Abstract
Natural products are a boundless source for the development of pharmaceutical agents against a wide range of human diseases. Accordingly, naturally occurring aurones possess various biological benefits, such as anticancer, antioxidant, antimicrobial, antidiabetic, anti-inflammatory, antiviral and neuroprotective effects. In addition, various studies have revealed that aurones are potential templates for the regulation of diabetes mellitus and its associated complications. Likewise, certain aurones and their analogues have been found to be remarkable kinase inhibitors of DARK2, PPAR-γ, PTPM1, AGE, α-amylase and α-glucosidase, which represents a promising approach for the treatment of chronic metabolic disorders such as diabetes. Therefore, in our present study, we provide a detailed account of the advances in aurones as antidiabetic agents over the past decade.
1. Introduction
Among the world’s fastest-growing non-communicable diseases, diabetic mellitus (DM) is the foremost chronic metabolic disorder, threatening people’s lives and resulting in economic burden. According to a study by the International Diabetic Federation (IDF), approximately 552 million people might be suffering from diabetes worldwide by the year 2030 [1,2]. Blood glucose intolerance is the main reason for the chronic metabolic disorder called “diabetic mellitus”. The disorder can be classified into three categories: type-I DM is due to insufficient insulin secretion triggered by mechanical failure of the pancreas, and type-II DM occurs due to insulin resistance. Gestational and neonatal diabetes belong to the third category of DM [3,4]. In general, type-II DM is very common, and it is induced by lifestyle habits and hereditary factors [5]. Currently, various types of drugs, such as sulfonylureas, biguanides, thiazolidinediones, α-glucosidase inhibitors, meglitinides, GLP-1 mimetics, DPP-IV inhibitors, SGLT2 inhibitors, etc., are available to treat diabetes and associated mechanisms [6]. However, medicines currently in use have various moderate to lethal adverse effects, such as dehydration, diarrhea, constipation, bloating, nausea, gastrointestinal problems, kidney disease, respiratory tract infections, coronary artery diseases (CAD), dermatological problems, and injection site infections, etc. In addition, the number of people being diagnosed with diabetes is also increasing massively. Therefore, new therapeutic approaches and amplified drugs are needed to tackle this complex-patterned metabolic disorder.
In this regard, natural products are a prominent resource for modern drug discovery, having already provided a range of therapeutic drugs [7,8]. For instance, broad-spectrum antibiotics such as β-lactam, tetracycline, ciprofloxacin and erythromycin are still important clinical drugs of choice for various diseases today [9,10]. In addition, people are now aware of the role of natural antioxidants in the prevention of various non-communicable diseases and of their health promoting benefits [11,12]. Therefore, fruits and food beverages that are richer in polyphenolics such as anthocyanins, catechins, phenolic acids, flavonoids, stilbenes and resveratrols have strategic key roles in health promotion and disease prevention [12,13,14].
Interestingly, aurones [2-benzylidenebenzofuran-3(2H)-ones] are naturally occurring five-membered flavonoids with benzofuran class heterocycles having benzylidene moiety at C-2. In the last decade, they have been recognized as a template for diverse pharmacological activities (Figure 1), such as antioxidant, antimicrobial, antimalarial, antitumor, antidiabetic and neuroprotective capabilities [15]. Moreover, a recent study also summarized the potential for using aurone scaffolds as markers in the preventive and therapeutic mechanisms of various cancers [16]. Accordingly, aurone scaffolds exhibit a wide range of anticancer properties through various modes of action, such as adenosine receptor, cyclic dependent kinase, DNA scissoring, histone deacetylase, sirtuins, topoisomerase, tubulin, tyrosinase, TNFα, PEG2 and nitric oxide inhibitory mechanisms. However, there have been no significant comprehensive studies on the antidiabetic potentialities of aurones. Therefore, in the current study, we provide a focused account of advances in the use of aurones in the amelioration of glucose metabolisms and in antidiabetic drug development.
Figure 1.
Schematic representation of the source of aurones and their biological importance.
2. Occurrence and Distribution of Aurones
Aurones are the essential plant secondary metabolites of biologically stimulating natural products and are widely distributed in the flowers and fruits of various plants species. In addition to plant sources, aurones are also distributed in certain brown algae, bryophytes and gymnosperms class species [17,18]. Indeed, aurones occur in minute concentrations in natural sources and are therefore described as minor flavonoids that are not yet well explored. Principally, aurones act as a coloring agent, giving bright and attractive colors to flowers such as cosmos, snapdragons and some ornamental plants, etc. Therefore, aurones also play an important role in pollination, which gives them an essential role in crop production from an agricultural point of view [19]. Aurones are distributed in a limited number of genera, such as Asteraceae, Anacardiaceae, Cactaceae, Cyperaceae, Fabaceae, Gesneriaceae, Oxalidaceae, Moraceae, Plumbaginaceae, Rhamnaceae, Rosaceae, Rubiaceae and Scrophulariaceae, etc. [18,20]. Also, depending on their taxonomic importance in the plant kingdom, aurones may have various skeletal substitution patterns, as shown in Figure 2. Principally, aurones can be classified as 4-hydroxyaurones, 4-deoxyaurones, penylated aurones, glycosylated aurones, epimeric mixtures (aurones in bimers or trimers), etc. Interestingly, the Asteraceae species is rich in 4-deoxyaurones, for instance Sulfuretin, Sulfurein, Maritimetin, Maritimein, Leptosidin and Leptosin, etc. [18,21]. In addition, the flowers of the Asteraceae species are rich in aurone glycosides such as di-glucosides and acetylated aurone glucosides. In particular, the aurones isolated from the sunflower family or the Bidens genus interestingly showed hydroxylation in the 6-position (ring A) and the 3- and 4-positions (in ring B), but not in the 4-position of the aurone skeleton [20]. Moreover, the Moraceae species was rich in structurally distinct auronols, prenylated and geranylated aurones [22]. Interestingly, various aurone dimers such as flavanone-auronol, isoflavanone-auronol, deoxyauronol-auronol, auronol-auronol (biauronols) and other epimeric mixtures from the plant species Anacardiaceae and Rhamnaceae have also been reported [20]. Moreover, the 4-, 6-hydroxyl substitutions in the ring-A and the 4′, 3′-hydroxyl substitutions in the ring-B of aroune are most common and are related with the biosynthetic pathways. However, the skeletal substitutions of aurones depended on the biochemical reactions connected in the biosynthesis of aurones [23], which might vary by family and tropical subcontinent depending on seasonal temperatures.
Figure 2.
Common numbering of aurone rings and some interesting natural examples. Pink color represents benzofuran moiety and blue color represents benzylidene moiety.
