Usefulness of Galectin-3 as a Biochemical Marker to Detect Ventricular and Supraventricular Arrhythmias in Children
Abstract
1. Introduction
2. Materials and Methods
2.1. Research Population
2.2. Ethical Issues
2.3. Serum Collection and Storage
2.4. Measurement of Galectin-3 Concentration
2.5. Statistical Analysis
3. Results
3.1. Patient Characteristics
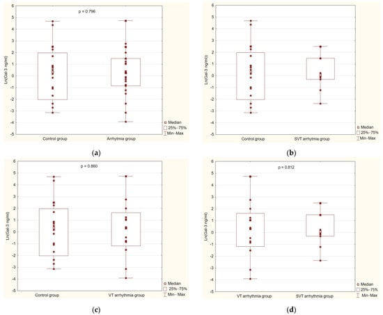
3.2. Galectin-3 Levels in Va and SVa Patients
4. Discussion
5. Conclusions
Author Contributions
Funding
Institutional Review Board Statement
Informed Consent Statement
Data Availability Statement
Acknowledgments
Conflicts of Interest
References
- Sledz, J.; Labus, M.; Mazij, M.; Klank-Szafran, M.; Karbarz, D.; Ludwik, B.; Kusa, J.; Deutsch, K.; Szydlowski, L.; Mscisz, A.; et al. A Simplified Approach for Evaluating Sustained Slow Pathway Conduction for Diagnosis and Treatment of Atrioventricular Nodal Reentry Tachycardia in Children and Adults. Adv. Med. Sci. 2018, 63, 249–256. [Google Scholar] [CrossRef] [PubMed]
- Moric-Janiszewska, E.; Smolik, S.; Morka, A.; Szydłowski, L.; Kapral, M. Expression Levels of Serum Circulating microRNAs in Pediatric Patients with Ventricular and Supraventricular Arrhythmias. Adv. Med. Sci. 2021, 66, 411–417. [Google Scholar] [CrossRef]
- Houck, C.A.; Chandler, S.F.; Bogers, A.J.J.C.; Triedman, J.K.; Walsh, E.P.; de Groot, N.M.S.; Abrams, D.J. Arrhythmia Mechanisms and Outcomes of Ablation in Pediatric Patients With Congenital Heart Disease. Circ. Arrhythmia Electrophysiol. 2019, 12, e007663. [Google Scholar] [CrossRef] [PubMed]
- Heymans, S.; González, A.; Pizard, A.; Papageorgiou, A.P.; López-Andrés, N.; Jaisser, F.; Thum, T.; Zannad, F.; Díez, J. Searching for New Mechanisms of Myocardial Fibrosis with Diagnostic and/or Therapeutic Potential. Eur. J. Heart Fail. 2015, 17, 764–771. [Google Scholar] [CrossRef]
- Baggen, V.J.M.; van den Bosch, A.E.; Eindhoven, J.A.; Menting, M.E.; Witsenburg, M.; Cuypers, J.A.A.E.; Boersma, E.; Roos-Hesselink, J.W. Prognostic Value of Galectin-3 in Adults with Congenital Heart Disease. Heart 2018, 104, 394–400. [Google Scholar] [CrossRef] [PubMed]
- Yu, L.; Ruifrok, W.P.T.; Meissner, M.; Bos, E.M.; van Goor, H.; Sanjabi, B.; van der Harst, P.; Pitt, B.; Goldstein, I.J.; Koerts, J.A.; et al. Genetic and Pharmacological Inhibition of Galectin-3 Prevents Cardiac Remodeling by Interfering with Myocardial Fibrogenesis. Circ. Heart Fail. 2013, 6, 107–117. [Google Scholar] [CrossRef]
- Chen, D.; Procter, N.; Goh, V.; Liu, S.; Chua, S.J.; Assadi-Khansari, B.; Stewart, S.; Horowitz, J.D.; Sverdlov, A.L.; Ngo, D.T. New Onset Atrial Fibrillation Is Associated with Elevated Galectin-3 Levels. Int. J. Cardiol. 2016, 223, 48–49. [Google Scholar] [CrossRef]
