Design, Synthesis, Antimicrobial Activity, and Molecular Docking of Novel Thiazoles, Pyrazoles, 1,3-Thiazepinones, and 1,2,4-Triazolopyrimidines Derived from Quinoline-Pyrido[2,3-d] Pyrimidinones
Abstract
1. Introduction
2. Results and Discussion
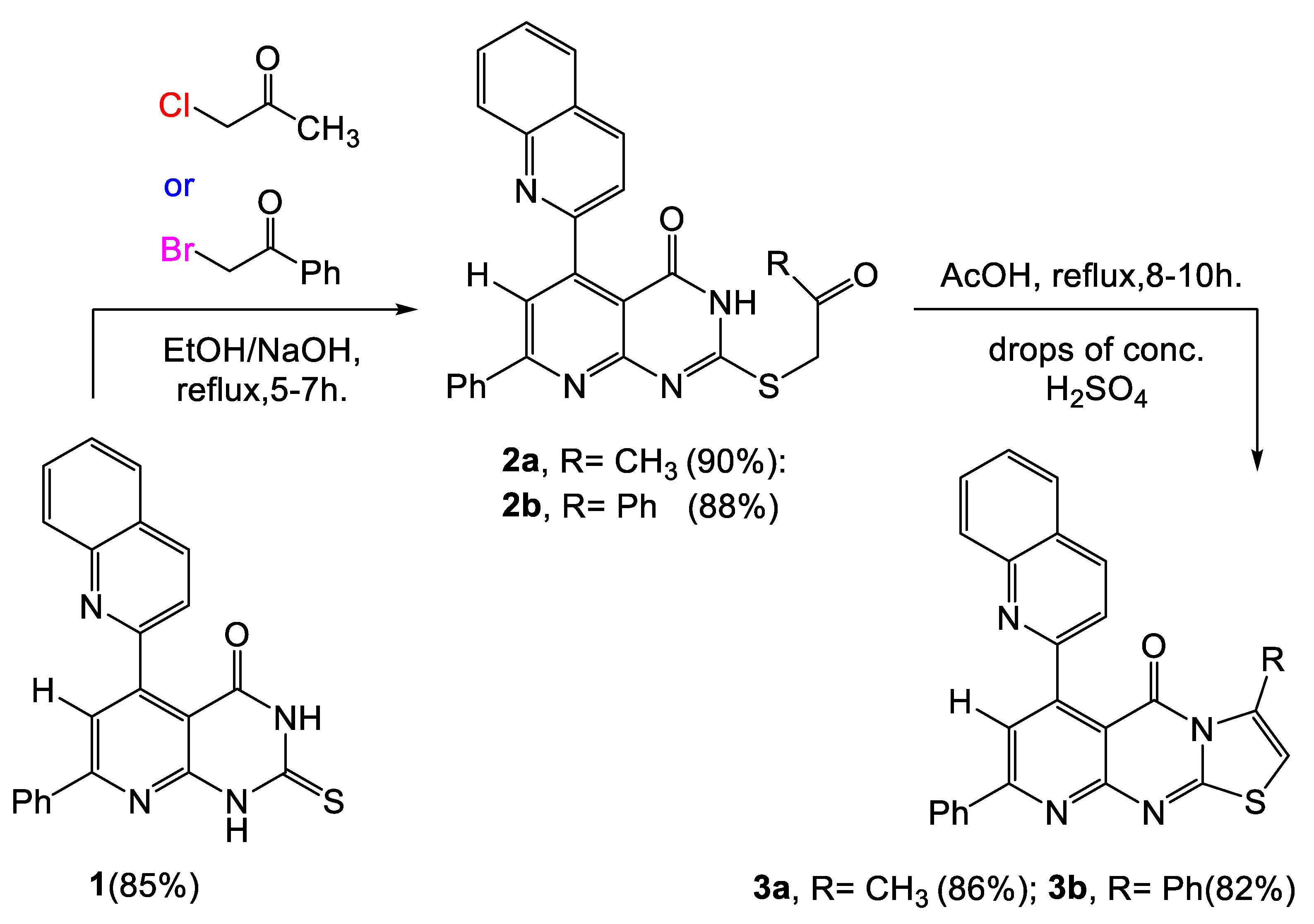
2.1. Synthesis
2.2. Biological Activities
2.2.1. Biological Screening
2.2.2. Structural Activity Relationship (SAR)
2.2.3. Mechanism of Action
3. Molecular Docking
3.1. Computational Methods
Molecular Docking of Synthesized Compounds
3.2. Results and Discussions
3.2.1. Docking and Interaction with Dihydropteroate Synthase of S. aureus
3.2.2. Docking and Molecular Interaction Studies with DNA Gyrase of E. coli
3.2.3. Docking and Molecular Interaction Studies of Sortase A in S. pyogenes
3.2.4. Docking and Interaction of KPC-2 Carbapenemase of K. pneumoniae
3.2.5. Docking and Interaction with Sterol 14-Alpha Demethylase of C. albicans
3.2.6. Docking and Molecular Interaction with fdc1of Aspergillus niger (PDB: ID 4ZA5)
3.2.7. Docking and Interaction with AaTPS of Alternaria alternata
4. Experimental Section
4.1. General Information
4.2. Synthesis of 7-Phenyl-5-(quinolin-2-yl)-2-thioxo-2,3-dihydropyrido[2,3-d] Pyrimidin-4(1H)-one (1) [32,40]
4.3. Synthesis of 2-((2-Oxo-substituted)thio)-7-phenyl-5-(quinolin-2-yl) Pyrido[2,3-d] Pyrimidin-4(3H)-one (2a, b)
4.4. Synthesis of 2-((2-Oxopropyl)thio)-7-phenyl-5-(quinolin-2-yl) Pyrido[2,3-d] Pyrimidin-4(3H)-one (2a)
4.5. Synthesis of 2-((2-Oxo-2-phenylethyl)thio)-7-phenyl-5-(quinolin-2-yl) Pyrido[2,3-d] Pyrimidin-4(3H)-one (2b)
4.6. Synthesis of 3-Substituted-8-phenyl-6-(quinolin-2-yl)-5H-pyrido[2,3-d]thiazolo[3,2-a] Pyrimidin-5-one (3a, b)
4.7. Synthesis of 3-Methyl-8-phenyl-6-(quinolin-2-yl)-5H-pyrido[2,3-d]thiazolo[3,2-a] Pyrimidin-5-one (3a)
4.8. Synthesis of 3,8-Diphenyl-6-(quinolin-2-yl)-5H-pyrido[2,3-d]thiazolo[3,2-a] Pyrimidin-5-one (3b)
4.9. Synthesis of 3-((4-Oxo-7-phenyl-5-(quinolin-2-yl)-3,4-dihydropyrido[2,3-d] Pyrimidin-2-yl)thio) Pentane-2,4-dione (4)
4.10. Synthesis of 2-Acetyl-3-methyl-8-phenyl-6-(quinolin-2-yl)-5H-pyrido[2,3-d]thiazolo[3,2-a] Pyrimidin-5-one (5)
4.11. Synthesis of 2-((3,5-Dimethyl-1H-pyrazol-4-yl)thio)-7-phenyl-5-(quinolin-2-yl)pyrido[2,3-d] Pyrimidin-4(3H)-one (6)
4.12. Synthesis of 2-((4,6-Dimethyl-2-thioxo-1,2-dihydropyrimidin-5-yl)thio)-7-phenyl-5-(quinolin-2-yl) Pyrido[2,3-d] Pyrimidin-4(3H)-one (7)
4.13. Synthesis of 2-(1-(Hydroxyimino)ethyl)-3-methyl-8-phenyl-6-(quinolin-2-yl)-5H-pyrido[2,3-d]thiazolo[3,2-a] Pyrimidin-5-one (8)
