Genetic Differentiation in Anthocyanin Content among Berry Fruits
Abstract
1. Introduction
2. Materials and Methods
2.1. Chemicals and Reagents
2.2. Plant Material Origin
2.3. Dry Matter Determination
2.4. Anthocyanin Separation and Identification
2.5. Statistical Analysis
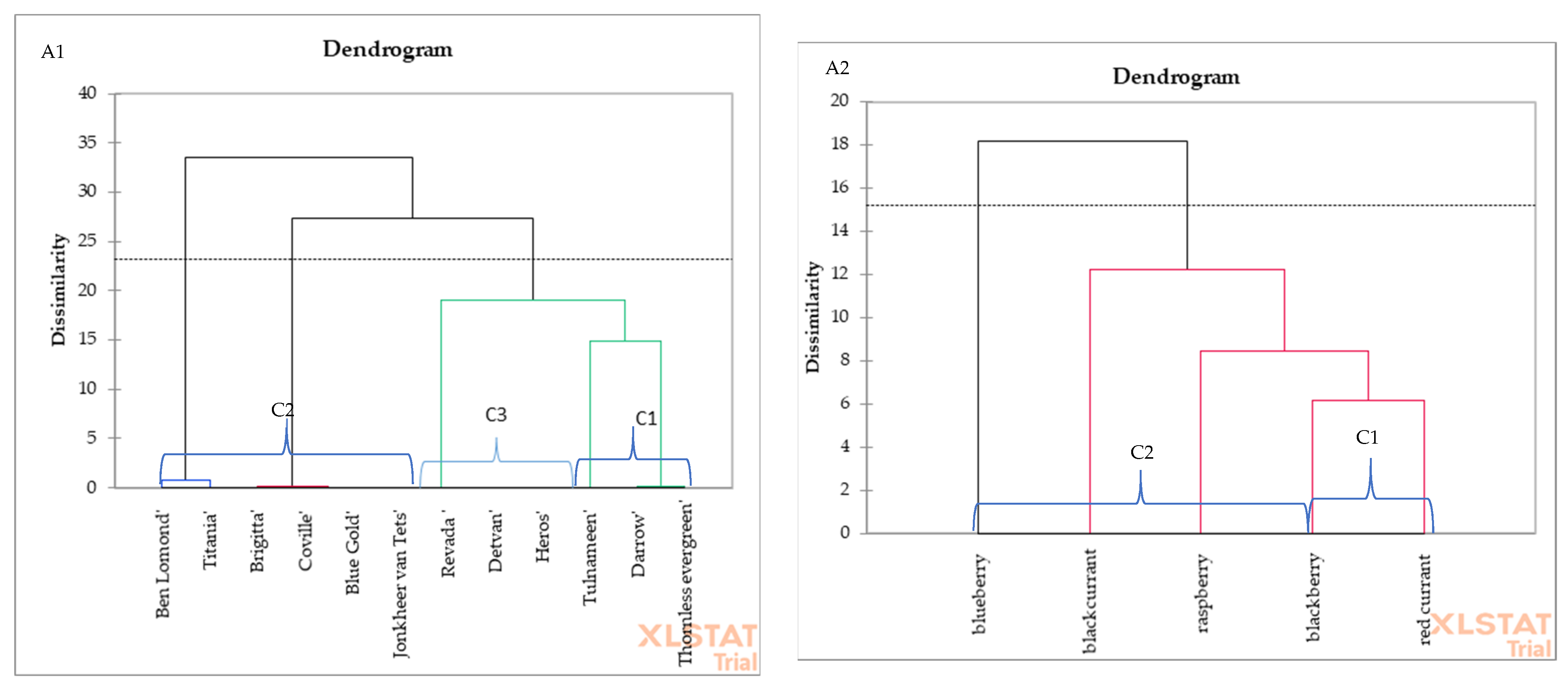
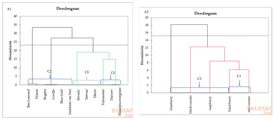
3. Results
The Content of Anthocyanins in Different Berry Fruits
4. Discussion
5. Conclusions
Author Contributions
Funding
Institutional Review Board Statement
Informed Consent Statement
Data Availability Statement
Conflicts of Interest
References
- García-Gómez, B.E.; Salazar, J.A.; Nicolás-Almansa, M.; Razi, M.; Rubio, M.; Ruiz, D.; Martínez-Gómez, P. Molecular Bases of Fruit Quality in Prunus Species: An Integrated Genomic, Transcriptomic, and Metabolic Review with a Breeding Perspective. Int. J. Mol. Sci. 2020, 22, 333. [Google Scholar] [CrossRef] [PubMed]
- Kaume, L.; Howard, L.R.; Devareddy, L. The Blackberry Fruit: A Review on Its Composition and Chemistry, Metabolism and Bioavailability, and Health Benefits. J. Agric. Food Chem. 2011, 60, 5716–5727. [Google Scholar] [CrossRef] [PubMed]
- Mannino, G.; Gentile, C.; Ertani, A.; Serio, G.; Bertea, C. Anthocyanins: Biosynthesis, Distribution, Ecological Role, and Use of Biostimulants to Increase Their Content in Plant Foods—A Review. Agriculture 2021, 11, 212. [Google Scholar] [CrossRef]
- Krishnan, V.; Rani, R.; Pushkar, S.; Lal, S.K.; Srivastava, S.; Kumari, S.; Vinutha, T.; Dahuja, A.; Praveen, S.; Sachdev, A. Anthocyanin fingerprinting and dynamics in differentially pigmented exotic soybean genotypes using modified HPLC–DAD method. J. Food Meas. Charact. 2020, 14, 1966–1975. [Google Scholar] [CrossRef]
- Krüger, S.; Morlock, G.E. Fingerprinting and characterization of anthocyanins in 94 colored wheat varieties and blue aleurone and purple pericarp wheat crosses. J. Chromatogr. A 2018, 1538, 75–85. [Google Scholar] [CrossRef]
- Mannino, G.; Di Stefano, V.; Lauria, A.; Pitonzo, R.; Gentile, C. Vaccinium macrocarpon (Cranberry)-Based Dietary Supplements: Variation in Mass Uniformity, Proanthocyanidin Dosage and Anthocyanin Profile Demonstrates Quality Control Standard Needed. Nutrients 2020, 12, 992. [Google Scholar] [CrossRef]
- Da Silva, F.L.; Escribano-Bailón, M.T.; Alonso, J.J.P.; Rivas-Gonzalo, J.C.; Santos-Buelga, C. Anthocyanin pigments in strawberry. LWT 2007, 40, 374–382. [Google Scholar] [CrossRef]
- Castañeda-Ovando, A.; Pacheco-Hernández, M.D.L.; Páez-Hernández, M.E.; Rodríguez, J.A.; Galán-Vidal, C.A. Chemical studies of anthocyanins: A review. Food Chem. 2009, 113, 859–871. [Google Scholar] [CrossRef]