- Szadkowska, I.; Wlazeł, R.N.; Migała, M.; Szadkowski, K.; Zielińska, M.; Paradowski, M.; Pawlicki, L. The Association between Galectin-3 and Clinical Parameters in Patients with First Acute Myocardial Infarction Treated with Primary Percutaneous Coronary Angioplasty. Cardiol. J. 2013, 20, 577–582. [Google Scholar] [CrossRef]
- Yalcin, M.U.; Gurses, K.M.; Kocyigit, D.; Canpinar, H.; Canpolat, U.; Evranos, B.; Yorgun, H.; Sahiner, M.L.; Kaya, E.B.; Hazirolan, T.; et al. The Association of Serum Galectin-3 Levels with Atrial Electrical and Structural Remodeling. J. Cardiovasc. Electrophysiol. 2015, 26, 635–640. [Google Scholar] [CrossRef]
- Święcki, P.; Knapp, M.; Lisowska, A. The role of galectin 3 as a diagnostic and prognostic marker in cardiology. Folia Cardiol. 2018, 13, 29–34. [Google Scholar]
- Dumic, J.; Dabelic, S.; Flögel, M. Galectin-3: An Open-Ended Story. Biochim. Biophys. Acta (BBA) Gen. Subj. 2006, 1760, 616–635. [Google Scholar] [CrossRef] [PubMed]
- Argüeso, P.; Panjwani, N. Focus on Molecules: Galectin-3. Exp. Eye Res. 2011, 92, 2–3. [Google Scholar] [CrossRef] [PubMed]
- Tymińska, A.; Filipiak, K.J. New Biomarkers in Cardiology—Are We on the Right Track? Folia Cardiol. 2019, 14, 52–59. [Google Scholar] [CrossRef]
- Moric-Janiszewska, E.; Smolik, S.; Szydłowski, L.; Kapral, M. Associations between Selected ADRB1 and CYP2D6 Gene Polymorphisms in Children with Ventricular and Supraventricular Arrhythmias. Medicina 2023, 59, 2057. [Google Scholar] [CrossRef] [PubMed]
- Cumberland, M.J.; Riebel, L.L.; Roy, A.; O’Shea, C.; Holmes, A.P.; Denning, C.; Kirchhof, P.; Rodriguez, B.; Gehmlich, K. Basic Research Approaches to Evaluate Cardiac Arrhythmia in Heart Failure and Beyond. Front. Physiol. 2022, 13, 806366. [Google Scholar] [CrossRef] [PubMed]
- Smereczyńska-Wierzbicka, E.; Pietrzak, R.; Werner, B. A Scoping Review of Galectin-3 as a Biomarker of Cardiovascular Diseases in Pediatric Populations. IJERPH 2022, 19, 4349. [Google Scholar] [CrossRef] [PubMed]
- He, X.-W.; Li, W.-L.; Li, C.; Liu, P.; Shen, Y.-G.; Zhu, M.; Jin, X.-P. Serum Levels of Galectin-1, Galectin-3, and Galectin-9 Are Associated with Large Artery Atherosclerotic Stroke. Sci. Rep. 2017, 7, 40994. [Google Scholar] [CrossRef]
- Sayed, A.; Munir, M.; Attia, M.S.; Alghamdi, B.S.; Ashraf, G.M.; Bahbah, E.I.; Elfil, M. Galectin-3: A Novel Marker for the Prediction of Stroke Incidence and Clinical Prognosis. Mediat. Inflamm. 2022, 2022, 2924773. [Google Scholar] [CrossRef]
- He, B.; Huang, B.; Lu, Z.; He, W.; Jiang, H. Galectin-3: A Potential New Target for Upstream Therapy of Atrial Fibrillation. Int. J. Cardiol. 2016, 203, 1131–1132. [Google Scholar] [CrossRef]