4.14. Synthesis of 2-(3-(4-Substituted-phenyl) Acryloyl)-3-methyl-8-phenyl-6-(quinolin-2-yl)-5H-pyrido[2,3-d]thiazolo[3,2-a] Pyrimidin-5-one (9a–c)
4.15. Synthesis of 2-Cinnamoyl-3-methyl-8-phenyl-6-(quinolin-2-yl)-5H-pyrido[2,3-d]thiazolo[3,2-a] Pyrimidin-5-one (9a)
4.16. Synthesis of 2-(3-(4-Chlorophenyl) Acryloyl)-3-methyl-8-phenyl-6-(quinolin-2-yl)-5H-pyrido[2,3-d]thiazolo[3,2-a] Pyrimidin-5-one (9b)
4.17. Synthesis of 2-(3-(4-Methoxyphenyl) Acryloyl)-3-methyl-8-phenyl-6-(quinolin-2-yl)-5H-pyrido[2,3-d]thiazolo[3,2-a] Pyrimidin-5-one (9c)
4.18. Synthesis of 2-(1-(3-Methyl-5-oxo-8-phenyl-6-(quinolin-2-yl)-5H-pyrido[2,3-d]thiazolo[3,2-a] Pyrimidin-2-yl)ethylidene) Hydrazine-1-carbothioamide (10)
4.19. Synthesis of 3-Methyl-2-(1-(5-(2-oxopropyl)-3-thioxo-2,3-dihydro-1H-1,2,4-triazol-1-yl)ethyl)-8-phenyl-6-(quinolin-2-yl)-5H-pyrido[2,3-d]thiazolo[3,2-a] Pyrimidin-5-one (11)
4.20. Synthesis of 3-Methyl-2-(1-(7-methyl-3-thioxo-2,3-dihydro-[1,2,4]triazolo[4,3-c]pyrimidin-1(5H)-yl)ethyl)-8-phenyl-6-(quinolin-2-yl)-5H-pyrido[2,3-d]thiazolo[3,2-a] Pyrimidin-5-one (12)
4.21. Synthesis of 3-Methyl-2-(1-(7-methyl-5-(pyridin-4-ylmethylene)-3-thioxo-2,3-dihydro-[1,2,4]triazolo[4,3-c]pyrimidin-1(5H)-yl)ethyl)-8-phenyl-6-(quinolin-2-yl)-5H-pyrido[2,3-d]thiazolo[3,2-a] Pyrimidin-5-one (13)
4.22. Synthesis of 4-Methyl-2-(1-(3-methyl-5-oxo-8-phenyl-6-(quinolin-2-yl)-5H-pyrido[2,3-d]thiazolo[3,2-a] Pyrimidin-2-yl)ethyl)-6-(pyridin-4-yl)-2H-9-thia-1,2,2a1,5-tetraazabenzo[cd]azulen-7(8H)-one (14)
4.23. Biological Screening (Materials and Methods, In Vitro)
4.23.1. Ethical Approval and Consent to Participate
4.23.2. Human and Animal Rights
4.23.3. Chemicals and Drugs
5. Conclusions
Author Contributions
Funding
Institutional Review Board Statement
Informed Consent Statement
Data Availability Statement
Acknowledgments
Conflicts of Interest
References
- Yadav, P.; Shah, K. An overview on synthetic and pharmaceutical prospective of pyrido[2,3-d] pyrimidines scaffold. Chem. Biol. Drug Des. 2021, 3, 633–648. [Google Scholar] [CrossRef] [PubMed]
- Yousif, M.N.M.; El-Gazzar, A.-R.B.A.; El-Enany, M.M. Synthesis and Biological Evaluation of Pyrido[2,3-d] pyrimidines. Mini Rev.Org. Chem. 2021, 1, 43–54. [Google Scholar] [CrossRef]
- Buron, F.; Mérour, J.Y.; Akssira, M.; Guillaumet, G.; Routier, S. Recent advances in the chemistry and biology of pyridopyrimidines. Eur. J. Med. Chem. 2015, 95, 76–95. [Google Scholar] [CrossRef] [PubMed]
- Schweitzer, B.I.; Dicker, A.P.; Bertino, J.R. Dihydrofolate reductase as a therapeutic target. FASEB J. 1990, 8, 2441–2452. [Google Scholar] [CrossRef] [PubMed]
