Melanin Biopolymers in Pharmacology and Medicine—Skin Pigmentation Disorders, Implications for Drug Action, Adverse Effects and Therapy
Abstract
1. Introduction
2. The Basis of Melanocyte Biology
3. Melanosomes—Biogenesis, Structure, and Function
- Stage 1—called premelanosomes, with a spherical shape, lacking both internal structural proteins and tyrosinase; at this stage, the organization of the melanosomal matrix begins.
- Stage 2—elongated, ellipsoidal melanosomes with tyrosinase and an internal fibrillar matrix, primarily composed of PMEL17 protein.
- Stage 3—melanosomes are partially filled with melanin, which is deposited on the fibrils of the melanosomal matrix.
- Stage 4—melanosomes are characterized by low tyrosinase activity and a high melanin content, which obscures the internal structure.
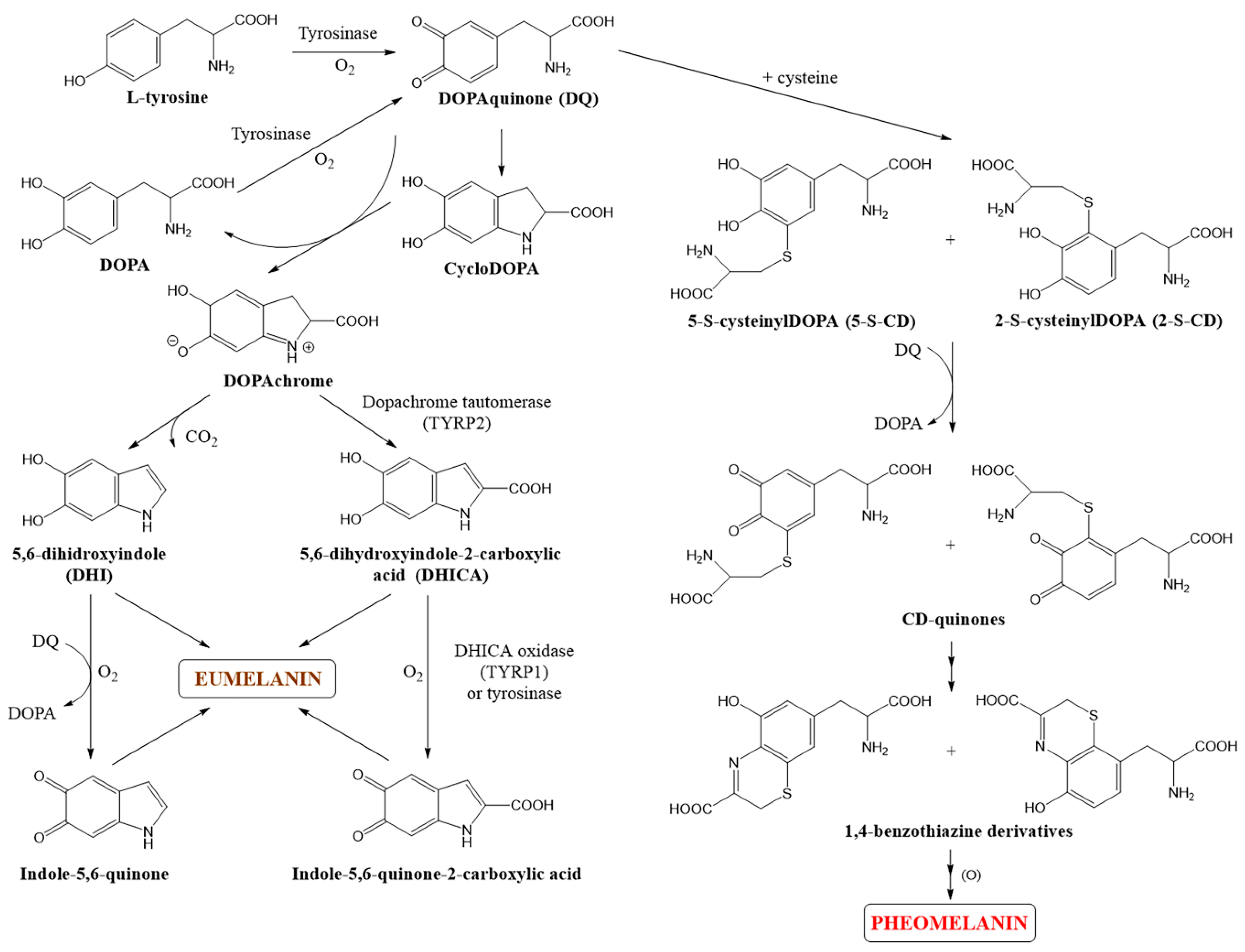
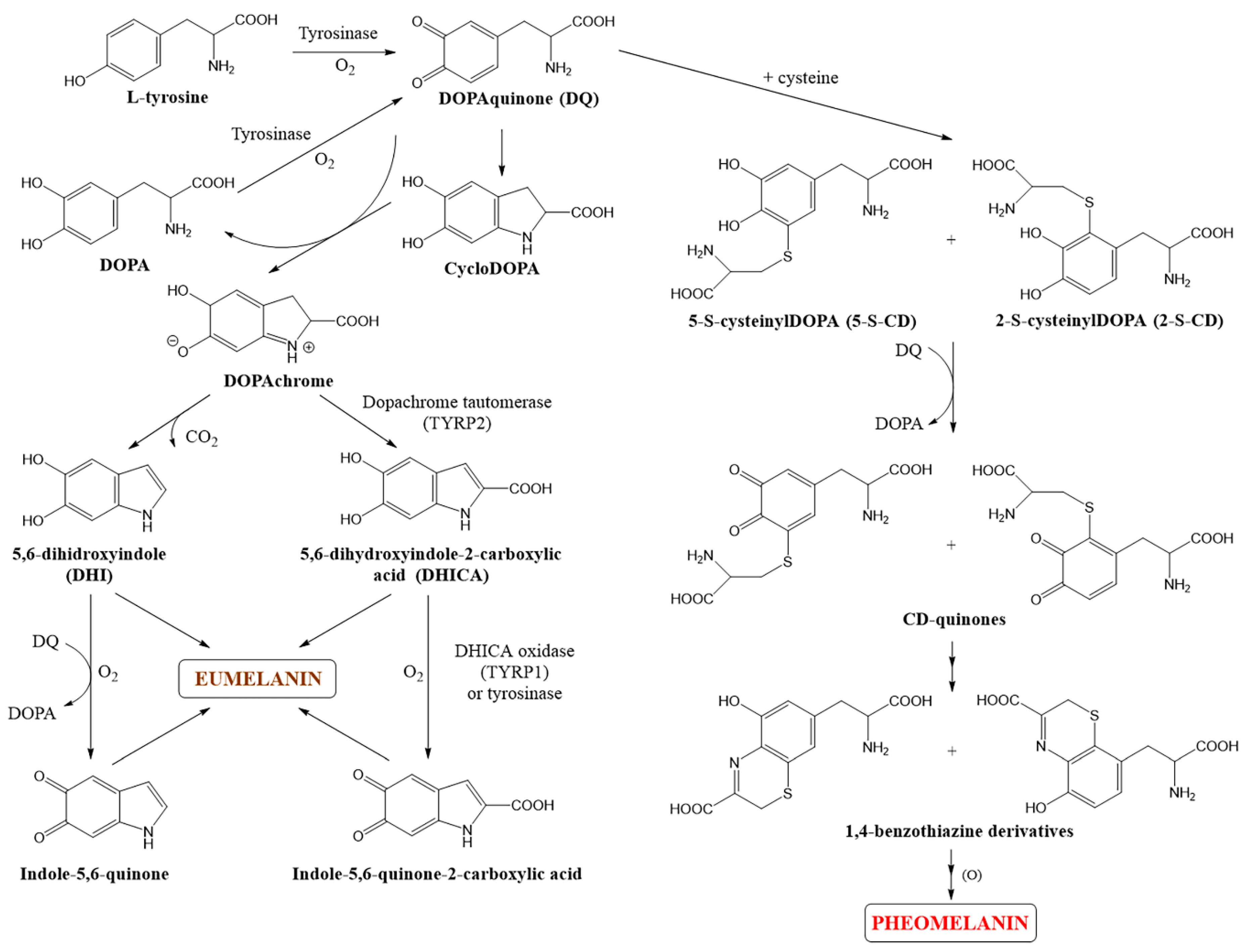
4. Structure and Biosynthesis of Melanin Biopolymers
5. Roles of Melanin
6. Interaction of Drugs with Melanins
7. Skin Pigmentation Disorders—Definition and Classification
8. Hyperpigmentation
8.1. Congenital Hyperpigmentation
8.2. Acquired Hyperpigmentations
9. Hypopigmentation
- Disturbances in the migration of melanoblasts from the neuroectoderm to the skin, which cause diseases such as piebaldism and Waardenburg syndrome.