- Hara, A.; Niwa, M.; Noguchi, K.; Kanayama, T.; Niwa, A.; Matsuo, M.; Hatano, Y.; Tomita, H. Galectin-3 as a Next-Generation Biomarker for Detecting Early Stage of Various Diseases. Biomolecules 2020, 10, 389. [Google Scholar] [CrossRef]
- Gao, Z.; Liu, Z.; Wang, R.; Zheng, Y.; Li, H.; Yang, L. Galectin-3 Is a Potential Mediator for Atherosclerosis. J. Immunol. Res. 2020, 2020, 5284728. [Google Scholar] [CrossRef]
- Ursli, M.; Zierfuss, B.; Grigassy, T.; Pesau, G.; Koppensteiner, R.; Schernthaner, G.-H.; Höbaus, C. Galectin-3 Is Linked to Peripheral Artery Disease Severity, and Urinary Excretion Is Associated with Long-Term Mortality. Atherosclerosis 2022, 341, 7–12. [Google Scholar] [CrossRef] [PubMed]
- Ho, J.E.; Liu, C.; Lyass, A.; Courchesne, P.; Pencina, M.J.; Vasan, R.S.; Larson, M.G.; Levy, D. Galectin-3, a Marker of Cardiac Fibrosis, Predicts Incident Heart Failure in the Community. J. Am. Coll. Cardiol. 2012, 60, 1249–1256. [Google Scholar] [CrossRef]
- Anand, I.S.; Rector, T.S.; Kuskowski, M.; Adourian, A.; Muntendam, P.; Cohn, J.N. Baseline and Serial Measurements of Galectin-3 in Patients with Heart Failure: Relationship to Prognosis and Effect of Treatment with Valsartan in the Val-HeFT. Eur. J. Heart Fail. 2013, 15, 511–518. [Google Scholar] [CrossRef]
- Schindler, E.I.; Szymanski, J.J.; Hock, K.G.; Geltman, E.M.; Scott, M.G. Short- and Long-Term Biologic Variability of Galectin-3 and Other Cardiac Biomarkers in Patients with Stable Heart Failure and Healthy Adults. Clin. Chem. 2016, 62, 360–366. [Google Scholar] [CrossRef] [PubMed]
- Sanchis-Gomar, F.; Santos-Lozano, A.; Pareja-Galeano, H.; Garatachea, N.; Alis, R.; Fiuza-Luces, C.; Morán, M.; Emanuele, E.; Lucia, A. Galectin-3, Osteopontin and Successful Aging. Clin. Chem. Lab. Med. 2016, 54, 873–877. [Google Scholar] [CrossRef]
- Felker, G.M.; Fiuzat, M.; Shaw, L.K.; Clare, R.; Whellan, D.J.; Bettari, L.; Shirolkar, S.C.; Donahue, M.; Kitzman, D.W.; Zannad, F.; et al. Galectin-3 in Ambulatory Patients With Heart Failure. Circ. Heart Fail. 2012, 5, 72–78. [Google Scholar] [CrossRef]
- Baron, T. An Estimation of Factors Influencing on the Left Ventricular Electric Instability in Patients with Arterial Hypertension. Ph.D. Thesis, Uniwerystet Jagielloński Collegium Medicum, Kraków, Poland, 2005. [Google Scholar]
- Chen, K.; Jiang, R.-J.; Wang, C.-Q.; Yin, Z.-F.; Fan, Y.-Q.; Cao, J.-T.; Han, Z.-H.; Wang, Y.; Song, D.-Q. Predictive Value of Plasma Galectin-3 in Patients with Chronic Heart Failure. Eur. Rev. Med. Pharmacol. Sci. 2013, 17, 1005–1011. [Google Scholar] [PubMed]
- Lisowska, A.; Knapp, M.; Tycińska, A.; Motybel, E.; Kamiński, K.; Święcki, P.; Musiał, W.J.; Dymicka-Piekarska, V. Predictive Value of Galectin-3 for the Occurrence of Coronary Artery Disease and Prognosis after Myocardial Infarction and Its Association with Carotid IMT Values in These Patients: A Mid-Term Prospective Cohort Study. Atherosclerosis 2016, 246, 309–317. [Google Scholar] [CrossRef]