- Tanaka, Y.; Sasaki, N.; Ohmiya, A. Biosynthesis of plant pigments: Anthocyanins, betalains and carotenoids. Plant J. 2008, 54, 733–749. [Google Scholar] [CrossRef]
- Cisowska, A.; Wojnicz, D.; Hendrich, A.B. Anthocyanins as Antimicrobial Agents of Natural Plant Origin. Nat. Prod. Commun. 2011, 6, 149–156. [Google Scholar] [CrossRef] [PubMed]
- Robert, P.; Fredes, C. The Encapsulation of Anthocyanins from Berry-Type Fruits. Trends in Foods. Molecules 2015, 20, 5875–5888. [Google Scholar] [CrossRef]
- Wallace, T.C. Anthocyanins in cardiovascular disease prevention. In Anthocyanins in Health and Disease; CRC Press: Boca Raton, FL, USA, 2013; pp. 165–197. [Google Scholar] [CrossRef]
- Mekapogu, M.; Vasamsetti, B.M.K.; Kwon, O.-K.; Ahn, M.-S.; Lim, S.-H.; Jung, J.-A. Anthocyanins in Floral Colors: Biosynthesis and Regulation in Chrysanthemum Flowers. Int. J. Mol. Sci. 2020, 21, 6537. [Google Scholar] [CrossRef] [PubMed]
- Huang, W.-Y.; Davidge, S.T.; Wu, J. Bioactive Natural Constituents from Food Sources—Potential Use in Hypertension Prevention and Treatment. Crit. Rev. Food Sci. Nutr. 2013, 53, 615–630. [Google Scholar] [CrossRef]
- Frank, K.; Köhler, K.; Schuchmann, H.P. Stability of anthocyanins in high pressure homogenisation. Food Chem. 2012, 130, 716–719. [Google Scholar] [CrossRef]
- Fernández-López, J.A.; Angosto, J.M.; Giménez, P.J.; León, G. Thermal Stability of Selected Natural Red Extracts Used as Food Colorants. Plant Foods Hum. Nutr. 2013, 68, 11–17. [Google Scholar] [CrossRef] [PubMed]
- Liu, Y.; Tikunov, Y.; Schouten, R.E.; Marcelis, L.F.M.; Visser, R.G.F.; Bovy, A. Anthocyanin Biosynthesis and Degradation Mechanisms in Solanaceous Vegetables: A Review. Front. Chem. 2018, 6, 52. [Google Scholar] [CrossRef] [PubMed]
- Holme, I.B.; Dionisio, G.; Brinch-Pedersen, H. A Roadmap to Modulated Anthocyanin Compositions in Carrots. Plants 2021, 10, 472. [Google Scholar] [CrossRef]
- Seeram, N.P. Berry Fruits: Compositional Elements, Biochemical Activities, and the Impact of Their Intake on Human Health, Performance, and Disease. J. Agric. Food Chem. 2008, 56, 627–629. [Google Scholar] [CrossRef]
- Nile, S.H.; Park, S.W. Edible berries: Bioactive components and their effect on human health. Nutrition 2014, 30, 134–144. [Google Scholar] [CrossRef] [PubMed]
- Olas, B. Berry Phenolic Antioxidants—Implications for Human Health? Front. Pharmacol. 2018, 9, 78. [Google Scholar] [CrossRef]