3. Biosynthesis of Aurones
The occurrences of secondary metabolites, for example, polyphenols, alkaloids, terpenoids, steroids, polyketides, and so on are common in the plant kingdom. In particular, secondary metabolites which are produced in plants have diverse functions such as photoprotection, enzyme modulation, defense against pathogen invasion, reproductive persistence, symbiosis and other growth-regulating defenses mechanisms. However, polyphenols represent the largest family of plant secondary metabolites formed via biogenesis pathways and are generally involved in protection against disease mechanisms and photoprotection. The biosynthesis or biogenesis of aurones in plant kingdom can be comprehensively classified into two steps: the primary step involves the synthesis of 2′-hydroxychalcones from coumaryl-CoA, and the second step involves hydroxylation and oxidative cyclization of hydroxychalcones [24,25,26]. The biogenesis of chalcones was catalyzed by chalcone synthase (CHS) via the reaction between the acetate and shikimic acid, which has been well described in several reports [27,28]. Therefore, the present section discusses the biosynthesis of aurones from chalcones in the following mechanisms as described in Figure 3. Principally, aurone biosynthesis was catalyzed by two important enzymes such as chalcone hydroxylase (CHH) and aurone synthase (AUS) [24,25]. The homolog of plant polyphenol oxidase (PPO), chalcone 3-hydroxylase (CH3H) enzyme, catalyzes the addition of hydroxyl groups to the ortho-position to the existing hydroxyl group on ring-B, through oxidation prototyping [21]. Likewise, the second enzyme aurone synthase (AUS) plays a crucial role in the cyclization to form benzofuran skeleton [25], while the other enzyme chalcone 4′-glucosyl transferase (C4′GT) effectively catalyzes in the formation of glycosylated aurones in the plant kingdom. Therefore, the PPO plays a key role in the oxidation and existence of diverse substitutional pattern of aurones in plant sources.
Figure 3.
The biosynthetic approach of aurones from chalcones. Pink color represents benzofuran moiety and blue color represents benzylidene moiety.
4. Outline on the Concealed Pathways of Aurone Synthesis
In general, the isolation of natural products is a lengthy process and sometimes only very rare pure substances are obtained, so the structure elucidation is often insufficient. However, once the structure is confirmed, biological studies sometimes require more substance to conduct experiments and sometimes take years to establish their prominence. In such a case, medicinal chemistry is the promising avenue to synthesize and provide the desired natural compounds for clinical and therapeutic purposes without distressing the natural sources. Accordingly, the synthesis of aurones with grouped substituents worked with admittance to pharmaceutical and materials science applications. According to the literature, the highly selective synthesis of aurones can be basically divided into five synthetic routes based on the starting materials.
4.1. Route 1: Condensation of Benzofuran-3(2H)-one
This is the simplest approach to obtain aurones from easily accessible starting materials such as benzofuran-3-one 16 and aldehydes 17 (Scheme 1). Lunven et al. [29] prepared a series of aurones 18 in 17–85% yields using a base (K2CO3)-mediated condensation of benzofuran-3-one with various aldehydes. Later, Schmitt and Handy [30] also prepared several aurones in 40–83% yields using neutral alumina-mediated Knoevenagel condensation of benzofuran-3-one 16 with various aldehydes 17. Likewise, Taylor et al. [31] proposed a rapid synthesis of aurones using a eutectic solvent under microwave irradiation (MWI) for 30 min, resulting in 17–96% yields.
Scheme 1.
Synthesis of aurones; Reagents and conditions: (i) KOH (50 mol%), alcohol, reflux; (ii) neutral alumina, DCM (dry), N2, rt, overnight; (iii) Choline chloride, urea, MWI, 30 min. Pink color represents benzofuran moiety and blue color represents benzylidene moiety.
4.2. Route 2: Annulation of Ortho-Iodophenol
The second synthetic approach to aurones is the Pd-catalyzed regioselective coupling of o-iodophenols 19 with terminal alkynes 20 (Scheme 2) under a carbonylation source. As such, Qi and co-workers [32] reported a palladium-catalyzed synthesis of aurones 21 in 51–82% yields via an innovative carbonylation approach using formic acid as the CO source and acetic anhydride as the additive. Later, Xi et al. [33] proposed another palladium-catalyzed regioselective carbonylation reaction under Et3N, which provided aurones 21 in good to excellent yields (72–93%).
Scheme 2.
Synthesis of aurones; reagents and conditions: (i) Pd(PPh3)4 (3 mol%), Et3N, HCOOH, Me2CO, PhMe, 80 °C; (ii) Pd(OAc)2 (5 mol%), dppf (10 mol%), Et3N, CO, THF, 50 °C, 24 h. Pink color represents benzofuran moiety and blue color represents benzylidene moiety.
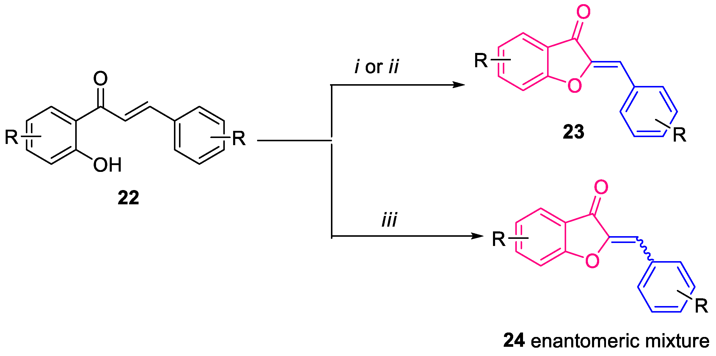
4.3. Route 3: Cyclization of Chalcones
This approach is similar to the biosynthesis of aurones, in which 2′-hydroxychalcones undergo dehydrogenative cyclization on exposure with oxidative agents (Scheme 3). In 2006, Agrawal and Soni [34] first proposed a convenient method for the synthesis of aurones 23 excellent yields (77–85%) via the oxidation of 2′-hydroxychalcones 22 in presence of mercury(II) acetate in pyridine under refluxed conditions for 10–15 min. Subsequently, the same research group also proposed a second oxidation method, which also succeeded in oxidizing chalcone 22 to aurones 23 in 70–80% yields by using a catalytic amount of copper(II) bromide in DMSO under refluxed conditions for 60–90 min. Later, Yatabe and co-workers [35] also developed another oxidation procedure for cyclization of chalcones to aurones 24 in 16–80% yields with <99% enantiomeric selectivity by using the heterogeneous nano-catalyst Pd-Au-supported CeO2.
Scheme 3.
Synthesis of aurones; reagents and conditions: (i) Hg(OAc)2, Py, reflux, 10–15 min; (ii) CuBr2, DMSO, 60–90 min; (iii) Pd-Au/CeO2, BuOAc (2 mL), open air (1 atm), 100 °C, 24–50 h. Pink color represents benzofuran moiety and blue color represents benzylidene moiety.
