Abstract
The escalating prevalence of antibiotic-resistant bacteria has led to a serious global public health problem; therefore, there is an urgent need for the development of structurally innovative antibacterial agents. In our study, a series of biphenyl and dibenzofuran derivatives were designed and synthesized by Suzuki-coupling and demethylation reactions in moderate to excellent yields (51–94% yield). Eleven compounds exhibited potent antibacterial activities against the prevalent antibiotic-resistant Gram-positive and Gram-negative pathogens, among which compounds 4′-(trifluoromethyl)-[1,1′-biphenyl]-3,4,5-triol (6i) and 5-(9H-carbazol-2-yl) benzene-1,2,3-triol (6m) showed the most potent inhibitory activities against methicillin-resistant Staphylococcus aureus and multidrug-resistant Enterococcus faecalis with MIC (minimum inhibitory concentration) values as low as 3.13 and 6.25 μg/mL, respectively. Compounds 3′,5′-dimethyl-[1,1′-biphenyl]-3,4,4′,5-tetraol (6e), 4′-fluoro-[1,1′-biphenyl]-3,4,5-triol (6g), and 4′-(trifluoromethyl)-[1,1′-biphenyl]-3,4,5-triol (6i) showed comparable inhibitory activities with ciprofloxacin to Gram-negative bacterium carbapenems-resistant Acinetobacter baumannii. Study of the structure–activity relationship indicated that a strong electron-withdrawing group on the A ring and hydroxyl groups on the B ring of biphenyls were beneficial to their antibacterial activities, and for benzo-heterocycles, N-heterocycle exhibited optimal antibacterial activity. These results can provide novel structures of antibacterial drugs chemically different from currently known antibiotics and broaden prospects for the development of effective antibiotics against antibiotic-resistant bacteria.
1. Introduction
Since penicillin was discovered in 1928, antibiotics have been commonly used to treat a variety of clinical diseases and have saved countless lives from fatal infections [1]. However, the overuse and abuse of antibiotics have led to a dramatic increase in bacterial resistances [2,3], which has posed a great threat to global public health and social development [4]. According to statistics from the World Health Organization (WHO), at least 700,000 people die each year due to drug-resistant diseases, including 230,000 people who die from multidrug-resistant tuberculosis. WHO also has issued a report calling for fast, coordinated, and ambitious action to avoid a devastating drug-resistance disaster. If the problem of antimicrobial resistances is not addressed effectively, drug-resistant diseases could cause ten million deaths a year by 2050 and economical damage as catastrophic as the 2008–2009 global financial crisis [5]. However, to date, no targeting therapeutic against resistant bacteria has received approval from the US Food and Drug Administration [6]. Therefore, this critical scenario has triggered global initiatives to innovate antimicrobial drugs and drug-resistant strains have attracted increasing attention. Prevalent multidrug-resistant bacteria belonging to the so-called ESKAPE (Enterococcus faecium, Staphylococcus aureus, Klebsiella pneumoniae, Acinetobacter baumannii, Pseudomonas aeruginosa, and Enterobacter species) panel, which has been defined as the top six critical bacterial pathogens by WHO, has been especially troublesome [7,8,9]. In the past few decades, the speed of new antibiotics development has failed to match that of drug-resistant bacteria production and many available antibiotics are failing against several critical pathogenic strains, which makes clinical treatment very difficult [10,11,12]. The vicious cycle between drug-resistance and new drug development, together with the fact that existing drugs still have difficulty in effectively controlling infection by new drug-resistant bacteria, make the development of new antidrug-resistant antibacterial drugs with a different mode of action particularly urgent in modern society.
There have been various antibiotic-resistant mechanisms reported to explain the causes of bacteria resistance, including the following eight factors: (i) increased efflux pumps lead to a decrease in intracellular antibiotics concentrations; (ii) acquisition and expression of drug resistant genes; (iii) modification of antimicrobial targets result in attenuated interactions with antibiotics; (iv) inactivating antibacterial drugs through the expression of drug-degrading enzymes; (v) decreased membrane permeability and altered metabolic state of bacteria; (vi) emergence of antibiotic-tolerant cells; (vii) biofilm formation; (viii) swarming [13]. These mechanisms ultimately lead to the lesser accumulation of antibiotics in bacterial cells and a stable, heritable ability of a microorganism to proliferate in the presence of high levels of an antibiotic, which in turn lower their therapeutic efficacy. Therefore, higher and repeated doses of antibiotics are required to defeat the bacteria. Currently, bactericidal mechanisms of the majority of clinically useful antibacterial drugs include three operations in the bacterial cell: cell-wall biosynthesis, protein synthesis, or enzymes involved in bacterial DNA replication [14].
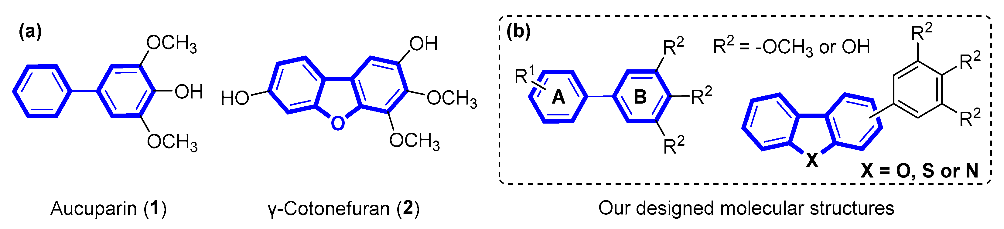
To defuse the antibacterial resistance crisis, medicinal chemists are devoting their resources to innovate antibacterial drugs without pre-existing resistance against human bacterial pathogens by uncovering new molecular structures and utilizing unique modes of action and hybrid antibacterial drugs strategies [15,16,17,18,19,20,21,22,23,24]. Natural products can be regarded as a group of privileged structures that have been evolutionarily selected to interact with various biological targets; therefore, they are always an abundant source for antibacterial drug development [25,26,27]. Phytoalexins are a class of important low-molecular-weight secondary metabolites produced by plants as defense compounds to resist biotic and abiotic stresses [28,29]. As the chemical weapons of plants, they have shown biological activity against a wide range of pathogens and have potential as biological antimicrobial agents [30,31]. Biphenyls and dibenzofurans are two classes of important phytoalexins produced by Pyrinae, a species of the Rosaceous subtribe, when attacked by bacterial and fungal pathogens [28,32,33]. As shown in Figure 1a, aucuparin (1) and γ-cotonefuran (2) are the most widely distributed, and were first detected as defense compounds in the Pyrinae species in 1963 and 1984, respectively [34,35]. It has been reported in the literature that biphenyl derivatives exhibit a wide variety of biological properties, including anti-amoebic, antifungal, anti-infective, anti-hypercholesteremic, anti-hyperlipoproteinemic, antirheumatic, analgesic, anti-inflammatory, antithrombotic, uricosuric, and anti-arrhythmic properties [36,37]. For example, in our continuous efforts to develop new antimicrobials, we have found that some natural biphenyl-type phytoalexins, such as 3′,4′,5′-trimethoxy-[1,1′-biphenyl]-4-ol and 3,4,4′,5-tetramethoxy-1,1′-biphenyl, indeed showed significant activity against fungi [38]. However, research on their antibacterial activity against antibiotic-resistant bacteria is scarce. Lan-Ping Guo and colleagues were the first to report that dibenzofuran and biphenyl phytoalexins from a Sorbus pohuashanensis suspension cell exhibited potent antibacterial activity against drug-resistant bacteria [39]. These results provided our rationale in synthesizing novel biphenyl and dibenzofuran phytoalexin derivatives as potential antimicrobial agents against antibiotic-resistant bacteria.
Figure 1.
(a) Typical chemical structures of natural biphenyls and dibenzofurans phytoalexins and (b) our designed molecular structures.
