Gene Expression Studies in Formalin-Fixed Paraffin-Embedded Samples of Cutaneous Cancer: The Need for Reference Genes
Abstract
1. Introduction
2. Materials and Methods
2.1. Patients and Study Samples
2.2. Candidate Genes
2.3. RNA Isolation and Integrity
2.4. Retrotranscription and Preamplification
2.5. Reference Genes Expression by qPCR
2.6. Statistical Analysis
3. Results
3.1. Primer Specificity and RT-qPCR Amplification Efficiency
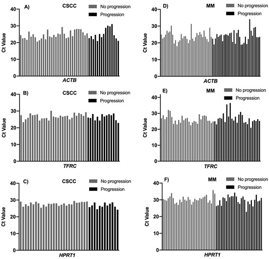
3.2. Gene Expression Profiling
3.3. Expression Stability of the Candidate Reference Gene
4. Discussion
5. Conclusions
Author Contributions
Funding
Institutional Review Board Statement
Informed Consent Statement
Data Availability Statement
Acknowledgments
Conflicts of Interest
References
- Carr, S.; Smith, C.; Wernberg, J. Epidemiology and Risk Factors of Melanoma. Surg. Clin. N. Am. 2019, 100, 1–12. [Google Scholar] [CrossRef]
- Wei, W.; Chen, Y.; Xu, J.; Zhou, Y.; Bai, X.; Yang, M.; Zhu, J. Identification of Biomarker for Cutaneous Squamous Cell Carcinoma Using Microarray Data Analysis. J. Cancer 2018, 9, 400–406. [Google Scholar] [CrossRef]
- Belter, B.; Haase-Kohn, C.; Pietzsch, J. Biomarkers in Malignant Melanoma: Recent Trends and Critical Perspective. Exon Publ. 2017, 39–56. [Google Scholar] [CrossRef]
- Angi, M.; Kalirai, H.; Prendergast, S.; Simpson, D.; Hammond, D.; Madigan, M.C.; Beynon, R.; Coupland, S.E. In-depth proteomic profiling of the uveal melanoma secretome. Oncotarget 2016, 7, 49623–49635. [Google Scholar] [CrossRef]
- Solassol, J.; Du-Thanh, A.; Maudelonde, T.; Guillot, B. Serum Proteomic Profiling Reveals Potential Biomarkers for Cutaneous Malignant Melanoma. Int. J. Biol. Markers 2011, 26, 82–87. [Google Scholar] [CrossRef]
- Kokkat, T.J.; Patel, M.S.; McGarvey, D.; Livolsi, V.A.; Baloch, Z.W. Archived Formalin-Fixed Paraffin-Embedded (FFPE) Blocks: A Valuable Underexploited Resource for Extraction of DNA, RNA, and Protein. Biopreservation Biobanking 2013, 11, 101–106. [Google Scholar] [CrossRef]
- Christensen, J.N.; Schmidt, H.; Steiniche, T.; Madsen, M. Identification of robust reference genes for studies of gene expression in FFPE melanoma samples and melanoma cell lines. Melanoma Res. 2020, 30, 26–38. [Google Scholar] [CrossRef]
- Ibusuki, M.; Fu, P.; Yamamoto, S.; Fujiwara, S.; Yamamoto, Y.; Honda, Y.; Iyama, K.-I.; Iwase, H. Establishment of a standardized gene-expression analysis system using formalin-fixed, paraffin-embedded, breast cancer specimens. Breast Cancer 2011, 20, 159–166. [Google Scholar] [CrossRef]
- Mocellin, S.; Rossi, C.R.; Pilati, P.; Nitti, D.; Marincola, F.M. Quantitative real-time PCR: A powerful ally in cancer research. Trends Mol. Med. 2003, 9, 189–195. [Google Scholar] [CrossRef]
- Kozera, B.; Rapacz, M. Reference genes in real-time PCR. J. Appl. Genet. 2013, 54, 391–406. [Google Scholar] [CrossRef]
- García-Sánchez, A.; Marqués-García, F. Chromatin Immunoprecipitation: Application to the Study of Asthma. In Molecular Genetics of Asthma; Humana Press: New York, NY, USA, 2016; Volume 1434, pp. 121–137. [Google Scholar] [CrossRef]
- Huggett, J.F.; Dheda, K.; Bustin, S.; Zumla, P.S.A. Real-time RT-PCR normalisation; strategies and considerations. Genes Immun. 2005, 6, 279–284. [Google Scholar] [CrossRef]
