Design, Synthesis and Molecular Modeling of Pyrazolo[1,5-a]pyrimidine Derivatives as Dual Inhibitors of CDK2 and TRKA Kinases with Antiproliferative Activity
Abstract
1. Introduction
2. Results and Discussion
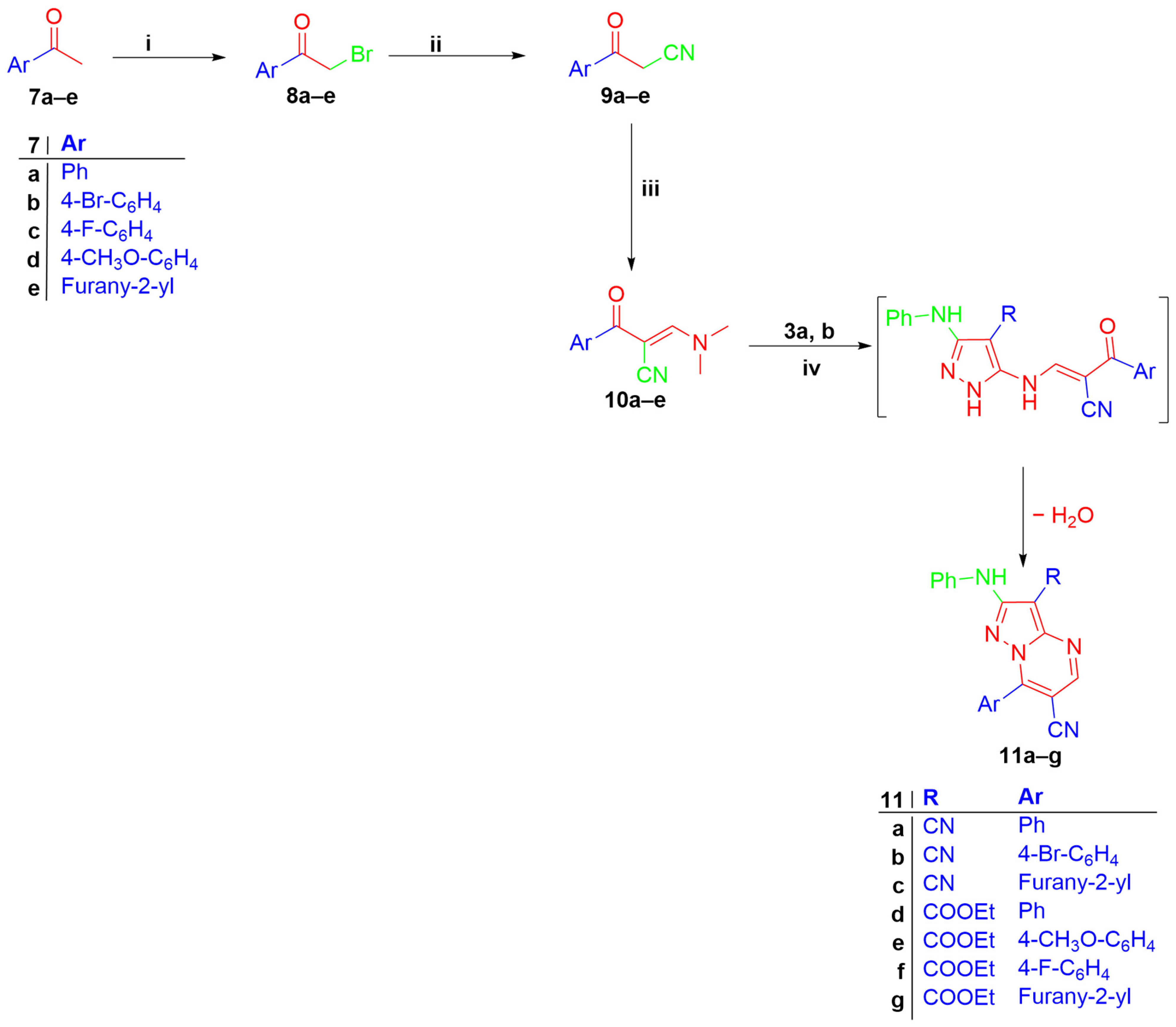
2.1. Chemistry
2.2. In Vitro Anticancer Activity
2.2.1. Assessment of Anti-Proliferative Activity Across a Diverse Set of 60 Cell Lines
2.2.2. Kinase Inhibition
2.2.3. Evaluation of In Vitro Cytotoxic Effects on the Renal Carcinoma Cell Line (RFX 393)
2.2.4. Cell Cycle and Apoptosis Investigation
Cell Cycle Investigation
Apoptosis and Necrosis Investigation
2.2.5. Computational Study
2.2.6. Computational ADME Analysis
ADME Analysis Outcomes
2.2.7. Toxicity Prediction
3. Materials and Methods
3.1. Chemistry
3.1.1. Synthesis of 2-((Methylthio)(anilinyl)methylene)malononitrile (2a) and (E)-ethyl 2-Cyano-3-(methylthio)-3-(anilinyl)acrylate (2b)
3.1.2. 5-Amino-3-(anilinyl)-1H-pyrazole-4-carbonitrile (3a) and Ethyl 5-Amino-3-(anilinyl)-1H-pyrazole-4-carboxylate (3b)
3.1.3. 3-(Dimethylamino)-1-arylprop-2-en-1-ones 5a–j Preparation
3.1.4. Synthesis of 2-(Anilinyl)-7-(aryl)pyrazolo[1,5-a]pyrimidine-3-carbonitrile 6a–j
7-Phenyl-2-(anilinyl)pyrazolo[1,5-a]pyrimidine-3-carbonitrile (6a)
2-(Anilinyl)-7-(p-tolyl)pyrazolo[1,5-a]pyrimidine-3-carbonitrile (6b)
7-(4-Methoxyphenyl)-2-(anilinyl)pyrazolo[1,5-a]pyrimidine-3-carbonitrile (6c)
7-(3,4-Dimethoxyphenyl)-2-(anilinyl)pyrazolo[1,5-a]pyrimidine-3-carbonitrile (6d)
7-(4-Chlorophenyl)-2-(anilinyl)pyrazolo[1,5-a]pyrimidine-3-carbonitrile (6e)
7-(4-Bromophenyl)-2-(anilinyl)pyrazolo[1,5-a]pyrimidine-3-carbonitrile (6f)
7-(4-Nitrophenyl)-2-(anilinyl)pyrazolo[1,5-a]pyrimidine-3-carbonitrile (6g)
7-(Naphthalen-2-yl)-2-(anilinyl)pyrazolo[1,5-a]pyrimidine-3-carbonitrile (6h)
7-(Furan-2-yl)-2-(anilinyl)pyrazolo[1,5-a]pyrimidine-3-carbonitrile (6i)
2-(Anilinyl)-7-(thiophen-2-yl)pyrazolo[1,5-a]pyrimidine-3-carbonitrile (6j)
3.1.5. Synthesis of Ethyl 2-(Anilinyl)-7-(aryl)pyrazolo[1,5-a]pyrimidine-3-carboxylate 6k–t
Ethyl 7-Phenyl-2-(anilinyl)pyrazolo[1,5-a]pyrimidine-3-carboxylate (6k)
Ethyl 2-(Anilinyl)-7-(p-tolyl)pyrazolo[1,5-a]pyrimidine-3-carboxylate (6l)
Ethyl 7-(4-Methoxyphenyl)-2-(anilinyl)pyrazolo[1,5-a]pyrimidine-3-carboxylate (6m)
Ethyl 7-(3,4-Dimethoxyphenyl)-2-(anilinyl)pyrazolo[1,5-a]pyrimidine-3-carboxylate (6n)
Ethyl 7-(4-Chlorophenyl)-2-(anilinyl)pyrazolo[1,5-a]pyrimidine-3-carboxylate (6o)
Ethyl 7-(4-Bromophenyl)-2-(anilinyl)pyrazolo[1,5-a]pyrimidine-3-carboxylate (6p)
Ethyl 7-(4-Nitrophenyl)-2-(anilinyl)pyrazolo[1,5-a]pyrimidine-3-carboxylate (6q)