- Diseases caused by abnormal melanogenesis, e.g., vitiligo and Menkes syndrome.
- Abnormal formation of melanosomes that may cause Hermansky–Pudlak (HPS) disease and Chediak–Higashi syndrome (CHS).
- Abnormalities in melanosome transfer are the cause of Griscelli syndrome (GS).
9.1. Congenital Hypomelanoses
9.2. Acquired Hypomelanoses
10. Treatment of Skin Coloration Disorders
10.1. The Treatment Options for Hyperpigmentation
10.2. The Treatment Options for Hypopigmentation
11. Conclusions
Author Contributions
Funding
Institutional Review Board Statement
Informed Consent Statement
Data Availability Statement
Conflicts of Interest
References
- Rees, J.L. Genetics of hair and skin color. Annu. Rev. Genet. 2003, 37, 67–90. [Google Scholar] [CrossRef] [PubMed]
- Westerhof, W. The discovery of the human melanocyte. Pigment Cell Res. 2006, 19, 183–193. [Google Scholar] [CrossRef] [PubMed]
- Cichorek, M.; Wachulska, M.; Stasiewicz, A.; Tymińska, A. Skin melanocytes: Biology and development. Postepy Dermatol. Alergol. 2013, 30, 30–41. [Google Scholar] [CrossRef]
- Vandamme, N.; Berx, G. From neural crest cells to melanocytes: Cellular plasticity during development and beyond. Cell. Mol. Life Sci. 2019, 76, 1919–1934. [Google Scholar] [CrossRef]
- Cui, Y.Z.; Man, X.Y. Biology of melanocytes in mammals. Front. Cell Dev. Biol. 2023, 11, 1309557. [Google Scholar] [CrossRef] [PubMed]
- Ernfors, P. Cellular origin and developmental mechanisms during the formation of skin melanocytes. Exp. Cell Res. 2010, 316, 1397–1407. [Google Scholar] [CrossRef]
- Bandarchi, B.; Jabbari, C.A.; Vedadi, A.; Navab, R. Molecular biology of normal melanocytes and melanoma cells. J. Clin. Pathol. 2013, 66, 644–648. [Google Scholar] [CrossRef]
- Uong, A.; Zon, L.I. Melanocytes in development and cancer. J. Cell. Physiol. 2010, 222, 38–41. [Google Scholar] [CrossRef]
- Sommer, L. Generation of melanocytes from neural crest cells. Pigment Cell Melanoma Res. 2011, 24, 411–421. [Google Scholar] [CrossRef]
- Adameyko, I.; Lallemend, F.; Aquino, J.B.; Pereira, J.A.; Topilko, P.; Müller, T.; Fritz, N.; Beljajeva, A.; Mochii, M.; Liste, I.; et al. Schwann cell precursors from nerve innervation are a cellular origin of melanocytes in skin. Cell 2009, 139, 366–379. [Google Scholar] [CrossRef]
- Bonnamour, G.; Soret, R.; Pilon, N. Dhh-expressing Schwann cell precursors contribute to skin and cochlear melanocytes, but not to vestibular melanocytes. Pigment Cell Melanoma Res. 2021, 34, 648–654. [Google Scholar] [CrossRef] [PubMed]
- Goding, C.R. Melanocytes: The new Black. Int. J. Biochem. Cell Biol. 2007, 39, 275–279. [Google Scholar] [CrossRef] [PubMed]
- Dupin, E.; Real, C.; Glavieux-Pardanaud, C.; Vaigot, P.; Le Douarin, N.M. Reversal of developmental restrictions in neural crest lineages: Transition from Schwann cells to glial-melanocytic precursors in vitro. Proc. Natl. Acad. Sci. USA 2003, 100, 5229–5233. [Google Scholar] [CrossRef] [PubMed]
- Plonka, P.M.; Passeron, T.; Brenner, M.; Tobin, D.J.; Shibahara, S.; Thomas, A.; Slominski, A.; Kadekaro, A.L.; Hershkovitz, D.; Peters, E.; et al. What are melanocytes really doing all day long...? Exp. Dermatol. 2009, 18, 799–819. [Google Scholar] [CrossRef] [PubMed]
- Ichiki, T.; Ito, T.; Oishi, H.; Kato, K.; Oda, Y.; Nakahara, T. Pigmented epithelioid melanocytoma arising from a teratoma of a Carney complex patient. J. Obstet. Gynaecol. Res. 2024, 50, 266–269. [Google Scholar] [CrossRef] [PubMed]
- Sitaram, A.; Marks, M.S. Mechanisms of protein delivery to melanosomes in pigment cells. Physiology 2012, 27, 85–99. [Google Scholar] [CrossRef] [PubMed]
- Bento-Lopes, L.; Cabaço, L.C.; Charneca, J.; Neto, M.V.; Seabra, M.C.; Barral, D.C. Melanin’s Journey from Melanocytes to Keratinocytes: Uncovering the Molecular Mechanisms of Melanin Transfer and Processing. Int. J. Mol. Sci. 2023, 24, 11289. [Google Scholar] [CrossRef] [PubMed]
- Raposo, G.; Marks, M.S. Melanosomes—Dark organelles enlighten endosomal membrane transport. Nat. Rev. Mol. Cell Biol. 2007, 8, 786–797. [Google Scholar] [CrossRef] [PubMed]
- D’Alba, L.; Shawkey, M.D. Melanosomes: Biogenesis, Properties, and Evolution of an Ancient Organelle. Physiol. Rev. 2019, 99, 1–19. [Google Scholar] [CrossRef]
- Chintala, S.; Li, W.; Lamoreux, M.L.; Ito, S.; Wakamatsu, K.; Sviderskaya, E.V.; Bennett, D.C.; Park, Y.M.; Gahl, W.A.; Huizing, M.; et al. Slc7a11 gene controls production of pheomelanin pigment and proliferation of cultured cells. Proc. Natl. Acad. Sci. USA 2005, 102, 10964–10969. [Google Scholar] [CrossRef]
- Thingnes, J.; Lavelle, T.J.; Hovig, E.; Omholt, S.W. Understanding the melanocyte distribution in human epidermis: An agent-based computational model approach. PLoS ONE 2012, 7, e40377. [Google Scholar] [CrossRef]
- Van Den Bossche, K.; Naeyaert, J.M.; Lambert, J. The quest for the mechanism of melanin transfer. Traffic 2006, 7, 769–778. [Google Scholar] [CrossRef] [PubMed]
- Moreiras, H.; Seabra, M.C.; Barral, D.C. Melanin Transfer in the Epidermis: The Pursuit of Skin Pigmentation Control Mechanisms. Int. J. Mol. Sci. 2021, 22, 4466. [Google Scholar] [CrossRef] [PubMed]
- Hume, A.N.; Seabra, M.C. Melanosomes on the move: A model to understand organelle dynamics. Biochem. Soc. Trans. 2011, 39, 1191–1196. [Google Scholar] [CrossRef]
- Ebanks, J.P.; Koshoffer, A.; Wickett, R.R.; Schwemberger, S.; Babcock, G.; Hakozaki, T.; Boissy, R.E. Epidermal keratinocytes from light vs. dark skin exhibit differential degradation of melanosomes. J. Investig. Dermatol. 2011, 131, 1226–1233. [Google Scholar] [CrossRef] [PubMed]
- Ito, S.; Wakamatsu, K.; Ozeki, H. Chemical analysis of melanins and its application to the study of the regulation of melanogenesis. Pigment Cell Res. 2000, 13, 103–109. [Google Scholar] [CrossRef]
