Saturation Genome Editing Targeting KRAS Mutations in HCT 116 Colon Carcinoma Cells for Pooled SNV Functional Profiling in Diploid Cancer Model
Abstract
1. Introduction
2. Materials and Methods
2.1. Cell Culture
2.2. Saturation Genome Editing
2.3. Massive Parallel Sequencing
2.4. Single Nucleotide Variant Analysis
3. Results
3.1. Saturation Genome Editing of KRAS
3.2. KRAS G12/G13 Mutations Enhanced Cell Growth
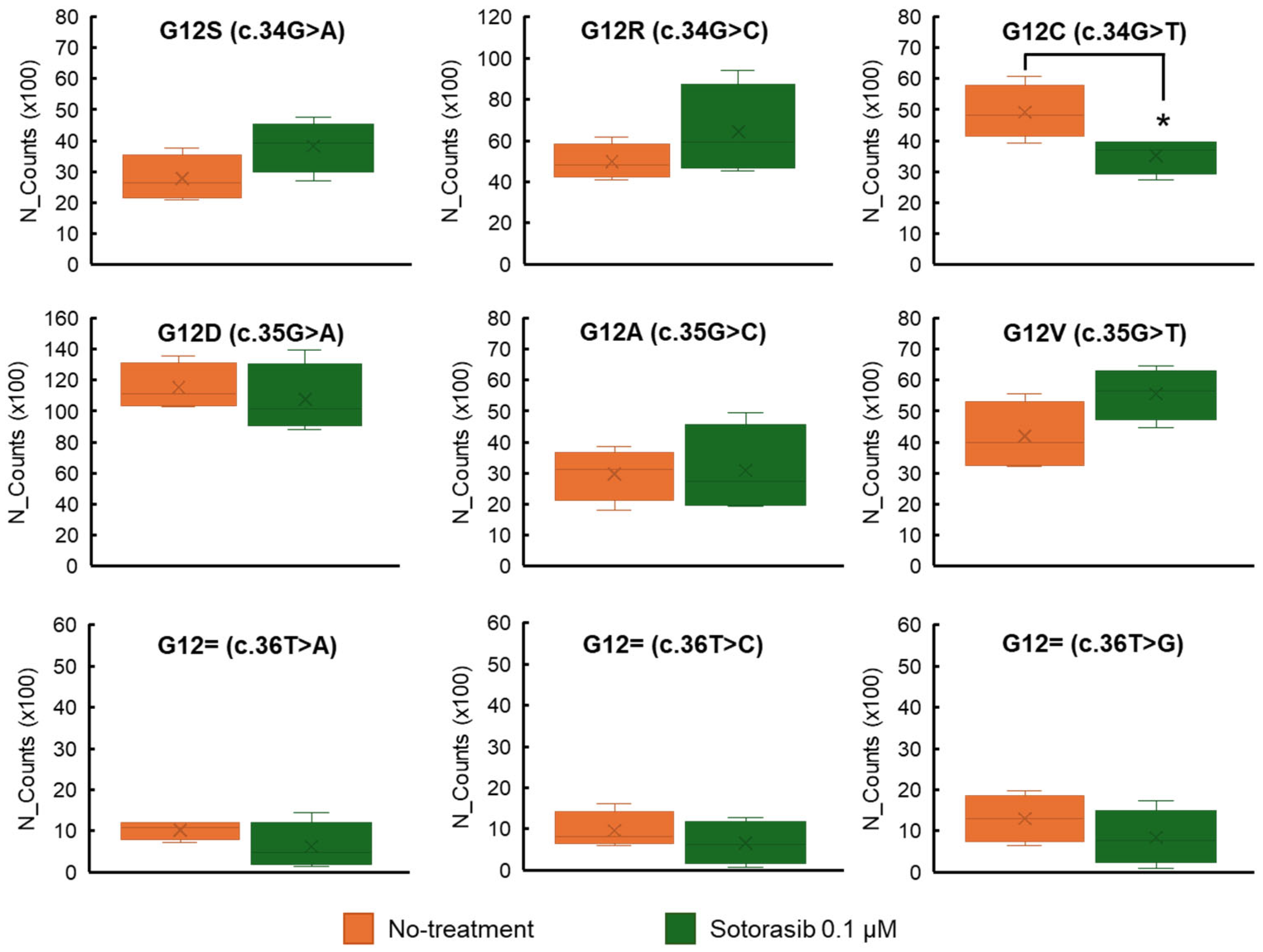
3.3. Drug Sensitivity Test
4. Discussion
5. Conclusions
6. Limitations
Supplementary Materials
Author Contributions
Funding
Institutional Review Board Statement
Informed Consent Statement
Data Availability Statement
Acknowledgments
Conflicts of Interest
Abbreviations
| Cas9 | Clustered regularly interspaced short palindromic repeats (CRISPR)-associated protein 9 |
| FDR | False discovery rate |
| GOI | Gene of interest |
| HDR | Homology-directed repair |
| LFC | Log2 fold change |
| mES | Mouse embryonal stem cell |
| OG | Oncogene |
| PAM | Protospacer adjacent motif |
| PCR | Polymerase chain reaction |
| RNP | Ribonucleoprotein |
| SGE | Saturation genome editing |
| sgRNA | Single-guide RNA |
| SNV | Single-nucleotide variant |
| ssODN | Single-strand oligodeoxynucleotide |
| TSG | Tumor suppressor gene |
| VUS | Variants of uncertain significance |
References
- Landrum, M.J.; Lee, J.M.; Benson, M.; Brown, G.R.; Chao, C.; Chitipiralla, S.; Gu, B.; Hart, J.; Hoffman, D.; Jang, W.; et al. ClinVar: Improving Access to Variant Interpretations and Supporting Evidence. Nucleic Acids Res. 2018, 46, D1062–D1067. [Google Scholar] [CrossRef]
- Tate, J.G.; Bamford, S.; Jubb, H.C.; Sondka, Z.; Beare, D.M.; Bindal, N.; Boutselakis, H.; Cole, C.G.; Creatore, C.; Dawson, E.; et al. COSMIC: The Catalogue Of Somatic Mutations In Cancer. Nucleic Acids Res. 2019, 47, D941–D947. [Google Scholar] [CrossRef]
- Park, J.; Yu, G.; Seo, S.-Y.; Yang, J.; Kim, H.H. SynDesign: Web-Based Prime Editing Guide RNA Design and Evaluation Tool for Saturation Genome Editing. Nucleic Acids Res. 2024, 52, W121–W125. [Google Scholar] [CrossRef]
- Findlay, G.M.; Boyle, E.A.; Hause, R.J.; Klein, J.C.; Shendure, J. Saturation Editing of Genomic Regions by Multiplex Homology-Directed Repair. Nature 2014, 513, 120–123. [Google Scholar] [CrossRef]
