Genome-Wide Association Study (GWAS) on Reproductive Seasonality in Indigenous Greek Sheep Breeds: Insights into Genetic Integrity
Abstract
1. Introduction
2. Materials and Methods
2.1. Samples and Molecular Analyses
2.2. Genotyping and Bioinformatic Analysis—Data and Quality Control
2.3. Population Structure, Heterozygosity, and Phylogeny Analyses
2.4. Genome-Wide Association Analysis (GWAS)
3. Results
3.1. Genetic Structure and Heterozygosity
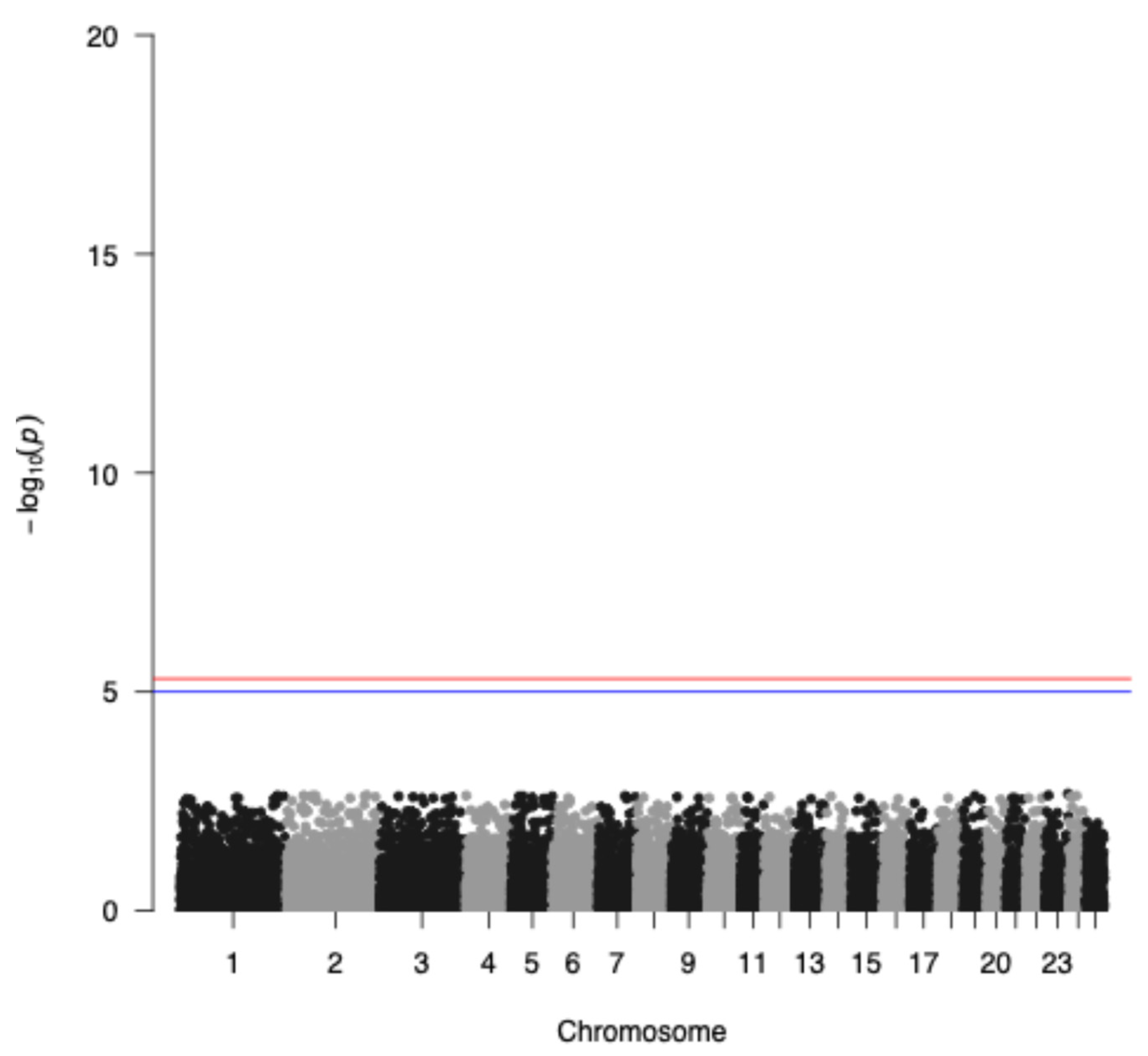
3.2. GWAS Analysis
4. Discussion
5. Conclusions
Author Contributions
Funding
Institutional Review Board Statement
Informed Consent Statement
Data Availability Statement
Conflicts of Interest
References
- FAO. World Food and Agriculture—Statistical Yearbook 2020; FAO: Roma, Italy, 2024. [Google Scholar]
- Avdi, M.; Driancourt, M.A.; Chemineau, P. Seasonal variations of oestrous behaviour and ovulation rate in Chios and Serres ewes in Greece. In Proceedings of the 3rd World Congress on Sheep and Beef Cattle Breeding, Paris, France, 19–26 June 1988. [Google Scholar]
- Avdi, M.; Driancourt, M.A.; Chemineau, P. Variations saisonnieres du comportement d’oestrus et de l’activitι ovulatoire chez les brebis Chios et Serres en Greece. Reprod. Nutr. Dev. 1993, 33, 15–24. [Google Scholar] [CrossRef]
- Avdi, M.; Banos, G.; Kouttos, A. Sources of variation and genetic profile of spontaneous, out-of- season ovulatory activity in Chios sheep. Genet. Sel. Evol. 2003, 35, 65–76. [Google Scholar] [CrossRef]
- Mura, M.C.; Luridiana, S.; Vacca, G.M.; Bini, P.P.; Carcangiu, V. Effect of genotype at the MTNR1A locus and melatonin treatment on first conception in Sarda ewe lambs. Theriogenology 2010, 74, 1579–1586. [Google Scholar] [CrossRef]
- Giantsis, I.A.; Laliotis, G.; Stoupa, O.; Avdi, M. Polymorphism of the melatonin receptor 1A (MNTR1A) gene and association with seasonality of reproductive activity in a local Greek sheep breed. J. Biol. Res. 2016, 23, 9. [Google Scholar] [CrossRef]
- Ahmad Pampori, A.Z.; Ahmad Sheikh, A.; Aarif, O.; Hasin, D.; Ahmad Bhat, I. Physiology of reproductive seasonality in sheep—An update. Biol. Rhythm. Res. 2018, 51, 586–598. [Google Scholar] [CrossRef]
- Foulkes, N.S.; Sassone-Corsi, P.; Borjigin, J.; Snyder, S.H.; Snyder, S.H. Rhythmic transcription: The molecular basis of circadian melatonin synthesis. Trends Neurosci. 1997, 20, 487–492. [Google Scholar] [CrossRef]
- Slominski, R.M.; Reiter, R.J.; Schlabritz-Loutsevitch, N.; Ostrom, R.S.; Slominski, A.T. Melatonin membrane receptors in peripheral tissues: Distribution and functions. Mol. Cell Endocrinol. 2012, 351, 152–166. [Google Scholar] [CrossRef]