4.4. Route 4: Intramolecular Rearrangement of Oxiranes
In this approach, oxiranes were initially prepared by the oxidation of chalcones using H2O2 (30%). Further, a copper-catalyzed tandem intramolecular ring-opening of oxiranes 25 followed by Ullman coupling [36] provided various stereoselective (Z)-aurones 26 in moderate to good yields (57–84%) (Scheme 4). Certainly, this is the best one-pot tandem intramolecular stereoselective approach to attain desired natural aurone analogues from inexpensive starting materials.
Scheme 4.
Synthesis of aurones; (i) CuI (10 mol%), 1,10-phenanthroline (20 mol%), Cs2CO3, DMF, 105 °C, N2. Pink color represents benzofuran moiety and blue color represents benzylidene moiety.
4.5. Route 5: Ring Contraction of Flavones
This approach enables the synthesis of hydride aurone analogues as aspects of heterocycles-assimilated aurones for the design and development of new therapeutic agents (Scheme 5). Initially, Kandioller et al. [37] proposed a ring-contraction reaction by treating 3-tosylflavones 27 with (1′-alkyl)amines to obtain the corresponding regiomeric mixture of E/Z 2′-alkylamino aurones 28 in 81–93% yields. Interestingly, upon further treatment with Lawesson’s reagent, the alkylamino-substituted aurones gave exclusively the stereoselective E-isomers of 3(2H)-thiaurones 29 in 88% yield. Likewise, Praveen and Ahmed [38] proposed a convenient approach to stereospecific E-aminated aurones 30 in 61–83% yields via the sequential aza-Michael addition, ring opening and subsequent ring-closing approach. This method is very facile as the 3-bromoflavones 27 provided the desired E-aminated aurones 30 upon treatment with amines or N-phenylurea in the presence of KOtBu and CuI in DMF under mild conditions.
Scheme 5.
Synthesis of aurones; (i) THF, rt, 24 h; (ii) KOtBu, CuI (5 mol%), DMF, 25 °C, 20–30 min. Pink color represents benzofuran moiety and blue color represents benzylidene moiety.
5. Antidiabetic Potentialities of Aurones
Aurones are the most interesting secondary metabolites of plants, since they possess diverse pharmacological activities due to structurally distinctive substitutions and possible skeletal modifications via approaches of medicinal chemistry [39]. Certainly, aurones are specific templates with compelling antioxidant potential, as the polyhydroxy substitution pattern and the conjugated benzylidene moiety play crucial roles in shielding free radicals through H-atom donor and electron-transfer mechanisms [40,41]. Hence, aurones also play a crucial role in the prevention and diagnosis of the multiple pathogenesis of various diseases such as cancers, diabetes, inflammation and neurodegenerative disorders, etc. [40]. In fact, very few studies have been reported on the prospective of aurones as antidiabetic drug developments. Consequently, the prominence of aurones and their key role in the prevention and treatment of diabetes mellitus have been summarized in this section.
Accordingly, the intention of diabetes mellitus and the associated molecular mechanism can be classified broadly into two pathways: (i) non-enzymatic pathway and (ii) enzymatic pathway. Extensive studies are currently being conducted on the enzymatic catalysis pathways and their prevention of diabetes mellitus [42,43]. Among them, the inhibitors of α-glucosidase, aldose reductase (ALR2), diacylglycerol acyltransferase (DGAT), protein tyrosine phosphatase localized to mitochondrion 1 (PTPM1), peroxisome proliferator-activated receptor gamma (PPARγ), DRAK2 and advanced glycation end products (AGE) are excessively studied enzymatic mechanisms of diabetes [42]. Excitingly, the anural aurone, i.e., sulfuretin 3, showed broad-spectrum antidiabetic results through various pathways (Table 1, Figure 4). As such, a study has revealed that sulfuretin 3 showed significant ALR2 activity with identical IC50 1.3 µM compared to the standard drug Epalrestat [44]. Further, the study also disclosed that sulfuretin plays a crucial role in inhibiting AGE formation, with an IC50 124.7 µM, which is 10-fold lower than that of the reference aminoguanidine (1231.0 µM). Another study found that sulfuretin 3 had a potential antidiabetic strategy of suppressing the molecular mechanisms of NF-κB, which is also beneficial in preventing to damage of pancreatic β-cells [45]. Likewise, another study also disclosed that sulferetin 3 is useful as an antidiabetic agent due to its ability to quench Maillard reactions, a non-enzymatic reaction of glucose with protein to form reversible Schiff’s base adducts [46,47].
Figure 4.
Natural aurones as antidiabetic lead agents. Pink color represents benzofuran moiety and blue color represents benzylidene moiety.
In 2019, Zhu and co-workers [48] reported structurally interesting C-prenylated aurones 31 and 32 from the seed extract of Psoralea corylifolia. Subsequently, an in vitro enzyme inhibitory evaluation of plant metabolites was performed against diabetes targets such as diacylglycerol acyltransferase (DGAT), protein tyrosine phosphatase 1B (PTP1B) and α-glucosidase [48]. The aurone 31 showed remarkable antidiabetic activities against PTP1B (IC50 11.3 µM) and DGAT (IC50 35.2 µM). While the aurones 31 and 32 displayed prominent α-glucosidase enzyme inhibitory activities (Table 1, Figure 4) such as IC50 73.8 and 62.1 µM, respectively.
In 2021, Chen and co-workers [49] isolated a C-prenylated aurone 33 from the stems of Acanthopanax senticosus. The subsequent in vitro α-glucosidase inhibitory study disclosed that compound 33 was beneficial as prominent antidiabetic agent with IC50 64.1 µM as compared to the standard acarbose (IC50 214.5 µM). A recent study [50] also revealed another interesting aurone glycoside 34 (Figure 4) from Saussurea involucrate and showed potent inhibitory activities against α-glucosidase enzyme with IC50 47.1 µM compared to the standard acarbose.
In addition, Mai and co-workers [51] isolated three structurally interesting C-geranylated aurones 35–37 (Figure 5) from the leaves of Artocarpus altilis. Subsequent antidiabetic bioactivity experiments revealed that the geranylated aurones 35–37 presented potent α-glucosidase inhibitory concentrations IC50 of 4.9 µM, 5.4 µM and 5.1 µM, respectively, than the standard acarbose (241.8 µM). Therefore, these natural aurones could be beneficial for the development of principal clinical antidiabetic agents; however, in vivo experimental studies and drug toxicity of aurones are still needed.
Figure 5.
Natural geranylated aurones as antidiabetic lead agents. Pink color represents benzofuran moiety and blue color represents benzylidene moiety.
In the same way, Wang et al. [52] investigated a series of synthetic aurones as target of death-associated protein kinase-related apoptosis-inducing kinase-2 (DARK2) inhibitors. In a preliminary examination of the study revealed that the aurone 38 displayed significant DARK2 inhibition with an IC50 of 3.15 µM. Subsequently, quantified structure–activity relationship study results concealed that the aurones 39 and 40 (Figure 6) displayed superior activities with IC50 0.33 µM and 0.25 µM in a dose-dependent manner and might be beneficial for antidiabetic therapeutic agents to protect islet β-cells from apoptosis.