- Findlay, G.M.; Daza, R.M.; Martin, B.; Zhang, M.D.; Leith, A.P.; Gasperini, M.; Janizek, J.D.; Huang, X.; Starita, L.M.; Shendure, J. Accurate Classification of BRCA1 Variants with Saturation Genome Editing. Nature 2018, 562, 217–222. [Google Scholar] [CrossRef]
- Radford, E.J.; Tan, H.K.; Andersson, M.H.L.; Stephenson, J.D.; Gardner, E.J.; Ironfield, H.; Waters, A.J.; Gitterman, D.; Lindsay, S.; Abascal, F.; et al. Saturation Genome Editing of DDX3X Clarifies Pathogenicity of Germline and Somatic Variation. Nat. Commun. 2023, 14, 7702. [Google Scholar] [CrossRef] [PubMed]
- Buckley, M.; Terwagne, C.; Ganner, A.; Cubitt, L.; Brewer, R.; Kim, D.-K.; Kajba, C.M.; Forrester, N.; Dace, P.; De Jonghe, J.; et al. Saturation Genome Editing Maps the Functional Spectrum of Pathogenic VHL Alleles. Nat. Genet. 2024, 56, 1446–1455. [Google Scholar] [CrossRef] [PubMed]
- Dace, P.; Findlay, G.M. Reducing Uncertainty in Genetic Testing with Saturation Genome Editing. Med. Genet. 2022, 34, 297–304. [Google Scholar] [CrossRef]
- Meitlis, I.; Allenspach, E.J.; Bauman, B.M.; Phan, I.Q.; Dabbah, G.; Schmitt, E.G.; Camp, N.D.; Torgerson, T.R.; Nickerson, D.A.; Bamshad, M.J.; et al. Multiplexed Functional Assessment of Genetic Variants in CARD11. Am. J. Hum. Genet. 2020, 107, 1029–1043. [Google Scholar] [CrossRef] [PubMed]
- Funk, J.S.; Klimovich, M.; Drangenstein, D.; Pielhoop, O.; Hunold, P.; Borowek, A.; Noeparast, M.; Pavlakis, E.; Neumann, M.; Balourdas, D.-I.; et al. Deep CRISPR Mutagenesis Characterizes the Functional Diversity of TP53 Mutations. Nat. Genet. 2025, 57, 140–153. [Google Scholar] [CrossRef]
- Yang, H.; Zhou, X.; Fu, D.; Le, C.; Wang, J.; Zhou, Q.; Liu, X.; Yuan, Y.; Ding, K.; Xiao, Q. Targeting RAS Mutants in Malignancies: Successes, Failures, and Reasons for Hope. Cancer Commun. 2023, 43, 42–74. [Google Scholar] [CrossRef]
- Arafeh, R.; Shibue, T.; Dempster, J.M.; Hahn, W.C.; Vazquez, F. The Present and Future of the Cancer Dependency Map. Nat. Rev. Cancer 2025, 25, 59–73. [Google Scholar] [CrossRef] [PubMed]
- Kim, D.; Herdeis, L.; Rudolph, D.; Zhao, Y.; Böttcher, J.; Vides, A.; Ayala-Santos, C.I.; Pourfarjam, Y.; Cuevas-Navarro, A.; Xue, J.Y.; et al. Pan-KRAS Inhibitor Disables Oncogenic Signalling and Tumour Growth. Nature 2023, 619, 160–166. [Google Scholar] [CrossRef] [PubMed]
- Love, M.I.; Huber, W.; Anders, S. Moderated Estimation of Fold Change and Dispersion for RNA-Seq Data with DESeq2. Genome Biol. 2014, 15, 550. [Google Scholar] [CrossRef]