- Mazzoni, L.; Perez-Lopez, P.; Giampieri, F.; Alvarez-Suarez, J.M.; Gasparrini, M.; Forbes-Hernandez, T.Y.; Quiles, J.L.; Mezzetti, B.; Battino, M. The genetic aspects of berries: From field to health: The genetic aspects of berries. J. Sci. Food Agric. 2016, 96, 365–371. [Google Scholar] [CrossRef] [PubMed]
- Manganaris, G.A.; Goulas, V.; Vicente, A.R.; Terry, L.A. Berry antioxidants: Small fruits providing large benefits. J. Sci. Food Agric. 2013, 94, 825–833. [Google Scholar] [CrossRef] [PubMed]
- Pojer, E.; Mattivi, F.; Johnson, D.; Stockley, C.S. The Case for Anthocyanin Consumption to Promote Human Health: A Review. Compr. Rev. Food Sci. Food Saf. 2013, 12, 483–508. [Google Scholar] [CrossRef]
- Essa, M.M.; Al-Adawi, S.; Memon, M.A.; Manivasagam, T.; Akbar, M.; Subash, S. Neuroprotective effects of berry fruits on neurodegenerative diseases. Neural Regen. Res. 2014, 9, 1557–1566. [Google Scholar] [CrossRef] [PubMed]
- Castro, D.D.S.B.D.; Teodoro, A.J. Anticancer Properties of Bioactive Compounds of Berry Fruits—A Review. Br. J. Med. Med. Res. 2015, 6, 771–794. [Google Scholar] [CrossRef]
- Baby, B.; Antony, P.; Vijayan, R. Antioxidant and anticancer properties of berries. Crit. Rev. Food Sci. Nutr. 2017, 58, 2491–2507. [Google Scholar] [CrossRef]
- Brown, E.M.; Gill, C.I.; McDougall, G.J.; Stewart, D. Mechanisms underlying the anti-proliferative effects of berry components in in vitro models of colon cancer. Curr. Pharm. Biotechnol. 2012, 13, 200–209. [Google Scholar] [CrossRef]
- Ohene, I.; Maalekuu, B.K. Effect of some postharvest treatments on the quality and shelf life of three cultivars of carrot (Daucus carota L.) during storage at room temperature. Am. J. Clin. Nutr. 2013, 3, 64–72. [Google Scholar] [CrossRef]
- Ponder, A.; Hallmann, E. The effects of organic and conventional farm management and harvest time on the polyphenol content in different raspberry cultivars. Food Chem. 2019, 125295. [Google Scholar] [CrossRef]
- Gündeşli, M.A.; Korkmaz, N.; Okatan, V. Polyphenol content and antioxidant capacity of berries: A review. Int. J. Agric. For. Life Sci. 2019, 3, 350–361. [Google Scholar]
- Paredes-López, O.; Cervantes-Ceja, M.L.; Vigna-Pérez, M.; Hernández-Pérez, T. Berries: Improving Human Health and Healthy Aging, and Promoting Quality Life—A Review. Plant Foods Hum. Nutr. 2010, 65, 299–308. [Google Scholar] [CrossRef] [PubMed]
- Greblikaite, J. Development of berry farms in Europe: Organisational and management issues. Mark. Manag. Innov. 2019, 2, 141–159. [Google Scholar] [CrossRef]
- Alvarez-Suarez, J.M.; Cuadrado, C.; Redondo, I.B.; Giampieri, F.; González-Paramás, A.M.; Santos-Buelga, C. Novel approaches in anthocyanin research–Plant fortification and bioavailability issues. Trends Food Sci. Technol. 2021. [Google Scholar] [CrossRef]