Figure 6.
Synthesized aurones as antidiabetic lead agents. Pink color represents benzofuran moiety and blue color represents benzylidene moiety.
Further, Sun and co-workers [53] proposed a series of 6-hydroxyaurones as target for the development of new α-glucosidase enzyme inhibitors. The results of inhibitory kinetics and molecular docking studies revealed that the aurone 41 was a potent α-glucosidase inhibitor with an IC50 30.94 µM than standard acarbose (IC50 50.30 µM). Interestingly, the compound 41 exhibited an identical glucose consumption-promoting activity in HepG2 cells at 1 µM as like metformin.
Also, mitoNEET is a 2Fe-2S cluster membrane protein and a key regulator of mitochondrial functions in various metabolic diseases such as cancers and obesity, etc. [54]. Also, the potent antidiabetic drugs such as rosiglitazone and pioglitazone were found to be effective mitoNEET binders, and hence, the protein mitoNEET was considered as diabetic target. Accordingly, a rationalized identification study of the mitoNEET inhibitor of mitochondrial protein revealed that aurone 42 (Figure 6) exhibited potent binding affinity Ki 6nM with mitoNEET [55].
Later, Roshanzamir and co-authors [56] proposed a structure-optimized study of a series of aurones to evaluate their in vitro and in silico biological activities against porcine pancreatic α-amylase (PPA). Accordingly, the study revealed that the hydroxyl groups on both phenyl rings of the aurone are crucial for the formation of hydrogen bonding interactions with the catalytic residues of the binding target and for their increased inhibitory activities. Also, the aurone (43) with 4,6-dihyroxybenzofuranone and a 4′-hydroxyl group on the benzylidene (Figure 7) showed important binding interactions with amino acid residues in the active sites of the target PPA. Therefore, the aurone 43 showed an interesting in vitro enzyme inhibitory IC50 40.25 µM of PPA activity (Table 1) and could be beneficial as a leading drug template for future developments of anti-diabetic drugs. In addition, a recent study [57] also reflected a series of synthesized phenylureidoaurones as targets for the development of effective anti-diabetic therapeutic agents. Consequently, the conducted enzyme inhibitory and computational study identified two phenylureidoaurones 44 and 45 (Figure 7) with strategic anti-diabetic results. The aurone 44 demonstrated principal inhibitory activity on α-amylase with an IC50 142.0 µM, and a moderate α-glucosidase inhibition IC50 292.7µM compared to standard acarbose. However, the bis-phenylureido aurone 45 showed the highest α-glucosidase inhibition with an IC50 of 6.6 µM and could be beneficial for the development of lead anti-diabetic drugs.
Figure 7.
Synthesized aurones as antidiabetic lead agents. Pink color represents benzofuran moiety and blue color represents benzylidene moiety.
Table 1.
Summary of aurones and analogue aurones listed as antidiabetic lead agents.
Table 1.
Summary of aurones and analogue aurones listed as antidiabetic lead agents.
| Compound | Antidiabetic Target | IC50 | Ref. |
|---|---|---|---|
| Natural aurones | |||
| Sulfuretin (3) | ALR2 | 1.3 µM | [44] |
| AGE | 124.7 µM | [44] | |
| NF-κB | - | [45] | |
| Millard reaction (non-enzyme) inhibitor | - | [46] | |
| (Z)-6-Hydroxy-2-(4-hydroxybenzylidene)-7-(3-methylbut-2-en-1-yl)benzofuran-3(2H)-one (31) | PTP1B | 11.3 µM | [48] |
| DGAT | 35.2 µM | ||
| α-glucosidase | 73.8 µM | ||
| (R,Z)-2-(3,4-Dihydroxybenzylidene)-7-(2-hydroxypropan-2-yl)-7,8-dihydro-2H-indeno[4,5-b]furan-3(6H)-one (32) | α-glucosidase | 62.1 µM | [48] |
| (2Z)-2-[(4′-Hydroxy-3′-methoxyphenyl) methylene]-6-methoxy-7-prenyl-3(2H)-benzofurane (33) | α-glucosidase | 64.1 µM | [49] |
| Licoagroaurone-6-O-α-L-arabinopyranoside (34) | α-glucosidase | 47.1 µM | [50] |
| Altilisin H (35) | α-glucosidase | 4.9 µM | [51] |
| Altilisin I (36) | α-glucosidase | 5.4 µM | [51] |
| Altilisin J (37) | α-glucosidase | 5.1 µM | [51] |
| Synthetic aurones | |||
| (Z)-2-(3,4-Dihydroxybenzylidene)benzofuran-3(2H)-one (38) | DARK2 | 3.15 µM | [52] |
| (Z)-2-(3-Ethoxy-4-hydroxybenzylidene)-5-methoxybenzofuran-3(2H)-one (39) | DARK2 | 0.33 µM | [52] |
| (Z)-2-(3,4-Dihydroxybenzylidene)-5-methoxybenzofuran-3(2H)-one (40) | DARK2 | 0.25 µM | [52] |
| (Z)-2-Benzylidene-5-(4-fluorophenyl)-6-hydroxybenzofuran-3(2H)-one (41) | α-glucosidase | 30.94 nM | [53] |
| (Z)-6-Hydroxy-2-(2-hydroxybenzylidene)benzofuran-3(2H)-one (42) | mitoNEET | 0.62 nM | [55] |
| (Z)-4,6-dihydroxy-2-(4-hydroxy-3-methoxybenzylidene)benzofuran-3(2H)-one (43) | PPA | 40.25 µM | [56] |
| (Z)-1-(4-((5-methyl-3-oxobenzofuran-2(3H)-ylidene)methyl)phenyl)-3-phenylurea (44) | α-glucosidase | 292.7 µM | [57] |
| (Z)-1-(4-((5-(3-Phenylureido)-3-oxobenzofuran-2(3H)-ylidene)methyl)phenyl)-3-phenylurea (45) | α-amylase | 142.0 µM | [57] |
| α-glucosidase | 6.6 µM | [57] | |
| (Z)-6-(2-benzylidene-4,6-dihydroxy-3-oxo-2,3-dihydrobenzofuran-7-yl)-7-methoxy-2H-chromen-2-one (46) | α-glucosidase | 3.55 µM | [58] |
| α-amylase | 10.97 µM | [58] | |
| Analogue aurones | |||
| (Z)-4-(5-((3-oxobenzo[b]thiophen-2(3H)-ylidene)methyl)furan-2-yl)benzoic acid (47) | PTPM1 | 11.8 µM | [59] |
| (E)-5,6-dimethoxy-2-(2-(2-(thiophen-2-yl)ethoxy) benzylidene)-2,3-dihydro-1H-inden-1-one (48) | PPAR-γ | 0.61 µM | [60] |
| (E)-2-(4-(2-(5-ethylpyridin-2-yl)ethoxy)benzylidene)-5,6-dimethoxy-2,3-dihydro-1H-inden-1-one (49) | PPAR-γ | 1.20 µM | [60] |
In addition, Sun and co-workers [58] also considered four series of natural coumarin, i.e., umbelliferon integrated synthesized hybrids, as targets for the development of novel antidiabetic agents. As a result of the in vitro enzyme inhibitory studies and its kinetic analysis, the coumarin–aurone hybrid 46 was found to have strategic α-amylase and α-glucosidase inhibition activities with IC50 10.97 and 3.55 µM, respectively. Moreover, the coumarin–aurone hybrid 46 presented both α-glucosidase and α-amylase equally as the standard acarbose drug and also exhibited HepG2 cell-based glucose consumption-promoting activity in insulin and non-insulin resistant models. Therefore, this dual-pharmacophore-based scaffold 46 could be beneficial for drug developments to tackle the complex pattern disorders such as diabetes mellitus.
