; Albertazzi, A.; Bedogni, G. Accuracy of eight-polar bioelectrical impedance analysis for the assessment of total and appendicular body composition in peritoneal dialysis patients. Eur. J. Clin. Nutr. 2005, 59, 932–937. [Google Scholar] [CrossRef]
- Baxmann, A.C.; Ahmed, M.S.; Marques, N.C.; Menon, V.B.; Pereira, A.B.; Kirsztajn, G.M.; Heilberg, I.P. Influence of muscle mass and physical activity on serum and urinary creatinine and serum cystatin C. Clin. J. Am. Soc. Nephrol. 2008, 3, 348–354. [Google Scholar] [CrossRef] [PubMed]
- Majchrzak, K.M.; Pupim, L.B.; Sundell, M.; Ikizler, T.A. Body composition and physical activity in end-stage renal disease. J. Ren. Nutr. 2007, 17, 196–204. [Google Scholar] [CrossRef] [PubMed][Green Version]
- Oliveira, E.A.; Cheung, W.W.; Toma, K.G.; Mak, R.H. Muscle wasting in chronic kidney disease. Pediatr. Nephrol. 2018, 33, 789–798. [Google Scholar] [CrossRef]
- Wang, X.H.; Mitch, W.E. Muscle wasting from kidney failure-a model for catabolic conditions. Int. J. Biochem. Cell Biol. 2013, 45, 2230–2238. [Google Scholar] [CrossRef] [PubMed]
- Cupisti, A.; D’Alessandro, C.; Finato, V.; Del Corso, C.; Catania, B.; Caselli, G.M.; Egidi, M.F. Assessment of physical activity, capacity and nutritional status in elderly peritoneal dialysis patients. BMC Nephrol. 2017, 18, 180. [Google Scholar] [CrossRef] [PubMed]
- Broers, N.J.H.; Martens, R.J.H.; Cornelis, T.; van der Sande, F.M.; Diederen, N.M.P.; Hermans, M.M.H.; Wirtz, J.; Stifft, F.; Konings, C.; Dejagere, T.; et al. Physical Activity in End-Stage Renal Disease Patients: The Effects of Starting Dialysis in the First 6 Months after the Transition Period. Nephron 2017, 137, 47–56. [Google Scholar] [CrossRef]
- Blake, C.; O’Meara, Y.M. Subjective and objective physical limitations in high-functioning renal dialysis patients. Nephrol. Dial. Transplant. 2004, 19, 3124–3129. [Google Scholar] [CrossRef]
- Rhee, C.M.; Kalantar-Zadeh, K. Resistance exercise: An effective strategy to reverse muscle wasting in hemodialysis patients? J. Cachexia Sarcopenia Muscle 2014, 5, 177–180. [Google Scholar] [CrossRef]
- Sánchez, S.H.; Carrero, J.J.; López, D.G.; Alonso, J.A.H.; Alegre, H.M.; Ruiz, J.R. Fitness and quality of life in kidney transplant recipients: Case-control study. Med. Clin. 2016, 146, 335–338. [Google Scholar]
- Dziubek, W.; Bulinska, K.; Rogowski, L.; Golebiowski, T.; Kusztal, M.; Grochola, M.; Markowska, D.; Zembron-Lacny, A.; Weyde, W.; Klinger, M.; et al. The Effects of Aquatic Exercises on Physical Fitness and Muscle Function in Dialysis Patients. Biomed. Res. Int. 2015, 2015, 912980. [Google Scholar] [CrossRef]
- Rosa, C.; Nishimoto, D.Y.; Souza, G.D.E.; Ramirez, A.P.; Carletti, C.O.; Daibem, C.G.L.; Sakkas, G.K.; Monteiro, H.L. Effect of continuous progressive resistance training during hemodialysis on body composition, physical function and quality of life in end-stage renal disease patients: A randomized controlled trial. Clin. Rehabil. 2018, 32, 899–908. [Google Scholar] [CrossRef] [PubMed]
- American College of Sports Medicine. ACSM’s Guidelines for Exercise Testing and Prescription; Lippincott Williams & Wilkins: Baltimore, MD, USA, 2013. [Google Scholar]
- Tudor-Locke, C.; Bassett, D.R. How many steps/day are enough? Sports Med. 2004, 34, 1–8. [Google Scholar] [CrossRef] [PubMed]