- Veberic, R.; Slatnar, A.; Bizjak, J.; Stampar, F.; Mikulic-Petkovsek, M. Anthocyanin composition of different wild and cultivated berry species. L.W.T. 2015, 60, 509–517. [Google Scholar] [CrossRef]
- Määttä-Riihinen, K.R.; Kamal-Eldin, A.; Törrönen, A.R. Identification and Quantification of Phenolic Compounds in Berries ofFragariaandRubusSpecies (Family Rosaceae). J. Agric. Food Chem. 2004, 52, 6178–6187. [Google Scholar] [CrossRef] [PubMed]
- Cordeiro, T.; Fernandes, I.; Pinho, O.; Calhau, C.; Mateus, N.; Faria, A. Anthocyanin content in raspberry and elderberry: The impact of cooking and recipe composition. Int. J. Gastron. Food Sci. 2021, 24, 100316. [Google Scholar] [CrossRef]
- Bobinaitė, R.; Viškelis, P.; Venskutonis, P.R. Variation of total phenolics, anthocyanins, ellagic acid and radical scavenging capacity in various raspberry (Rubus spp.) cultivars. Food Chem. 2012, 132, 1495–1501. [Google Scholar] [CrossRef]
- Weber, C.A.; Perkins-Veazie, P.; Moore, P.; Howard, L. Variability of antioxidant content in raspberry germplasm Variability of Antioxidant Content in Raspberry Germplasm. Acta Hortic. 2008, 493–498. [Google Scholar] [CrossRef]
- Van de Velde, F.; Grace, M.H.; Esposito, D.; Pirovani, M.É.; Lila, M.A. Quantitative comparison of phytochemical profile, antioxidant, and anti-inflammatory properties of blackberry fruits adapted to Argentina. J. Food Compos. Anal. 2016, 47, 82–91. [Google Scholar] [CrossRef]
- Zia-Ul-Haq, M.; Riaz, M.; De Feo, V.; Jaafar, H.Z.E.; Moga, M. Rubus Fruticosus L.: Constituents, Biological Activities and Health Related Uses. Molecules 2014, 19, 10998–11029. [Google Scholar] [CrossRef]
- Fan-Chiang, H.; Wrolstad, R.E. C: Food Chemistry and Toxicology Antioxidant and Anti-inflammatory Activities. Science 2005, 70, 93–97. [Google Scholar]
- Pantelidis, G.E.; Vasilakakis, M.; Manganaris, G.A.; Diamantidis, G.R. Antioxidant capacity, phenol, anthocyanin and ascorbic acid contents in raspberries, blackberries, red currants, gooseberries and Cornelian cherries. Food Chem. 2007, 102, 777–783. [Google Scholar] [CrossRef]
- Jordheim, M.; Enerstvedt, K.H.; Andersen, Ø.M. Identification of Cyanidin 3-O-β-(6″-(3-Hydroxy-3-methylglutaroyl)glucoside) and Other Anthocyanins from Wild and Cultivated Blackberries. J. Agric. Food Chem. 2011, 59, 7436–7440. [Google Scholar] [CrossRef]
- Zdunić, G.; Šavikin, K.; Pljevljakušić, D.; Djordjević, B. Black (Ribes nigrum L.) and Red Currant (Ribes rubrum L.) Cultivars; Elsevier Inc.: Frisco, CO, USA, 2015; ISBN 9780124081178. [Google Scholar]