- Ito, S.; Wakamatsu, K. Chemistry of mixed melanogenesis—Pivotal roles of dopaquinone. Photochem. Photobiol. 2008, 84, 582–592. [Google Scholar] [CrossRef]
- Zecca, L.; Zucca, F.A.; Albertini, A.; Rizzio, E.; Fariello, R.G. A proposed dual role of neuromelanin in the pathogenesis of Parkinson’s disease. Neurology 2006, 67 (Suppl. S2), 8–11. [Google Scholar] [CrossRef]
- Fedorow, H.; Tribl, F.; Halliday, G.; Gerlach, M.; Riederer, P.; Double, K.L. Neuromelanin in human dopamine neurons: Comparison with peripheral melanins and relevance to Parkinson’s disease. Prog. Neurobiol. 2005, 75, 109–124. [Google Scholar] [CrossRef]
- Vila, M. Neuromelanin, aging, and neuronal vulnerability in Parkinson’s disease. Mov. Disord. 2019, 34, 1440–1451. [Google Scholar] [CrossRef]
- Simon, J.D.; Peles, D.; Wakamatsu, K.; Ito, S. Current challenges in understanding melanogenesis: Bridging chemistry, biological control, morphology, and function. Pigment Cell Melanoma Res. 2009, 22, 563–579. [Google Scholar] [CrossRef] [PubMed]
- Olivares, C.; Jiménez-Cervantes, C.; Lozano, J.A.; Solano, F.; García-Borrón, J.C. The 5,6-dihydroxyindole-2-carboxylic acid (DHICA) oxidase activity of human tyrosinase. Biochem. J. 2001, 354 Pt 1, 131–139. [Google Scholar] [CrossRef] [PubMed]
- Boissy, R.E.; Sakai, C.; Zhao, H.; Kobayashi, T.; Hearing, V.J. Human tyrosinase related protein-1 (TRP-1) does not function as a DHICA oxidase activity in contrast to murine TRP-1. Exp. Dermatol. 1998, 7, 198–204. [Google Scholar] [CrossRef] [PubMed]
- Chang, T.S. An updated review of tyrosinase inhibitors. Int. J. Mol. Sci. 2009, 10, 2440–2475. [Google Scholar] [CrossRef] [PubMed]
- Simon, J.D.; Hong, L.; Peles, D.N. Insights into melanosomes and melanin from some interesting spatial and temporal properties. J. Phys. Chem. B 2008, 112, 13201–13217. [Google Scholar] [CrossRef] [PubMed]
- Yamaguchi, Y.; Hearing, V.J. Physiological factors that regulate skin pigmentation. Biofactors 2009, 35, 193–199. [Google Scholar] [CrossRef]
- Park, H.Y.; Kosmadaki, M.; Yaar, M.; Gilchrest, B.A. Cellular mechanisms regulating human melanogenesis. Cell. Mol. Life Sci. 2009, 66, 1493–1506. [Google Scholar] [CrossRef] [PubMed]
- Otręba, M.; Rok, J.; Buszman, E.; Wrześniok, D. Regulation of melanogenesis: The role of cAMP and MITF. Postepy Hig. Med. Dosw. 2012, 66, 33–40. [Google Scholar]
- Kondo, T.; Hearing, V.J. Update on the regulation of mammalian melanocyte function and skin pigmentation. Expert Rev. Dermatol. 2011, 6, 97–108. [Google Scholar] [CrossRef]
- Videira, I.F.; Moura, D.F.; Magina, S. Mechanisms regulating melanogenesis. An. Bras. Dermatol. 2013, 88, 76–83. [Google Scholar] [CrossRef]
- Gilchrest, B.A. Molecular aspects of tanning. J. Investig. Dermatol. 2011, 131, 14–17. [Google Scholar] [CrossRef] [PubMed]
- Bellono, N.W.; Oancea, E. UV light phototransduction depolarizes human melanocytes. Channels 2013, 7, 243–248. [Google Scholar] [CrossRef]
- Parra, E.J. Human pigmentation variation: Evolution, genetic basis, and implications for public health. Am. J. Phys. Anthropol. 2007, 45, 85–105. [Google Scholar] [CrossRef] [PubMed]
- Duval, C.; Régnier, M.; Schmidt, R. Distinct melanogenic response of human melanocytes in mono-culture, in co-culture with keratinocytes and in reconstructed epidermis, to UV exposure. Pigment Cell Res. 2001, 14, 348–355. [Google Scholar] [CrossRef]
- Maddodi, N.; Jayanthy, A.; Setaluri, V. Shining light on skin pigmentation: The darker and the brighter side of effects of UV radiation. Photochem. Photobiol. 2012, 88, 1075–1082. [Google Scholar] [CrossRef]
- Brenner, M.; Hearing, V.J. The protective role of melanin against UV damage in human skin. Photochem. Photobiol. 2008, 84, 539–549. [Google Scholar] [CrossRef] [PubMed]
- Abdel-Malek, Z.A.; Kadekaro, A.L.; Swope, V.B. Stepping up melanocytes to the challenge of UV exposure. Pigment Cell Melanoma Res. 2010, 23, 171–186. [Google Scholar] [CrossRef] [PubMed]
- Pellosi, M.C.; Suzukawa, A.A.; Scalfo, A.C.; Di Mascio, P.; Martins Pereira, C.P.; de Souza Pinto, N.C.; de Luna Martins, D.; Martinez, G.R. Effects of the melanin precursor 5,6-dihydroxy-indole-2-carboxylic acid (DHICA) on DNA damage and repair in the presence of reactive oxygen species. Arch. Biochem. Biophys. 2014, 557, 55–64. [Google Scholar] [CrossRef]
- Nasti, T.H.; Timares, L. MC1R, eumelanin and pheomelanin: Their role in determining the susceptibility to skin cancer. Photochem. Photobiol. 2015, 91, 188–200. [Google Scholar] [CrossRef]
- Slominski, R.M.; Sarna, T.; Płonka, P.M.; Raman, C.; Brożyna, A.A.; Slominski, A.T. Melanoma, Melanin, and Melanogenesis: The Yin and Yang Relationship. Front. Oncol. 2022, 12, 842496. [Google Scholar] [CrossRef]
- Leblanc, B.; Jezequel, S.; Davies, T.; Hanton, G.; Taradach, C. Binding of drugs to eye melanin is not predictive of ocular toxicity. Regul. Toxicol. Pharmacol. 1998, 28, 124–132. [Google Scholar] [CrossRef] [PubMed]
- Larsson, B.S. Interaction between chemicals and melanin. Pigment Cell Res. 1993, 6, 127–133. [Google Scholar] [CrossRef] [PubMed]
- Pitkänen, L.; Ranta, V.P.; Moilanen, H.; Urtti, A. Binding of betaxolol, metoprolol and oligonucleotides to synthetic and bovine ocular melanin, and prediction of drug binding to melanin in human choroid-retinal pigment epithelium. Pharm. Res. 2007, 24, 2063–2070. [Google Scholar] [CrossRef] [PubMed]
- Rimpelä, A.K.; Reinisalo, M.; Hellinen, L.; Grazhdankin, E.; Kidron, H.; Urtti, A.; Del Amo, E.M. Implications of melanin binding in ocular drug delivery. Adv. Drug Deliv. Rev. 2018, 126, 23–43. [Google Scholar] [CrossRef]
- Pelkonen, L.; Tengvall-Unadike, U.; Ruponen, M.; Kidron, H.; Del Amo, E.M.; Reinisalo, M.; Urtti, A. Melanin binding study of clinical drugs with cassette dosing and rapid equilibrium dialysis inserts. Eur. J. Pharm. Sci. 2017, 109, 162–168. [Google Scholar] [CrossRef]