- Raimondi, M.V.; Randazzo, O.; La Franca, M.; Barone, G.; Vignoni, E.; Rossi, D.; Collina, S. DHFR Inhibitors: Reading the Past for Discovering Novel Anticancer Agents. Molecules 2019, 6, 1140. [Google Scholar] [CrossRef]
- Gangjee, A.; Shi, J.; Queener, S.F.; Barrows, L.R.; Kisliuk, R.L. Synthesis of 5-methyl-5-deaza nonclassical antifolates as inhibitors of dihydrofolate reductases and as potential antipneumocystis, antitoxoplasma, and antitumor agents. J. Med. Chem. 1993, 36, 3437–3443. [Google Scholar] [CrossRef]
- Hawser, S.; Lociuro, S.; Islam, K. Dihydrofolate reductase inhibitors as antibacterial agents. Biochem. Pharm. 2006, 71, 941–948. [Google Scholar] [CrossRef]
- Gouda, M.A.S.; Salem, M.A.I.; Mahmoud, N.F.H. 3D-pharmacophore study molecular docking and synthesis of pyrido[2,3-d] pyrimidine-4(1H) dione derivatives with in vitro potential anticancer and antioxidant activities. J. Heterocycl. Chem. 2020, 57, 3988–4006. [Google Scholar] [CrossRef]
- Khajouei, M.R.; Khodarahmi, G.; Ghaderi, A. Synthesis and cytotoxic evaluation of some novel 3-[2-(2-phenyl-thiazol-4-yl)-ethyl]-3H-pyrido[2,3-d] pyrimidin-4-one derivatives. Res. Pharm Sci. 2021, 16, 455–463. [Google Scholar] [CrossRef]
- Dangolani, S.K.; Panahi, F.; Tavaf, Z.; Nourisefat, M.; Yousefi, R.; Khalafi-Nezhad, A. Synthesis and Antioxidant Activity Evaluation of Some Novel Aminocarbonitrile Derivatives Incorporating Carbohydrate Moieties. ACS Omega 2018, 3, 10341–10350. [Google Scholar] [CrossRef]
- Medjdoub, A.; Belhadj, F.; Merzouk, A.S.; Hamed, Y.B.; Kibou, Z.; Braham, N.C.; Merzouk, H. In vitro peripheral blood mononuclear cell proliferation, cytokine secretion and oxidative stress modulation by pyrido[2,3-d] pyrimidines. Chem. Pap. 2020, 74, 903–913. [Google Scholar] [CrossRef]
- Ibrahim, M.A.; Al-Harbi, S.A.; Allehyani, E.S. Construction, characterization, and antimicrobial evaluation of the novel heteroannulated chromeno [2′′,3′′:6′,5′] pyrido[2′,3′-d] [1,3] thiazolo[3,2-a] pyrimidines. J. Heterocycl. Chem. 2021, 58, 241–249. [Google Scholar] [CrossRef]
- Abdelhameed, R.M.; Darwesh, O.M.; El-Shahat, M. Synthesis of arylidene hydrazinylpyrido[2,3-d] pyrimidin-4-ones as potent antimicrobial agents. Heliyon 2020, 6, e04956. [Google Scholar] [CrossRef] [PubMed]
- Elsaedany, S.K.; Zein, M.A.; AbdElRehim, E.M.; Keshk, R.M. Synthesis and Biological Activity Studies of Novel Pyrido[2,3-d] pyrimidines and Pyrido[2,3-d] triazines. Russ. J. Bioorg. Chem. 2021, 47, 552–560. [Google Scholar] [CrossRef]