As shown in Figure 1b, a diversity of biphenyl derivatives can be obtained by introducing different substituents on the A and B rings, dibenzofurans analogues can be produced via replacement of oxygen with a sulfur or nitrogen atom and substitution on the ring of corresponding benzo-heterocycles with aryls.
Therefore, in our study, a series of biphenyl and benzo-heterocycle phytoalexin derivatives were designed and synthesized, and their in vitro antibacterial activities against drug-resistant bacteria and structure–activity relationships were studied. From this study, we hope to find lead compounds with potent inhibitory activities as potential antidrug-resistant antibacterial drugs.
2. Materials and Methods
2.1. Chemistry
We recorded 1H NMR spectra with Varian Mercury 400/600 MHz spectrometers (Varian Associates, Inc., Palo Alto, CA, USA). Chemical shifts (δ) were reported in ppm, quoted relative to internal tetramethylsilane (internal standard, 0.0 ppm) with the coupling constants (J) given in Hz. We recorded 13C NMR spectra with the same spectrometer, operating at 100/150 MHz with complete proton decoupling (internal standard CDCl3: 77.0 ppm or DMSO-d6: 39.5 ppm). Splitting patterns were assigned s = singlet, d = doublet, t =triplet, dd = double doublet, dt = doublet of triplet, q = quartet, etc. High resolution mass spectrometry (HRMS) was performed on the Agilent Technologies 6530 Accurate-Mass Q-TOF mass spectrometer (Agilent Technologies, Santa Clara, CA, USA). Unless otherwise specified, all chemical reagents, biologics, and raw materials were purchased from Sigma-Aldrich (Shanghai, China) and could be used without special treatment. All reactions were monitored by thin layer chromatography (TLC) analysis on silica gel coated plates. Flash column chromatography was performed by using 200–300 mesh silica gel.
2.1.1. General Procedure for the Synthesis of Compounds 5a–5n
A mixture of bromobenzene (1 mmol) (Sigma-Aldrich, Shanghai, China), 3,4,5-trimethoxyphenylboronicacid (1.1 mmol) (Sigma-Aldrich, Shanghai, China), Pd(dppf)Cl2 (0.04 mmol) (Sigma-Aldrich, Shanghai, China), K3PO4 (3 mmol) (Sinopharm, Beijing, China), and H2O (5 mmol) in 1,4-dioxane (10 mL) (Sinopharm, Beijing, China)was stirred at 80 °C for 4 h under N2 atmosphere. The reaction progress was monitored by TLC. Upon completion of the reaction, the reaction mixture was poured into water (50 mL). The aqueous layer was extracted with CH2Cl2 (3 × 25 mL) (Sinopharm, Beijing, China), the combined organic phases were washed with saturated saline solution (3 × 100 mL), dried with anhydrous sodium sulfate, and concentrated under reduced pressure. The residue was purified by silica gel column chromatography on silica gel (Sinopharm, Beijing, China) with petroleum ether/ethyl acetate (Sinopharm, Beijing, China) (20:3, v/v) as eluent to afford the desired products 5a–5n in 52–94% yields. Their 1H NMR and 13C NMR spectra can be found in the Supplementary Materials.
3,4,5-Trimethoxy-1,1′-biphenyl (5a): 1H NMR (400 MHz, CDCl3) δ 7.55 (d, J = 7.9 Hz, 2H), 7.43 (t, J = 7.5 Hz, 2H), 7.34 (t, J = 6.9 Hz, 1H), 6.78 (s, 2H), 3.92 (s, 6H), and 3.89 (s, 3H) ppm. 13C NMR (100 MHz, CDCl3) δ 153.37, 141.28, 137.50, 137.17, 128.66, 127.23, 127.01, 104.35, 60.88, and 56.10 ppm. HRMS: calculated for C15H16O3 [M + H]+: 245.1172, found: 245.1172.
4′-Methyl-3,4,5-trimethoxy-1,1′-biphenyl (5b): 1H NMR (400 MHz, CDCl3) δ 7.45 (d, J = 7.9 Hz, 2H), 7.24 (d, J = 7.2 Hz, 2H), 6.76 (s, 2H), 3.92 (s, 6H), 3.89 (s, 3H), and 2.39 (s, 3H) ppm. 13C NMR (100 MHz, CDCl3) δ 153.31, 138.38, 137.18, 137.13, 137.04, 129.38, 126.85, 104.04, 60.90, 56.06, and 21.03 ppm. HRMS: calculated for C16H18O3 [M + H]+: 259.1329, found: 259.1331.
4′-Butyl-3,4,5-trimethoxy-1,1′-biphenyl (5c): 1H NMR (600 MHz, CDCl3) δ 7.46 (d, J = 7.5 Hz, 2H), 7.24 (d, J = 7.0 Hz, 2H), 6.77 (s, 2H), 3.91 (s, 6H), 3.89 (s, 3H), 2.65 (t, J = 7.3 Hz, 2H), 1.71–1.54 (m, 2H), 1.39 (dd, J = 14.3, 7.1 Hz, 2H), and 0.94 (t, J = 7.1 Hz, 3H) ppm. 13C NMR (150 MHz, CDCl3) δ 153.30, 142.06, 138.60, 137.18, 128.72, 126.84, 104.12, 60.87, 56.05, 35.20, 33.60, 22.32, and 13.92 ppm. HRMS: calculated for C19H24O3 [M + H]+: 301.1798, found: 301.1811.
3′-Methyl-3,4,4′,5-tetramethoxy-1,1′-biphenyl (5d): 1H NMR (600 MHz, CDCl3) δ 7.42–7.27 (m, 2H), 6.87 (d, J = 8.0 Hz, 1H), 6.73 (s, 2H), 3.92 (s, 6H), 3.88 (s, 3H), 3.86 (s, 3H), and 2.29 (s, 3H) ppm. 13C NMR (150 MHz, CDCl3) δ 157.26, 153.25, 137.08, 136.89, 133.37, 129.28, 126.79, 125.22, 109.97, 103.90, 60.86, 56.05, 55.33, and 16.31 ppm. HRMS: calculated for C17H20O4 [M + H]+: 289.1434, found: 289.1456.
3′,5′-Dimethyl-3,4,4′,5-tetramethoxy-1,1′-biphenyl (5e): 1H NMR (400 MHz, CDCl3) δ 7.18 (s, 2H), 6.71 (s, 2H), 3.91 (s, 6H), 3.87 (s, 3H), 3.75 (s, 3H), and 2.34 (s, 6H) ppm. 13C NMR (100 MHz, CDCl3) δ 156.45, 153.22, 137.07, 137.00, 136.88, 131.08, 127.41, 104.06, 60.88, 59.73, 56.07, and 16.18 ppm. HRMS: calculated for C18H22O4 [M + H]+: 303.1591, found: 303.1588.
3′,4′,5′-Trimethoxy-[1,1′-biphenyl]-2-ol (5f): 1H NMR (400 MHz, CDCl3) δ 7.25 (dd, J = 12.9, 5.0 Hz, 2H), 6.98 (t, J = 8.5 Hz, 2H), 6.65 (s, 2H), 5.61 (s, 1H), 3.89 (s, 3H), and 3.87 (s, 6H) ppm. 13C NMR (100 MHz, CDCl3) δ 153.66, 152.42, 137.28, 132.56, 129.88, 129.10, 128.07, 120.58, 115.78, 105.84, 60.83, and 56.05 ppm. HRMS: calculated for C15H16O4 [M + H]+: 261.1121, found: 261.1175.