- Aksan, G.; Gedikli, Ö.; Keskin, K.; Nar, G.; İnci, S.; Yıldız, S.S.; Kaplan, Ö.; Soylu, K.; Kılıçkesmez, K.O.; Şahin, M. Is Galectin-3 a Biomarker, a Player—Or Both—In the Presence of Coronary Atherosclerosis? J. Investig. Med. 2016, 64, 764–770. [Google Scholar] [CrossRef]
- Jansen, H.; Koenig, W.; Jaensch, A.; Mons, U.; Breitling, L.P.; Scharnagl, H.; Stojakovic, T.; Schunkert, H.; Brenner, H.; Rothenbacher, D. Prognostic Utility of Galectin-3 for Recurrent Cardiovascular Events During Long-Term Follow-up in Patients with Stable Coronary Heart Disease: Results of the KAROLA Study. Clin. Chem. 2016, 62, 1372–1379. [Google Scholar] [CrossRef] [PubMed]
- Frogoudaki, A.A.; Pantelakis, I.; Bistola, V.; Kroupis, C.; Birba, D.; Ikonomidis, I.; Alexopoulos, D.; Filippatos, G.; Parissis, J. Global Longitudinal Strain of the Systemic Ventricle Is Correlated with Plasma Galectin-3 and Predicts Major Cardiovascular Events in Adult Patients with Congenital Heart Disease. Medicina 2020, 56, 305. [Google Scholar] [CrossRef] [PubMed]
- Stanojevic, D.; Apostolovic, S.; Stokanovic, D.; Momčilović, S.; Jevtovic-Stoimenov, T.; Salinger-Martinovic, S.; Kostic, T.; Nikolic, V.N. Galectin-3 in Acute Myocardial Infarction Patients with Atrial Fibrillation. Med. Princ. Pr. 2019, 28, 284–290. [Google Scholar] [CrossRef]
- Kang, Q.; Li, X.; Yang, M.; Fernando, T.; Wan, Z. Galectin-3 in Patients with Coronary Heart Disease and Atrial Fibrillation. Clin. Chim. Acta 2018, 478, 166–170. [Google Scholar] [CrossRef]
- Shen, H.; Wang, J.; Min, J.; Xi, W.; Gao, Y.; Yin, L.; Yu, Y.; Liu, K.; Xiao, J.; Zhang, Y.; et al. Activation of TGF-Β1/α-SMA/Col I Profibrotic Pathway in Fibroblasts by Galectin-3 Contributes to Atrial Fibrosis in Experimental Models and Patients. Cell Physiol. Biochem. 2018, 47, 851–863. [Google Scholar] [CrossRef] [PubMed]
- Al-Salam, S.; Kandhan, K.; Sudhadevi, M.; Yasin, J.; Tariq, S. Early Doxorubicin Myocardial Injury: Inflammatory, Oxidative Stress, and Apoptotic Role of Galectin-3. IJMS 2022, 23, 12479. [Google Scholar] [CrossRef]
- Brewster, L.M.; Haan, Y.C.; Zwinderman, A.H.; Van Den Born, B.J.; Van Montfrans, G.A. CK (Creatine Kinase) Is Associated With Cardiovascular Hemodynamics: The HELIUS Study. Hypertension 2020, 76, 373–380. [Google Scholar] [CrossRef]
- Yilmaz, A.; Yalta, K.; Turgut, O.O.; Yilmaz, M.B.; Ozyol, A.; Kendirlioglu, O.; Karadas, F.; Tandogan, I. Clinical Importance of Elevated CK-MB and Troponin I Levels in Congestive Heart Failure. Adv. Ther. 2006, 23, 1060–1067. [Google Scholar] [CrossRef] [PubMed]