Ethyl 7-(Naphthalen-2-yl)-2-(anilinyl)pyrazolo[1,5-a]pyrimidine-3-carboxylate (6r)
Ethyl 7-(Furan-2-yl)-2-(anilinyl)pyrazolo[1,5-a]pyrimidine-3-carboxylate (6s)
Ethyl 2-(Anilinyl)-7-(thiophen-2-yl)pyrazolo[1,5-a]pyrimidine-3-carboxylate (6t)
3.1.6. 2-Aryl-3-(dimethylamino)acrylonitrile 10a–e Preparation
3.1.7. 2-(Anilinyl)-7-(aryl)pyrazolo[1,5-a]pyrimidine-3,6-dicarbonitrile 11a–c Preparation
7-Phenyl-2-(anilinyl)pyrazolo[1,5-a]pyrimidine-3,6-dicarbonitrile (11a)
7-(4-Bromophenyl)-2-(anilinyl)pyrazolo[1,5-a]pyrimidine-3,6-dicarbonitrile (11b)
7-(Furan-2-yl)-2-(anilinyl)pyrazolo[1,5-a]pyrimidine-3,6-dicarbonitrile (11c)
3.1.8. Synthesis of Ethyl 6-Cyano-2-(anilinyl)-7-(aryl)pyrazolo[1,5-a]pyrimidine-3-carboxylate 11d–g
Ethyl 6-Cyano-7-phenyl-2-(anilinyl)pyrazolo[1,5-a]pyrimidine-3-carboxylate (11d)
Ethyl 6-Cyano-7-(4-methoxyphenyl)-2-(anilinyl)pyrazolo[1,5-a]pyrimidine-3-carboxylate (11e)
Ethyl 6-Cyano-7-(4-fluorophenyl)-2-(anilinyl)pyrazolo[1,5-a]pyrimidine-3-carboxylate (11f)
Ethyl 6-Cyano-7-(furan-2-yl)-2-(anilinyl)pyrazolo[1,5-a]pyrimidine-3-carboxylate (11g)
3.1.9. 7-Amino-5-oxo-2-(anilinyl)-4,5-dihydropyrazolo[1,5-a]pyrimidine-3-carbonitrile (12) Preparation
3.2. Biological Evaluation
3.2.1. In Vitro Anti-Proliferative Activity Toward 60 Cell Lines
3.2.2. Kinase
CDK2 Inhibition Assay
TRKA Inhibition Assay
3.2.3. Evaluation of In Vitro Cytotoxic Effects on the Renal Carcinoma Cell Line (RFX 393)
3.2.4. Cell Cycle Investigation
3.2.5. Apoptosis and Necrosis Investigation
3.3. Docking Protocol
3.4. Computational ADME Analysis
3.5. Prediction of Toxicity
4. Conclusions
Supplementary Materials
Author Contributions
Funding
Institutional Review Board Statement
Informed Consent Statement
Data Availability Statement
Acknowledgments
Conflicts of Interest
References
- Cohen, P. Protein kinases—The major drug targets of the twenty-first century? Nat. Rev. Drug Discov. 2002, 1, 309–315. [Google Scholar] [CrossRef] [PubMed]
- Knight, Z.A.; Shokat, K.M. Features of Selective Kinase Inhibitors. Chem. Biol. 2005, 12, 621–637. [Google Scholar] [CrossRef] [PubMed]
- Manning, G.; Whyte, D.B.; Martinez, R.; Hunter, T.; Sudarsanam, S. The Protein Kinase Complement of the Human Genome. Science 2002, 298, 1912–1934. [Google Scholar] [CrossRef] [PubMed]
- Sun, D.; Zhao, Y.; Zhang, S.; Zhang, L.; Liu, B.; Ouyang, L. Dual-target kinase drug design: Current strategies and future directions in cancer therapy. Eur. J. Med. Chem. 2020, 188, 112025. [Google Scholar] [CrossRef]
- Malumbres, M. Cyclin-dependent kinases. Genome Biol. 2014, 15, 122. [Google Scholar] [CrossRef]