- Chen, C.Q.; Fichna, J.; Bashashati, M.; Li, Y.Y.; Storr, M. Distribution, function and physiological role of melatonin in the lower gut. World J. Gastroenterol. 2011, 17, 3888–3898. [Google Scholar] [CrossRef]
- Mannino, G.; Pernici, C.; Serio, G.; Gentile, C.; Bertea, C.M. Melatonin and Phytomelatonin: Chemistry, Biosynthesis, Metabolism, Distribution and Bioactivity in Plants and Animals—An Overview. Int. J. Mol. Sci. 2021, 22, 9996. [Google Scholar] [CrossRef]
- Eldon, J. Effect of exogenous melatonin and exposure to a ram on the time of onset and duration of the breeding season in Icelandic sheep. J. Reprod. Fertil. 1993, 99, 1–6. [Google Scholar] [CrossRef]
- Yong, W.; Ma, H.; Na, M.; Gao, T.; Zhang, Y.; Hao, L.; Yu, H.; Yang, H.; Deng, X. Roles of melatonin in the field of reproductive medicine. Biomed. Pharmacother. 2021, 144, 112001. [Google Scholar] [CrossRef]
- Chemineau, P.; Bodin, L.; Migaud, M.; Thiery, J.C.; Malpaux, B. Neuroendocrine and Genetic Control of Seasonal Reproduction in Sheep and Goats. Reprod. Domest. Anim. 2010, 45 (Suppl. S3), 42–49. [Google Scholar] [CrossRef]
- Gómez-Brunet, A.; Santiago-Moreno, J.; Toledano-Diaz, A.; López-Sebastián, A. Reproductive seasonality and its control in spanish sheep and goats. Trop. Subtrop. Agroecosyst. 2012, 15, S47–S70. [Google Scholar] [CrossRef]
- Rosa, H.J.D.; Bryant, M.J. Seasonality of reproduction in sheep. Small Rumin. Res. 2003, 48, 155–171. [Google Scholar] [CrossRef]
- Antonopoulou, D.; Giantsis, I.A.; Avdi, M. Utilisation of genes and SNPs in selective breeding of small ruminants for anoestrus period reduction. J. Hell. Vet. Med. Soc. 2024, 75, 8389–8394. [Google Scholar] [CrossRef]
- Raadsma, H.W.; Dhungyel, O.P. A review of footrot in sheep: New approaches for control of virulent footrot. Livest. Sci. 2013, 156, 115–125. [Google Scholar] [CrossRef]
- Chang, C.C.; Chow, C.C.; Tellier, L.C.A.M.; Vattikuti, S.; Purcell, S.M.; Lee, J.J. Second-generation PLINK: Rising to the challenge of larger and richer datasets. GigaScience 2015, 4, s13742-015-0047-8. [Google Scholar] [CrossRef]
- Paradis, E.; Claude, J.; Strimmer, K. APE: Analyses of Phylogenetics and Evolution in R language. Bioinformatics 2004, 20, 289–290. [Google Scholar] [CrossRef]
- Schliep, K.P. Phangorn: Phylogenetic analysis in R. Bioinformatics 2011, 27, 592–593. [Google Scholar] [CrossRef]
- Kang, H.M.; Sul, J.H.; Service, S.K.; Zaitlen, N.A.; Kong, S.; Freimer, N.B.; Sabatti, C.; Eskin, E. Variance component model to account for sample structure in genome-wide association studies. Nat. Genet. 2010, 42, 348–354. [Google Scholar] [CrossRef]