- Kocyigit, D.; Gurses, K.M.; Yalcin, M.U.; Canpinar, H.; Canpolat, U.; Evranos, B.; Yorgun, H.; Ozer, N.; Guc, D.; Aytemir, K. Serum Galectin-3 Level as a Marker of Thrombogenicity in Atrial Fibrillation. J. Clin. Lab. Anal. 2017, 31, 22120. [Google Scholar] [CrossRef]
- Clementy, N.; Benhenda, N.; Piver, E.; Pierre, B.; Bernard, A.; Fauchier, L.; Pages, J.-C.; Babuty, D. Serum Galectin-3 Levels Predict Recurrences after Ablation of Atrial Fibrillation. Sci. Rep. 2016, 6, 34357. [Google Scholar] [CrossRef]
- Lippi, G.; Cervellin, G.; Sanchis-Gomar, F. Galectin-3 in Atrial Fibrillation: Simple Bystander, Player or Both? Clin. Biochem. 2015, 48, 818–822. [Google Scholar] [CrossRef] [PubMed]
- Oz, F.; Onur, I.; Elitok, A.; Ademoglu, E.; Altun, I.; Bilge, A.K.; Adalet, K. Galectin-3 Correlates with Arrhythmogenic Right Ventricular Cardiomyopathy and Predicts the Risk of Ventricular arrhythmias in Patients with Implantable Defibrillators. Acta Cardiol. 2017, 72, 453–459. [Google Scholar] [CrossRef]
- Coburn, E.; Frishman, W. Comprehensive Review of the Prognostic Value of Galectin-3 in Heart Failure. Cardiol. Rev. 2014, 22, 171–175. [Google Scholar] [CrossRef] [PubMed]
- Schmitt, V.H.; Prochaska, J.H.; Föll, A.S.; Schulz, A.; Keller, K.; Hahad, O.; Koeck, T.; Tröbs, S.-O.; Rapp, S.; Beutel, M.; et al. Galectin-3 for Prediction of Cardiac Function Compared to NT-proBNP in Individuals with Prediabetes and Type 2 Diabetes Mellitus. Sci. Rep. 2021, 11, 19012. [Google Scholar] [CrossRef]
- Pietrzak, R.; Książczyk, T.M.; Górska, E.; Małek, Ł.A.; Werner, B. Evaluation of Galectin-3 Plasma Concentration in Adolescents with Ventricular Arrhythmia. IJERPH 2021, 18, 2410. [Google Scholar] [CrossRef]
- Du, X.; Zhao, W.; Nguyen, M.; Lu, Q.; Kiriazis, H. β-Adrenoceptor Activation Affects Galectin-3 as a Biomarker and Therapeutic Target in Heart Disease. Br. J. Pharmacol. 2019, 176, 2449–2464. [Google Scholar] [CrossRef]



| Basic Characteristics | Study Group (n = 30) | Control Group (n = 20) | p-Value |
|---|---|---|---|
| Gender (F/M) | 16/14 | 12/8 | n/a |
| Mean age (years) | 15.5 ± 1.9 | 15.8 ± 1.2 | >0.05 |
| BP syst (mmHg) | 117.5 ± 10.4 | 120.5 ± 14.5 | >0.05 |
| BP diast (mmHg) | 64.9 ± 8.0 | 62.6 ± 0.6 | >0.05 |
| Sat O2 (%) | 98.3 ± 0.7 | 98.4 ± 1.1 | >0.05 |
| Blood Laboratory tests | |||
| CK-MB (U/L) | 14.1 ± 5.3 | 12.1 ± 5.8 | >0.05 |
| WBC (103 u/L) | 6.49 ± 1.83 | 6.88 ± 2.08 | >0.05 |
| RBC (106 u/L) | 4.88 ± 0.45 | 4.80 ± 0.47 | >0.05 |
| HGB (g/dL) | 13.08 ± 1.31 | 14.0 ± 1.25 | >0.05 |
| HCT (%) | 41.5 ± 2.7 | 41.1 ± 3.8 | >0.05 |
| TSH (mL U/L) | 2.43 ± 1.05 | 2.36 ± 1.27 | >0.05 |
| FT4 (ng/dL) | 1.3 ± 0.18 | 1.4 ± 0.39 | >0.05 |
| Echocardiography parameters | |||
| LVIDD (mm) | 48.7 ± 4.5 | 48.5 ± 3.1 | >0.05 |
| LVIDS (mm) | 31.7 ± 13.7 | 28.8 ± 3.3 | >0.05 |
| LV-EF (%) | 68.7 ± 7.9 | 69.9 ± 5.9 | >0.05 |
| LV-SF (%) | 40.7 ± 6.1 | 39.9 ± 4.9 | >0.05 |