4′-Fluoro-3,4,5-trimethoxy-1,1′-biphenyl (5g): 1H NMR (600 MHz, CDCl3) δ 7.50 (s, 2H), 7.11 (t, J = 8.1 Hz, 2H), 6.72 (s, 2H), 3.92 (s, 6H), and 3.89 (s, 3H) ppm. 13C NMR (150 MHz, CDCl3) δ 163.09, 161.46, 153.36, 137.42, 137.35, 136.15, 128.55, 128.50, 115.53, 115.39, 104.18, 60.86, and 56.07 ppm. HRMS: calculated for C15H15FO3 [M + H]+: 263.1078, found: 263.1075.
4′-Chloro-3,4,5-trimethoxy-1,1′-biphenyl (5h): 1H NMR (600 MHz, CDCl3) δ 7.39 (d, J = 7.9 Hz, 2H), 7.30 (d, J = 7.8 Hz, 2H), 6.64 (s, 2H), 3.83 (s, 6H), and 3.81 (s, 3H) ppm. 13C NMR (150 MHz, CDCl3) δ 153.43, 139.67, 137.70, 135.86, 133.22, 128.77, 128.23, 104.15, 60.89, and 56.12 ppm. HRMS: calculated for C15H15ClO3 [M + H]+: 279.0782, found: 279.0779.
3,4,5-Trimethoxy-4′-(trifluoromethyl)-1,1′-biphenyl (5i): 1H NMR (400 MHz, CDCl3) δ 7.74–7.58 (m, 4H), 6.78 (s, 2H), 3.94 (s, 6H), and 3.91 (s, 3H) ppm. 13C NMR (100 MHz, CDCl3) δ 153.55, 144.77, 138.15, 135.63, 127.32, 125.64, 125.61, 125.57, 104.42, 60.94, and 56.16 ppm. HRMS: calculated for C16H15F3O3 [M + H]+: 313.1046, found: 313.1044.
3-(3,4,5-Trimethoxyphenyl) dibenzo[b,d]furan (5j): 1H NMR (400 MHz, CDCl3) δ 8.09 (s, 1H), 8.02 (d, J = 7.6 Hz, 1H), 7.62 (dt, J = 15.1, 8.3 Hz, 3H), 7.49 (t, J = 7.7 Hz, 1H), 7.37 (t, J = 7.5 Hz, 1H), 6.85 (s, 2H), 3.97 (s, 6H), and 3.92 (s, 3H) ppm. 13C NMR (100 MHz, CDCl3) δ 156.66, 155.69, 153.47, 137.37, 136.57, 127.38, 126.55, 124.66, 124.12, 122.80, 120.71, 119.07, 111.79, 111.71, 104.72, 60.99, and 56.24 ppm. HRMS: calculated for C21H18O4 [M + H]+: 335.1278, found: 335.1301.
3-(3,4,5-Trimethoxyphenyl) dibenzo[b,d]thiophene (5k): 1H NMR (600 MHz, CDCl3) δ 8.27 (s, 1H), 8.21 (s, 1H), 7.86 (dd, J = 11.2, 5.4 Hz, 2H), 7.63 (d, J = 7.4 Hz, 1H), 7.46 (s, 2H), 6.86 (s, 2H), 3.95 (s, 6H), and 3.92 (s, 3H) ppm. 13C NMR (150 MHz, CDCl3) δ 153.44, 139.82, 138.38, 137.96, 137.50, 137.15, 135.91, 135.31, 126.83, 126.06, 124.34, 122.87, 121.56, 119.80, 104.57, 60.92, and 56.17 ppm. HRMS: calculated for C21H18O3S [M + H]+: 351.1049, found: 351.1068.
3-(3,4,5-Trimethoxyphenyl)-9H-carbazole (5l): 1H NMR (600 MHz, CDCl3) δ 8.32 (s, 1H), 8.23 (s, 1H), 8.13 (d, J = 7.1 Hz, 1H), 7.60 (d, J = 7.2 Hz, 1H), 7.46–7.35 (m, 3H), 7.24 (dd, J = 14.3, 7.6 Hz, 1H), 6.88 (s, 2H), 3.95 (s, 6H), and 3.93 (s, 3H) ppm. 13C NMR (150 MHz, CDCl3) δ 153.31, 139.97, 138.95, 138.30, 136.80, 132.87, 125.98, 125.24, 123.60, 123.14, 120.26, 119.38, 118.58, 110.76, 104.50, 60.93, and 56.12 ppm. HRMS: calculated for C21H19NO3 [M + H]+: 334.1438, found: 334.1442.
2-(3,4,5-Trimethoxyphenyl)-9H-carbazole (5m): 1H NMR (600 MHz, CDCl3) δ 8.23 (s, 1H), 7.99 (t, J = 8.1 Hz, 2H), 7.43 (s, 1H), 7.32 (d, J = 16.2 Hz, 3H), 7.14 (d, J = 5.2 Hz, 1H), 6.78 (s, 2H), 3.84 (s, 3H), and 3.83 (s, 6H) ppm. 13C NMR (150 MHz, CDCl3) δ 153.30, 139.95, 139.20, 138.08, 137.23, 125.80, 122.93, 122.51, 120.37, 120.24, 119.44, 118.89, 110.63, 109.04, 104.68, 104.49, 60.94, and 56.11 ppm. HRMS: calculated for C21H19NO3 [M + H]+: 334.1438, found: 334.1448.
1-(3,4,5-Trimethoxyphenyl)-9H-carbazole (5n): 1H NMR (600 MHz, CDCl3) δ 8.47 (s, 1H), 8.10 (d, J = 7.5 Hz, 1H), 8.06 (d, J = 7.4 Hz, 1H), 7.48–7.34 (m, 3H), 7.29 (t, J = 7.4 Hz, 1H), 7.23 (dd, J = 6.6, 4.4 Hz, 1H), 6.85 (s, 2H), 3.93 (s, 3H), and 3.88 (s, 6H) ppm. 13C NMR (150 MHz, CDCl3) δ 153.67, 139.45, 137.32, 137.24, 134.70, 125.90, 125.39, 125.17, 123.60, 123.42, 120.39, 119.64, 119.46, 119.39, 110.74, 105.46, 60.90, and 56.18 ppm. HRMS: calculated for C21H19NO3 [M + H]+: 334.1438, found: 334.1422.
2.1.2. General Procedure for the Synthesis of Compounds 6a–6n
To a stirred solution of Compound 5 (0.5 mmol) in anhydrous CH2Cl2 (10 mL), we added BBr3 (Sigma-Aldrich, Shanghai, China) (1 mol/L in CH2Cl2, 1.8 equiv.) in portions at 0 °C under nitrogen atmosphere. The reaction mixture was allowed to warm to room temperature and stirred overnight. The reaction progress was monitored by TLC. Upon completion of the reaction, the mixture was poured into water (50 mL). The aqueous layer was extracted with EtOAc (Sinopharm, Beijing, China) (3 × 25 mL), the combined organic phases were washed with saturated saline solution (100 mL × 3), dried with anhydrous sodium sulfate, and concentrated under reduced pressure. The residue was purified by silica gel column chromatography using 75–90% EtOAc in petroleum ether as eluent to afford the desired products 6a–6n in 51–84% yields. Their 1H NMR and 13C NMR spectra can be found in the Supplementary Materials.
[1,1′-Biphenyl]-3,4,5-triol (6a): 1H NMR (400 MHz, DMSO-d6) δ 8.99 (s, 2H), 8.29 (s, 1H), 7.46 (d, J = 7.3 Hz, 2H), 7.38 (t, J = 7.6 Hz, 2H), 7.24 (t, J = 7.3 Hz, 1H), and 6.57 (s, 2H) ppm. 13C NMR (100 MHz, DMSO-d6) δ 146.52, 146.52, 140.78, 140.78, 133.06, 133.06, 130.79, 130.79, 128.80, 128.80, 126.41, 126.41, 125.97, 125.97, 105.58, and 105.58 ppm. HRMS: calculated for C12H10O3 [M + H]+: 201.0557, found: 201.0551.