- Lim, S.; Kaldis, P. Cdks, cyclins and CKIs: Roles beyond cell cycle regulation. Development 2013, 140, 3079–3093. [Google Scholar] [CrossRef]
- Kim, S.; Tiedt, R.; Loo, A.; Horn, T.; Delach, S.; Kovats, S.; Haas, K.; Engstler, B.S.; Cao, A.; Pinzon-Ortiz, M.; et al. The potent and selective cyclin-dependent kinases 4 and 6 inhibitor ribociclib (LEE011) is a versatile combination partner in preclinical cancer models. Oncotarget 2018, 9, 35226–35240. [Google Scholar] [CrossRef]
- Paruch, K.; Dwyer, M.P.; Alvarez, C.; Brown, C.; Chan, T.-Y.; Doll, R.J.; Keertikar, K.; Knutson, C.; McKittrick, B.; Rivera, J.; et al. Discovery of Dinaciclib (SCH 727965): A Potent and Selective Inhibitor of Cyclin-Dependent Kinases. ACS Med. Chem. Lett. 2010, 1, 204–208. [Google Scholar] [CrossRef]
- Chao, M.V. Neurotrophins and their receptors: A convergence point for many signalling pathways. Nat. Rev. Neurosci. 2003, 4, 299–309. [Google Scholar] [CrossRef]
- Huang, E.J.; Reichardt, L.F. Trk Receptors: Roles in Neuronal Signal Transduction. Annu. Rev. Biochem. 2003, 72, 609–642. [Google Scholar] [CrossRef]
- Vaishnavi, A.; Le, A.T.; Doebele, R.C. TRKing Down an Old Oncogene in a New Era of Targeted Therapy. Cancer Discov. 2015, 5, 25–34. [Google Scholar] [CrossRef] [PubMed]
- Nakagawara, A. Trk receptor tyrosine kinases: A bridge between cancer and neural development. Cancer Lett. 2001, 169, 107–114. [Google Scholar] [CrossRef] [PubMed]
- Liao, Y.; Rust, M.J. The Min Oscillator Defines Sites of Asymmetric Cell Division in Cyanobacteria during Stress Recovery. Cell Syst. 2018, 7, 471–481.e6. [Google Scholar] [CrossRef] [PubMed]
- Amatu, A.; Sartore-Bianchi, A.; Siena, S. NTRK gene fusions as novel targets of cancer therapy across multiple tumour types. ESMO Open 2016, 1, e000023. [Google Scholar] [CrossRef]
- Metwally, N.H.; Deeb, E.A.; Hasani, I.W. Synthesis, anticancer evaluation, molecular docking and ADME study of novel pyrido[4′,3′:3,4]pyrazolo[1,5-a]pyrimidines as potential tropomyosin receptor kinase A (TrKA) inhibitors. BMC Chem. 2024, 18, 68. [Google Scholar] [CrossRef]
- Drilon, A.; Ou, S.-H.I.; Cho, B.C.; Kim, D.-W.; Lee, J.; Lin, J.J.; Zhu, V.W.; Ahn, M.-J.; Camidge, D.R.; Nguyen, J.; et al. Repotrectinib (TPX-0005) Is a Next-Generation ROS1/TRK/ALK Inhibitor That Potently Inhibits ROS1/TRK/ALK Solvent- Front Mutations. Cancer Discov. 2018, 8, 1227–1236. [Google Scholar] [CrossRef]
- Almehmadi, S.J.; Alsaedi, A.M.R.; Harras, M.F.; Farghaly, T.A. Synthesis of a new series of pyrazolo[1,5-a]pyrimidines as CDK2 inhibitors and anti-leukemia. Bioorg. Chem. 2021, 117, 105431. [Google Scholar] [CrossRef]