- Rajesh, S.M.; Kumar, R.S.; Libertsen, L.A.; Perumal, S.; Yogeeswari, P.; Sriram, D. A green expedient synthesis of pyridopyrimidine-2-thiones and their antitubercular activity. Bioorg. Med. Chem. Lett. 2011, 21, 3012–3016. [Google Scholar] [CrossRef]
- El-Gazzar, A.B.A.; Hafez, H.N. Synthesis of 4-substituted pyrido [2, 3-d] pyrimidin-4 (1H)-one as analgesic and anti-inflammatory agents. Bioorg. Med. Chem. Lett. 2009, 19, 3392–3397. [Google Scholar] [CrossRef]
- Dasari, S.R.; Tondepu, S.; Vadali, L.R.; Seelam, N. PEG-400 mediated an efficient, eco-friendly synthesis of new isoxazolyl pyrido[2,3-d] pyrimidines and their anti-inflammatory and analgesic activity. Synth. Commun. 2020, 50, 2950–2961. [Google Scholar] [CrossRef]
- Rani, N.V.; Kunta, R. PEG-400 promoted a simple, efficient and eco-friendly synthesis of functionalized novel isoxazolyl pyrido[2,3-d] pyrimidines and their antimicrobial and anti-inflammatory activity. Synth. Commun. 2021, 51, 1171–1183. [Google Scholar] [CrossRef]
- DeGoey, D.A.; Betebenner, D.A.; Grampovnik, D.J.; Liu, D.; Pratt, J.K.; Tufano, M.D.; He, W.; Krishnan, P.; Pilot-Matias, T.J.; Marsh, K.C.; et al. Discovery of pyrido[2,3-d] pyrimidine-based inhibitors of HCV NS5A. Bioorg. Med. Chem. Lett. 2013, 23, 3627–3630. [Google Scholar] [CrossRef]
- Zheng, Z.G.; Mao, Y.; Lee, H.C.; Pratt, J.K.; Koenig, J.R.; Perner, R.J.; Cowart, M.D.; Gfesser, G.A.; Steve, M.; Chu, K.L.; et al. Adenosine kinase inhibitors: Polar 7-Substituents of pyridopyrimidine derivatives improving their locomotor selectivity. Bioorg. Med. Chem. Lett. 2003, 13, 3041–3044. [Google Scholar] [CrossRef]
- Panahi, F.; Yousefi, R.; Mehraban, M.H.; Khalafi-Nezhad, A. Synthesis of new pyrimidine-fused derivatives as potent and selective antidiabetic α-glucosidase inhibitors. Carbohydr. Res. 2013, 380, 81–91. [Google Scholar] [CrossRef] [PubMed]
- Adib, M.; Peytam, F.; Rahmanian-Jazi, M.; Mahernia, S.; Larijani, B. New 6-amino-pyrido[2,3-d] pyrimidine-2,4-diones as novel agents to treat type 2 diabetes: A simple and efficient synthesis, α-glucosidase inhibition, molecular modeling, and kinetic study. Eur. J. Med. Chem. 2018, 155, 353–363. [Google Scholar] [CrossRef] [PubMed]
- Campos, J.F.; Besson, T.; Berteina-Raboin, S. Review on the Synthesis and Therapeutic Potential of Pyrido[2,3-d], [3,2-d], [3,4-d] and [4,3-d] pyrimidine Derivatives. Pharmaceuticals 2022, 15, 352. [Google Scholar] [CrossRef] [PubMed]
- García, A.; Bocanegra-García, V.; Palma-Nicol’, J.P.; Rivera, G. Recent advances in antitubercular natural products. Eur. J. Med. Chem. 2012, 49, 1–23. [Google Scholar] [CrossRef]