- Yang, J.; Weedon, M.N.; Purcell, S.; Lettre, G.; Estrada, K.; Willer, C.J.; Smith, A.V.; Ingelsson, E.; O’Connell, J.R.; Mangino, M.; et al. Genomic inflation factors under polygenic inheritance. Eur. J. Hum. Genet. 2011, 19, 807–812. [Google Scholar] [CrossRef]
- Kominakis, A.; Tarsani, E.; Hager-Theodorides, A.L.; Mastranestasis, I.; Gkelia, D.; Hadjigeorgiou, I. Genetic differentiation of mainland-island sheep of Greece: Implications for identifying candidate genes for long-term local adaptation. PLoS ONE 2021, 16, e0257461. [Google Scholar] [CrossRef]
- Tsartsianidou, V.; Sánchez-Molano, E.; Kapsona, V.V.; Basdagianni, Z.; Chatziplis, D.; Arsenos, G.; Triantafyllidis, A.; Banos, G. A comprehensive genome-wide scan detects genomic regions related to local adaptation and climate resilience in Mediterranean domestic sheep. Genet. Sel. Evol. 2021, 53, 90. [Google Scholar] [CrossRef]
- Argyriadou, A.; Michailidou, S.; Vouraki, S.; Tsartsianidou, V.; Triantafyllidis, A.; Gelasakis, A.; Banos, G.; Arsenos, G. A genome-wide association study reveals novel SNP markers associated with resilience traits in two Mediterranean dairy sheep breeds. Front. Genet. 2023, 14, 1294573. [Google Scholar] [CrossRef]
- Li, Y.; Yang, H.; Guo, J.; Yang, Y.; Yu, Q.; Guo, Y.; Zhang, C.; Wang, Z.; Zuo, P. Genome-Wide Association Study Reveals Candidate Genes for Litter Size Traits in Pelibuey Sheep. Front Vet Sci. 2023, 10, 1206383. [Google Scholar] [CrossRef]
- Martinez-Royo, A.; Alabart, J.L.; Sarto, P.; Serrano, M.; Lahoz, B.; Folch, J.; Calvo, J.H. Genome-wide association studies for reproductive seasonality traits in Rasa Aragonesa sheep breed. Theriogenology 2017, 99, 21–29. [Google Scholar] [CrossRef]
- Antonopoulou, D.; Giantsis, I.A.; Symeon, G.; Avdi, M. Association of MTNR1A and GDF9 gene allelles with the reproductive performance, response to oestrus induction treatments and prolificacy, in improved and non-improved local indigenous sheep breeds. Reprod. Domest. Anim. 2023, 58, 1532–1541. [Google Scholar] [CrossRef]
- Saxena, V.K.; Jha, B.K.; Meena, A.S.; Narula, H.K.; Kumar, D.; Naqvi, S.M.K. Assessment of genetic variability in the coding sequence of melatonin receptor gene (MTNR1A) in tropical arid sheep breeds of India. Reprod. Domest. Anim. 2015, 50, 517–521. [Google Scholar] [CrossRef]
- Cosso, G.; Nehme, M.; Luridiana, S.; Pulinas, L.; Curone, G.; Hosri, C.; Carcangiu, V.; Mura, M.C. Detection of Polymorphisms in the MTNR1A Gene and Their Association with Reproductive Performance in Awassi Ewes. Animals 2021, 11, 583. [Google Scholar] [CrossRef]