- Brasca, M.G.; Amboldi, N.; Ballinari, D.; Cameron, A.; Casale, E.; Cervi, G.; Colombo, M.; Colotta, F.; Croci, V.; D’Alessio, R.; et al. Identification of N,1,4,4-Tetramethyl-8-{[4-(4-methylpiperazin-1-yl)phenyl]amino}-4,5-dihydro-1 H-pyrazolo[4,3-h]quinazoline-3-carboxamide (PHA-848125), a Potent, Orally Available Cyclin Dependent Kinase Inhibitor. J. Med. Chem. 2009, 52, 5152–5163. [Google Scholar] [CrossRef]
- Zhang, Y.; Liu, Y.; Zhou, Y.; Zhang, Q.; Han, T.; Tang, C.; Fan, W. Pyrazolo[1,5-a]pyrimidine based Trk inhibitors: Design, synthesis, biological activity evaluation. Bioorg. Med. Chem. Lett. 2021, 31, 127712. [Google Scholar] [CrossRef]
- Brasca, M.G.; Albanese, C.; Amici, R.; Ballinari, D.; Corti, L.; Croci, V.; Fancelli, D.; Fiorentini, F.; Nesi, M.; Orsini, P.; et al. 6-Substituted Pyrrolo[3,4-c]pyrazoles: An Improved Class of CDK2 Inhibitors. ChemMedChem 2007, 2, 841–852. [Google Scholar] [CrossRef]
- Ali, G.M.E.; Ibrahim, D.A.; Elmetwali, A.M.; Ismail, N.S.M. Design, synthesis and biological evaluation of certain CDK2 inhibitors based on pyrazole and pyrazolo[1,5-a] pyrimidine scaffold with apoptotic activity. Bioorg. Chem. 2019, 86, 1–14. [Google Scholar] [CrossRef] [PubMed]
- Chaube, U.J.; Vyas, V.K.; Bhatt, H.G. Design and synthesis of potent N-phenylpyrimidine derivatives for the treatment of skin cancer. RSC Adv. 2016, 6, 10285–10297. [Google Scholar] [CrossRef]
- Kantevari, S.; Chary, M.V.; Vuppalapati, S.V.N. A highly efficient regioselective one-pot synthesis of 2,3,6-trisubstituted pyridines and 2,7,7-trisubstituted tetrahydroquinolin-5-ones using K5CoW12O40·3H2O as a heterogeneous recyclable catalyst. Tetrahedron 2007, 63, 13024–13031. [Google Scholar] [CrossRef]
- Prajapti, S.K.; Nagarsenkar, A.; Guggilapu, S.D.; Gupta, K.K.; Allakonda, L.; Jeengar, M.K.; Naidu, V.G.M.; Babu, B.N. Synthesis and biological evaluation of oxindole linked indolyl-pyrimidine derivatives as potential cytotoxic agents. Bioorg. Med. Chem. Lett. 2016, 26, 3024–3028. [Google Scholar] [CrossRef]
- Dou, G.; Xu, P.; Li, Q.; Xi, Y.; Huang, Z.; Shi, D. Clean and Efficient Synthesis of Isoxazole Derivatives in Aqueous Media. Molecules 2013, 18, 13645–13653. [Google Scholar] [CrossRef]
- Zhou, Y.; Dun, Y.; Fu, H.; Wang, L.; Pan, X.; Yang, X.; Fang, H. Design, synthesis, and preliminary bioactivity evaluation of N-benzylpyrimidin-2-amine derivatives as novel histone deacetylase inhibitor. Chem. Biol. Drug Des. 2017, 90, 936–942. [Google Scholar] [CrossRef]