- Das, S.; Das, M.K.; Das, R.; Gehlot, V.; Mahant, S.; Mazumder, P.M.; Das, S.; Falls, N.; Kumar, V. Isolation, characterization of Berberine from Berberis aristata DC for eradication of resistant Helicobacter pylori. Biocatal. Agric. Biotechnol. 2020, 26, 101622. [Google Scholar] [CrossRef]
- Zielińska, S.; Wójciak-Kosior, M.; Dziągwa-Becker, M.; Gleńsk, M.; Sowa, I.; Fijałkowski, K.; Rurańska-Smutnicka, D.; Matkowski, A.; Junka, A. The Activity of Isoquinoline Alkaloids and Extracts from Chelidonium majus against Pathogenic Bacteria and Candida sp. Toxins 2019, 11, 406. [Google Scholar] [CrossRef]
- Adams, R.J.; Seifen, E. Effect of sanguinarine on calcium exchange in isolated guinea pig atria. Fed. Proc. 1977, 36, 957. [Google Scholar]
- Pitts, B.J.; Meyerson, L.R. Inhibition of Na, K-ATPase activity and ouabain binding by sanguinarine. Drug Dev. Res. 1981, 1, 43–49. [Google Scholar] [CrossRef]
- Douadi, K.; Chafaa, S.; Douadi, T.; Al-Noaimi, M.; Kaabi, I. Azoimine quinoline derivatives: Synthesis, classical and electrochemical evaluation of antioxidant, anti-inflammatory, antimicrobial activities and the DNA/BSA binding. J. Mol. Stru. 2020, 1217, 128305. [Google Scholar] [CrossRef]
- Wang, M.; Zhang, G.; Zhao, J.; Cheng, N.; Wang, Y.; Fu, Y.; Zheng, Y.; Wang, J.; Zhu, M.; Cen, S.; et al. Synthesis, and antiviral activity of a series of novel quinoline derivatives as anti-RSV or anti-IAV agents. Eur. J. Med. Chem. 2021, 214, 113208. [Google Scholar] [CrossRef]
- Mubeen, S.; Rauf, A.; Qureshi, A.M. Synthesis of new quinoline scaffolds via a solvent-free fusion method and their anti-microbial properties. Trop. J. Pharm. Res. 2018, 17, 1853–1858. [Google Scholar] [CrossRef]
- Abu-Hashem, A.A.; Yousif, M.N.M.; El-Gazzar, A.B.A.; Hafez, H.N. Synthesis, design, and antimicrobial activity of pyrido[2,3-d] [1,2,4] triazolo[4,3-a] pyrimidinones based on quinoline derivatives. J. Chin. Chem. Soc. 2023, 70, 2187–2205. [Google Scholar] [CrossRef]
- Uddin, A.; Chawla, M.; Irfan, I.; Mahajan, S.; Singh, S.; Abid, M. Medicinal chemistry updates on quinoline- and endoperoxide-based hybrids with potent antimalarial activity. RSC Med. Chem. 2021, 12, 24–42. [Google Scholar] [CrossRef] [PubMed]
- Ghate, N.B.; Chaudhuri, D.; Panja, S.; Singh, S.S.; Gupta, G.; Lee, C.Y.; Mandal, N. In Vitro Mechanistic Study of the Anti-inflammatory Activity of a Quinoline Isolated from Spondias pinnata Bark. J. Nat. Prod. 2018, 81, 1956–1961. [Google Scholar] [CrossRef] [PubMed]
- Kumar, H.; Devaraji, V.; Joshi, R.; Jadhao, M.; Ahirkar, P.; Prasath, R.; Bhavana, P.; Ghosh, S.K. Antihypertensive activity of a quinoline appended chalcone derivative and its site-specific binding interaction with a relevant target carrier protein. RSC Adv. 2015, 5, 65496–65513. [Google Scholar] [CrossRef]