- Koeberle, M.J.; Hughes, P.M.; Skellern, G.G.; Wilson, C.G. Binding of memantine to melanin: Influence of type of melanin and characteristics. Pharm. Res. 2003, 20, 1702–1709. [Google Scholar] [CrossRef] [PubMed]
- Jakubiak, P.; Lack, F.; Thun, J.; Urtti, A.; Alvarez-Sánchez, R. Influence of Melanin Characteristics on Drug Binding Properties. Mol. Pharm. 2019, 16, 2549–2556. [Google Scholar] [CrossRef]
- Buszman, E.; Wrześniok, D.; Trzcionka, J. Interaction of neomycin, tobramycin and amikacin with melanin in vitro in relation to aminoglycosides-induced ototoxicity. Pharmazie 2007, 62, 210–215. [Google Scholar] [PubMed]
- Banning, T.P.; Heard, C.M. Binding of doxycycline to keratin, melanin and human epidermal tissue. Int. J. Pharm. 2002, 235, 219–227. [Google Scholar] [CrossRef]
- Rok, J.; Rzepka, Z.; Respondek, M.; Beberok, A.; Wrześniok, D. Chlortetracycline and melanin biopolymer—The risk of accumulation and implications for phototoxicity: An in vitro study on normal human melanocytes. Chem. Biol. Interact. 2019, 303, 27–34. [Google Scholar] [CrossRef]
- Beberok, A.; Buszman, E.; Wrześniok, D.; Otręba, M.; Trzcionka, J. Interaction between ciprofloxacin and melanin: The effect on proliferation and melanization in melanocytes. Eur. J. Pharmacol. 2011, 669, 32–37. [Google Scholar] [CrossRef]
- Nosanchuk, J.D.; Casadevall, A. Impact of melanin on microbial virulence and clinical resistance to antimicrobial compounds. Antimicrob. Agents Chemother. 2006, 50, 3519–3528. [Google Scholar] [CrossRef] [PubMed]
- Buszman, E.; Beberok, A.; Rózańska, R.; Orzechowska, A. Interaction of chlorpromazine, fluphenazine and trifluoperazine with ocular and synthetic melanin in vitro. Pharmazie 2008, 63, 372–376. [Google Scholar] [PubMed]
- Buszman, E.; Betlej, B.; Wrześniok, D.; Radwańska-Wala, B. Effect of metal ions on melanin—Local anaesthetic drug complexes. Bioinorg. Chem. Appl. 2003, 1, 113–122. [Google Scholar] [CrossRef] [PubMed]
- Buszman, E.; Wrześniok, D.; Trzcionka, J.; Miernik-Biela, E.; Stróż, M. Interaction of ketoprofen and paracetamol with melanin in vitro. Ann. Univ. Mariae Curie Sklodowska Med. 2009, 22, 81–86. [Google Scholar]
- Svensson, S.P.; Lindgren, S.; Powell, W.; Green, H. Melanin inhibits cytotoxic effects of doxorubicin and daunorubicin in MOLT 4 cells. Pigment Cell Res. 2003, 16, 351–354. [Google Scholar] [CrossRef]
- Schroeder, R.L.; Gerber, J.P. Chloroquine and hydroxychloroquine binding to melanin: Some possible consequences for pathologies. Toxicol. Rep. 2014, 1, 963–968. [Google Scholar] [CrossRef]
- Rok, J.; Buszman, E.; Beberok, A.; Delijewski, M.; Otręba, M.; Wrześniok, D. Modulation of Melanogenesis and Antioxidant Status of Melanocytes in Response to Phototoxic Action of Doxycycline. Photochem. Photobiol. 2015, 91, 1429–1434. [Google Scholar] [CrossRef] [PubMed]
- Rok, J.; Wrześniok, D.; Beberok, A.; Otręba, M.; Delijewski, M.; Buszman, E. Phototoxic effect of oxytetracycline on normal human melanocytes. Toxicol. In Vitro 2018, 48, 26–32. [Google Scholar] [CrossRef]
- Kowalska, J.; Banach, K.; Rok, J.; Beberok, A.; Rzepka, Z.; Wrześniok, D. Molecular and Biochemical Basis of Fluoroquinolones-Induced Phototoxicity-The Study of Antioxidant System in Human Melanocytes Exposed to UV-A Radiation. Int. J. Mol. Sci. 2020, 21, 9714. [Google Scholar] [CrossRef]
- Schroeder, R.L.; Pendleton, P.; Gerber, J.P. Physical factors affecting chloroquine binding to melanin. Colloids Surf. B Biointerfaces 2015, 134, 8–16. [Google Scholar] [CrossRef] [PubMed]
- Bahrpeyma, S.; Reinisalo, M.; Hellinen, L.; Auriola, S.; Del Amo, E.M.; Urtti, A. Mechanisms of cellular retention of melanin bound drugs: Experiments and computational modeling. J. Control. Release 2022, 348, 760–770. [Google Scholar] [CrossRef] [PubMed]
- Bridelli, M.G.; Ciati, A.; Crippa, P.R. Binding of chemicals to melanins re-examined: Adsorption of some drugs to the surface of melanin particles. Biophys. Chem. 2006, 119, 137–145. [Google Scholar] [CrossRef] [PubMed]
- Jakubiak, P.; Cantrill, C.; Urtti, A.; Alvarez-Sánchez, R. Establishment of an In Vitro-In Vivo Correlation for Melanin Binding and the Extension of the Ocular Half-Life of Small-Molecule Drugs Mol. Pharm. 2019, 16, 4890–4901. [Google Scholar] [CrossRef] [PubMed]
- Salazar-Bookaman, M.M.; Patil, P.N. Pharmacologic and Related Implications of a Drug Accumulation by Melanins. Arch. Phar. Pharmacol. Res. 2023, 3, 1–15. [Google Scholar] [CrossRef]
- Di Mauro, E.; Xu, R.; Soliveri, G.; Santato, C. Natural melanin pigments and their interfaces with metal ions and oxides: Emerging concepts and technologies. MRS Commun. 2017, 7, 141–151. [Google Scholar] [CrossRef]
- Karlsson, O.; Lindquist, N.G. Melanin affinity and its possible role in neurodegeneration. J. Neural. Transm. 2013, 120, 1623–1630. [Google Scholar] [CrossRef] [PubMed]
- Karlsson, O.; Lindquist, N.G. Melanin and neuromelanin binding of drugs and chemicals: Toxicological implications. Arch. Toxicol. 2016, 90, 1883–1891. [Google Scholar] [CrossRef] [PubMed]
- Rimpelä, A.K.; Hagström, M.; Kidron, H.; Urtti, A. Melanin targeting for intracellular drug delivery: Quantification of bound and free drug in retinal pigment epithelial cells. J. Control. Release 2018, 283, 261–268. [Google Scholar] [CrossRef]
- Hong, Z.Y.; Feng, H.Y.; Bu, L.H. Melanin-based nanomaterials: The promising nanoplatforms for cancer diagnosis and therapy. Nanomedicine 2020, 28, 102211. [Google Scholar] [CrossRef]
- Caldas, M.; Santos, A.C.; Veiga, F.; Rebelo, R.; Reis, R.L.; Correlo, V.M. Melanin nanoparticles as a promising tool for biomedical applications—A review. Acta Biomater. 2020, 105, 26–43. [Google Scholar] [CrossRef]