- Said, M.A.; Eldehna, W.M.; Nocentini, A.; Fahim, S.H.; Bonardi, A.; Elgazar, A.A.; Kryštof, V.; Soliman, D.H.; Abdel-Aziz, H.A.; Gratteri, P.; et al. Sulfonamide-based ring-fused analogues for CAN508 as novel carbonic anhydrase inhibitors endowed with antitumor activity: Design, synthesis, and in vitro biological evaluation. Eur. J. Med. Chem. 2020, 189, 112019. [Google Scholar] [CrossRef]
- Jangid, D.K.; Dhadda, S. Phenacyl Bromide: An Organic Intermediate for Synthesis of Five- and Six-Membered Bioactive Heterocycles. In Heterocycles—Synthesis and Biological Activities; IntechOpen: Rijeka, Croatia, 2020. [Google Scholar] [CrossRef]
- Rammurthy, B.; Swamy, P.; Naresh, M.; Srujana, K.; Durgaiah, C.; Sai, G.K.; Narender, N. Supporting Information for A New and Versatile One-Pot Strategy to synthesize alpha-Bromoketones from Secondary Alcohols Using Ammonium Bromide and Oxone. New J. Chem. 2017, 41, 3710–3714. [Google Scholar] [CrossRef]
- Wu, C.; Xin, X.; Fu, Z.-M.; Xie, L.-Y.; Liu, K.-J.; Wang, Z.; Li, W.; Yuan, Z.-H.; He, W.-M. Water-controlled selective preparation of α-mono or α,α′-dihalo ketones via catalytic cascade reaction of unactivated alkynes with 1,3-dihalo-5,5-dimethylhydantoin. Green Chem. 2017, 19, 1983–1989. [Google Scholar] [CrossRef]
- Zhang, J.; Zhuang, L.; Wang, G. 2-Bromo-1-(4-methoxyphenyl)ethenone. Acta Crystallogr. Sect. E Struct. Rep. Online 2009, 65, o2245. [Google Scholar] [CrossRef]
- Tupper, D.E.; Bray, M.R. Steric and Electronic Control in the Addition of Hydrazine and Phenylhydrazine to α-[(Dimethylamino)methylene]-β-oxoarylpropanenitriles. Synthesis 1997, 1997, 337–341. [Google Scholar] [CrossRef]
- Hoepping, A.; Diekers, M.; Deuther-Conrad, W.; Scheunemann, M.; Fischer, S.; Hiller, A.; Wegner, F.; Steinbach, J.; Brust, P. Synthesis of fluorine substituted pyrazolopyrimidines as potential leads for the development of PET-imaging agents for the GABAA receptors. Bioorg. Med. Chem. 2008, 16, 1184–1194. [Google Scholar] [CrossRef] [PubMed]
- Al-Qalaf, F.; Mandani, F.; Abdelkhalik, M.M.; Bassam, A.A. Synthesis of 5-Substituted 3-Amino-1H-Pyrazole-4-Carbonitriles as Precursors for Microwave Assisted Regiospecific Syntheses of Pyrazolo[1,5-a]Pyrimidines. Molecules 2008, 14, 78–88. [Google Scholar] [CrossRef] [PubMed]
- Elsaman, T.; Fares, M.; Abdel-Aziz, H.A.; Attia, M.I.; Ghabbour, H.A.; Dawood, K.M. A Facile Synthesis of Pyrido[2′,3′:3,4]pyrazolo[1,5-a]pyrimidine and Pyrido[2′,3′:3,4]pyrazolo[5,1-c][1,2,4]triazine Bearing a Thiophene Moiety. J. Chem. 2013, 2013, 463515. [Google Scholar] [CrossRef]