Owing to the significant antidiabetic activities of natural aurones, some examples of aurone analogues have also been identified as targets of inhibitory agents via in silico and synthetic approaches. Accordingly, Park et al. [59] reported a quantified in silico study to identify protein tyrosine phosphatase mitochondrial 1 (PTPM1) inhibitors for the treatment of type II diabetes. The computational screening of inhibitors of human PTPM1 conceals that an analogue aroune 47 (Figure 8) exhibited potent IC50 11.8 µM concentrations, and further clinical experimental studies are needed to establish its therapeutic potency. In addition, Chaturvedi and co-workers [60] reported various series of synthetic analogues as a target for the development of effective antidiabetic lead agents. Accordingly, the in vitro inhibitory and molecular docking studies showed that the analogue of aurones 48 and 49 exhibited strong IC50 0.62 µM and 1.20 µM concentrations, respectively, against peroxisome proliferator-activated receptor-γ (PPAR-γ).
Figure 8.
Analogue aurones as anti-diabetic lead agents. Pink color represents benzofuran moiety and blue color represents benzylidene moiety.
Glycosidase Activity of Aurones
Glycosidase enzymes are important for the catalytic mechanisms of hydrolysis of glycosidic bonds of polysaccharides. To date, more than 50 families of glucosidases have been compiled in the literature based on amino-acid sequences [61,62]. However, based on the catalytic activity, glycosidases can be categorized into (i) endo-glycosidase that hydrolyze the internal glycosidic bonds of oligosaccharides and the other (ii) exo-glycosidases that hydrolyze a single monosaccharide (at control rates) from the non-reducing terminus of the oligosaccharide [61]. Glycosidases are particularly degradative enzymes for the digestion of extracellular carbohydrates into monosaccharides. Moreover, glycosidase also accomplish another important degradative intracellular function, namely the catabolism of polysaccharides, as a physiological function of the energy source [62]. Therefore, glycosides are responsible for both extracellular and intracellular activities and are necessary for carbohydrate and glycoprotein degradation.
Interestingly, a recent study [63] revealed that aurone showed significant glycosidase activity in their in vitro enzymetic model experiments. Accordingly, an analogue aurone uridine diphosphate glycosyltransferase (OsUGT1) was isolated from the medicinal plant, Ornithogalum saundersiae, and prepared as a biocatalyst for the glycosylation reaction. Later, a representative aurone sulfuretin was subjected to glycosylation with the sugar donor UDP-O-glucose in the presence of catalyst OsUGT1, as characterized in Figure 9. Subsequently, through purification and characterization, it was found that the glycosylation reaction yields three regioselective monoglycosides such as sulfuretin 3′-O-glucoside (50), sulfuretin 4′-O-glucoside (51) and sulfuretin 6-O-glucoside (4). Further, the catalytic glycosidase ability of OsUGT1 was reexamined through a transglycosylation approach using an alternative ortho-nitrophenyl-β-O-glucoside (oNP-β-Glc). Accordingly, intermolecular transglycosylation between sulfuretin and oNP-β-Glc afforded the corresponding monoglycosides (50 and 51) and deglucosylated O-nitrophenol (oNP). Overall, the study reveals the biocatalytic application of OsUGT1 and the biosynthesis of aurone glucosides.
Figure 9.
The biocatalytic (OsUGT1) glycosylation and transglycosylation pattern of aurones. Pink color represents benzofuran moiety and blue color represents benzylidene moiety.
Indeed, glycosidase activity and anti-diabetic activity are two different parameters, but aurone scaffolds showed interesting results in both studies. The authors of the current study hypothesize that the aurone may be beneficial in delaying glucose digestion since; as discussed above, aurones readily bind glucose and forms aurone glycosides via enzymatic biosynthetic pathways, while in the currently practiced anti-diabetic diagnosis tactics, delayed glucose digestion is one of the key processes of blood glucose tolerance. Therefore, concurrent antidiabetic studies of aurones are required for their capabilities in delayed sugar digestion experiments.
6. Conclusions and Future Perspectives
In summary, aurone is an interesting and skillful template for diverse biological activities and potential materials science applications. Additionally, various studies have shown that aurones play a strategic physiological role in the inhibition and prevention of tumors and certain types of cancers. Equally, plant aurones act as proficient anti-oxidants as they are rich in poly-hydroxylated and active-benzylidene moieties which play a crucial role in shielding exogenous and endogenous free-radicals. Therefore, the persuasive antioxidant properties of aurones could be helpful in retarding the metabolic pathways of diabetes mellitus. In addition, the studies summarized above on the anti-diabetic potentialities of aurones and their analogues also showed promising results on impaired glucose amelioration and inhibition of the various diabetic molecular signaling pathways. In particular, sulfuretin 3 showed promising antidiabetic activities through targeting various chronic metabolic signaling pathways. In addition, the C-gernalylated aurones, i.e., Altilisin H-I (35–37), showed significant α-glucosidase inhibition IC50 4.9–5.4 µM and could be valuable for the development of antidiabetic drug leads. Accordingly, aurones are considered as key scaffolds in delaying glucose digestion and absorption and are the most important antidiabetic approach in postprandial hyperglycemia. Sequentially, the aurones with potential α-glucosidase inhibitors are also constructively effective in inhibiting or preventing various metabolic diseases such as cancers, viral diseases, etc. However, today there is only very limited clinical evidence on antidiabetic studies of aurones, which are also exclusively based on cell-based studies. Further imminent studies are required to develop effective anti-diabetic aurones and to address this complex-patterned metabolic disorder. Considering this, the current review could be useful as a template for future design and development of biologically important aurones.