4′-Methyl-[1,1′-biphenyl]-3,4,5-triol (6b): 1H NMR (400 MHz, DMSO-d6) δ 8.96 (s, 2H), 8.24 (s, 1H), 7.36 (d, J = 7.9 Hz, 1H), 7.18 (d, J = 7.8 Hz, 1H), 6.56 (s, 1H), and 2.29 (s, 3H) ppm. 13C NMR (100 MHz, DMSO-d6) δ 146.50, 137.93, 135.50, 132.80, 130.81, 129.39, 125.82, 105.39, and 20.65 ppm. HRMS: calculated for C13H12O3 [M-H]−: 215.0714, found: 215.0707.
4′-Butyl-[1,1′-biphenyl]-3,4,5-triol (6c): 1H NMR (400 MHz, DMSO-d6) δ 8.95 (s, 2H), 8.22 (s, 1H), 7.37 (d, J = 8.0 Hz, 2H), 7.18 (d, J = 8.0 Hz, 2H), 6.56 (s, 2H), 2.54 (dd, J = 17.9, 10.3 Hz, 2H), 1.54 (dt, J = 15.1, 7.6 Hz, 2H), 1.29 (dq, J = 14.6, 7.4 Hz, 2H), and 0.88 (t, J = 7.3 Hz, 3H) ppm. 13C NMR (100 MHz, DMSO-d6) δ 146.48, 140.43, 138.16, 132.80, 130.82, 128.69, 125.80, 105.39, 34.45, 33.19, 21.82, and 13.85 ppm. HRMS: calculated for C16H18O3 [M + H]+: 259.1329, found: 259.1338.
3′-Methyl-[1,1′-biphenyl]-3,4,4′,5-tetraol (6d): 1H NMR (400 MHz, DMSO-d6) δ 9.26 (s, 1H), 8.86 (s, 2H), 8.11 (s, 1H), 7.18 (s, 1H), 7.11 (dd, J = 8.2, 1.7 Hz, 1H), 6.80 (d, J = 8.3 Hz, 1H), 6.49 (s, 2H), and 2.17 (s, 3H) ppm. 13C NMR (100 MHz, DMSO-d6) δ 154.44, 146.46, 132.10, 131.69, 131.39, 128.38, 124.29, 124.07, 115.00, 105.13, and 16.32 ppm. HRMS: calculated for C13H12O4 [M + H]+: 233.0808, found: 233.0823.
3′,5′-Dimethyl-[1,1′-biphenyl]-3,4,4′,5-tetraol (6e): 1H NMR (400 MHz, DMSO-d6) δ 8.83 (s, 2H), 8.19 (s, 1H), 8.10 (s, 1H), 7.02 (s, 2H), 6.47 (s, 2H), and 2.20 (s, 6H) ppm. 13C NMR (100 MHz, DMSO-d6) δ 152.19, 146.37, 132.05, 131.84, 131.30, 125.89, 124.41, 105.08, and 16.90 ppm. HRMS: calculated for C14H14O4 [M + H]+: 247.0965, found: 247.0953.
[1,1′-Biphenyl]-2,3′,4′,5′-tetraol (6f): 1H NMR (400 MHz, DMSO-d6) δ 9.24 (s, 1H), 7.12 (d, J = 7.4 Hz, 1H), 7.06 (t, J = 7.7 Hz, 1H), 6.86 (d, J = 7.8 Hz, 1H), 6.80 (t, J = 7.5 Hz, 1H), and 6.48 (s, 2H) ppm. 13C NMR (100 MHz, DMSO-d6) δ 154.10, 145.47, 132.07, 129.88, 128.79, 128.27, 127.39, 119.22, 115.93, and 108.17 ppm. HRMS: calculated for C12H10O4 [M-H]−: 217.0506, found: 217.0501.
4′-Fluoro-[1,1′-biphenyl]-3,4,5-triol (6g): 1H NMR (400 MHz, DMSO-d6) δ 9.01 (s, 2H), 8.31 (s, 1H), 7.49 (dd, J = 8.5, 5.6 Hz, 2H), 7.19 (t, J = 8.8 Hz, 2H), and 6.54 (s, 2H) ppm. 13C NMR (100 MHz, DMSO-d6) δ 162.47, 160.06, 146.57, 137.32, 137.29, 133.06, 129.88, 128.81, 127.84, 127.76, 125.99, 115.62, 115.41, and 105.64 ppm. HRMS: calculated for C12H9FO3 [M+2H]2+: 111.0341, found: 111.0377.
4′-Chloro-[1,1′-biphenyl]-3,4,5-triol (6h): 1H NMR (400 MHz, DMSO-d6) δ 9.10 (s, 2H), 8.47 (s, 1H), 7.96 (d, J = 7.8 Hz, 2H), 7.60 (d, J = 7.9 Hz, 2H), and 6.66 (s, 2H) ppm. 13C NMR (100 MHz, DMSO-d6) δ 167.38, 146.64, 144.97, 134.03, 130.02, 129.47, 128.54, 125.93, and 105.91 ppm. HRMS: calculated for C12H9ClO3 [M-H]−: 235.0167, found: 235.0158.
4′-(Trifluoromethyl)-[1,1′-biphenyl]-3,4,5-triol (6i): 1H NMR (400 MHz, DMSO-d6) δ 9.12 (s, 2H), 8.48 (s, 1H), 7.70 (q, J = 8.3 Hz, 4H), and 6.65 (s, 2H) ppm. 13C NMR (100 MHz, DMSO-d6) δ 146.66, 144.72, 134.09, 128.98, 126.53, 125.68, 125.64, 123.21, and 105.91 ppm. HRMS: calculated for C13H9F3O3 [M-H]−: 269.0431, found: 269.0420.
5-(Dibenzo[b,d]furan-3-yl)benzene-1,2,3-triol (6j): 1H NMR (400 MHz, DMSO-d6) δ 9.00 (s, 2H), 8.29 (s, 1H), 8.25 (s, 1H), 8.22 (d, J = 7.6 Hz, 1H), 7.69 (dd, J = 7.9, 4.2 Hz, 2H), 7.62 (d, J = 8.5 Hz, 1H), 7.51 (t, J = 7.5 Hz, 1H), 7.40 (t, J = 7.4 Hz, 1H), and 6.70 (s, 2H) ppm. 13C NMR (100 MHz, DMSO-d6) δ 155.93, 154.52, 146.58, 136.45, 132.87, 130.95, 127.64, 125.95, 124.07, 123.76, 123.10, 121.40, 118.39, 111.71, 111.69, and 106.06 ppm. HRMS: calculated for C18H12O4 [M-H]−: 291.0663, found: 291.0664.
5-(Dibenzo[b,d]thiophen-3-yl)benzene-1,2,3-triol (6k): 1H NMR (400 MHz, DMSO-d6) δ 9.05 (s, 2H), 8.46 (s, 2H), 8.37 (s, 1H), 8.12–7.89 (m, 2H), 7.64 (d, J = 7.4 Hz, 1H), 7.51 (dd, J = 5.7, 3.1 Hz, 2H), and 6.76 (s, 2H) ppm. 13C NMR (100 MHz, DMSO-d6) δ 146.61, 139.08, 137.92, 136.63, 135.65, 135.17, 133.14, 130.72, 127.13, 125.59, 124.77, 123.21, 123.09, 122.25, 119.16, and 106.09 ppm. HRMS: calculated for C18H12O3S [M-H]−: 307.0434, found: 307.0434.