- Calvo Lacosta, J.H.; Serrano, M.; Martinez-Royo, A.; Lahoz Crespo, B.; Sarto, A.; Ibañez-Deler, A.; Folch Pera, J.; Alabart Alvarez, J.L. SNP rs403212791 in exon 2 of the MTNR1A gene is associated with reproductive seasonality in the Rasa aragonesa sheep breed. Theriogenology 2018, 113, 63–72. [Google Scholar] [CrossRef]
- Lakhssassi, K.; Serrano, M.; Lahoz, B.; Sarto, M.P.; Iguácel, L.P.; Folch, J.; Alabart, J.L.; Calvo, J.H. The LEPR gene is associated with reproductive seasonality traits in Rasa Aragonesa sheep. Animals 2020, 10, 2448. [Google Scholar] [CrossRef]
- Zhu, M.; Yang, Y.; Yang, H.; Zhao, Z.; Zhang, H.; Blair, H.T.; Zheng, W.; Wang, M.; Fang, C.; Yu, Q.; et al. Whole-genome resequencing of the native sheep provides insights into the microevolution and identifies genes associated with reproduction traits. BMC Genom. 2023, 24, 392. [Google Scholar] [CrossRef]
- Abdoli, R.; Zamani, P.; Mirhoseini, S.Z.; Ghavi Hossein-Zadeh, N.; Nadri, S. A review on prolificacy genes in sheep. Reprod. Domest. Anim. 2016, 51, 631–637. [Google Scholar] [CrossRef]
- Chantepie, L.; Bodin, L.; Sarry, J.; Woloszyn, F.; Plisson-Petit, F.; Ruesche, J.; Drouilhet, L.; Fabre, S. Genome-Wide Identification of a Regulatory Mutation in BMP15 Controlling Prolificacy in Sheep. Front. Genet. 2020, 11, 585. [Google Scholar] [CrossRef]
- Tao, L.; Wang, X.; Zhong, Y.; Liu, Q.; Xia, Q.; Chen, S.; He, X.; Di, R.; Chu, M. Combined approaches identify known and novel genes associated with sheep litter size and non-seasonal breeding. Sticht. Int. Found. Anim. Genet. 2021, 52, 857–867. [Google Scholar] [CrossRef]
- Martin, P.; Raoul, J.; Bodin, L. Effects of the FecL major gene in the Lacaune meat sheep population. Genet. Sel. Evol. 2014, 46, 48. [Google Scholar] [CrossRef]
- Hernández-Montiel, W.; Martínez-Núñez, M.A.; Ramón-Ugalde, J.P.; Román-Ponce, S.I.; Calderón-Chagoya, R.; Zamora-Bustillos, R. Genome-Wide Association Study Reveals Candidate Genes for Litter Size Traits in Pelibuey Sheep. Animals 2020, 10, 434. [Google Scholar] [CrossRef]
- Chen, Y.; Shan, X.; Jiang, H.; Sun, L.; Guo, Z. Regulation of litter size in sheep (Ovis aries) by the GDF9 and BMP15 genes. Ann. Agric. Sci. 2023, 68, 148–158. [Google Scholar] [CrossRef]
- Belli, M.; Shimasaki, S. Molecular Aspects and Clinical Relevance of GDF9 and BMP15 in Ovarian Function. Vitam Horm. 2018, 107, 317–348. [Google Scholar]
- Hodge, M.J.; de las Heras-Saldana, S.; Rindfleish, S.J.; Stephen, C.P.; Pant, S.D. QTLs and Candidate Genes Associated with Semen Traits in Merino Sheep. Animals 2023, 13, 2286. [Google Scholar] [CrossRef]