| Exercise test | |||
| Stress test (gr) | 3.7 ± 0.6 | 3.8 ± 0.5 | >0.05 |
| METS | 11.2 ± 1.1 | 11.4 ± 0.73 | >0.05 |
| 24 h Holter ECG findings | Study group (n = 30) | Control group (n = 20) | p-Value |
| Number of QRS complexes/24 h | 97.421 ± 1.534 | 98.089 ± 9.350 | >0.05 |
| Abnormal QRS mean (%); min-max | 5.1 (1–30) | 0 | |
| HR mean | 73.3 ± 0.9 | 72.7 ± 7.8 | >0.05 |
| HR max | 123.3 ± 18.8 | 126.0 ± 13.6 | >0.05 |
| HR min | 55.9 ± 1.3 | 52.7 ± 13.3 | >0.05 |
| NYHA scale, n | Study group (n = 30) | Control group (n = 20) | p Value |
| I | 22 | 18 | n/a |
| II | 8 | 2 | n/a |
| Medications, n(%) | Study group (n = 30) | Control group (n = 20) | p Value |
| Class I antiarrhythmics | 5 (16.7) | - | n/a |
| Class III antiarrhythmics | 1 (3.3) | - | n/a |
| β-blockers | 13 (43.4) | - | n/a |
| Calcium channel blockers | - | 1 (5) | n/a |
| ACEi/ARB | 1 (3.3) | 1 (5) | n/a |
| Magnesium+B6 | 15 (50) | - | n/a |
| Antidepressant SSRI | 1 (3.3) | - | n/a |
Disclaimer/Publisher’s Note: The statements, opinions and data contained in all publications are solely those of the individual author(s) and contributor(s) and not of MDPI and/or the editor(s). MDPI and/or the editor(s) disclaim responsibility for any injury to people or property resulting from any ideas, methods, instructions or products referred to in the content. |
© 2024 by the authors. Licensee MDPI, Basel, Switzerland. This article is an open access article distributed under the terms and conditions of the Creative Commons Attribution (CC BY) license (https://creativecommons.org/licenses/by/4.0/).
Share and Cite
Moric-Janiszewska, E.; Wawszczyk, J.; Morka, A.; Kapral, M. Usefulness of Galectin-3 as a Biochemical Marker to Detect Ventricular and Supraventricular Arrhythmias in Children. Curr. Issues Mol. Biol. 2024, 46, 11270-11281. https://doi.org/10.3390/cimb46100669
Moric-Janiszewska E, Wawszczyk J, Morka A, Kapral M. Usefulness of Galectin-3 as a Biochemical Marker to Detect Ventricular and Supraventricular Arrhythmias in Children. Current Issues in Molecular Biology. 2024; 46(10):11270-11281. https://doi.org/10.3390/cimb46100669
Chicago/Turabian StyleMoric-Janiszewska, Ewa, Joanna Wawszczyk, Aleksandra Morka, and Małgorzata Kapral. 2024. "Usefulness of Galectin-3 as a Biochemical Marker to Detect Ventricular and Supraventricular Arrhythmias in Children" Current Issues in Molecular Biology 46, no. 10: 11270-11281. https://doi.org/10.3390/cimb46100669
APA StyleMoric-Janiszewska, E., Wawszczyk, J., Morka, A., & Kapral, M. (2024). Usefulness of Galectin-3 as a Biochemical Marker to Detect Ventricular and Supraventricular Arrhythmias in Children. Current Issues in Molecular Biology, 46(10), 11270-11281. https://doi.org/10.3390/cimb46100669