- Sobhy, M.K.; Mowafy, S.; Lasheen, D.S.; Farag, N.A.; Abouzid, K.A.M. 3D-QSAR pharmacophore modelling, virtual screening and docking studies for lead discovery of a novel scaffold for VEGFR 2 inhibitors: Design, synthesis and biological evaluation. Bioorg. Chem. 2019, 89, 102988. [Google Scholar] [CrossRef]
- Alexander, L.T.; Möbitz, H.; Drueckes, P.; Savitsky, P.; Fedorov, O.; Elkins, J.M.; Deane, C.M.; Cowan-Jacob, S.W.; Knapp, S. Type II Inhibitors Targeting CDK2. ACS Chem. Biol. 2015, 10, 2116–2125. [Google Scholar] [CrossRef]
- Mohammad, T.; Batra, S.; Dahiya, R.; Baig, M.H.; Rather, I.A.; Dong, J.-J.; Hassan, I. Identification of High-Affinity Inhibitors of Cyclin-Dependent Kinase 2 Towards Anticancer Therapy. Molecules 2019, 24, 4589. [Google Scholar] [CrossRef]
- Martin, M.P.; Olesen, S.H.; Georg, G.I.; Schönbrunn, E. Cyclin-Dependent Kinase Inhibitor Dinaciclib Interacts with the Acetyl-Lysine Recognition Site of Bromodomains. ACS Chem. Biol. 2013, 8, 2360–2365. [Google Scholar] [CrossRef]
- Banerjee, P.; Eckert, A.O.; Schrey, A.K.; Preissner, R. ProTox-II: A webserver for the prediction of toxicity of chemicals. Nucleic Acids Res. 2018, 46, W257–W263. [Google Scholar] [CrossRef]
- Istrefi, Q.; Türkeş, C.; Arslan, M.; Demir, Y.; Nixha, A.R.; Beydemir, Ş.; Küfrevioğlu, Ö.İ. Sulfonamides incorporating ketene N,S-acetal bioisosteres as potent carbonic anhydrase and acetylcholinesterase inhibitors. Arch. Pharm. 2020, 353, 1900383. [Google Scholar] [CrossRef]
- Elgemeie, G.H.; Elghandour, A.H.; Elaziz, G.W.A. Novel Cyanoketene N,S-Acetals and Pyrazole Derivatives using Potassium 2-Cyanoethylene-1-thiolates. Synth. Commun. 2007, 37, 2827–2834. [Google Scholar] [CrossRef]
- Sanmardn, R.; De Marigorta, E.M.; Domfnguez, E. A Convenient Alternative Route to f3-Aminoketones. Tetrahedron 1994, 50, 2255–2264. [Google Scholar] [CrossRef]
- Alley, M.C.; Scudiero, D.A.; Monks, A.; Hursey, M.L.; Czerwinski, M.J.; Fine, D.L.; Abbott, B.J.; Mayo, J.G.; Shoemaker, R.H.; Boyd, M.R. Feasibility of drug screening with panels of human tumor cell lines using a microculture tetrazolium assay. Cancer Res. 1988, 48, 589–601. [Google Scholar] [PubMed]
- Grever, M.R.; Schepartz, S.A.; Chabner, B.A. The National Cancer Institute: Cancer drug discovery and development program. Semin. Oncol. 1992, 19, 622–638. [Google Scholar]
- Boyd, M.R.; Paull, K.D. Some practical considerations and applications of the national cancer institute in vitro anticancer drug discovery screen. Drug Dev. Res. 1995, 34, 91–109. [Google Scholar] [CrossRef]