Author Contributions
Conceptualization, G.V.Z., A.M. (Adinath Majee) and S.S.; data curation, R.A., A.M. (Anindita Mukherjee), A.M. (Adinath Majee) and S.S.; writing—original draft preparation, R.A., A.M. (Anindita Mukherjee) and S.S.; writing—review and editing, R.A., G.V.Z., A.M. (Adinath Majee) and S.S.; supervision, G.V.Z. and S.S.; project administration, G.V.Z. and S.S.; funding acquisition, G.V.Z. and S.S. All authors have read and agreed to the published version of the manuscript.
Funding
This research was funded by the Ministry of Science and Higher Education of the Russian Federation (Ural Federal University Program of Development within the Priority-2030 Program).
Institutional Review Board Statement
Not applicable.
Informed Consent Statement
Not applicable.
Data Availability Statement
No new data were created or analyzed in this study. Data sharing is not applicable to this article.
Conflicts of Interest
The authors declare no conflict of interest.
References
- Punjot, P.; Bishnoi, R.; Kant, R.; Sharma, S.K. Factors associated with peripheral neuropathy among patients with type 2 diabetes mellitus: A cross-sectional study. J. Cardio-Diabetes Metab. Disord. 2021, 1, 25–30. [Google Scholar]
- Schwandt, P. On the occasion of the world diabetes day: Diabetes mellitus–a globally increasing health problem. Int. J. Prev. Med. 2012, 3, 747–748. [Google Scholar] [PubMed]
- Dahlén, A.D.; Dashi, G.; Maslov, I.; Attwood, M.M.; Jonsson, J.; Trukhan, V.; Schiöth, H.B. Trends in antidiabetic drug discovery: FDA approved drugs, new drugs in clinical trials and global sales. Front. Pharmacol. 2022, 12, 807548. [Google Scholar] [CrossRef]
- Rammohan, A.; Bhaskar, B.V.; Venkateswarlu, N.; Gu, W.; Zyryanov, G.V. Design, synthesis, docking and biological evaluation of chalcones as promising antidiabetic agents. Bioorg. Chem. 2020, 95, 103527. [Google Scholar] [CrossRef] [PubMed]
- Galicia-Garcia, U.; Benito-Vicente, A.; Jebari, S.; Larrea-Sebal, A.; Siddiqi, H.; Uribe, K.B.; Ostolaza, H.; Martín, C. Pathophysiology of type 2 diabetes mellitus. Int. J. Mol. Sci. 2020, 21, 6275. [Google Scholar] [CrossRef]
- Zeng, Z.; Huang, S.Y.; Sun, T. Pharmacogenomic studies of current antidiabetic agents and potential new drug targets for precision medicine of diabetes. Diabetes Ther. 2020, 11, 2521–2538. [Google Scholar] [CrossRef]
- Chandrashekhar, M.; Nayak, V.L.; Ramakrishna, S.; Mallavadhani, U.V. Novel triazole hybrids of myrrhanone C, a natural polypodane triterpene: Synthesis, cytotoxic activity and cell based studies. Eur. J. Med. Chem. 2016, 114, 293–307. [Google Scholar] [CrossRef]
- Madasu, C.; Gudem, S.; Sistla, R.; Uppuluri, V.M. Synthesis and anti-inflammatory activity of some novel pyrimidine hybrids of myrrhanone A, a bicyclic triterpene of Commiphora mukul gum resin. Monatsh. Chem. 2017, 148, 2183–2193. [Google Scholar] [CrossRef]
- Rossiter, S.E.; Fletcher, M.H.; Wuest, W.M. Natural products as platforms to overcome antibiotic resistance. Chem. Rev. 2017, 117, 12415–12474. [Google Scholar] [CrossRef]
- Atanasov, A.G.; Zotchev, S.B.; Dirsch, V.M.; Supuran, C.T. Natural products in drug discovery: Advances and opportunities. Nat. Rev. Drug Discov. 2021, 20, 200–216. [Google Scholar] [CrossRef]
- Ayoka, T.O.; Ezema, B.O.; Eze, C.N.; Nnadi, C.O. Antioxidants for the Prevention and Treatment of Non-communicable Diseases. J. Explor. Res. Pharmacol. 2022, 7, 178–188. [Google Scholar] [CrossRef]
- Rammohan, A.; Zyryanov, G.V.; Bhagath, Y.B.; Manjula, K. Antioxidants: Structure-activity of plant polyphenolics. Vitam. Horm. 2023, 121, 395–411. [Google Scholar]
- Grosso, G. Dietary antioxidants and prevention of non-communicable diseases. Antioxidants 2018, 7, 94. [Google Scholar] [CrossRef] [PubMed]
- Bhaskar, B.V.; Rammohan, A.; Babu, T.M.; Zheng, G.Y.; Chen, W.; Rajendra, W.; Zyryanov, G.V.; Gu, W. Molecular insight into isoform specific inhibition of PI3K-α and PKC-η with dietary agents through an ensemble pharmacophore and docking studies. Sci. Rep. 2021, 11, 12150. [Google Scholar] [CrossRef] [PubMed]
- Sui, G.; Li, T.; Zhang, B.; Wang, R.; Hao, H.; Zhou, W. Recent advances on synthesis and biological activities of aurones. Bioorg. Med. Chem. 2021, 29, 115895. [Google Scholar] [CrossRef] [PubMed]
- Alsayari, A.; Muhsinah, A.B.; Hassan, M.Z.; Ahsan, M.J.; Alshehri, J.A.; Begum, N. Aurone: A biologically attractive scaffold as anticancer agent. Eur. J. Med. Chem. 2019, 166, 417–431. [Google Scholar] [CrossRef]
- Mander, L.; Liu, H.W. Comprehensive Natural Products II: Chemistry and Biology; Elsevier: Amsterdam, The Netherlands, 2010; Volume 1. [Google Scholar]
- Harborne, J.B. Comparative biochemistry of flavonoids—I: Distribution of chalcone and aurone pigments in plants. Phytochemistry 1966, 5, 111–115. [Google Scholar] [CrossRef]
- Mazziotti, I.; Petrarolo, G.; La Motta, C. Aurones: A golden resource for active compounds. Molecules 2021, 27, 2. [Google Scholar] [CrossRef]
- Boucherle, B.; Peuchmaur, M.; Boumendjel, A.; Haudecoeur, R. Occurrences, biosynthesis and properties of aurones as high-end evolutionary products. Phytochemistry 2017, 142, 92–111. [Google Scholar] [CrossRef]