- Borges, G.; Degeneve, A.; Mullen, W.; Crozier, A. Identification of Flavonoid and Phenolic Antioxidants in Black Currants, Blueberries, Raspberries, Red Currants, and Cranberries. J. Agric. Food Chem. 2010, 58, 3901–3909. [Google Scholar] [CrossRef]
- Gavrilova, V.; Kajdžanoska, M.; Gjamovski, V.; Stefova, M. Separation, Characterization and Quantification of Phenolic Compounds in Blueberries and Red and Black Currants by HPLC−DAD−ESI-MSn. J. Agric. Food Chem. 2011, 59, 4009–4018. [Google Scholar] [CrossRef]
- Wojdyło, A.; Oszmiański, J.; Milczarek, M.; Wietrzyk, J. Phenolic profile, antioxidant and antiproliferative activity of black and red currants (Ribes spp.) from organic and conventional cultivation. Int. J. Food Sci. Technol. 2012, 48, 715–726. [Google Scholar] [CrossRef]
- Wu, X.; Gu, L.; Prior, R.L.; McKay, S. Characterization of Anthocyanins and Proanthocyanidins in Some Cultivars of Ribes, Aronia, and Sambucus and Their Antioxidant Capacity. J. Agric. Food Chem. 2004, 52, 7846–7856. [Google Scholar] [CrossRef]
- Obón, J.M.; Díaz-García, M.; Castellar, M. Red fruit juice quality and authenticity control by HPLC. J. Food Compos. Anal. 2011, 24, 760–771. [Google Scholar] [CrossRef]
- Laczkó-Zöld, E.; Komlósi, A.; Ülkei, T.; Fogarasi, E.; Croitoru, M.; Fülöp, I.; Domokos, E.; Ştefănescu, R.; Varga, E. Extractability of polyphenols from black currant, red currant and gooseberry and their antioxidant activity. Acta Biol. Hung. 2018, 69, 156–169. [Google Scholar] [CrossRef]
- Orsavová, J.; Hlaváčová, I.; Mlček, J.; Snopek, L.; Mišurcová, L. Contribution of phenolic compounds, ascorbic acid and vitamin E to antioxidant activity of currant (Ribes L.) and gooseberry (Ribes uva-crispa L.) fruits. Food Chem. 2019, 284, 323–333. [Google Scholar] [CrossRef]
- Benvenuti, S.; Pellati, F.; Melegari, M.; Bertelli, D. Polyphenols, Anthocyanins, Ascorbic Acid, and Radical Scavenging Activity of Rubus, Ribes, and Aronia. J. Food Sci. 2006, 69, FCT164–FCT169. [Google Scholar] [CrossRef]
- Brambilla, A.; Scalzo, R.L.; Bertolo, G.; Torreggiani, D. Steam-Blanched Highbush Blueberry (Vaccinium corymbosum L.) Juice: Phenolic Profile and Antioxidant Capacity in Relation to Cultivar Selection. J. Agric. Food Chem. 2008, 56, 2643–2648. [Google Scholar] [CrossRef] [PubMed]
- Scalzo, J.; Stevenson, D.; Hedderley, D. Blueberry estimated harvest from seven new cultivars: Fruit and anthocyanins. Food Chem. 2013, 139, 44–50. [Google Scholar] [CrossRef] [PubMed]