5-(9H-carbazol-3-yl) benzene-1,2,3-triol (6l): 1H NMR (400 MHz, DMSO-d6) δ 11.22 (s, 1H), 8.98 (s, 2H), 8.24 (s, 1H), 8.09 (dd, J = 7.8, 3.5 Hz, 2H), 7.53 (s, 1H), 7.48 (d, J = 8.1 Hz, 1H), 7.37 (t, J = 7.6 Hz, 1H), 7.30 (d, J = 8.2 Hz, 1H), 7.15 (t, J = 7.4 Hz, 1H), and 6.68 (s, 2H) ppm. 13C NMR (100 MHz, DMSO-d6) δ 146.46, 140.41, 140.09, 138.50, 132.78, 131.72, 125.30, 122.33, 121.01, 120.35, 120.02, 118.58, 117.30, 110.84, 107.92, 105.79, and 66.35 ppm. HRMS: calculated for C18H13NO3 [M-H]−: 290.0823, found: 290.0809.
5-(9H-carbazol-2-yl) benzene-1,2,3-triol (6m): 1H NMR (400 MHz, DMSO-d6) δ 11.24 (s, 1H), 8.96 (s, 2H), 8.32–8.04 (m, 3H), 7.52 (dt, J = 15.9, 8.1 Hz, 3H), 7.38 (t, J = 7.4 Hz, 1H), 7.16 (t, J = 7.3 Hz, 1H), and 6.70 (s, 2H) ppm. 13C NMR (100 MHz, DMSO-d6) δ 146.55, 140.25, 138.79, 132.25, 132.22, 131.88, 125.66, 124.35, 122.96, 122.64, 120.37, 118.59, 117.39, 111.16, 111.07, and 105.80 ppm. HRMS: calculated for C18H13NO3 [M-H]−: 290.0823, found: 290.0816.
5-(9H-carbazol-1-yl) benzene-1,2,3-triol (6n): 1H NMR (400 MHz, DMSO-d6) δ 11.25 (s, 1H), 9.04 (s, 2H), 8.31 (s, 1H), 8.08 (t, J = 7.1 Hz, 2H), 7.55 (s, 1H), 7.49 (d, J = 8.0 Hz, 1H), 7.37 (t, J = 7.6 Hz, 1H), 7.31 (d, J = 8.1 Hz, 1H), 7.14 (t, J = 7.4 Hz, 1H), and 6.70 (s, 2H) ppm. 13C NMR (100 MHz, DMSO) δ 146.54, 140.48, 140.15, 138.57, 132.86, 131.82, 125.37, 122.39, 121.08, 120.41, 120.08, 118.65, 117.38, 110.90, 108.00, and 105.88 ppm. HRMS: calculated for C18H13NO3 [M-H]−: 290.0823, found: 290.0823.
2.2. Antibacterial Activity Assays
MIC Testing. All synthesized target compounds were evaluated for their antibacterial activities in vitro against four Gram-positive (methicillin-resistant Staphylococcus aureus (MRSA), multidrug-resistant Staphylococcus epidermidis (MRSE), multidrug-resistant Enterococcus faecium (MREF), and multidrug-resistant Enterococcus faecalis (MREf)) and four Gram-negative (carbapenems-resistant Pseudomonas aeruginosa (CRPA), carbapenems-resistant Acinetobacter baumannii (CRAB), carbapenems-resistant Klebsiella pneumoniae (CRKP), and carbapenems-resistant Escherichia coli (CREC)) bacteria. They were grown in a sterile liquid LB medium (Sangon Biotech Co., Ltd. Shanghai, China) (yeast extract 5 g/L, peptone 10 g/L, NaCl 10 g/L, pH = 7.4) overnight at 37 °C, and the diluted bacterial suspension (106 CFU per milliliter) was ready for detection. The minimum inhibitory concentration (MIC) of samples and positive control were determined in sterile 96-well microplates by the modified broth dilution test method [40]. All wells were filled with 90 μL of bacterial suspension containing 106 CFU per milliliter. Test samples (10 μL) with their different concentrations were added into each well. Samples that were difficult to dissolve were sonicated. Media containing 1% DMSO and ciprofloxacin were used as negative and positive controls, respectively. The final concentrations of ciprofloxacin and test compounds were 100, 50, 25, 12.5, 6.25, 3.125, 1.5625, and 0.78125 μg/mL in medium. Finally, plates were incubated at 37 °C for 12–36 h, and the results were observed by the naked eye. The minimum inhibitory concentration (MIC) was defined as the lowest test concentration that inhibited the growth of the test bacteria. The data was acquired from three independent assays performed in triplicate. All tested bacterial strains for biological studies were gifts from The Third Military Medical University (Chongqing, China).
3. Results
3.1. Design and Synthesis of Biphenyl and Benzo-Heterocycle Phytoalexin Derivatives
As shown in Scheme 1, two series of biphenyl and benzo-heterocycle phytoalexin derivatives could be conveniently synthesized. First, the palladium-catalyzed Suzuki–Miyaura coupling reaction between aryl bromides (3) and 3,4,5-trimethoxyphenylboronic acid (4) in the presence of the weak base, K3PO4, gave the target Compounds 5a–5n in 52–94% yields [41,42]. Then, the demethylation of Compounds 5a–5n with BBr3, under nitrogen atmosphere, produced polyhydroxy Compounds 6a–6n in 51–84% yields. The structures of these target compounds were confirmed by 1H NMR, 13C NMR, and HRMS characterization analyses and their structures are shown in Scheme 2.
Scheme 1.
Synthesis routes of target Compounds 5 and 6. Reagents and conditions: (a) ArBr (1 mmol), 3,4,5-trimethoxyphenylboronicacid (1.1 mmol), Pd(dppf)Cl2 (0.04 mmol), K3PO4 (3 mmol), H2O (5 mmol), and 1,4-dioxane (10 mL), under N2, at 80 °C, over 4 h; (b) 3,4,5-Trimethoxybiphenyl 5 (1 mmol), anhydrous CH2Cl2 (10 mL), and BBr3 (1 mol/L in CH2Cl2, 1.8 mL), under N2, from 0 °C to room temperature, overnight.
Scheme 2.
List of target compounds with corresponding yields.
3.2. Antibacterial Activities
The emergence of novel antibiotic-resistant bacterial strains is considered one of the biggest public health problems of the 21st century. Hundreds of thousands of people die every year from infection by antibiotic-resistant bacteria [43], leading to an estimated cost of at least EUR 1.5 billion/year, according to the European Centre for Disease Prevention and Control/European Medicines Agency (ECDC/EMEA) [44]. This group of bacteria includes Enterococcus faecium, Staphylococcus aureus, Klebsiella pneumoniae, Acinetobacter baumannii, Pseudomonas aeruginosa, and Enterobacter species, which are clinically important drug-resistant bacterial strains and characterized by high drug-resistance mechanisms [8]. We evaluated the in vitro antibacterial activities of 28 as-synthesized target compounds against the eight clinically important drug-resistant bacterial strains using a MIC broth dilution test method, as reported in the literature [40], which is a robust method for semi-quantifying antimicrobial activities of a large number of potential candidates. As shown in Table 1, the series of Compounds 5a–5n exhibited no inhibition of the drug-resistant bacteria, with MIC values greater than 100 μg/mL. To our delight, their demethylation products, 6a–6n, with polyhydroxyls showed moderate to significant inhibitory effects on Gram-positive bacteria and a few compounds also showed good inhibitory effects on Gram-negative bacteria, especially for the CRAB strain.
Table 1.
In vitro antibacterial activities of 28 target compounds a.