- Miosic, S.; Knop, K.; Hölscher, D.; Greiner, J.; Gosch, C.; Thill, J.; Kai, M.; Shrestha, B.K.; Schneider, B.; Crecelius, A.C.; et al. 4-Deoxyaurone formation in Bidens ferulifolia (Jacq.) DC. PLoS ONE 2013, 8, e61766. [Google Scholar] [CrossRef]
- Wang, Y.; Liang, H.; Zhang, Q.; Cheng, W.; Yi, S. Phytochemical and chemotaxonomic study on Ficus tsiangii Merr. ex Corner. Biochem. Syst. Ecol. 2014, 57, 210–215. [Google Scholar] [CrossRef]
- Lazinski, L.M.; Royal, G.; Robin, M.; Maresca, M.; Haudecoeur, R. Bioactive Aurones, Indanones, and Other Hemiindigoid Scaffolds: Medicinal Chemistry and Photopharmacology Perspectives. J. Med. Chem. 2022, 65, 12594–12625. [Google Scholar] [CrossRef] [PubMed]
- Nakayama, T.; Yonekura-Sakakibara, K.; Sato, T.; Kikuchi, S.; Fukui, Y.; Fukuchi-Mizutani, M.; Ueda, T.; Nakao, M.; Tanaka, Y.; Kusumi, T.; et al. Aureusidin synthase: A polyphenol oxidase homolog responsible for flower coloration. Science 2000, 290, 1163–1166. [Google Scholar] [CrossRef] [PubMed]
- Nakayama, T.; Sato, T.; Fukui, Y.; Yonekura-Sakakibara, K.; Hayashi, H.; Tanaka, Y.; Kusumi, T.; Nishino, T. Specificity analysis and mechanism of aurone synthesis catalyzed by aureusidin synthase, a polyphenol oxidase homolog responsible for flower coloration. FEBS Lett. 2001, 499, 107–111. [Google Scholar] [CrossRef]
- Hoshino, A.; Mizuno, T.; Shimizu, K.; Mori, S.; Fukada-Tanaka, S.; Furukawa, K.; Ishiguro, K.; Tanaka, Y.; Iida, S. Generation of yellow flowers of the Japanese morning glory by engineering its flavonoid biosynthetic pathway toward aurones. Plant Cell Physiol. 2019, 60, 1871–1879. [Google Scholar] [CrossRef]
- Markham, K.R.; Andersen, O.M. (Eds.) Flavonoids: Chemistry, Biochemistry, and Applications; CRC Press: Boca Raton, FL, USA, 2006. [Google Scholar]
- Rammohan, A.; Reddy, J.S.; Sravya, G.; Rao, C.N.; Zyryanov, G.V. Chalcone synthesis, properties and medicinal applications: A review. Environ. Chem. Lett. 2020, 18, 433–458. [Google Scholar] [CrossRef]
- Lunven, L.; Bonnet, H.; Yahiaoui, S.; Yi, W.; Da Costa, L.; Peuchmaur, M.; Boumendjel, A.; Chierici, S. Disruption of fibers from the Tau model AcPHF6 by naturally occurring aurones and synthetic analogues. ACS Chem. Neurosci. 2016, 7, 995–1003. [Google Scholar] [CrossRef]
- Schmitt, J.; Handy, S.T. A golden opportunity: Benzofuranone modifications of aurones and their influence on optical properties, toxicity, and potential as dyes. Beilstein J. Org. Chem. 2019, 15, 1781–1785. [Google Scholar] [CrossRef]
- Taylor, K.M.; Taylor, Z.E.; Handy, S.T. Rapid synthesis of aurones under mild conditions using a combination of microwaves and deep eutectic solvents. Tetrahedron Lett. 2017, 58, 240–241. [Google Scholar] [CrossRef]
- Qi, X.; Li, R.; Wu, X.F. Selective palladium-catalyzed carbonylative synthesis of aurones with formic acid as the CO source. RSC Adv. 2016, 6, 62810–62813. [Google Scholar] [CrossRef]
- Xu, S.; Sun, H.; Zhuang, M.; Zheng, S.; Jian, Y.; Zhang, W.; Gao, Z. Divergent synthesis of flavones and aurones via base-controlled regioselective palladium catalyzed carbonylative cyclization. Mol. Catal. 2018, 452, 164–270. [Google Scholar] [CrossRef]
- Agrawal, N.N.; Soni, P.A. A new process for the synthesis of aurones by using mercury (II) acetate in pyridine and cupric bromide in dimethyl sulfoxide. Indian J. Chem. 2006, 45B, 1301–1303. [Google Scholar] [CrossRef]
- Yatabe, T.; Jin, X.; Mizuno, N.; Yamaguchi, K. Unusual olefinic C–H functionalization of simple chalcones toward aurones enabled by the rational design of a function-Integrated heterogeneous catalyst. ACS Catal. 2018, 8, 4969–4978. [Google Scholar] [CrossRef]
- Weng, Y.; Chen, Q.; Su, W. Copper-catalyzed intramolecular tandem reaction of (2-halogenphenyl)(3-phenyloxiran-2-yl) methanones: Synthesis of (Z)-aurones. J. Org. Chem. 2014, 79, 4218–4224. [Google Scholar] [CrossRef] [PubMed]
- Kandioller, W.; Kubanik, M.; Bytzek, A.K.; Jakupec, M.A.; Roller, A.; Keppler, B.K.; Hartinger, C.G. The rearrangement of tosylated flavones to 1′-(alkylamino) aurones with primary amines. Tetrahedron 2015, 71, 8953–8959. [Google Scholar] [CrossRef]
- Parveen, I.; Ahmed, N. A route to highly functionalized stereospecific trans-aminated aurones from 3-bromoflavones with aniline and N-phenylurea via a domino aza-Michael ring opening and cyclization reactions. Synthesis 2019, 51, 960–970. [Google Scholar]
- Zwergel, C.; Gaascht, F.; Valente, S.; Diederich, M.; Bagrel, D.; Kirsch, G. Aurones: Interesting natural and synthetic compounds with emerging biological potential. Nat. Prod. Commun. 2012, 7, 389–394. [Google Scholar] [CrossRef]
- Zheng, Y.Z.; Deng, G.; Zhang, Y.C. Multiple free radical scavenging reactions of aurones. Phytochemistry 2021, 190, 112853. [Google Scholar] [CrossRef]
- Kumar, K.S.; Kumaresan, R. A quantum chemical study on the antioxidant properties of aureusidin and bracteatin. Int. J. Quantum Chem. 2011, 111, 4483–4496. [Google Scholar] [CrossRef]
- Ighodaro, O.M. Molecular pathways associated with oxidative stress in diabetes mellitus. Biomed. Pharmacother. 2018, 108, 656–662. [Google Scholar] [CrossRef]
- Rammohan, A.; Bhaskar, B.V. Frontiers in Clinical Drug Research-Diabetes and Obesity: Chapter 6; Flavonoids as Prominent Anti-Diabetic Agents; Atta-ur-Rahman, Ed.; Bentham Science Publishers Pte. Ltd.: Sharjah, United Arab Emirates, 2021; pp. 31–71. [Google Scholar]