- Giovanelli, G.; Buratti, S. Comparison of polyphenolic composition and antioxidant activity of wild Italian blueberries and some cultivated varieties. Food Chem. 2009, 112, 903–908. [Google Scholar] [CrossRef]
- Skrovankova, S.; Sumczynski, D.; Mlcek, J.; Jurikova, T.; Sochor, J. Bioactive Compounds and Antioxidant Activity in Different Types of Berries. Int. J. Mol. Sci. 2015, 16, 24673–24706. [Google Scholar] [CrossRef] [PubMed]
- Stevenson, D.; Scalzo, J. Anthocyanin composition and content of blueberries from around the world. J. Berry Res. 2012, 2, 179–189. [Google Scholar] [CrossRef]
- Wu, X.; Beecher, G.R.; Holden, J.M.; Haytowitz, D.B.; Gebhardt, A.S.E.; Prior, R.L. Concentrations of Anthocyanins in Common Foods in the United States and Estimation of Normal Consumption. J. Agric. Food Chem. 2006, 54, 4069–4075. [Google Scholar] [CrossRef]




| Compound | LOD | LOQ |
|---|---|---|
| Cyanidin-3-O-glucoside | 0.4 | 1.2 |
| Cyanidin-3-O-rutinoside | 0.8 | 2.4 |
| Cyanidin-3-O-galactoside | 0.1 | 0.2 |
| Delphinidin-3-O-glucoside | 2.2 | 6.7 |
| Delphinidin-3-O-rutinoside | 1.0 | 3.0 |
| Delphinidin-3-O-galactoside | 1.0 | 3.0 |
| Pelargonidin-3-O-glucoside | 0.5 | 1.5 |
| Malvidin-3-O-galactoside | 0.8 | 2.4 |
| Species | TA | Cy-3-Glu | Pel-3-Glu | Del-3-Glu | Del-3-Rut | Cy-3-Rut | Del-3-Gal | Cy-3-Gal | Malv-3-Gal |
|---|---|---|---|---|---|---|---|---|---|
| Raspberry (Rubus ideus L.) | 89.54 ± 3.02ab | 45.42 ± 1.54b | 9.69 ± 0.45 | 34.43 ± 1.17a | <LOD | <LOD | <LOD | <LOD | <LOD |
| Blackberry (Rubus L.) | 94.76 ± 3.16a | 88.24 ± 2.97a | <LOD | <LOD | <LOD | 6.12 ± 0.22b | <LOD | 0.40 ± 0.02b | <LOD |
| Red currant (Ribes L.) | 4.95 ± 0.24c | 1.94 ± 0.09c | <LOD | <LOD | <LOD | 3.00 ± 0.16b | <LOD | <LOD | <LOD |
| Blackcurrant (Ribes nigrum L.) | 113.79 ± 5.46a | 6.54 ± 0.43c | <LOD | 29.36 ± 1.34b | 60.40 ± 3.75 | 17.48 ± 0.76a | <LOD | <LOD | <LOD |
| Highbush blueberry (Vaccinium corymbosum L.) | 79.55 ± 1.18b | <LOD | <LOD | <LOD | <LOD | <LOD | 6.45 ± 0.28 | 24.77 ± 0.93a | 48.33 ± 0.69 |
| p-Value (species) | <0.0001 | <0.0001 | 0.0002 | <0.0001 | <0.0001 |
| Species | Cultivar | TA | Cy-3-Glu | Pel-3-Glu | Del-3-Glu | Del-3-Rut | Cy-3-Rut | Del-3-Gal | Cy-3-Gal | Malv-3-Gal |
|---|---|---|---|---|---|---|---|---|---|---|
| Raspberry (Rubus ideus L.) | Tulnameen | 89.54 ± 3.02bcd | 45.42 ± 1.54b | 9.69 ± 0.45a | 34.43 ± 1.17a | <LOD | <LOD | <LOD | <LOD | <LOD |
| Blackberry (Rubus L.) | Darrow | 87.02 ± 0.37bcde | 80.98 ± 0.25a | <LOD | <LOD | <LOD | 5.70 ± 0.18c | <LOD | 0.35 ± 0.01d | <LOD |
| Thornless Evergreen | 102.50 ± 0.09b | 95.50 ± 0.12a | <LOD | <LOD | <LOD | 6.55 ± 0.18c | <LOD | 0.45 ± 0.02d | <LOD | |