According to the MIC values of the preliminary screening results, 11 out of the 28 synthesized target compounds displayed effective antibacterial activities against Gram-positive bacteria, particularly compounds 6i and 6m, which exhibited the most potent inhibitory activities against MRSA and MREf with MIC values of 3.13 (ciprofloxacin: 1.56 μg/mL) and 6.25 μg/mL (ciprofloxacin: <0.78 μg/mL), respectively. Compounds 6a, 6b, 6d, 6e, 6f, 6g, and 6i could effectively inhibit the MRSE with MIC values from 12.5 to 25 μg/mL (ciprofloxacin: 25 μg/mL). Encouragingly, Compounds 6a, 6b, 6d, 6e, 6g, and 6i showed good inhibitory activities not only against Gram-positive bacteria, but also against the Gram-negative bacterium, CRAB, with the same MIC value as ciprofloxacin (50 μg/mL). These results may provide new molecular skeletons for the discovery of drugs against resistant bacteria.
4. Discussion
Resistant strains of bacteria have spread all over the world, mostly in hospitals where so-called nosocomial polyresistant, or multidrug-resistant (MDR), strains are present. Due to the emergence of antibiotic resistance, bacterially mediated infectious diseases have become a major health concern over the word. The current situation of antibiotic resistance development underscores a pressing need to develop a novel class of antibiotics that has high efficacy in killing pathogens with acquired resistance to supersede existing antibiotics. Dibenzofurans and biphenyls are two classes of typical natural phytoalexins that are produced in plants after infection by fungal and bacterial pathogens, and some of them have shown significant antibacterial activities against antibiotic-resistant bacteria [39]. However, accessing these phytoalexins is generally done by isolating from plant tissues or suspension cells, making them difficult to use for new drug development due to their limited quantities and tedious extraction process.
In this work, two series of biphenyl and benzo-heterocycle phytoalexin derivatives are obtained by chemical synthesis using Suzuki–Miyaura coupling [44] and demethylation reactions [45], which can provide more compounds with rich structural types for activity screening. Aryl bromides with either electron-withdrawing or electron-donating substitutions work well in the reaction and provide the product in good yields. For example, 3,5-dimethyl-4-methoxylphenyl bromide and 4-fluorophenyl bromide gave corresponding products in 92 and 91% yields, respectively. The yields of demethylation products were slightly decreased. Antibacterial activity assays indicated that most of Compound 6 exhibited significant antibacterial activities against antibiotic-resistant Gram-positive strains but no obvious effects on Gram-negative strains, which demonstrated that these as-synthesized biphenyl and dibenzofuran derivatives have certain selectivity. The MIC values to MRSA of Compounds 6i and 6m were, respectively, 6.25 and 3,13 μg/mL, which are comparable to values reported in the literature [39,46]. On the other hand, the MIC value to MREF of Compound 6l was 6.25 μg/mL, which indicates greater inhibitory activity than that of 4-methoxy-1-(methylthio)dibenzo[b,d]furan-2,3-diol (MIC = 12.5 μg/mL), reported by Gao [39].
The study of structure–activity relationships of as-synthesized compounds indicated that the hydroxyl groups on the B ring of biphenyl phytoalexin derivatives play a key role in exerting antibacterial activities, because antibacterial activities were completely lost when the hydroxyl groups were replaced with methoxyl groups (5a–5n). However, the hydroxyl group on the A ring did not benefit their antibacterial activities (6f vs. 6a). For the A ring of the biphenyl series, the compound with a strong electron-withdrawing trifluoromethyl group (6i) instead of a methyl group (6b) was more efficient in inhibiting Gram-positive bacteria, which may be due to the hydrogen bond interaction between Compound 6i and the potential target protein. When the methyl group was replaced with a longer n-butyl carbon chain (6c) or a chloro group (6h), this led to a complete loss of antibacterial activity. Increasing the number of substituents on the A ring was seemingly not beneficial to inhibitory activity, because antibacterial activities were significantly decreased (6d,e vs. 6b). For the benzo-heterocycle series, the antibacterial activities of nitrogen heterocyclic carbazoles (6l–6n) were superior to oxygen or sulfur heterocyclic dibenzofuran (6j) and dibenzothiophene (6k), indicating that the nitrogen atom makes a significant contribution to = antibacterial activity. The position of the trihydroxyphenyl group on the carbazole ring had some influence on inhibitory effect; for example, the antibacterial activity of 2-trihydroxyphenyl group substituted carbazole was more potent than 1- and 3-position substituted Compounds (6m vs. 6l,n).
The predicted results of the structure–activity relationship studies illustrated that hydroxyl groups and the nitrogen atom, which can form hydrogen bond interactions with target proteins in the typical manner of drug mechanisms, are essential for bactericidal activities. The results of the selectivity and structure–activity relationship studies of the synthesized compounds suggest that the bacteriostatic mechanism of these compounds may be the interaction with the key proteins of bacteria.
Given the convenience of synthesizing biphenyl and benzo-heterocycle phytoalexin derivatives and the possibility of structural diversification by changing the type, position, and number of substituents, there is considerable room for future improvement and optimization. In a word, these biphenyl and benzo-heterocycle phytoalexin derivatives have potential to be used in the development of new antimicrobial agents.
5. Conclusions
In conclusion, we have designed and synthesized a series of biphenyl and dibenzofuran derivatives and evaluated their in vitro antibacterial activities against drug-resistant bacteria. The results demonstrated that most of the polyhydric compounds exhibited moderate to significant inhibitory activities against prevalent drug-resistant Gram-positive and Gram-negative bacteria. Among these compounds, 11 out of the 28 synthesized target compounds displayed effective antibacterial activities against Gram-positive bacteria, especially Compounds 6i and 6m, and their MIC values could be as low as 3.13 μg/mL. Compounds 6a, 6b, 6d, 6e, 6f, 6g, and 6a could effectively inhibit the multidrug-resistant Staphylococcus epidermidis with MIC values from 12.5 to 25 μg/mL, and simultaneously possess strong inhibitory effects against Gram-negative bacterium carbapenems-resistant Acinetobacter baumannii, except for 6f. The study of structure–activity relationships revealed that a strong electron-withdrawing group on the A ring and hydroxyl groups on the B ring of biphenyls are beneficial to their antibacterial activities, and for benzo-heterocycles, a nitrogen atom contributed more to antibacterial activity than oxygen or sulfur atoms. These results can provide new molecular structures for the discovery of effective antibiotics against drug-resistant bacteria.
Supplementary Materials
The following supporting information can be downloaded at: https://www.mdpi.com/article/10.3390/cimb44090280/s1, copies of the 1H NMR and 13C NMR spectra for all target Compounds 5a–5n and 6a–6n.
Author Contributions
Conceptualization, Y.K. and S.-X.Y.; Data curation, X.W., Z.-C.Y. and Y.K.; Funding acquisition, X.W. and S.-X.Y.; Methodology, H.-Y.F. and W.H.; Project administration, H.-Y.F. and Y.K.; Writing-Original draft, X.W.; Writing-Review & editing, Y.-T.X. and S.-X.Y. All authors have read and agreed to the published version of the manuscript.
Funding
This research was funded by the National Natural Science Foundation of China (Grant No. 32101228); Public Welfare Technology and Application Research Project supported by Science Technology Department of Zhejiang Province (No. GN21B020001); Fundamental Research Funds for the Provincial Universities of Zhejiang (2021TD001); “Pioneer” and “Leading Goose” R&D Program of Zhejiang (2022C02023); Ability Establishment of Sustainable Use for Valuable Chinese Medicine resources (2060302); Zhejiang A&F University Scientific Research and Development Fund Project (No. 2017FR036); Key Research & Development Projects of Zhejiang Province (2020C03090); and National College Students Innovation and Entrepreneurship Training Program (No. 202110341018, 202010341055).
Institutional Review Board Statement
Not applicable.
Informed Consent Statement
Not applicable.
Data Availability Statement
All data are contained within the article or Supplementary Material.
Acknowledgments
The authors express their gratitude to Jiang Duan (Central China Normal University) for HRMS mass spectral data and to Ming Yao and Xiao-Long Yang (South-Central University for Nationalities) for their assistance in antibacterial activity assays.
Conflicts of Interest
The authors declare no conflict of interest.