- Khan, M.Z.; Ma, Y.; Ma, J.; Xiao, J.; Liu, Y.; Liu, S.; Khan, A.; Khan, I.M.; Cao, Z. Association of DGAT1 with Cattle, Buffalo, Goat, and Sheep Milk and Meat Production Traits. Front. Vet. Sci. 2021, 16, 712470. [Google Scholar] [CrossRef]
- Alwan, I.H.; Aljubouri, T.R.S.; Al-Shuhaib, M.B.S. A Novel Missense SNP in the Fatty Acid-Binding Protein 4 (FABP4) Gene is Associated with Growth Traits in Karakul and Awassi Sheep. Biochem. Genet. 2024, 62, 1462–1484. [Google Scholar] [CrossRef]
- Smołucha, G.; Gurgul, A.; Jasielczuk, I.; Kawęcka, A.; Miksza-Cybulska, A. A genome-wide association study for prolificacy in three Polish sheep breeds. J. Appl. Genet. 2021, 62, 323–326. [Google Scholar] [CrossRef]
- Gholizadeh, M.; Esmaeili-Fard, S.M. Meta-analysis of genome-wide association studies for litter size in sheep. Theriogenology 2022, 180, 103–112. [Google Scholar] [CrossRef]
- Thiéry, J.C.; Chemineau, P.; Hernandez, X.; Migaud, M.; Malpaux, B. Neuroendocrine interactions and seasonality. Domest. Anim. Endocrinol. 2002, 23, 87–100. [Google Scholar] [CrossRef]
- Villa-Godoy, A.; Hughes, T.L.; Emery, R.S.; Stanisiewski, E.P.; Fogwell, R.L. Influence of energy balance and body condition on estrus and estrous cycles in Holstein heifers. J. Dairy Sci. 1990, 73, 2759–2765. [Google Scholar] [CrossRef]
- Forcada, F.; Abecia, J.A.; Sierra, I. Seasonal changes in oestrus activity and ovulation rate in Rasa Aragonesa ewes maintained at two different body condition levels. Small Rumin. Res. 1992, 8, 313–324. [Google Scholar] [CrossRef]
- Papachristoforou, C.; Koumas, A.; Photiou, C. Seasonal effects on puberty and reproductive characteristics of female Chios sheep and Damascus goats born in autumn or in February. Small Rumin. Res. 2000, 38, 9–15. [Google Scholar] [CrossRef]
- Symeon, G.K.; Giantsis, I.A.; Avdi, M. Effects of different reproduction management protocols on the reproduction efficiency of three indigenous Greek sheep breeds. AIMS Agric. Food 2024, 9, 472–482. [Google Scholar] [CrossRef]
- Matsoukis, A.; Chronopoulou-Sereli, K.; Stratakos, G. Effect of seasonally changing aerial environment on testosterone in Karagouniko and Chios sheep. Anim. Behav. Biometeorol. 2022, 10, 2205. [Google Scholar] [CrossRef]
- Michailidou, S.; Tsangaris, G.; Fthenakis, G.C.; Tzora, A.; Skoufos, I.; Kark-abounas, S.C.; Banos, G.; Argiriou, A.; Arsenos, G. Genomic diversity and population structure of three autochthonous Greek sheep breeds assessed with genome-wide DNA arrays. Mol. Genet. Genom. 2018, 293, 753–768. [Google Scholar] [CrossRef]