| Red currant (Ribes L.) | Detvan | 4.39 ± 0.32e | 1.73 ± 0.08c | <LOD | <LOD | <LOD | 2.66 ± 0.24d | <LOD | <LOD | <LOD |
| Rovada | 4.89 ± 0.40e | 1.92 ± 0.13c | <LOD | <LOD | <LOD | 2.97 ± 0.2d | <LOD | <LOD | <LOD | |
| Heros | 4.30 ± 0.1 e | 1.60 ± 0.01c | <LOD | <LOD | <LOD | 2.70 ± 0.14d | <LOD | <LOD | <LOD | |
| Jonkheer van Tets | 6.20 ± 0.26e | 2.52 ± 0.13c | <LOD | <LOD | <LOD | 3.68 ± 0.13b | <LOD | <LOD | <LOD | |
| Blackcurrant (Ribes nigrum L.) | Ben Lomond | 100.43 ± 0.39bc | 7.54 ± 0.23c | <LOD | 26.07 ± 0.10b | 51.17 ± 0.39b | 15.64 ± 0.18a | <LOD | <LOD | <LOD |
| Titania | 127.15 ± 0.43a | 5.55 ± 0.15c | <LOD | 32.64 ± 0.01ab | 69.63 ± 0.25a | 19.33 ± 0.03a | <LOD | <LOD | <LOD | |
| Highbush blueberry (Vaccinium corymbosum L.) | Coville | 78.25 ± 0.48de | <LOD | <LOD | <LOD | <LOD | <LOD | 5.41 ± 0.12c | 22.02 ± 0.36c | 50.83 ± 0.16a |
| Blue Gold | 76.14 ± 0.62d | <LOD | <LOD | <LOD | <LOD | <LOD | 6.52 ± 0.12b | 23.75 ± 0.06b | 45.87 ± 0.44c | |
| Brigitta | 84.25 ± 0.16cde | <LOD | <LOD | <LOD | <LOD | <LOD | 7.43 ± 0.11a | 28.53 ± 0.07a | 48.29 ± 0.07b | |
| p-Value (cultivar) | <0.0001 | <0.0001 | <0.0001 | 0.0099 | <0.0001 | <0.0001 | 0.0002 | <0.0001 | 0.0001 | |
Publisher’s Note: MDPI stays neutral with regard to jurisdictional claims in published maps and institutional affiliations. |
© 2021 by the authors. Licensee MDPI, Basel, Switzerland. This article is an open access article distributed under the terms and conditions of the Creative Commons Attribution (CC BY) license (https://creativecommons.org/licenses/by/4.0/).
Share and Cite
Ponder, A.; Hallmann, E.; Kwolek, M.; Średnicka-Tober, D.; Kazimierczak, R. Genetic Differentiation in Anthocyanin Content among Berry Fruits. Curr. Issues Mol. Biol. 2021, 43, 36-51. https://doi.org/10.3390/cimb43010004
Ponder A, Hallmann E, Kwolek M, Średnicka-Tober D, Kazimierczak R. Genetic Differentiation in Anthocyanin Content among Berry Fruits. Current Issues in Molecular Biology. 2021; 43(1):36-51. https://doi.org/10.3390/cimb43010004
Chicago/Turabian StylePonder, Alicja, Ewelina Hallmann, Martyna Kwolek, Dominika Średnicka-Tober, and Renata Kazimierczak. 2021. "Genetic Differentiation in Anthocyanin Content among Berry Fruits" Current Issues in Molecular Biology 43, no. 1: 36-51. https://doi.org/10.3390/cimb43010004
APA StylePonder, A., Hallmann, E., Kwolek, M., Średnicka-Tober, D., & Kazimierczak, R. (2021). Genetic Differentiation in Anthocyanin Content among Berry Fruits. Current Issues in Molecular Biology, 43(1), 36-51. https://doi.org/10.3390/cimb43010004