- Lee, E.H.; Song, D.G.; Lee, J.Y.; Pan, C.H.; Um, B.H.; Jung, S.H. Inhibitory effect of the compounds isolated from Rhus verniciflua on aldose reductase and advanced glycation endproducts. Biol. Pharm. Bull. 2008, 31, 1626–1630. [Google Scholar] [CrossRef] [PubMed]
- Song, M.Y.; Jeong, G.S.; Kwon, K.B.; Ka, S.O.; Jang, H.Y.; Park, J.W.; Kim, Y.C.; Park, B.H. Sulfuretin protects against cytokine-induced β-cell damage and prevents streptozotocin-induced diabetes. Exp. Mol. Med. 2010, 42, 628–638. [Google Scholar] [CrossRef] [PubMed]
- Igaki, N.; Sakai, M.; Hata, H.; OImomi, M.; Baba, S.; Kato, H. Effects of 3-deoxyglucosone on the Maillard reaction. Clin. Chem. 1990, 36, 631–634. [Google Scholar] [CrossRef] [PubMed]
- Hidetoshi, T.; Kimura, K.; Yoshihama, M.; Shioda, K.; Negishi, K.; Seri, K. Suppressant for Maillard Reaction. JPH09241165A, 24 January 2007. [Google Scholar]
- Zhu, G.; Luo, Y.; Xu, X.; Zhang, H.; Zhu, M. Anti-diabetic compounds from the seeds of Psoralea corylifolia. Fitoterapia 2019, 139, 104373. [Google Scholar] [CrossRef]
- Chen, H.J.; Zhang, X.S.; Zhang, J.W.; Gu, H.X.; Huang, J.X. Chemical constituents from the stems of Acanthopanax senticosus with their inhibitory activity on α-glucosidase. J. Asian Nat. Prod. Res. 2021, 23, 803–808. [Google Scholar] [CrossRef]
- Liu, M.; Yang, J.S.; Qin, D. Chemical constituents from the aerial parts of Saussurea involucrata with their inhibitory activities on α-glucosidase. J. Asian Nat. Prod. Res. 2022, 24, 685–690. [Google Scholar] [CrossRef]
- Mai, N.T.T.; Hai, N.X.; Phu, D.H.; Trong, P.N.H.; Nhan, N.T. Three new geranyl aurones from the leaves of Artocarpus altilis. Phytochem. Lett. 2012, 5, 647–650. [Google Scholar] [CrossRef]
- Wang, S.; Xu, L.; Lu, Y.T.; Liu, Y.F.; Han, B.; Liu, T.; Tang, J.; Li, J.; Wu, J.; Li, J.Y.; et al. Discovery of benzofuran-3 (2H)-one derivatives as novel DRAK2 inhibitors that protect islet β-cells from apoptosis. Eur. J. Med. Chem. 2017, 130, 195–208. [Google Scholar] [CrossRef]
- Sun, H.; Ding, W.; Song, X.; Wang, D.; Chen, M.; Wang, K.; Zhang, Y.; Yuan, P.; Ma, Y.; Wang, R.; et al. Synthesis of 6-hydroxyaurone analogues and evaluation of their α-glucosidase inhibitory and glucose consumption-promoting activity: Development of highly active 5, 6-disubstituted derivatives. Bioorg. Med. Chem. Lett. 2017, 27, 3226–3230. [Google Scholar] [CrossRef]
- Tam, E.; Sung, H.K.; Sweeney, G. MitoNEET prevents iron overload-induced insulin resistance in H9c2 cells through regulation of mitochondrial iron. J. Cell. Physiol. 2023, 238, 1867–1875. [Google Scholar] [CrossRef]
- Geldenhuys, W.J.; Yonutas, H.M.; Morris, D.L.; Sullivan, P.G.; Darvesh, A.S.; Leeper, T.C. Identification of small molecules that bind to the mitochondrial protein mitoNEET. Bioorg. Med. Chem. Lett. 2016, 26, 5350–5353. [Google Scholar] [CrossRef] [PubMed]
- Roshanzamir, K.; Kashani-Amin, E.; Ebrahim-Habibi, A.; Navidpour, L. Aurones as new porcine pancreatic α-Amylase inhibitors. Lett. Drug Des. Discov. 2019, 16, 333–340. [Google Scholar] [CrossRef]
- Kazempour-Dizaji, M.; Mojtabavi, S.; Sadri, A.; Ghanbarpour, A.; Faramarzi, M.A.; Navidpour, L. Arylureidoaurones: Synthesis, in vitro α-glucosidase, and α-amylase inhibition activity. Bioorg. Chem. 2023, 139, 106709. [Google Scholar] [CrossRef] [PubMed]
- Sun, H.; Song, X.; Tao, Y.; Li, M.; Yang, K.; Zheng, H.; Jin, Z.; Dodd, R.H.; Pan, G.; Yu, P. Synthesis & α-glucosidase inhibitory & glucose consumption-promoting activities of flavonoid–coumarin hybrids. Future Med. Chem. 2018, 10, 1055–1066. [Google Scholar]
- Park, H.; Kim, S.Y.; Kyung, A.; Yoon, T.S.; Ryu, S.E.; Jeong, D.G. Structure-based virtual screening approach to the discovery of novel PTPMT1 phosphatase inhibitors. Bioorg. Med. Chem. Lett. 2012, 22, 1271–1275. [Google Scholar] [CrossRef]
- Chaturvedi, R.N.; Pendem, K.; Patel, V.P.; Sharma, M.; Malhotra, S. Design, synthesis, molecular docking, and in vitro antidiabetic activity of novel PPARγ agonist. Monatsh. Chem. 2018, 149, 2069–2084. [Google Scholar] [CrossRef]
- Barton, D.; Meth-Cohn, O. Comprehensive Natural Products Chemistry; Newnes: Oxford, UK, 1999; ISBN 0-08-091283-4. [Google Scholar]
- Corfield, A.P. (Ed.) Glycoprotein Methods and Protocols: The Mucins; Humana Press: Totowa, NJ, USA, 2007; Volume 125. [Google Scholar]
- Yuan, S.; Liu, M.; Yang, Y.; He, J.M.; Wang, Y.N.; Kong, J.Q. Transcriptome-wide identification of an aurone glycosyltransferase with glycosidase activity from Ornithogalum saundersiae. Genes 2018, 9, 327. [Google Scholar] [CrossRef]
Disclaimer/Publisher’s Note: The statements, opinions and data contained in all publications are solely those of the individual author(s) and contributor(s) and not of MDPI and/or the editor(s). MDPI and/or the editor(s) disclaim responsibility for any injury to people or property resulting from any ideas, methods, instructions or products referred to in the content. |
© 2023 by the authors. Licensee MDPI, Basel, Switzerland. This article is an open access article distributed under the terms and conditions of the Creative Commons Attribution (CC BY) license (https://creativecommons.org/licenses/by/4.0/).