- Park, J.; Moon, H.; Hong, S. Recent advances in melanin-like nanomaterials in biomedical applications: A mini review. Biomater. Res. 2019, 23, 24. [Google Scholar] [CrossRef]
- Tian, L.; Li, X.; Ji, H.; Yu, Q.; Yang, M.; Guo, L.; Huang, L.; Gao, W. Melanin-like nanoparticles: Advances in surface modification and tumour photothermal therapy. J. Nanobiotechnol. 2022, 20, 485. [Google Scholar] [CrossRef] [PubMed]
- Mavridi-Printezi, A.; Guernelli, M.; Menichetti, A.; Montalti, M. Bio-Applications of Multifunctional Melanin Nanoparticles: From Nanomedicine to Nanocosmetics. Nanomaterials 2020, 10, 2276. [Google Scholar] [CrossRef]
- Barsh, G.S. What controls variation in human skin color? PLoS Biol. 2003, 1, 445. [Google Scholar] [CrossRef]
- Fistarol, S.K.; Itin, P.H. Disorders of pigmentation. J. Dtsch. Dermatol. Ges. 2010, 8, 187–201. [Google Scholar] [CrossRef] [PubMed]
- Yamaguchi, Y.; Hearing, V.J. Melanocytes and their diseases. Cold Spring Harb. Perspect. Med. 2014, 4, a017046. [Google Scholar] [CrossRef]
- Ferreira, I.G.; Weber, M.B.; Bonamigo, R.R. History of dermatology: The study of skin diseases over the centuries. An. Bras. Dermatol. 2021, 96, 332–345. [Google Scholar] [CrossRef] [PubMed]
- Nicolaidou, E.; Katsambas, A.D. Pigmentation disorders: Hyperpigmentation and hypopigmentation. Clin. Dermatol. 2014, 32, 66–72. [Google Scholar] [CrossRef]
- Zhou, S.; Zeng, H.; Huang, J.; Lei, L.; Tong, X.; Li, S.; Zhou, Y.; Guo, H.; Khan, M.; Luo, L.; et al. Epigenetic regulation of melanogenesis. Ageing Res. Rev. 2021, 69, 101349. [Google Scholar] [CrossRef]
- Lee, A.Y. Skin Pigmentation Abnormalities and Their Possible Relationship with Skin Aging. Int. J. Mol. Sci. 2021, 22, 3727. [Google Scholar] [CrossRef] [PubMed]
- Cestari, T.F.; Dantas, L.P.; Boza, J.C. Acquired hyperpigmentations. An. Bras. Dermatol. 2014, 89, 11–25. [Google Scholar] [CrossRef] [PubMed]
- Dereure, O. Drug-induced skin pigmentation. Epidemiology, diagnosis and treatment. Am. J. Clin. Dermatol. 2001, 2, 253–262. [Google Scholar] [CrossRef] [PubMed]
- Xing, Q.; Chen, X.; Wang, M.; Bai, W.; Peng, X.; Gao, R.; Wu, S.; Qian, X.; Qin, W.; Gao, J.; et al. A locus for familial generalized lentiginosis without systemic involvement maps to chromosome 4q21.1-q22.3. Hum. Genet. 2005, 117, 154–159. [Google Scholar] [CrossRef] [PubMed]
- Alshamrani, H.M.; Assaedi, L.M.; Bahattab, J.A.; Mohammad, A.m.; Abdulghani, M.R. LEOPARS syndrome with a sporadic PTPN11 mutation in a Saudi Patient. Case Rep. Dermatol. Med. 2023, 2023, 4161574. [Google Scholar] [CrossRef] [PubMed]
- Correa, R.; Salpea, P.; Stratakis, C.A. Carney complex: An update. Eur. J. Endocrinol. 2015, 173, 85–97. [Google Scholar] [CrossRef] [PubMed]
- Klimkowski, S.; Ibrahim, M.; Ibarra Rovira, J.J.; Elshikh, M.; Javadi, S.; Klekers, A.R.; Abusaif, A.A.; Moawad, A.W.; Ali, K.; Elsayes, K.M. Peutz-Jeghers Syndrome and the Role of Imaging: Pathophysiology, Diagnosis, and Associated Cancers. Cancers 2021, 13, 5121. [Google Scholar] [CrossRef] [PubMed]
- Wei, Z.; Li, G.Y.; Ruan, H.H.; Zhang, L.; Wang, W.M.; Wang, X. Laugier-Hunziker syndrome: A case report. J. Stomatol. Oral. Maxillofac. Surg. 2018, 119, 158–160. [Google Scholar] [CrossRef]
- Zhu, Y.; Li, C. Laugier-Hunziker Syndrome. J. Cutan. Med. Surg. 2023, 27, 542. [Google Scholar] [CrossRef]
- Gupta, D.; Thappa, D.M. Mongolian spots. Ind. J. Dermatol. Venereol. Leprol. 2013, 79, 469–478. [Google Scholar] [CrossRef]
- Choi, W.; Yin, L.; Smuda, C.; Batzer, J.; Hearing, V.J.; Kolbe, L. Molecular and histological characterization of age spots. Exp. Dermatol. 2017, 26, 242–248. [Google Scholar] [CrossRef] [PubMed]
- Plensdorf, S.; Livieratos, M.; Dada, N. Pigmentation Disorders: Diagnosis and Management. Am. Fam. Phys. 2017, 96, 797–804. [Google Scholar]
- Vashi, N.A.; Wirya, S.A.; Inyang, M.; Kundu, R.V. Facial Hyperpigmentation in Skin of Color: Special Considerations and Treatment. Am. J. Clin. Dermatol. 2017, 18, 215–230. [Google Scholar] [CrossRef] [PubMed]
- Rajanala, S.; Maymone, M.B.C.; Vashi, N.A. Melasma pathogenesis: A review of the latest research, pathological findings, and investigational therapies. Dermatol. Online J. 2019, 25, 1. [Google Scholar] [CrossRef]
- Doolan, B.J.; Gupta, M. Melasma. Aust. J. Gen. Pract. 2021, 50, 880–885. [Google Scholar] [CrossRef] [PubMed]
- Kwon, S.H.; Na, J.I.; Choi, J.Y.; Park, K.C. Melasma: Updates and perspectives. Exp. Dermatol. 2019, 28, 704–708. [Google Scholar] [CrossRef] [PubMed]
- Handel, A.C.; Miot, L.D.; Miot, H.A. Melasma: A clinical and epidemiological review. An. Bras. Dermatol. 2014, 89, 771–782. [Google Scholar] [CrossRef] [PubMed]
- Stratigos, A.J.; Katsambas, A.D. Optimal management of recalcitrant disorders of hyperpigmentation in dark-skinned patients. Am. J. Clin. Dermatol. 2004, 5, 161–168. [Google Scholar] [CrossRef] [PubMed]
- Cestari, T.; Arellano, I.; Hexsel, D.; Ortonne, J.P.; Latin American Pigmentary Disorders Academy. Melasma in Latin America: Options for therapy and treatment algorithm. J. Eur. Acad. Dermatol. Venereol. 2009, 23, 760–772. [Google Scholar] [CrossRef]
- Ding, Y.; Xu, Z.; Xiang, L.F.; Zhang, C. Unveiling the mystery of Riehl’s melanosis: An update from pathogenesis, diagnosis to treatment. Pigment Cell Melanoma Res. 2023, 36, 455–467. [Google Scholar] [CrossRef]
- Davis, E.C.; Callender, V.D. Postinflammatory hyperpigmentation: A review of the epidemiology, clinical features, and treatment options in skin of color. J. Clin. Aesthet. Dermatol. 2010, 3, 20–31. [Google Scholar] [PubMed]
- Shenoy, A.; Madan, R. Post-Inflammatory Hyperpigmentation: A Review of Treatment Strategies. J. Drugs Dermatol. 2020, 19, 763–768. [Google Scholar] [CrossRef] [PubMed]