References
- Hutchings, M.I.; Truman, A.W.; Wilkinson, B. Antibiotics: Past, present and future. Curr. Opin. Microbiol. 2019, 51, 72–80. [Google Scholar] [CrossRef]
- Zhu, X.; Tong, A.; Wang, D.; Sun, H.; Chen, L.; Dong, M. Antibiotic resistance patterns of Gram-negative and Gram-positive strains isolated from inpatients with nosocomial infections in a tertiary hospital in Beijing, China from 2011 to 2014. J. Chemother. 2017, 29, 317–320. [Google Scholar] [CrossRef]
- Laxminarayan, R.; Van Boeckel, T.; Frost, I.; Kariuki, S.; Khan, E.A.; Limmathurotsakul, D.; Larsson, D.G.; Levy-Hara, G.; Mendelson, M.; Outterson, K.; et al. The Lancet Infectious Diseases Commission on antimicrobial resistance: 6 years later. Lancet Infect. Dis. 2020, 20, e51–e60. [Google Scholar] [CrossRef]
- Willyard, C. The drug-resistant bacteria that pose the greatest health threats. Nature 2017, 543, 15. [Google Scholar] [CrossRef]
- World Health Organization. New Report Calls for Urgent Action to Avert Antimicrobial Resistance Crisis. Available online: https://www.who.int/news/item/29-04-2019-new-report-calls-for-urgent-action-to-avertantimicrobial-resistance-crisis (accessed on 29 April 2021).
- Shatalin, K.; Nuthanakanti, A.; Kaushik, A.; Shishov, D.; Peselis, A.; Shamovsky, I.; Pani, B.; Lechpammer, M.; Vasilyev, N.; Shatalina, E.; et al. Inhibitors of bacterial H2S biogenesis targeting antibiotic resistance and tolerance. Science 2021, 372, 1169–1175. [Google Scholar] [CrossRef]
- Li, X.Z.; Plésiat, P.; Nikaido, H. The challenge of efflux-mediated antibiotic resistance in Gram-negative bacteria. Clin. Microbiol. Rev. 2015, 28, 337–418. [Google Scholar] [CrossRef]
- Mulani, M.S.; Kamble, E.E.; Kumkar, S.N.; Tawre, M.S.; Pardesi, K.R. Emerging Strategies to Combat ESKAPE Pathogens in the Era of Antimicrobial Resistance: A Review. Front. Microbiol. 2019, 10, 539. [Google Scholar] [CrossRef]
- Release, N. WHO Publishes List of Bacteria for Which New Antibiotics Are Urgently Needed. Saudi Med. J. 2017, 38, 444–445. [Google Scholar]
- Brown, E.D.; Wright, G.D. Antibacterial drug discovery in the resistance era. Nature 2016, 529, 336–343. [Google Scholar] [CrossRef]
- Tacconelli, E.; Carrara, E.; Savoldi, A.; Harbarth, S.; Mendelson, M.; Monnet, D.L.; Pulcini, C.; Kahlmeter, G.; Kluytmans, J.; Carmeli, Y.; et al. Discovery, research, and development of new antibiotics: The WHO priority list of antibiotic-resistant bacteria and tuberculosis. Lancet Infect. Dis. 2018, 18, 318–327. [Google Scholar] [CrossRef]
- Zahedi Bialvaei, A.; Rahbar, M.; Yousefi, M.; Asgharzadeh, M.; Samadi Kafil, H. Linezolid: A promising option in the treatment of Gram-positives. J. Antimicrob. Chemother. 2017, 72, 354–364. [Google Scholar] [CrossRef] [PubMed] [Green Version]
- Wahab, S.; Khan, T.; Adil, M.; Khan, A. Mechanistic aspects of plant-based silver nanoparticles against multi-drug resistant bacteria. Heliyon 2021, 7, e07448. [Google Scholar] [CrossRef]
- Walsh, C. Molecular mechanisms that confer antibacterial drug resistance. Nature 2000, 406, 775–781. [Google Scholar] [CrossRef] [PubMed]
- O’Connell, K.M.G.; Hodgkinson, J.T.; Sore, H.F.; Welch, M.; Salmond, G.P.C.; Spring, D.R. Combating Multidrug-Resistant Bacteria: Current Strategies for the Discovery of Novel Antibacterials. Angew. Chem. Int. Ed. 2013, 52, 10706–10733. [Google Scholar] [CrossRef]
- Sionov, R.V.; Banerjee, S.; Bogomolov, S.; Smoum, R.; Mechoulam, R.; Steinberg, D. Targeting the Achilles’ Heel of Multidrug-Resistant Staphylococcus aureus by the Endocannabinoid Anandamide. Int. J. Mol. Sci. 2022, 23, 7798. [Google Scholar] [CrossRef]
- Wang, W.; Zhang, Y.W.; Hu, S.J.; Niu, W.P.; Zhang, G.N.; Zhu, M.; Wang, M.H.; Zhang, F.; Li, X.M.; Wang, J.X. Design, synthesis, and antibacterial evaluation of PFK-158 derivatives as potent agents against drug-resistant bacteria. Bioorg. Med. Chem. Lett. 2021, 41, 127980. [Google Scholar] [CrossRef]
- Sierra, J.M.; Fusté, E.; Rabanal, F.; Vinuesa, T.; Viñas, M. An overview of antimicrobial peptides and the latest advances in their development. Expert Opin. Biol. Ther. 2017, 17, 663–676. [Google Scholar] [CrossRef]
- Somma, A.D.; Moretta, A.; Cané, C.; Scieuzo, C.; Salvia, R.; Falabella, P.; Duilio, A. Structural and Functional Characterization of a Novel Recombinant Antimicrobial Peptide from Hermetia illucens. Curr. Issues Mol. Biol. 2022, 44, 1–13. [Google Scholar] [CrossRef]
- Tian, J.X.; Zhang, J.Y.; Yang, J.T.; Du, L.Y.; Geng, H.; Cheng, Y.Q. Conjugated Polymers Act Synergistically with Antibiotics to Combat Bacterial Drug Resistance. ACS Appl. Mater. Interfaces 2017, 9, 18512–18520. [Google Scholar] [CrossRef]
- Deepika, M.S.; Thangam, R.; Sundarraj, S.; Sheena, T.S.; Sivasubramanian, S.; Kulandaivel, J.; Thirumurugan, R. Co-delivery of Diverse Therapeutic Compounds Using PEG-PLGA Nanoparticle Cargo against Drug-Resistant Bacteria: An Improved Anti-biofilm Strategy. ACS Appl. Bio Mater. 2020, 3, 385–399. [Google Scholar] [CrossRef]
- Breheny, J.; Kingston, C.; Doran, R.; Anes, J.; Martins, M.; Fanning, S.; Guiry, P.J. Investigation of the Anti-Methicillin-Resistant Staphylococcus aureus Activity of (+)-Tanikolide- and (+)-Malyngolide-Based Analogues Prepared by Asymmetric Synthesis. Int. J. Mol. Sci. 2021, 22, 6400. [Google Scholar] [CrossRef] [PubMed]
- Douafer, H.; Andrieu, V.; Phanstiel, O.; Brunel, J.M. Antibiotic Adjuvants: Make Antibiotics Great Again! J. Med. Chem. 2019, 62, 8665–8681. [Google Scholar] [CrossRef] [PubMed]
- Laxminarayan, R.; Duse, A.; Wattal, C.; Zaidi, A.K.M.; Wertheim, H.F.L.; Sumpradit, N.; Vlieghe, E.; Hara, G.L.; Gould, I.M.; Goossens, H.; et al. Antibiotic Resistance-the Need for Global Solutions. Lancet Infect. Dis. 2013, 13, 1057–1098. [Google Scholar] [CrossRef]