- Asghar, U.; Witkiewicz, A.K.; Turner, N.C.; Knudsen, E.S. The history and future of targeting cyclin-dependent kinases in cancer therapy. Nat. Rev. Drug Discov. 2015, 14, 130–146. [Google Scholar] [CrossRef]
- Jiang, T.; Wang, G.; Liu, Y.; Feng, L.; Wang, M.; Liu, J.; Chen, Y.; Ouyang, L. Development of small-molecule tropomyosin receptor kinase (TRK) inhibitors for NTRK fusion cancers. Acta Pharm. Sin. B 2021, 11, 355–372. [Google Scholar] [CrossRef]
- Lange, A.; Lo, H.-W. Inhibiting TRK Proteins in Clinical Cancer Therapy. Cancers 2018, 10, 105. [Google Scholar] [CrossRef]
- Mosmann, T. Rapid colorimetric assay for cellular growth and survival: Application to proliferation and cytotoxicity assays. J. Immunol. Methods 1983, 65, 55–63. [Google Scholar] [CrossRef]
- Nicoletti, I.; Migliorati, G.; Pagliacci, M.C.; Grignani, F.; Riccardi, C. A rapid and simple method for measuring thymocyte apoptosis by propidium iodide staining and flow cytometry. J. Immunol. Methods 1991, 139, 271–279. [Google Scholar] [CrossRef]
- Vermes, I.; Haanen, C.; Steffens-Nakken, H.; Reutellingsperger, C. A novel assay for apoptosis Flow cytometric detection of phosphatidylserine expression on early apoptotic cells using fluorescein labelled Annexin V. J. Immunol. Methods 1995, 184, 39–51. [Google Scholar] [CrossRef]















| Code | R | Ar | X | Enzyme Inhibition IC50 (µM) | |
|---|---|---|---|---|---|
| 6d | CN | 3,4-di-MeO-C6H3 | H | CDK-2 | TRK-A |
| 0.55 ± 0.04 | 0.57 ± 0.02 | ||||
| 6k | COOEt | Ph | H | 1.58 ± 0.13 | 1.17 ± 0.09 |
| 6m | COOEt | 4-OCH3-C6H4 | H | 1.06 ± 0.09 | 0.96 ± 0.04 |
| 6n | COOEt | 3,4-di-MeO-C6H3 | H | 0.78 ± 0.04 | 0.98 ± 0.04 |
| 6o | COOEt | 4-Cl-C6H4 | H | 0.76 ± 0.04 | 1.59 ± 0.11 |
| 6p | COOEt | 4-Br-C6H4 | H | 0.66 ± 0.04 | 1.34 ± 0.08 |
| 6r | COOEt | Naphthalen-2-yl | H | 0.20 ± 0.02 | 0.97 ± 0.04 |
| 6s | COOEt | Furan-2-yl | H | 0.45 ± 0.02 | 0.23 ± 0.01 |
| 6t | COOEt | Thiophene-2-yl | H | 0.09 ± 0.01 | 0.45 ± 0.02 |
| 11g | COOEt | Furan-2-yl | CN | 0.22 ± 0.02 | 0.89 ± 0.03 |
| Ribociclib | 0.07 ± 0.01 | - | |||
| Larotrectinib | - | 0.067 ± 0.01 | |||
| Code | RFX393 (IC50, µM) |
|---|---|
| 6s | 11.70 ± 0.4 |
| 6t | 19.92 ± 0.67 |
| Staurosporine | 0.07 |
| Compound | %G0–G1 | %S | %G2/M |
|---|---|---|---|
| 6s/RFX 393 | 84.36 | 11.49 | 4.15 |
| 6t/RFX 393 | 78.01 | 15.26 | 6.73 |
| RFX 393 Control | 57.08 | 29.33 | 13.59 |
| Apoptosis | Necrosis | |||
|---|---|---|---|---|
| Compound | Total | Early | Late | |
| 6s/RFX 393 | 32.07 | 20.29 | 7.74 | 4.04 |
| 6t/RFX 393 | 24.22 | 11.15 | 9.49 | 3.58 |
| RFX 393 Control | 2.71 | 0.64 | 0.15 | 1.92 |