- Clement, K.; Rees, H.; Canver, M.C.; Gehrke, J.M.; Farouni, R.; Hsu, J.Y.; Cole, M.A.; Liu, D.R.; Joung, J.K.; Bauer, D.E.; et al. CRISPResso2 Provides Accurate and Rapid Genome Editing Sequence Analysis. Nat. Biotechnol. 2019, 37, 224–226. [Google Scholar] [CrossRef]
- Huang, L.; Guo, Z.; Wang, F.; Fu, L. KRAS Mutation: From Undruggable to Druggable in Cancer. Signal Transduct. Target. Ther. 2021, 6, 386. [Google Scholar] [CrossRef] [PubMed]
- Chakravarty, D.; Gao, J.; Phillips, S.; Kundra, R.; Zhang, H.; Wang, J.; Rudolph, J.E.; Yaeger, R.; Soumerai, T.; Nissan, M.H.; et al. OncoKB: A Precision Oncology Knowledge Base. JCO Precis. Oncol. 2017, 1, 1–16. [Google Scholar] [CrossRef]
- Hamada, T.; Yokoyama, S.; Akahane, T.; Matsuo, K.; Tanimoto, A. Genome Editing Using Cas9 Ribonucleoprotein Is Effective for Introducing PDGFRA Variant in Cultured Human Glioblastoma Cell Lines. Int. J. Mol. Sci. 2023, 24, 500. [Google Scholar] [CrossRef]
- Prior, I.A.; Hood, F.E.; Hartley, J.L. The Frequency of Ras Mutations in Cancer. Cancer Res. 2020, 80, 2969–2974. [Google Scholar] [CrossRef]
- Sahu, S.; Sullivan, T.L.; Mitrophanov, A.Y.; Galloux, M.; Nousome, D.; Southon, E.; Caylor, D.; Mishra, A.P.; Evans, C.N.; Clapp, M.E.; et al. Saturation Genome Editing of 11 Codons and Exon 13 of BRCA2 Coupled with Chemotherapeutic Drug Response Accurately Determines Pathogenicity of Variants. PLoS Genet. 2023, 19, e1010940. [Google Scholar] [CrossRef]
- Olvera-León, R.; Zhang, F.; Offord, V.; Zhao, Y.; Tan, H.K.; Gupta, P.; Pal, T.; Robles-Espinoza, C.D.; Arriaga-González, F.G.; Matsuyama, L.S.A.S.; et al. High-Resolution Functional Mapping of RAD51C by Saturation Genome Editing. Cell 2024, 187, 5719–5734.e19. [Google Scholar] [CrossRef]
- Waters, A.J.; Brendler-Spaeth, T.; Smith, D.; Offord, V.; Tan, H.K.; Zhao, Y.; Obolenski, S.; Nielsen, M.; van Doorn, R.; Murphy, J.-E.; et al. Saturation Genome Editing of BAP1 Functionally Classifies Somatic and Germline Variants. Nat. Genet. 2024, 56, 1434–1445. [Google Scholar] [CrossRef] [PubMed]
- Huang, H.; Hu, C.; Na, J.; Hart, S.N.; Gnanaolivu, R.D.; Abozaid, M.; Rao, T.; Tecleab, Y.A.; Ambrosone, C.B.; Yao, S.; et al. Functional Evaluation and Clinical Classification of BRCA2 Variants. Nature 2025, 638, 528–537. [Google Scholar] [CrossRef]