- Ayakannu, T.; Taylor, A.H.; Willets, J.M.; Brown, L.; Lambert, D.G.; McDonald, J.; Davies, Q.; Moss, E.L.; Konje, J.C. Validation of endogenous control reference genes for normalizing gene expression studies in endometrial carcinoma. Mol. Hum. Reprod. 2015, 21, 723–735. [Google Scholar] [CrossRef]
- Gutierrez, L.; Mauriat, M.; Guénin, S.; Pelloux, J.; Lefebvre, J.-F.; Louvet, R.; Rusterucci, C.; Moritz, T.; Guerineau, F.; Bellini, C.; et al. The lack of a systematic validation of reference genes: A serious pitfall undervalued in reverse transcription-polymerase chain reaction (RT-PCR) analysis in plants. Plant Biotechnol. J. 2008, 6, 609–618. [Google Scholar] [CrossRef]
- Zhang, X.; Ding, L.; Sandford, A.J. Selection of reference genes for gene expression studies in human neutrophils by real-time PCR. BMC Mol. Biol. 2005, 6, 4. [Google Scholar] [CrossRef]
- Dheda, K.; Huggett, J.F.; Bustin, S.; Johnson, M.A.; Rook, G.; Zumla, P.S.A. Validation of housekeeping genes for normalizing RNA expression in real-time PCR. BioTechniques 2004, 37, 112–119. [Google Scholar] [CrossRef] [PubMed]
- Chari, R.; Lonergan, K.M.; A Pikor, L.; Coe, B.P.; Zhu, C.Q.; Chan, T.H.; E MacAulay, C.; Tsao, M.-S.; Lam, S.; Ng, R.T.; et al. A sequence-based approach to identify reference genes for gene expression analysis. BMC Med Genom. 2010, 3, 32. [Google Scholar] [CrossRef][Green Version]
- de Jonge, H.J.; Fehrmann, R.S.; de Bont, E.S.; Hofstra, R.M.; Gerbens, F.; Kamps, W.A.; de Vries, E.G.; van der Zee, A.G.; te Meerman, G.J.; ter Elst, A. Evidence based selection of housekeeping genes. PLoS ONE 2007, 2, e898. [Google Scholar] [CrossRef]
- Suzuki, T.; Higgins, P.J.; Crawford, D.R. Control Selection for RNA Quantitation. BioTechniques 2000, 29, 332–337. [Google Scholar] [CrossRef] [PubMed]
- Ripoli, F.L.; Mohr, A.; Hammer, S.C.; Willenbrock, S.; Hewicker-Trautwein, M.; Hennecke, S.; Escobar, H.M.; Nolte, I. A Comparison of Fresh Frozen vs. Formalin-Fixed, Paraffin-Embedded Specimens of Canine Mammary Tumors via Branched-DNA Assay. Int. J. Mol. Sci. 2016, 17, 724. [Google Scholar] [CrossRef] [PubMed]
- Drury, S.; Anderson, H.; Dowsett, M. Selection of REFERENCE genes for normalization of qRT-PCR data derived from FFPE breast tumors. Diagn. Mol. Pathol. 2009, 18, 103–107. [Google Scholar] [CrossRef]
- Lebbé, C.; Guedj, M.; Basset-Seguin, N.; Podgorniak, M.P.; Menashi, S.; Janin, A.; Mourah, S. A Reliable Method for the Selection of Exploitable Melanoma Archival Paraffin Embedded Tissues for Transcript Biomarker Profiling. PLoS ONE 2012, 7, e29143. [Google Scholar] [CrossRef] [PubMed][Green Version]
- Glenn, S.T.; Jones, C.A.; Liang, P.; Kaushik, D.; Gross, K.W.; Kim, H.L. Expression profiling of archival renal tumors by quantitative PCR to validate prognostic markers. BioTechniques 2007, 43, 639–647. [Google Scholar] [CrossRef] [PubMed]
- Janik, M.E.; Szwed, S.; Grzmil, P.; Kaczmarek, R.; Czerwiński, M.; Hoja-Łukowicz, D. RT-qPCR analysis of human melanoma progression-related genes—A novel workflow for selection and validation of candidate reference genes. Int. J. Biochem. Cell Biol. 2018, 101, 12–18. [Google Scholar] [CrossRef] [PubMed]
- Wang, X.; He, J.; Wang, W.; Ren, M.; Gao, S.; Zhao, G.; Wang, J.; Yang, Q. Validation of internal reference genes for relative quantitation studies of gene expression in human laryngeal cancer. PeerJ 2016, 4, e2763. [Google Scholar] [CrossRef] [PubMed]