- Loukovitis, D.; Siasiou, A.; Mitsopoulos, I.; Lymberopoulos, A.G.; Laga, V.; Chatziplis, D. Genetic diversity of Greek sheep breeds and transhumant populations utilizing microsatellite markers. Small Rumin. Res. 2016, 136, 238–242. [Google Scholar] [CrossRef]
- Giantsis, I.A.; Antonopoulou, D.; Dekolis, N.; Zaralis, K.; Avdi, M. Origin, demographics, inbreeding, phylogenetics, and phenogenetics of Karamaniko breed, a major common ancestor of the autochthonous Greek sheep. Trop. Anim. Health Prod. 2022, 54, 73. [Google Scholar] [CrossRef]
- Belabdi, I.; Ouhrouch, A.; Lafri, M.; Gaouar, S.B.S.; Ciani, E.; Benali, A.R.; Ouelhadj, H.O.; Haddioui, A.; Pompanon, F.; Blanquet, V.; et al. Genetic homogenization of indigenous sheep breeds in Northwest Africa. Sci. Rep. 2019, 9, 7920. [Google Scholar] [CrossRef]
- Kerr, E.; Marr, M.M.; Collins, L.; Dubarry, K.; Salavati, M.; Scinto, A.; Woolley, S.; Clark, E.L. Analysis of genotyping data reveals the unique genetic diversity represented by the breeds of sheep native to the United Kingdom. BMC Genom. Data 2024, 25, 82. [Google Scholar] [CrossRef]
- Machová, K.; Marina, H.; Arranz, J.J.; Pelayo, R.; Rychtářová, J.; Milerski, M.; Vostrý, L.; Suárez-Vega, A. Genetic diversity of two native sheep breeds by genome-wide analysis of single nucleotide polymorphisms. Animal 2023, 17, 100690. [Google Scholar] [CrossRef]
- Alves de Sousa, L.; Mello de Araujo, A.; de Assis Diniz Sobrinho, F.; Maximiliano Bajay, M.; Soares Juliano, R.; Alvarenga Reis, F.; Barbosa Ferreira, M.; Daniel Vega-Britez, G.; Miranda de Vargas Junior, F. SNP Markers: Analysis of Genetic Diversity and Identification of Genomic Regions in Pantaneiro Sheep and Texel Sheep Under Natural Selection. Front. Biosci. 2024, 16, 18. [Google Scholar]
- Ma, K.; Song, J.; Li, D.; Li, T.; Ma, Y. Genetic Diversity and Selection Signal Analysis of Hu Sheep Based on SNP50K BeadChip. Animals 2024, 14, 2784. [Google Scholar] [CrossRef]
- O’Brien, A.C.; Purfield, D.C.; Judge, M.M.; Long, C.; Fair, S.; Berry, D.P. Population structure and breed composition prediction in a multi-breed sheep population using genome-wide single nucleotide polymorphism genotypes. Animal 2020, 14, 464–474. [Google Scholar] [CrossRef]





| CHR | SNP | UNADJ | GC | BONF | HOLM | SIDAK_SS | SIDAK_SD | FDR_BH | FDR_BY |
|---|---|---|---|---|---|---|---|---|---|
| 17 | OAR17_66137286.1 | 2.713 × 10−7 | 0.08945 | 0.01157 | 0.01157 | 0.0115 | 0.0115 | 0.0003336 | 0.003749 |
| 3 | OAR3_32230041.1 | 2.714 × 10−7 | 0.08946 | 0.01157 | 0.01157 | 0.01151 | 0.01151 | 0.0003336 | 0.003749 |