- Inker, L.A.; Astor, B.C.; Fox, C.H.; Isakova, T.; Lash, J.P.; Peralta, C.A.; Kurella Tamura, M.; Feldman, H.I. KDOQI US commentary on the 2012 KDIGO clinical practice guideline for the evaluation and management of CKD. Am. J. Kidney Dis. 2014, 63, 713–735. [Google Scholar] [CrossRef] [PubMed]
- Frost, H.M. The mechanostat: A proposed pathogenic mechanism of osteoporoses and the bone mass effects of mechanical and nonmechanical agents. Bone Miner. 1987, 2, 73–85. [Google Scholar] [PubMed]
- Rajapakse, C.S.; Leonard, M.B.; Kobe, E.A.; Slinger, M.A.; Borges, K.A.; Billig, E.; Rubin, C.T.; Wehrli, F.W. The Efficacy of Low-intensity Vibration to Improve Bone Health in Patients with End-stage Renal Disease Is Highly Dependent on Compliance and Muscle Response. Acad. Radiol. 2017, 24, 1332–1342. [Google Scholar] [CrossRef] [PubMed]
- Kazama, J.J.; Matsuo, K.; Iwasaki, Y.; Fukagawa, M. Chronic kidney disease and bone metabolism. J. Bone Miner. Metab. 2015, 33, 245–252. [Google Scholar] [CrossRef]
- Wang, A.Y.M.; Sea, M.M.M.; Ho, Z.S.Y.; Lui, S.F.; Li, P.K.T.; Woo, J. Evaluation of handgrip strength as a nutritional marker and prognostic indicator in peritoneal dialysis patients. Am. J. Clin. Nutr. 2005, 81, 79–86. [Google Scholar] [CrossRef]
- Arora, B.S.; Biswal, I.; Sen, P.; Rajan, S.; Ali, A.; Rajwanshi, P. C-reactive protein predictive marker value and its significance in management of pre dialysis chronic kidney disease patients when correlated with total serum proteins and serum albumin levels: Experience in a teaching institution. Int. J. Adv. Med. 2017, 4, 162–165. [Google Scholar] [CrossRef]
- Lo, W.K.; Bargman, J.M.; Burkart, J.; Krediet, R.T.; Pollock, C.; Kawanishi, H.; Blake, P.G.; ISPD Adequacy of Peritoneal Dialysis Working Group. Guideline on targets for solute and fluid removal in adult patients on chronic peritoneal dialysis. Perit. Dial. Int. 2006, 26, 520–522. [Google Scholar]
- Wu, H.; Xiong, L.; Xu, Q.; Wu, J.; Huang, R.; Guo, Q.; Mao, H.; Yu, X.; Yang, X. Higher serum triglyceride to high-density lipoprotein cholesterol ratio was associated with increased cardiovascular mortality in female patients on peritoneal dialysis. Nutr. Metab. Cardiovas 2015, 25, 749–755. [Google Scholar] [CrossRef]
- Axelsson, J.; Qureshi, A.R.; Suliman, M.E.; Honda, H.; Pecoits-Filho, R.; Heimburger, O.; Lindholm, B.; Cederholm, T.; Stenvinkel, P. Truncal fat mass as a contributor to inflammation in end-stage renal disease. Am. J. Clin. Nutr. 2004, 80, 1222–1229. [Google Scholar] [CrossRef] [PubMed]


| Data Collected | Results |
|---|---|
| Demographics (n = 34) | |
| Gender | |
| Male | 21 (62%) |
| Female | 13 (38%) |
| Age (years) | 47.8 ± 13.4 |
| Diabetes Mellitus (%) | 25.5 |
| Body Composition (n = 34) | |
| Weight (kg) | 65.3 ± 11.1 |
| Height (cm) | 162.6 ± 10.0 |
| Body Mass Index (kg/m2) | 24.6 ±3.7 |
| Percentage of Fat Mass (%) | 28.5 ± 8.5 |
| Lean Body Mass (kg) | 46.1 ± 8.7 |
| Fat Mass (kg) | 18.5 ± 7.0 |
| Bone Mineral Content (kg) | 1.9 ± 0.4 |
| Bone Mineral Density (g/cm2) | 1.0 ± 0.1 |
| TBW (kg) | 37.1 ± 6.3 |
| %HLBM | 81.1 ± 6.4 |
| Physical Activity (n = 31) | |
| Sedentary (min) | 1161.7 ± 93.5 |
| Light (min) | 206.4 ± 91.4 |
| Moderate/Vigorous (min) | 16.9 ± 15.2 |