- Walter, R.F.H.; Werner, R.; Vollbrecht, C.; Hager, T.; Flom, E.; Christoph, D.C.; Schmeller, J.; Schmid, K.W.; Wohlschlaeger, J.; Mairinger, F. ACTB, CDKN1B, GAPDH, GRB2, RHOA and SDCBP Were Identified as Reference Genes in Neuroendocrine Lung Cancer via the nCounter Technology. PLoS ONE 2016, 11, e0165181. [Google Scholar] [CrossRef] [PubMed]
- Walter, R.F.H.; Mairinger, F.D.; Wohlschlaeger, J.; Worm, K.; Ting, S.; Vollbrecht, C.; Schmid, K.W.; Hager, T. FFPE tissue as a feasible source for gene expression analysis—A comparison of three reference genes and one tumor marker. Pathol. Res. Pract. 2013, 209, 784–789. [Google Scholar] [CrossRef]
- Majidzadeh-A, K.; Esmaeili, R.; Abdoli, N. TFRC and ACTB as the best reference genes to quantify Urokinase Plasminogen Activator in breast cancer. BMC Res. Notes 2011, 4, 215. [Google Scholar] [CrossRef]
- Pfaffl, M.W.; Tichopad, A.; Prgomet, C.; Neuvians, T.P. Determination of stable housekeeping genes, differentially regulated target genes and sample integrity: BestKeeper--Excel-based tool using pair-wise correlations. Biotechnol. Lett. 2004, 26, 509–515. [Google Scholar] [CrossRef] [PubMed]
- Andersen, C.L.; Jensen, J.L.; Ørntoft, T.F. Normalization of Real-Time Quantitative Reverse Transcription-PCR Data: A Model-Based Variance Estimation Approach to Identify Genes Suited for Normalization, Applied to Bladder and Colon Cancer Data Sets. Cancer Res. 2004, 64, 5245–5250. [Google Scholar] [CrossRef]
- Rienzo, M.; Schiano, C.; Casamassimi, A.; Grimaldi, V.; Infante, T.; Napoli, C. Identification of valid reference housekeeping genes for gene expression analysis in tumor neovascularization studies. Clin. Transl. Oncol. 2012, 15, 211–218. [Google Scholar] [CrossRef] [PubMed]
- Guo, C.; Liu, S.; Wang, J.; Sun, M.Z.; Greenaway, F.T. ACTB in cancer. Clin. Chim. Acta 2013, 417, 39–44. [Google Scholar] [CrossRef] [PubMed]
- Iyer, G.; Wang, A.R.; Brennan, S.R.; Bourgeois, S.; Armstrong, E.; Shah, P.; Harari, P.M. Identification of stable housekeeping genes in response to ionizing radiation in cancer research. Sci. Rep. 2017, 7, 43763. [Google Scholar] [CrossRef] [PubMed]
- Schmeller, J.; Wessolly, M.; Mairinger, E.; Borchert, S.; Hager, T.; Mairinger, T.; Schmid, K.W.; Wohlschlaeger, J.; Walter, R.F.; Mairinger, F.D. Setting out the frame conditions for feasible use of FFPE derived RNA. Pathol. Res. Pract. 2018, 215, 381–386. [Google Scholar] [CrossRef] [PubMed]
- Haynes, H.; Killick-Cole, C.L.; Hares, K.M.; Redondo, J.; Kemp, K.; A Moutasim, K.; Faulkner, C.; Wilkins, A.; Kurian, K.M. Evaluation of the quality of RNA extracted from archival FFPE glioblastoma and epilepsy surgical samples for gene expression assays. J. Clin. Pathol. 2018, 71, 695–701. [Google Scholar] [CrossRef]
- Warf, M.B.; Flake, D.D.; Adams, D.; Gutin, A.; Kolquist, K.A.; Wenstrup, R.J.; Roa, B.B. Analytical validation of a melanoma diagnostic gene signature using formalin-fixed paraffin-embedded melanocytic lesions. Biomark. Med. 2015, 9, 407–416. [Google Scholar] [CrossRef]
- Wada, S.; Noguchi, T.; Takeno, S.; Kawahara, K. PIK3CA and TFRC Located in 3q Are New Prognostic Factors in Esophageal Squamous Cell Carcinoma. Ann. Surg. Oncol. 2006, 13, 961–966. [Google Scholar] [CrossRef] [PubMed]
- Korenková, V.; Scott, J.; Novosadová, V.; Jindřichová, M.; Langerová, L.; Švec, D.; Šídová, M.; Sjöback, R. Pre-amplification in the context of high-throughput qPCR gene expression experiment. BMC Mol. Biol. 2015, 16, 5. [Google Scholar] [CrossRef]