| CDK2 | TRKA | |||
|---|---|---|---|---|
| Compound | Docking Score (S) kcal.mol−1 | (IC50, µM) | Docking Score (S) kcal.mol−1 | (IC50, µM) |
| 6d | −6.2514 | 0.55 | −6.3710 | 0.57 |
| 6k | −7.3301 | 1.58 | −7.4962 | 1.17 |
| 6m | −6.4495 | 1.06 | −7.0142 | 0.96 |
| 6n | −6.4894 | 0.78 | −7.6633 | 0.98 |
| 6o | −5.8055 | 0.76 | −7.4024 | 1.59 |
| 6p | −6.6507 | 0.66 | −7.5902 | 1.34 |
| 6r | −6.0688 | 0.20 | −7.1326 | 0.97 |
| 6s | −5.8138 | 0.45 | −7.0673 | 0.23 |
| 6t | −6.8289 | 0.09 | −6.3594 | 0.45 |
| 11g | −5.9020 | 0.22 | −7.3838 | 0.89 |
| Ribociclib | 0.07 | - | ||
| Larotrectinib | - | 0.067 | ||
Disclaimer/Publisher’s Note: The statements, opinions and data contained in all publications are solely those of the individual author(s) and contributor(s) and not of MDPI and/or the editor(s). MDPI and/or the editor(s) disclaim responsibility for any injury to people or property resulting from any ideas, methods, instructions or products referred to in the content. |
© 2024 by the authors. Licensee MDPI, Basel, Switzerland. This article is an open access article distributed under the terms and conditions of the Creative Commons Attribution (CC BY) license (https://creativecommons.org/licenses/by/4.0/).
Share and Cite
Attia, M.H.; Lasheen, D.S.; Samir, N.; Taher, A.T.; Abdel-Aziz, H.A.; Abou El Ella, D.A. Design, Synthesis and Molecular Modeling of Pyrazolo[1,5-a]pyrimidine Derivatives as Dual Inhibitors of CDK2 and TRKA Kinases with Antiproliferative Activity. Pharmaceuticals 2024, 17, 1667. https://doi.org/10.3390/ph17121667
Attia MH, Lasheen DS, Samir N, Taher AT, Abdel-Aziz HA, Abou El Ella DA. Design, Synthesis and Molecular Modeling of Pyrazolo[1,5-a]pyrimidine Derivatives as Dual Inhibitors of CDK2 and TRKA Kinases with Antiproliferative Activity. Pharmaceuticals. 2024; 17(12):1667. https://doi.org/10.3390/ph17121667
Chicago/Turabian StyleAttia, Mohamed H., Deena S. Lasheen, Nermin Samir, Azza T. Taher, Hatem A. Abdel-Aziz, and Dalal A. Abou El Ella. 2024. "Design, Synthesis and Molecular Modeling of Pyrazolo[1,5-a]pyrimidine Derivatives as Dual Inhibitors of CDK2 and TRKA Kinases with Antiproliferative Activity" Pharmaceuticals 17, no. 12: 1667. https://doi.org/10.3390/ph17121667
APA StyleAttia, M. H., Lasheen, D. S., Samir, N., Taher, A. T., Abdel-Aziz, H. A., & Abou El Ella, D. A. (2024). Design, Synthesis and Molecular Modeling of Pyrazolo[1,5-a]pyrimidine Derivatives as Dual Inhibitors of CDK2 and TRKA Kinases with Antiproliferative Activity. Pharmaceuticals, 17(12), 1667. https://doi.org/10.3390/ph17121667