| Steps (n) | 4999.2 ± 2477.4 |
| Muscle Strength (n = 32) | |
| Knee extensors strength (N·m/kg) | 87.8 ± 38.3 |
| Knee flexors strength (N·m/kg) | 51.4 ± 21.6 |
| Elbow extensors strength (N·m/kg) | 22.0 ± 7.7 |
| Elbow flexors strength (N·m/kg) | 37.2 ± 10.3 |
| Analytical Chemistry (n = 34) | |
| Serum Albumin (g/dL) | 3.9 ± 0.4 |
| Serum total proteins (g/dL) | 7.1 ± 0.8 |
| Serum CRP (mg/L) | 0.7 ± 0.4 |
| Serum HDL (mg/dL) | 46.8 ± 13.9 |
| Serum Triglycerides (mg/dL) | 170.7 ± 71.6 |
| Serum Cholesterol (mg/dL) | 184.3 ± 31.7 |
| Serum LDL (mg/dL) | 104.9 ± 39.7 |
| Serum glucose (mg/dL) | 109.4 ± 109.2 |
| Creatinine Clearance (L/1.73 m2 weekly) | 75.0 ± 35.2 |
| Kt/V urea (weekly) | 2.0 ± 0.6 |
| Serum sodium (mmol/L) | 137.7 ± 3.8 |
| Men (n = 21) | Women (n = 13) | p Value | |
|---|---|---|---|
| Weight (kg) | 69.1 ± 10.4 | 59.1 ± 9.6 | 0.008 a |
| Height (cm) | 168.3 ± 6.9 | 153.4 ± 6.6 | <0.001 a |
| BMI (kg/m2) | 24.2 ± 3.6 | 25.1 ± 3.9 | 0.486 a |
| %FM | 24.3 ± 6.0 | 35.5 ± 7.5 | <0.001 a |
| LBM (kg) | 51.6 ± 5.6 | 37.3 ± 4.7 | 0.001 a |
| FM (kg) | 17.0 ± 6.5 | 21.2 ± 7.2 | 0.092 a |
| BMC (kg) | 2.2 ± 0.3 | 1.5 ± 0.4 | 0.001 a |
| BMD (g/cm2) | 1.1 ± 0.1 | 0.9 ± 0.1 | 0.005 b |
| TBW/Weight (%) | 58.8 ± 3.6 | 54.6 ± 8.3 | 0.106 a |
| %HLBM | 78.4 ± 4.5 | 85.4 ± 6.7 | 0.004 a |
| Men (n = 21) | Women (n = 13) | p Value | |
|---|---|---|---|
| Physical Activity * | |||
| Sedentary (min/day) | 1170.2 ± 107.0 | 1146.2 ± 64.0 | 0.107 b |
| Light (min) | 199.0 ± 104.8 | 220.0 ± 62.5 | 0.231 b |
| Moderate/Vigorous (min) | 16.9 ± 15.3 | 19.9 ± 15.1 | 0.653 b |
| Steps | 4779.8 ± 2711.5 | 5398.2 ± 2042.4 | 0.515 a |
| Muscle Strength ** | |||
| Knee extensors strength (N·m/kg) | 94.6 ± 42.6 | 76.8 ± 28.4 | 0.193 a |
| Knee flexors strength (N·m/kg) | 59.8 ± 21.7 | 37.8 ± 13.1 | 0.002 a |
| Elbow extensors strength (N·m/kg) | 26.5 ± 6.0 | 15.5 ± 4.5 | <0.001 a |
| Elbow flexors strength (N·m/kg) | 42.5 ± 9.2 | 29.3 ± 6.1 | <0.001 a |
© 2020 by the authors. Licensee MDPI, Basel, Switzerland. This article is an open access article distributed under the terms and conditions of the Creative Commons Attribution (CC BY) license (http://creativecommons.org/licenses/by/4.0/).
Share and Cite
Raimundo, A.; Charrua, Z.; Batalha, N.; Pereira, C.; Parraca, J.; Tomas-Carus, P. High Levels of Physical Activity May Promote a Reduction in Bone Mineral Density in Peritoneal Dialysis. Medicina 2020, 56, 464. https://doi.org/10.3390/medicina56090464
Raimundo A, Charrua Z, Batalha N, Pereira C, Parraca J, Tomas-Carus P. High Levels of Physical Activity May Promote a Reduction in Bone Mineral Density in Peritoneal Dialysis. Medicina. 2020; 56(9):464. https://doi.org/10.3390/medicina56090464
Chicago/Turabian StyleRaimundo, Armando, Zelinda Charrua, Nuno Batalha, Catarina Pereira, Jose Parraca, and Pablo Tomas-Carus. 2020. "High Levels of Physical Activity May Promote a Reduction in Bone Mineral Density in Peritoneal Dialysis" Medicina 56, no. 9: 464. https://doi.org/10.3390/medicina56090464
APA StyleRaimundo, A., Charrua, Z., Batalha, N., Pereira, C., Parraca, J., & Tomas-Carus, P. (2020). High Levels of Physical Activity May Promote a Reduction in Bone Mineral Density in Peritoneal Dialysis. Medicina, 56(9), 464. https://doi.org/10.3390/medicina56090464