- Sahu, S.; Galloux, M.; Southon, E.; Caylor, D.; Sullivan, T.; Arnaudi, M.; Zanti, M.; Geh, J.; Chari, R.; Michailidou, K.; et al. Saturation Genome Editing-Based Clinical Classification of BRCA2 Variants. Nature 2025, 638, 538–545. [Google Scholar] [CrossRef] [PubMed]
- Dienstmann, R.; Connor, K.; Byrne, A.T.; Fridman, W.H.; Lambrechts, D.; Sadanandam, A.; Trusolino, L.; Prehn, J.H.M.; Tabernero, J.; Kolch, W. Precision Therapy in RAS Mutant Colorectal Cancer. Gastroenterology 2020, 158, 806–811. [Google Scholar] [CrossRef] [PubMed]
- Tonello, M.; Baratti, D.; Sammartino, P.; Di Giorgio, A.; Robella, M.; Sassaroli, C.; Framarini, M.; Valle, M.; Macrì, A.; Graziosi, L.; et al. Prognostic Value of Specific KRAS Mutations in Patients with Colorectal Peritoneal Metastases. ESMO Open 2024, 9, 102976. [Google Scholar] [CrossRef]
- Blomen, V.A.; Májek, P.; Jae, L.T.; Bigenzahn, J.W.; Nieuwenhuis, J.; Staring, J.; Sacco, R.; van Diemen, F.R.; Olk, N.; Stukalov, A.; et al. Gene Essentiality and Synthetic Lethality in Haploid Human Cells. Science (1979) 2015, 350, 1092–1096. [Google Scholar] [CrossRef]
- Kwon, J.J.; Dilly, J.; Liu, S.; Kim, E.; Bian, Y.; Dharmaiah, S.; Tran, T.H.; Kapner, K.S.; Ly, S.H.; Yang, X.; et al. Compre-hensive Structure-Function Analysis Reveals Gain- and Loss-of-Function Mechanisms Impacting Oncogenic KRAS Ac-tivity. bioRxiv 2024. [Google Scholar] [CrossRef]
- Veale, C.G.L.; Edkins, A.L. Genetic Variation in Drug Targets: Are We Ready for the Era of Precision Medicinal Chemistry? ACS Med. Chem. Lett. 2025, 16, 706–710. [Google Scholar] [CrossRef]
- Zhao, Y.; Murciano-Goroff, Y.R.; Xue, J.Y.; Ang, A.; Lucas, J.; Mai, T.T.; Da Cruz Paula, A.F.; Saiki, A.Y.; Mohn, D.; Achanta, P.; et al. Diverse Alterations Associated with Resistance to KRAS(G12C) Inhibition. Nature 2021, 599, 679–683. [Google Scholar] [CrossRef]


| # Reference (Year) | GOI | Class of GOI | # SNVs | Delivery | Cell | |
|---|---|---|---|---|---|---|
| Cas9 | Donors | |||||
| [4] (2014) | BRCA1/DBR1 | TSG/- | 234/225 | plasmid | plasmid | HAP1 |
| [5] (2018) | BRCA1 | TSG | 3893 | plasmid | ssODN | HAP1 |
| [9] (2020) | CARD11 | OG | 2542 | RNP | plasmid | TMD8 |
| [6] (2023) | DDX3X | TSG | 12776 | plasmid | plasmid | HAP1 |
| [20] (2023) | BRCA2 | TSG | 851 | plasmid | ssODN | mES |
| [21] (2024) | RAD51C | TSG | 9188 | HAP1-A5 | plasmid | HAP1 |
| [7] (2024) | VHL | TSG | 2268 | plasmid | plasmid | HAP1 |
| [22] (2024) | BAP1 | TSG | 18108 | HAP1-A5 | plasmid | HAP1 |