- Lewis, K. Platforms for Antibiotic Discovery. Nat. Rev. Drug Discov. 2013, 12, 371–387. [Google Scholar] [CrossRef] [PubMed]
- Larsson, D.G.J. Antibiotics in the Environment. Upsala J. Med. Sci. 2014, 119, 108–112. [Google Scholar] [CrossRef] [PubMed]
- Bouyahya, A.; Chamkhi, I.; Balahbib, A.; Rebezov, M.; Ali Shariati, M.; Wilairatana, P.; Mubarak, M.S.; Benali, T.; El Omari, N. Mechanisms, Anti-Quorum-Sensing Actions, and Clinical Trials of Medicinal Plant Bioactive Compounds against Bacteria: A Comprehensive Review. Molecules 2022, 27, 1484. [Google Scholar] [CrossRef]
- Paxton, J.D. Phytoalexins-A Working Redefinition. J. Phytopathol. 1981, 101, 106–209. [Google Scholar] [CrossRef]
- Jiang, X.; Cao, Y.; Wang, Y.; Liu, L.; Shen, F.; Wang, R. A unique approach to the concise synthesis of highly optically active spirooxazolines and the discovery of a more potent oxindole-type phytoalexin analogue. J. Am. Chem. Soc. 2010, 132, 15328–15333. [Google Scholar] [CrossRef]
- Mao, G.H.; Meng, X.Z.; Liu, Y.D.; Zheng, Z.Y.; Chen, Z.X.; Zhang, S.Q. Phosphorylation of a WRKY transcription factor by two pathogen-responsive MAPKs drives phytoalexin biosynthesis in Arabidopsis. Plant Cell 2011, 23, 1639–1653. [Google Scholar] [CrossRef]
- Jeandet, P.; Douillet-Breuil, A.C.; Bessis, R.; Debord, S.; Sbaghi, M.; Adrian, M. Phytoalexins from the vitaceae: Biosynthesis, phytoalexin gene expression in transgenic plants, antifungal activity, and metabolism. J. Agric. Food Chem. 2002, 50, 2731–2741. [Google Scholar] [CrossRef]
- Hüttner, C.; Beuerle, T.; Scharnhop, H.; Ernst, L.; Beerhues, L. Differential Effect of Elicitors on Biphenyl and Dibenzofuran Formation in Sorbus aucuparia Cell Cultures. J. Agric. Food Chem. 2010, 58, 11977–11984. [Google Scholar] [CrossRef]
- Chizzali, C.; Beerhues, L. Phytoalexins of the Pyrinae: Biphenyls and dibenzofurans. Beilstein J. Org. Chem. 2012, 8, 613–620. [Google Scholar] [CrossRef] [PubMed]
- Erdtman, H.; Eriksson, G.; Norin, T.; Forsen, S. Aucuparin and methoxyaucuparin, two phenolic biphenyl derivatives from the heartwood of Sorbus aucuparia L. Acta Chem. Scand. 1963, 17, 1151–1156. [Google Scholar] [CrossRef]
- Kemp, M.S.; Burden, R.S. Isolation and structure determination of cpyrufuran, a third induced antifungal dibenzofuran from the wood of Pyrus communis L. infected with Chondrostereum purpureum (Pers. ex Fr.) Pouzar. J. Chem. Soc. Perkin Trans. 1984, 1, 1441–1443. [Google Scholar] [CrossRef]
- Burmaoglu, S.; Kazancioglu, E.; Kazancioglu, M.Z.; Sağlamtaş, R.; Yalcin, G.; Gulcin, I.; Algul, O. Synthesis, molecular docking and some metabolic enzyme inhibition properties of biphenyl-substituted chalcone derivatives. J. Mol. Struc. 2022, 1254, 132358. [Google Scholar] [CrossRef]
- Jain, Z.J.; Gide, P.S.; Kankate, R.S. Biphenyls and their derivatives as synthetically and pharmacologically important aromatic structural moieties. Arab. J. Chem. 2017, 10, S2051–S2066. [Google Scholar] [CrossRef]
- Song, C.G.; Wang, X.; Yang, J.; Kuang, Y.; Wang, Y.X.; Yang, S.X.; Qin, J.C.; Guo, L.P. Antifungal Biphenyl Derivatives from Sorbus pohuashanensis Leaves Infected by Alternaria tenuissi and Their Effect against Crop Pathogens. Chem. Biodivers. 2021, 18, e2100079. [Google Scholar] [CrossRef]
- Gao, Y.; Yang, J.; Yang, X.-L.; Zhang, L.; Wang, J.; Li, Q.; Lin, D.-M.; Zhang, M.; Xia, S.-N.; Xu, L.-L.; et al. Novel dibenzofuran and biphenyl phytoalexins from Sorbus pohuashanensis suspension cell and their antimicrobial activities. Fitoterapia 2021, 152, 104914. [Google Scholar] [CrossRef]
- Langfielda, R.D.; Scaranob, F.J.; Heitzmana, M.E.; Kondoa, M.; Hammonda, G.B.; Neto, C.C. Use of a modified microplate bioassay method to investigate antibacterial activity in the Peruvian medicinal plant Peperomia galioides. J. Ethnopharmacol. 2004, 94, 279–281. [Google Scholar] [CrossRef]
- Music, A.; Baumann, A.N.; Spieß, P.; Plantefol, A.; Jagau, T.C.; Didier, D. Electrochemical Synthesis of Biaryls via Oxidative Intramolecular Coupling of Tetra(hetero)arylborates. J. Am. Chem. Soc. 2020, 142, 4341–4348. [Google Scholar] [CrossRef]
- Delaney, C.P.; Kassel, V.M.; Denmark, S.E. Potassium Trimethylsilanolate Enables Rapid, Homogeneous Suzuki−Miyaura Cross-Coupling of Boronic Esters. ACS Catal. 2020, 10, 73–80. [Google Scholar] [CrossRef] [PubMed]
- Vasala, A.; Hytönen, V.P.; Laitinen, O.H. Modern tools for rapid diagnostics of antimicrobial resistance. Front. Cell. Infect. Microbiol. 2020, 10, 308. [Google Scholar] [CrossRef] [PubMed]
- Liang, M.; Jin, Y.C.; Xue, W.W.; Xiao, L.L.; You, F.L.; Wei, Z.; Tian, E.W.; Ming, P.; Shu, C.L.; Shi, J.; et al. Structural modification of honokiol, a biphenyl occurring in Magnolia officinalis: The evaluation of honokiol analogues as inhibitors of angiogenesis and for their cytotoxicity and structure-activity relationship. J. Med. Chem. 2011, 54, 6469–6481. [Google Scholar]
- de Fernandes, T.A.; Domingos, J.L.O.; da Rocha, L.I.A.; de Medeiros, S.; Nájera, C.; Costa, P.R.R. Synthesis of 5-Carbapterocarpens by α-Arylation of Tetralones Followed by One-Pot Demethylation/Cyclization with BBr3. Eur. J. Org. Chem. 2014, 2014, 1314–1320. [Google Scholar] [CrossRef]
- Lohan, S.; Mandal, D.; Choi, W.; Konshina, A.G.; Tiwari, R.K.; Efremov, R.G.; Maslennikov, I.; Parang, K. Small Amphiphilic Peptides: Activity Against a Broad Range of Drug-Resistant Bacteria and Structural Insight into Membranolytic Properties. J. Med. Chem. 2022, 65, 665–687. [Google Scholar] [CrossRef] [PubMed]
Publisher’s Note: MDPI stays neutral with regard to jurisdictional claims in published maps and institutional affiliations. |
© 2022 by the authors. Licensee MDPI, Basel, Switzerland. This article is an open access article distributed under the terms and conditions of the Creative Commons Attribution (CC BY) license (https://creativecommons.org/licenses/by/4.0/).