- Gaurav, A.; Singh, R. Pharmacophore modeling, 3DQSAR, and docking-based design of polysubstituted quinolines derivatives as inhibitors of phosphodiesterase 4, and preliminary evaluation of their anti-asthmatic potential. Med. Chem. Res. 2014, 23, 5008–5030. [Google Scholar] [CrossRef]
- Rajanarendar, E.; Reddy, M.N.; Krishna, S.R.; Murthy, K.R.; Reddy, Y.N.; Rajam, M.V. Design, synthesis, antimicrobial, anti-inflammatory and analgesic activity of novel isoxazolyl pyrimido[4,5-b] quinolines and isoxazolyl chromeno[2,3-d] pyrimidin-4-ones. Eur. J. Med. Chem. 2012, 55, 273–283. [Google Scholar] [CrossRef]
- Mohamed, M.F.; Abuo-Rahma, G.E. Molecular targets and anticancer activity of quinoline–chalcone hy-brids: Literature review. RSC Adv. 2020, 10, 31139–31155. [Google Scholar] [CrossRef]
- Costa, C.A.; Lopes, R.M.; Ferraz, L.S.; Esteves, G.N.; Di Iorio, J.F.; Souza, A.A.; de Oliveira, I.M.; Manarin, F.; Judice, W.A.; Stefani, H.A.; et al. Cytotoxicity of 4-substituted quinoline derivatives: Anticancer and antileishmanial potential. Bioorg. Med. Chem. 2020, 28, 115511. [Google Scholar] [CrossRef]
- Abu-Hashem, A.A.; Hakami, O.; Amri, N. Synthesis, anticancer activity and molecular docking of new quinolines, quinazolines and 1, 2, 4-triazoles with pyrido [2, 3-d] pyrimidines. Heliyon 2024, 10, e26735. [Google Scholar] [CrossRef]
- Suresh, N.; Nagesh, H.N.; Sekhar, K.V.; Kumar, A.; Shirazi, A.N.; Parang, K. Synthesis of novel ciprofloxacin analogues and evaluation of their antiproliferative effect on human cancer cell lines. Bioorg. Med. Chem. Lett. 2013, 23, 6292–6295. [Google Scholar] [CrossRef] [PubMed]
- Krafts, K.; Hempelmann, E.; Skorska-Stania, A. From methylene blue to chloroquine: A brief review of the development of an antimalarial therapy. Parasitol. Res. 2012, 111, 1–6. [Google Scholar] [CrossRef] [PubMed]
- Matada, B.S.; Pattanashettar, R.; Yernale, N.G. A comprehensive review on the biological interest of quinoline and its derivatives. Bioorg. Med. Chem. 2021, 32, 115973. [Google Scholar] [CrossRef] [PubMed]
- El-Bana, G.G.; Gouda, M.A. Advances in Chemistry of 2-(Piperazin-1-yl) Quinoline (Part IV). Mini Rev. Org. Chem. 2024, 21, 542–554. [Google Scholar] [CrossRef]
- Gouda, M.A.; El-Bana, G.G. Chemistry of 2-Aminoquinolines: Synthesis, Reactivity, and Biological Activities. Mini Rev. Org. Chem. 2023, 20, 509–529. [Google Scholar] [CrossRef]