- Kaufman, B.P.; Aman, T.; Alexis, A.F. Postinflammatory Hyperpigmentation: Epidemiology, Clinical Presentation, Pathogenesis and Treatment. Am. J. Clin. Dermatol. 2018, 19, 489–503. [Google Scholar] [CrossRef] [PubMed]
- Park, J.Y.; Park, J.H.; Kim, S.J.; Kwon, J.E.; Kang, H.Y.; Lee, E.S.; Kim, Y.C. Two histopathological patterns of postinflammatory hyperpigmentation: Epidermal and dermal. J. Cutan. Pathol. 2017, 44, 118–124. [Google Scholar] [CrossRef] [PubMed]
- Matsumura, Y.; Ananthaswamy, H.N. Toxic effects of ultraviolet radiation on the skin. Toxicol. Appl. Pharmacol. 2004, 195, 298–308. [Google Scholar] [CrossRef] [PubMed]
- Singer, S.; Berneburg, M. Phototherapy. J. Dtsch. Dermatol. Ges. 2018, 16, 1120–1129. [Google Scholar] [CrossRef] [PubMed]
- Kopáčová, M.; Urban, O.; Cyrany, J.; Laco, J.; Bureš, J.; Rejchrt, S.; Bártová, J.; Tachecí, I. Cronkhite-Canada syndrome: Review of the literature. Gastroenterol. Res. Pract. 2013, 2013, 856873. [Google Scholar] [CrossRef] [PubMed]
- Sweetser, S.; Boardman, L.A. Cronkhite-Canada syndrome: An acquired condition of gastrointestinal polyposis and dermatologic abnormalities. Gastroenterol. Hepatol. 2012, 8, 201–203. [Google Scholar]
- Di Raimondo, C.; Del Duca, E.; Silvaggio, D.; Di Prete, M.; Lombardo, P.; Mazzeo, M.; Spallone, G.; Campione, E.; Botti, E.; Bianchi, L. Cutaneous mastocytosis: A dermatological perspective. Australas. J. Dermatol. 2021, 62, e1–e7. [Google Scholar] [CrossRef] [PubMed]
- Jackson, C.W.; Pratt, C.M.; Rupprecht, C.P.; Pattanaik, D.; Krishnaswamy, G. Mastocytosis and Mast Cell Activation Disorders: Clearing the Air. Int. J. Mol. Sci. 2021, 22, 11270. [Google Scholar] [CrossRef]
- Tamura, R. Current Understanding of Neurofibromatosis Type 1, 2, and Schwannomatosis. Int. J. Mol. Sci. 2021, 22, 5850. [Google Scholar] [CrossRef]
- Spencer, T.; Pan, K.S.; Collins, M.T.; Boyce, A.M. The Clinical Spectrum of McCune-Albright Syndrome and Its Management. Horm. Res. Paediatr. 2019, 92, 347–356. [Google Scholar] [CrossRef]
- Otręba, M.; Miliński, M.; Buszman, E.; Wrześniok, D.; Beberok, A. Hereditary hypomelanocytoses: The role of PAX3, SOX10, MITF, SNAI2, KIT, EDN3 and EDNRB genes. Post. Hig. Med. Dosw. 2013, 67, 1109–1118. [Google Scholar] [CrossRef]
- Huizing, M.; Malicdan, M.C.V.; Wang, J.A.; Pri-Chen, H.; Hess, R.A.; Fischer, R.; O’Brien, K.J.; Merideth, M.A.; Gahl, W.A.; Gochuico, B.R. Hermansky-Pudlak syndrome: Mutation update. Hum. Mutat. 2020, 41, 543–580. [Google Scholar] [CrossRef]
- Sharma, P.; Nicoli, E.R.; Serra-Vinardell, J.; Morimoto, M.; Toro, C.; Malicdan, M.C.V.; Introne, W.J. Chediak-Higashi syndrome: A review of the past, present, and future. Drug Discov. Today Dis. Models 2020, 31, 31–36. [Google Scholar] [CrossRef] [PubMed]
- Li, W.; Hao, C.J.; Hao, Z.H.; Ma, J.; Wang, Q.C.; Yuan, Y.F.; Gong, J.J.; Chen, Y.Y.; Yu, J.Y.; Wei, A.H. New insights into the pathogenesis of Hermansky-Pudlak syndrome. Pigment Cell Melanoma Res. 2022, 35, 290–302. [Google Scholar] [CrossRef] [PubMed]
- Madiha, M.; Khaled, K. Syndrome de Waardenburg [Waardenburg syndrome]. Pan. Afr. Med. J. 2015, 20, 427. [Google Scholar] [CrossRef]
- Saleem, M.D. Biology of human melanocyte development, Piebaldism, and Waardenburg syndrome. Pediatr. Dermatol. 2019, 36, 72–84. [Google Scholar] [CrossRef] [PubMed]
- Oiso, N.; Fukai, K.; Kawada, A.; Suzuki, T. Piebaldism. J. Dermatol. 2013, 40, 330–335. [Google Scholar] [CrossRef]
- Pingault, V.; Ente, D.; Dastot-Le Moal, F.; Goossens, M.; Marlin, S.; Bondurand, N. Review and update of mutations causing Waardenburg syndrome. Hum. Mutat. 2010, 31, 391–406. [Google Scholar] [CrossRef]
- Zhang, H.; Chen, H.; Luo, H.; An, J.; Sun, L.; Mei, L.; He, C.; Jiang, L.; Jiang, W.; Xia, K.; et al. Functional analysis of Waardenburg syndrome-associated PAX3 and SOX10 mutations: Report of a dominant-negative SOX10 mutation in Waardenburg syndrome type II. Hum. Genet. 2012, 131, 491–503. [Google Scholar] [CrossRef] [PubMed]
- Pang, X.; Zheng, X.; Kong, X.; Chai, Y.; Wang, Y.; Qian, H.; Yang, B.; Wu, C.; Chu, J.; Yang, T. A homozygous MITF mutation leads to familial Waardenburg syndrome type 4. Am. J. Med. Genet. A 2019, 179, 243–248. [Google Scholar] [CrossRef] [PubMed]
- Cay, E.; Sezer, A.; Karakulak, V.; Serbes, M.; Ozcan, D.; Bisgin, A.; Aygunes, U.; Sasmaz, H.I.; Yucel, S.P.; Toyran, T.; et al. Hemophagocytic lymphohistiocytosis in children with Griscelli syndrome type 2: Genetics, laboratory findings and treatment. Am. J. Clin. Exp. Immunol. 2023, 12, 140–152. [Google Scholar] [PubMed]
- Agarwal, S.; Ojha, A. Piebaldism: A brief report and review of the literature. Ind. Dermatol. Online J. 2012, 3, 144–147. [Google Scholar] [CrossRef] [PubMed]
- Saleem, M.D.; Oussedik, E.; Picardo, M.; Schoch, J.J. Acquired disorders with hypopigmentation: A clinical approach to diagnosis and treatment. J. Am. Acad. Dermatol. 2019, 80, 1233–1250. [Google Scholar] [CrossRef] [PubMed]
- Buch, J.; Patil, A.; Kroumpouzos, G.; Kassir, M.; Galadari, H.; Gold, M.H.; Goldman, M.P.; Grabbe, S.; Goldust, M. Idiopathic guttate hypomelanosis: Presentation and management. J. Cosmet. Laser Ther. 2021, 23, 8–15. [Google Scholar] [CrossRef] [PubMed]
- Kim, S.K.; Kim, E.H.; Kang, H.Y.; Lee, E.S.; Sohn, S.; Kim, Y.C. Comprehensive understanding of idiopathic guttate hypomelanosis: Clinical and histopathological correlation. Int. J. Dermatol. 2010, 49, 162–166. [Google Scholar] [CrossRef] [PubMed]
- Park, J.H.; Lee, M.H. Case of leukoderma punctata after topical PUVA treatment. Int. J. Dermatol. 2004, 43, 138–139. [Google Scholar] [CrossRef] [PubMed]
- Fernandes, N.C.; Pina, J.C. Leukoderma punctata following topical PUVAsol treatment. An. Bras. Dermatol. 2010, 85, 571–572. [Google Scholar] [CrossRef]
- Joge, R.R.; Kathane, P.U.; Joshi, S.H. Vitiligo: A Narrative Review. Cureus 2022, 14, 29307. [Google Scholar] [CrossRef]