| [10] (2025) | TP53 | TSG | 9225 | plasmid | plasmid | HCT 116* |
| [23] (2025) | BRCA2 | TSG | 6959 | plasmid | plasmid | HAP1 |
| [24] (2025) | BRCA2 | TSG | 6551 | plasmid | plasmid | mES |
| present study | KRAS | OG | 36 | RNP | ssODN | HCT 116 |
Disclaimer/Publisher’s Note: The statements, opinions and data contained in all publications are solely those of the individual author(s) and contributor(s) and not of MDPI and/or the editor(s). MDPI and/or the editor(s) disclaim responsibility for any injury to people or property resulting from any ideas, methods, instructions or products referred to in the content. |
© 2026 by the authors. Licensee MDPI, Basel, Switzerland. This article is an open access article distributed under the terms and conditions of the Creative Commons Attribution (CC BY) license.
Share and Cite
Hamada, T.; Yokoyama, S.; Nakabayashi, R.; Suzuki, Y.; Morishita, S.; Akahane, T.; Matsuo, K.; Kitazono, I.; Furukawa, T.; Tanimoto, A. Saturation Genome Editing Targeting KRAS Mutations in HCT 116 Colon Carcinoma Cells for Pooled SNV Functional Profiling in Diploid Cancer Model. Curr. Issues Mol. Biol. 2026, 48, 341. https://doi.org/10.3390/cimb48040341
Hamada T, Yokoyama S, Nakabayashi R, Suzuki Y, Morishita S, Akahane T, Matsuo K, Kitazono I, Furukawa T, Tanimoto A. Saturation Genome Editing Targeting KRAS Mutations in HCT 116 Colon Carcinoma Cells for Pooled SNV Functional Profiling in Diploid Cancer Model. Current Issues in Molecular Biology. 2026; 48(4):341. https://doi.org/10.3390/cimb48040341
Chicago/Turabian StyleHamada, Taiji, Seiya Yokoyama, Ryo Nakabayashi, Yoshihiko Suzuki, Shinichi Morishita, Toshiaki Akahane, Kei Matsuo, Ikumi Kitazono, Tatsuhiko Furukawa, and Akihide Tanimoto. 2026. "Saturation Genome Editing Targeting KRAS Mutations in HCT 116 Colon Carcinoma Cells for Pooled SNV Functional Profiling in Diploid Cancer Model" Current Issues in Molecular Biology 48, no. 4: 341. https://doi.org/10.3390/cimb48040341
APA StyleHamada, T., Yokoyama, S., Nakabayashi, R., Suzuki, Y., Morishita, S., Akahane, T., Matsuo, K., Kitazono, I., Furukawa, T., & Tanimoto, A. (2026). Saturation Genome Editing Targeting KRAS Mutations in HCT 116 Colon Carcinoma Cells for Pooled SNV Functional Profiling in Diploid Cancer Model. Current Issues in Molecular Biology, 48(4), 341. https://doi.org/10.3390/cimb48040341