- Shaaban, S.; Ba-Ghazal, H.; Al-Faiyz, Y.S.; Al-Karmalawy, A.A.; Amri, N.; Youssef, I. Recent advances in the synthesis of organo-selenium heterocycle conjugates. Tetrahedron 2024, 157, 133957. [Google Scholar] [CrossRef]
- Mnasri, A.; Amri, N.; Ghalla, H.; Gatri, R.; Hamdi, N. Effective Synthesis and Biological Evaluation of Dicoumarols: Preparation, Characterization, and Docking Studies. ACS Omega 2023, 8, 14926–14943. [Google Scholar] [CrossRef]
- Mukhrish, Y.E.; Amri, N.J.; Al-humaidi, J.Y.; Oubella, A.; Auhmani, A.; Itto, M.Y.A. Discovery of novel thiazolidinone-1,2,3-triazole hybrids with (D)-Limonene skeleton as anticancer agents: Design, synthesis and biological evaluation. J. Mol. Stru. 2024, 1308, 138127. [Google Scholar] [CrossRef]
- Jawhari, A.H.; Amri, N.; Mukhrish, Y.E.; Gatri, R.; Özdemir, I.; Gürbüz, N.; Mansour, L.; Koko, W.S.; Hamdi, N. Novel ruthenium(ii) N-heterocyclic carbene complexes: Synthesis, characterization, and evaluation of their biological activities. Main Group Met. Chem. 2023, 46, 20230008. [Google Scholar] [CrossRef]
- Farghaly, A.; Ahmed, S.A.; Ismail, K.S.; Ibrahim, D.; Amri, N.; Elgogary, S. Synthesis, antitumor activity, antimicrobial evaluation and molecular docking studies of some hydrazone, 1,3,4-oxadiazole, 1,2,4-triazole and pyrazole derivatives bearing nicotinoyl moiety. Results Chem. 2024, 7, 101474. [Google Scholar] [CrossRef]
- Kaplancıklı, Z.A.; Turan-Zitouni, G.; Özdemir, A.; Revial, G. New triazole and triazolothiadiazine derivatives as possible antimicrobial agents. Eur. J. Med. Chem. 2008, 43, 155–159. [Google Scholar] [CrossRef] [PubMed]
- Bayrak, H.; Demirbas, A.; Karaoglu, S.A.; Demirbas, N. Synthesis of some new 1, 2, 4-triazoles, their Mannich and Schif bases and evaluation of their antimicrobial activities. Eur. J. Med. Chem. 2009, 44, 1057–1066. [Google Scholar] [CrossRef]
- Nitin Muthal, N.M.; Jyoti Ahirwar, J.A.; Dheeraj Ahriwar, D.A.; Pankaj Masih, P.M.; Tanaji Mahmdapure, T.M.; Sivakumar, T. Synthesis, antimicrobial and anti-inflammatory activity of some 5-substituted-3-pyridine-1, 2, 4-triazoles. Int. J. Pharm. Technol. Res. 2010, 2, 2450–2455. [Google Scholar]
- Mohamed, M.A.A.; Bekhit, A.A.; Abd Allah, O.A.; Kadry, A.M.; Ibrahim, T.M.; Bekhit, S.A.; Amagase, K.; El-Saghier, A.M.M. Synthesis and antimicrobial activity of some novel 1,2-dihydro [1,2,4] triazolo [1,5-a] pyrimidines bearing amino acid moiety. RSC Adv. 2021, 11, 2905–2916. [Google Scholar] [CrossRef] [PubMed]