| 9 | s28425.1 | 2.816 × 10−7 | 0.08989 | 0.01201 | 0.01201 | 0.01194 | 0.01194 | 0.0003336 | 0.003749 |
| 1 | OAR1_209228482.1 | 5.24 × 10−7 | 0.09752 | 0.02235 | 0.02235 | 0.0221 | 0.0221 | 0.0003336 | 0.003749 |
| 21 | ilmnseq_rs604725717 | 5.577 × 10−7 | 0.09832 | 0.02378 | 0.02378 | 0.0235 | 0.0235 | 0.0003336 | 0.003749 |
| 2 | OAR2_81887812.1 | 6.002 × 10−7 | 0.09928 | 0.0256 | 0.0256 | 0.02527 | 0.02527 | 0.0003336 | 0.003749 |
| 8 | OAR8_15349408.1 | 6.368 × 10−7 | 0.1001 | 0.02716 | 0.02716 | 0.02679 | 0.02679 | 0.0003336 | 0.003749 |
| 10 | OAR10_31896326.1 | 6.886 × 10−7 | 0.1011 | 0.02937 | 0.02936 | 0.02894 | 0.02894 | 0.0003336 | 0.003749 |
| 3 | OAR3_19421671.1 | 7.366 × 10−7 | 0.102 | 0.03142 | 0.03141 | 0.03093 | 0.03092 | 0.0003336 | 0.003749 |
| 1 | s71757.1 | 7.432 × 10−7 | 0.1021 | 0.0317 | 0.03169 | 0.0312 | 0.03119 | 0.0003336 | 0.003749 |
| 10 | OAR10_65844667.1 | 7.467 × 10−7 | 0.1022 | 0.03185 | 0.03184 | 0.03134 | 0.03134 | 0.0003336 | 0.003749 |
| 21 | s35322.1 | 7.641 × 10−7 | 0.1025 | 0.03259 | 0.03258 | 0.03206 | 0.03206 | 0.0003336 | 0.003749 |
| 21 | s56586.1 | 7.674 × 10−7 | 0.1026 | 0.03273 | 0.03272 | 0.0322 | 0.03219 | 0.0003336 | 0.003749 |
| 1 | OAR1_231434082.1 | 8.13 × 10−7 | 0.1033 | 0.03467 | 0.03466 | 0.03408 | 0.03407 | 0.0003336 | 0.003749 |
| 1 | OAR1_297285976.1 | 8.223 × 10−7 | 0.1035 | 0.03507 | 0.03506 | 0.03446 | 0.03445 | 0.0003336 | 0.003749 |
| 7 | s42963.1 | 8.295 × 10−7 | 0.1036 | 0.03538 | 0.03537 | 0.03476 | 0.03475 | 0.0003336 | 0.003749 |
| 22 | s27062.1 | 8.411 × 10−7 | 0.1038 | 0.03587 | 0.03586 | 0.03524 | 0.03522 | 0.0003336 | 0.003749 |
| 25 | s37856.1 | 8.502 × 10−7 | 0.1039 | 0.03626 | 0.03625 | 0.03561 | 0.0356 | 0.0003336 | 0.003749 |
| 10 | OAR10_71264685.1 | 8.614 × 10−7 | 0.1041 | 0.03674 | 0.03672 | 0.03607 | 0.03606 | 0.0003336 | 0.003749 |
| 6 | OAR6_87983645.1 | 8.775 × 10−7 | 0.1044 | 0.03743 | 0.03741 | 0.03674 | 0.03672 | 0.0003336 | 0.003749 |
| 8 | OAR8_10222234.1 | 9.306 × 10−7 | 0.1052 | 0.03969 | 0.03967 | 0.03891 | 0.0389 | 0.0003336 | 0.003749 |
| 2 | OAR2_86483053.1 | 1.007 × 10−6 | 0.1063 | 0.04294 | 0.04292 | 0.04203 | 0.04201 | 0.0003336 | 0.003749 |
| 5 | OAR5_109887031_X.1 | 1.026 × 10−6 | 0.1066 | 0.04376 | 0.04374 | 0.04282 | 0.04279 | 0.0003336 | 0.003749 |
| 17 | ilmnseq_rs424436982 | 1.037 × 10−6 | 0.1067 | 0.04423 | 0.04421 | 0.04327 | 0.04325 | 0.0003336 | 0.003749 |
| 1 | OAR1_292286259.1 | 1.056 × 10−6 | 0.107 | 0.04502 | 0.04499 | 0.04402 | 0.04399 | 0.0003336 | 0.003749 |
| 14 | ilmnseq_rs428524353 | 1.114 × 10−6 | 0.1077 | 0.04752 | 0.04749 | 0.0464 | 0.04638 | 0.0003336 | 0.003749 |