- Picardo, M.; Dell’Anna, M.L.; Ezzedine, K.; Hamzavi, I.; Harris, J.E.; Parsad, D.; Taieb, A. Vitiligo. Nat. Rev. Dis. Primers 2015, 1, 15011. [Google Scholar] [CrossRef] [PubMed]
- Bergqvist, C.; Ezzedine, K. Vitiligo: A focus on pathogenesis and its therapeutic implications. J. Dermatol. 2021, 48, 252–270. [Google Scholar] [CrossRef] [PubMed]
- Frisoli, M.L.; Essien, K.; Harris, J.E. Vitiligo: Mechanisms of Pathogenesis and Treatment. Annu. Rev. Immunol. 2020, 38, 621–648. [Google Scholar] [CrossRef]
- Ko, D.; Wang, R.F.; Ozog, D.; Lim, H.W.; Mohammad, T.F. Disorders of hyperpigmentation. Part II. Review of management and treatment options for hyperpigmentation. J. Am. Acad. Dermatol. 2023, 88, 291–320. [Google Scholar] [CrossRef] [PubMed]
- Samaan, C.B.; Cartee, T.V. Treatment of Periorbital Vascularity, Erythema, and Hyperpigmentation. Facial. Plast. Surg. Clin. N. Am. 2022, 30, 309–319. [Google Scholar] [CrossRef] [PubMed]
- Moolla, S.; Miller-Monthrope, Y. Dermatology: How to manage facial hyperpigmentation in skin of colour. Drugs Context 2022, 11, 2021-11-2. [Google Scholar] [CrossRef] [PubMed]
- Borelli, C.; Fischer, S. Chemical peeling for treatment of melasma, pigmentary disorders and hyperpigmentation: Indications, effectivity and risks. Hautarzt 2020, 71, 950–959. [Google Scholar] [CrossRef]
- Sun, M.C.; Xu, X.L.; Lou, X.F.; Du, Y.Z. Recent Progress and Future Directions: The Nano-Drug Delivery System for the Treatment of Vitiligo. Int. J. Nanomed. 2020, 15, 3267–3279. [Google Scholar] [CrossRef]
- Bae, J.M.; Jung, H.M.; Hong, B.Y.; Lee, J.H.; Choi, W.J.; Lee, J.H.; Kim, G.M. Phototherapy for Vitiligo: A Systematic Review and Meta-analysis. JAMA Dermatol. 2017, 153, 666–674. [Google Scholar] [CrossRef]


| Skin Phototype | Sunburn Susceptibility | Tanning |
|---|---|---|
| I | High | None |
| II | High | Weak |
| III | Moderate | Medium |
| IV | Low | Dark |
| V | Very low | Naturally dark skin |
| VI | Very low | Dark brown or black skin |
| Disease | Type of Pigmentation Disorder | Molecular Basis of Disease Development | Symptoms Related to Pigmentation Disorders | Other Symptoms Associated with the Disease | Frequency of Occurrence | Type of Inheritance |
|---|---|---|---|---|---|---|
| Generalized lentiginosis | Hyperpigmentation | Chromosome mutation 4q21.1-q22.3 | Numerous widely distributed lentigines | Lack of other systemic abnormalities | Rare | Autosomal dominant manner |
| LEOPARD syndrome | Hyperpigmentation | PTPN11 gene mutation | Numerous lentigines located mainly around the joint of the lower limbs | Abnormalities in cardiac, visual, pulmonary, reproductive systems, and deafness | Rare | Autosomal dominant manner |
| Carney complex | Hyperpigmentation | PRKAR1A gene mutation | Multiple skin and mucous lentigines | Multiple endocrine and non-endocrine neoplasms; cutaneous and cardiac myxomatous tumors | Rare | Autosomal dominant mamnner |
| Peutz–Jeghers syndrome | Hyperpigmentation | STK11/LKB1 gene mutation | Mucocutaneous lips hyperpigmentations | Polyps in gastrointestinal tract; increased risk for malignant tumor development | Rare | Autosomal dominant manner |
| Albinism | Hypopigmentation | TYR gene mutation | Pale skin, hair, and eyes | Increased risk of skin cancer development | 1:5000–1:40,000 cases | Autosomal recessive manner |
| Chediak–Higashi syndrome | Hypopigmentation | LYST gene mutation | Partial oculocutaneous albisim | Immune dysfunction, neurodegeneration, and hemophagocytic lymphohistiocytosis | Rare | Autosomal recessive manner |
| Hermansky-Pudlak syndrome | Hypopigmentation | HPS gene mutation | Partial oculocutaneous albinism | Pulmonary fibrosis, immunodeficiency, prolonged bleeding, and neuropsychological disorders | 1–9/1,000,000 cases | Autosomal recessive manner |
| Waardenburg syndrome type 1 and 3 | Hypopigmentation | PAX3 gene | Irregular depigmentation areas located on the limbs, abdomen and chest, white eyebrows and eyelashes, deafness, and irises heterochromia | Face and hand malformations | 2–3/100,000 cases | Autosomal dominant or recessive manner |
| Waardenburg syndrome type 2 | Hypopigmentation | MITF gene mutation | White spots and pale complexion and hair | Organ defects | 1/40,000 cases | Autosomal dominant or recessive manner |
| Waardenburg syndrome type 4 | Hypopigmentation | EDN3 gene mutation | White spots | Megacolon and neural crest defects | Rare | Autosomal dominant or recessive manner |
| Tietz syndrome | Hypopigmentation | MITF gene mutation | General depigmentation and deafness | - | Rare | Autosomal recessive manner |
| Griscelli syndrome (GS) type 1,2,3 | Hypopigmentation | Type 1: MYO5A gene mutation (chromosome 15q21)Type 2: RAB27A gene mutation (chromosome 15q21)Type 3: RAB gene mutation (chromosome 2q37.3) | Depending on the type of GS, the syndrome is complete or partial hypopigmentation; lack of hair color | Type 1: severe neurological disorders, numerous developmental defects, mental retardationType 2: immunosuppression, which can develop into hemophagocytic syndromeType 3: only hypopigmentation symptoms in skin and hair | Rare | Autosomal recessive manner |
| Piebaldism | Hypopigmentation | KIT gene mutation | Lack of pigment cells in the scalp, torso, and limb areas; the borders of spots are hyperpigmented | - | 1:100,000 cases | Autosomal dominant manner |
| Hyperpigmentation treatment methods | Hereditary cutaneous hyperpigmentations are diseases that often do not require treatment. For cosmetic reasons, laser therapy is used. Chemical peels and agents with antioxidant properties are used supportively. | |||||