- Donati, S.; Ciuffi, S.; Brandi, M.L. Human Circulating miRNAs Real-time qRT-PCR-based Analysis: An Overview of Endogenous Reference Genes Used for Data Normalization. Int. J. Mol. Sci. 2019, 20, 4353. [Google Scholar] [CrossRef]
- Yu, B.; Zhang, Y.; Wu, K.; Wang, L.; Jiang, Y.; Chen, W.; Yan, M. CD147 promotes progression of head and neck squamous cell carcinoma via NF-kappa B signaling. J. Cell. Mol. Med. 2018, 23, 954–966. [Google Scholar] [CrossRef]
- Ouyang, F.; Liu, J.; Xia, M.; Lin, C.; Wu, X.; Ye, L.; Song, L.; Li, J.; Wang, J.; Guo, P.; et al. GINS2 is a novel prognostic biomarker and promotes tumor progression in early-stage cervical cancer. Oncol. Rep. 2017, 37, 2652–2662. [Google Scholar] [CrossRef]
- Bustin, S.A.; Benes, V.; Garson, J.A.; Hellemans, J.; Huggett, J.; Kubista, M.; Mueller, R.; Nolan, T.; Pfaffl, M.W.; Shipley, G.L.; et al. The MIQE Guidelines: Minimum Information for Publication of Quantitative Real-Time PCR Experiments. Clin. Chem. 2009, 55, 611–622. [Google Scholar] [CrossRef] [PubMed]



| Melanoma * | Squamous Cell Carcinoma + | ||
|---|---|---|---|
| Number of Patients | 74 | 49 | |
| Male/Female Ratio | 0.8 | 1.6 | |
| Median Age at Diagnosis (y) | 68 | 75 | |
| Location n (%) | Trunk | 13 (18) | 3 (6) |
| Limbs | 47 (63) | 8 (16) | |
| Head or neck | 14 (19) | 38 (78) | |
| Stage # n (%) | I–II | 53 (72) | 49 (100) |
| III–IV | 21 (28) | 0 (0) | |
| Disease Progression n (%) | 36 (49) | 13 (27) | |
| Gene | Tittle | Accession No. | Amplicon Size (bp #) | TaqMan Assay |
|---|---|---|---|---|
| ACTB | Beta-actin | NM_001101 | 63 | Hs01060665_g1 |
| TFRC | Transferrin receptor | NM_003234 | 66 | Hs00951083_m1 |
| HPRT1 | Hypoxanthine phosphoribosyltransferase 1 | NM_000194 | 82 | Hs02800695_m1 |
| TBP | TATA-box binding protein | NM_001172085 | 91 | Hs00427620_m1 |
Publisher’s Note: MDPI stays neutral with regard to jurisdictional claims in published maps and institutional affiliations. |
© 2021 by the authors. Licensee MDPI, Basel, Switzerland. This article is an open access article distributed under the terms and conditions of the Creative Commons Attribution (CC BY) license (https://creativecommons.org/licenses/by/4.0/).
Share and Cite
García-Pérez, O.; Melgar-Vilaplana, L.; Córdoba-Lanús, E.; Fernández-de-Misa, R. Gene Expression Studies in Formalin-Fixed Paraffin-Embedded Samples of Cutaneous Cancer: The Need for Reference Genes. Curr. Issues Mol. Biol. 2021, 43, 2167-2176. https://doi.org/10.3390/cimb43030151
García-Pérez O, Melgar-Vilaplana L, Córdoba-Lanús E, Fernández-de-Misa R. Gene Expression Studies in Formalin-Fixed Paraffin-Embedded Samples of Cutaneous Cancer: The Need for Reference Genes. Current Issues in Molecular Biology. 2021; 43(3):2167-2176. https://doi.org/10.3390/cimb43030151
Chicago/Turabian StyleGarcía-Pérez, Omar, Leticia Melgar-Vilaplana, Elizabeth Córdoba-Lanús, and Ricardo Fernández-de-Misa. 2021. "Gene Expression Studies in Formalin-Fixed Paraffin-Embedded Samples of Cutaneous Cancer: The Need for Reference Genes" Current Issues in Molecular Biology 43, no. 3: 2167-2176. https://doi.org/10.3390/cimb43030151
APA StyleGarcía-Pérez, O., Melgar-Vilaplana, L., Córdoba-Lanús, E., & Fernández-de-Misa, R. (2021). Gene Expression Studies in Formalin-Fixed Paraffin-Embedded Samples of Cutaneous Cancer: The Need for Reference Genes. Current Issues in Molecular Biology, 43(3), 2167-2176. https://doi.org/10.3390/cimb43030151