| 8 | OAR8_48743831.1 | 1.117 × 10−6 | 0.1078 | 0.04763 | 0.0476 | 0.04652 | 0.04649 | 0.0003336 | 0.003749 |
| 20 | OAR20_50272411.1 | 1.12 × 10−6 | 0.1078 | 0.04777 | 0.04774 | 0.04665 | 0.04662 | 0.0003336 | 0.003749 |
| 22 | OAR22_28251375.1 | 1.136 × 10−6 | 0.108 | 0.04847 | 0.04844 | 0.04731 | 0.04728 | 0.0003336 | 0.003749 |
| 2 | OAR2_238706074.1 | 1.155 × 10−6 | 0.1083 | 0.04928 | 0.04924 | 0.04808 | 0.04805 | 0.0003336 | 0.003749 |
| 5 | OAR5_110584928.1 | 1.16 × 10−6 | 0.1083 | 0.04948 | 0.04944 | 0.04828 | 0.04824 | 0.0003336 | 0.003749 |
| 13 | s63375.1 | 1.181 × 10−6 | 0.1086 | 0.05037 | 0.05033 | 0.04912 | 0.04909 | 0.0003336 | 0.003749 |
Disclaimer/Publisher’s Note: The statements, opinions and data contained in all publications are solely those of the individual author(s) and contributor(s) and not of MDPI and/or the editor(s). MDPI and/or the editor(s) disclaim responsibility for any injury to people or property resulting from any ideas, methods, instructions or products referred to in the content. |
© 2025 by the authors. Licensee MDPI, Basel, Switzerland. This article is an open access article distributed under the terms and conditions of the Creative Commons Attribution (CC BY) license (https://creativecommons.org/licenses/by/4.0/).
Share and Cite
Antonopoulou, D.; Symeon, G.; Zaralis, K.; Avdi, M.; Frydas, I.S.; Giantsis, I.A. Genome-Wide Association Study (GWAS) on Reproductive Seasonality in Indigenous Greek Sheep Breeds: Insights into Genetic Integrity. Curr. Issues Mol. Biol. 2025, 47, 279. https://doi.org/10.3390/cimb47040279
Antonopoulou D, Symeon G, Zaralis K, Avdi M, Frydas IS, Giantsis IA. Genome-Wide Association Study (GWAS) on Reproductive Seasonality in Indigenous Greek Sheep Breeds: Insights into Genetic Integrity. Current Issues in Molecular Biology. 2025; 47(4):279. https://doi.org/10.3390/cimb47040279
Chicago/Turabian StyleAntonopoulou, Danai, George Symeon, Konstantinos Zaralis, Meni Avdi, Ilias S. Frydas, and Ioannis A. Giantsis. 2025. "Genome-Wide Association Study (GWAS) on Reproductive Seasonality in Indigenous Greek Sheep Breeds: Insights into Genetic Integrity" Current Issues in Molecular Biology 47, no. 4: 279. https://doi.org/10.3390/cimb47040279
APA StyleAntonopoulou, D., Symeon, G., Zaralis, K., Avdi, M., Frydas, I. S., & Giantsis, I. A. (2025). Genome-Wide Association Study (GWAS) on Reproductive Seasonality in Indigenous Greek Sheep Breeds: Insights into Genetic Integrity. Current Issues in Molecular Biology, 47(4), 279. https://doi.org/10.3390/cimb47040279