| Hypopigmentation treatment methods | Primary treatments for hereditary hypopigmentation diseases include skin grafting, cell transplantation, camouflage techniques, and the use of hair dye for poliosis. | |||||
| Disease | Type of Pigmentation Disorder | Molecular Basis of Disease Development | Symptoms | Affected Part of the Body | Occurrence | Treatment Possibilities |
|---|---|---|---|---|---|---|
| Melasma | Hyperpigmentation | The detailed pathogenesis is currently not fully elucidated. Risk factors are frequent UV exposure, genetic predispositions, and female hormone stimulation | Asymmetric irregular brown spots and patch | Mainly face (forehead, cheeks, and chin); rarely arms, chest, or neck | The areas with more intensive UV exposure (Asia, Africa, and Latin America) have significantly higher incidence rates | Topical steroids, chemical peels, dermabrasion, and microdermabrasion |
| Riehl melanosis | Hyperpigmentation | Allergic contact dermatitis to cosmetic product ingredients such as fragrance | Reticulate gray-brown to black spots | Face, neck, and upper chest | The vast majority of cases are found in the Asian population | Topical agents including hydroquinone, corticosteroids, retinoids, vitamin C, azelaic acid, chemical peels (trichloroacetic acid, glycolic acid), intense pulsed-light therapy, and low-fluence Q-switched lasers |
| Post-inflammatory hyperpigmentation | Hyperpigmentation | Inflammation leads to increased level of mediators, i.e., IL-1, IL-6, LT-C4, LT-D4, PGE2, and PGD2, whichstimulate melanogenesis process | Flat, tan, brown, or black spots on the skin | The areas exposed to UV radiation | PIH affect all skin types; however, a higher incidence is found in dark-skinned individuals | Topical agents including hydroquinone, corticosteroids, azelaic acid, vitamin C, tretionoin, and glycolic acid peels |
| Lentigo sensilis | Hyperpigmentation | Paracrine stimulation of melanogenesis by factors that include HGF, EDN1, KGF/FGF7, and SCF/KITL | Beige or brown spots | UV-exposed areas, i.e., face, neckline, hands, and shoulder | Mainly elderly population | Cysteamine, cryotherapy, and laser treatment |
| Cronkhike–Canada syndrome | Hyperpigmentation | Autoimmune disease associated with inflammation and increased IgG4 levels | Skin hyperpigmentation, numerous gastrointestinal polyps, weight loss, and alopecia | Hypopigmented lesions may involve the whole body | Rare disease; 450 cases described so far | Treatment of skin lesions is not required |
| Idiopathic guttate hypomelanosis | Hypopigmentation | Reduction in the total number of melanocytes, structural abnormalities of melanocytes, such as reduced tyrosinase activity, reduction in the number of melanosomes, or adjacent keratinocyte defects | Numerous oval, small, discrete, and porcelain-white macules | Sun-exposed areas, i.e., forearms | Available data show that IGH is present in approximately 80% of the population by the age of 70 | Topical steroids, tacrolimus, retinoids, cryotherapy, chemical peel, excimer laser, and skin grafting |
| Leucoderma punctata | Hypopigmentation | Rare side effect of UVA and UVB phototherapy in patients with psoriasis or Q-switched and carbon dioxide lasers | Numerous, distinct, and round or oval depigmented spots | Chest and back, occasionally on the face | Usually occurs in fair-skinned females before the age of 40 | Laser therapy narrow-band ultraviolet B (NB-UVB) and the 308 nm excimer laser |
| Vitiligo | Hypopigmentation | The etiopathology of vitiligo has not been elucidated, but the progressive loss of melanocytes has been linked to a number of factors: metabolic abnormalities, oxidative stress, inflammation, and autoimmunity | White macules in the skin and/or hair | There are two main types of vitiligo: generalized, a common symmetrical form, and segmental, affecting only one side of the body | Vitiligo affects 0.5–2% of the global population | Topical or systemic corticosteroids as monotherapy (in localised vitiligo), or in combination with phototherapy or other topical agents (in generalised vitiligo), calcineurin inhibitors (tacrolimus, pimecrolimus), topical vitamin D3 analogues (calcipotriol), antioxidants, and phototherapy |
Disclaimer/Publisher’s Note: The statements, opinions and data contained in all publications are solely those of the individual author(s) and contributor(s) and not of MDPI and/or the editor(s). MDPI and/or the editor(s) disclaim responsibility for any injury to people or property resulting from any ideas, methods, instructions or products referred to in the content. |
© 2024 by the authors. Licensee MDPI, Basel, Switzerland. This article is an open access article distributed under the terms and conditions of the Creative Commons Attribution (CC BY) license (https://creativecommons.org/licenses/by/4.0/).
Share and Cite
Karkoszka, M.; Rok, J.; Wrześniok, D. Melanin Biopolymers in Pharmacology and Medicine—Skin Pigmentation Disorders, Implications for Drug Action, Adverse Effects and Therapy. Pharmaceuticals 2024, 17, 521. https://doi.org/10.3390/ph17040521
Karkoszka M, Rok J, Wrześniok D. Melanin Biopolymers in Pharmacology and Medicine—Skin Pigmentation Disorders, Implications for Drug Action, Adverse Effects and Therapy. Pharmaceuticals. 2024; 17(4):521. https://doi.org/10.3390/ph17040521
Chicago/Turabian StyleKarkoszka, Marta, Jakub Rok, and Dorota Wrześniok. 2024. "Melanin Biopolymers in Pharmacology and Medicine—Skin Pigmentation Disorders, Implications for Drug Action, Adverse Effects and Therapy" Pharmaceuticals 17, no. 4: 521. https://doi.org/10.3390/ph17040521
APA StyleKarkoszka, M., Rok, J., & Wrześniok, D. (2024). Melanin Biopolymers in Pharmacology and Medicine—Skin Pigmentation Disorders, Implications for Drug Action, Adverse Effects and Therapy. Pharmaceuticals, 17(4), 521. https://doi.org/10.3390/ph17040521