- Kotaiah, Y.; Nagaraju, K.; Harikrishna, N.; Rao, C.V.; Yamini, L.; Vijjulatha, M. Synthesis, docking and evaluation of antioxidant and antimicrobial activities of novel 1,2,4-triazolo[3,4-b] [1,3,4] thiadiazol-6-yl) selenopheno [2,3-d] pyrimidines. Eur. J. Med. Chem. 2014, 75, 195–202. [Google Scholar] [CrossRef]
- El Azab, I.H.; Elkanzi, N.A.A. Design, synthesis, and antimicrobial evaluation of new annelated pyrimido[2,1-c] [1,2,4] triazolo [3,4-f] [1,2,4] triazines. Molecules 2020, 25, 1339. [Google Scholar] [CrossRef]
- Kumar, S.; Lim, S.M.; Ramasamy, K.; Vasudevan, M.; Ali Shah, S.A.; Selvaraj, M.; Narasimhan, B. Synthesis, molecular docking and biological evaluation of bis-pyrimidine Schiff base derivatives. Chem. Cent. J. 2017, 11, 89. [Google Scholar] [CrossRef]
- Hassaneen, H.M.; Saleh, F.M.; Abdallah, T.A.; Mohamed, M.F.; Mohamed, Y.S.; Awad, E.M.; Abdelhamid, I.A. Synthesis, cytotoxicity, antimicrobial and docking simulation of novel pyrazolo[3,4-d] pyrimidine and pyrazolo[4,3-e] [1,2,4] triazolo[3,4-c] pyrimidine derivatives. Mini-Rev. Med. Chem. 2019, 19, 657–670. [Google Scholar] [CrossRef]
- Abd El-Aleam, R.H.; George, R.F.; Hassan, G.S.; Abdel-Rahman, H.M. Synthesis of 1, 2, 4- triazolo [1,5-a] pyrimidine derivatives: Antimicrobial activity, DNA Gyrase inhibition and molecular docking. Bioorg. Chem. 2020, 94, 103411. [Google Scholar] [CrossRef]
- Shehab, W.S.; Ghoneim, A.A. Synthesis and biological activities of some fused pyran derivatives. Arab. J. Chem. 2016, 9, S966–S970. [Google Scholar] [CrossRef]
- Shahbazi, S.; Ghasemzadeh, M.A.; Shakib, P.; Zolfaghari, M.R.; Bahmani, M. Synthesis and antimicrobial study of 1, 4-dihydropyrano[2,3-c] pyrazole derivatives in the presence of amino-functionalized silica-coated cobalt oxide nanostructures as catalyst. Polyhedron 2019, 170, 172–179. [Google Scholar] [CrossRef]
- Kumar, D.; Reddy, V.B.; Sharad, S.; Dube, U.; Kapur, S. A facile one-pot green synthesis and antibacterial activity of 2-amino-4H-pyrans and 2-amino-5-oxo-5, 6, 7, 8-tetrahydro-4H-chromenes. Eur. J. Med. Chem. 2009, 44, 3805–3809. [Google Scholar] [CrossRef] [PubMed]
- Balouiri, M.; Sadiki, M.; Ibnsouda, S.K. Methods for in vitro evaluating antimicrobial activity: A review. J. Pharm. Anal. 2016, 6, 71–79. [Google Scholar] [CrossRef] [PubMed]
- Youssef, M.S.K.; Abeed, A.A.O.; El-Emary, T.I. Synthesis and evaluation of chromene-based compounds containing pyrazole moiety as antimicrobial agents. Heterocycl. Commun. 2017, 23, 55–64. [Google Scholar] [CrossRef]
- Ibrahim, M.A.; Al-Harbi, S.A.; Allehyani, E.S. Synthesis and antimicrobial evaluation of the novel hetero-annulated furo[3′,2′: 6, 7]chromeno[2,3-b]pyridines: Part 1. J. Heterocycl. Chem. 2020, 57, 3632–3641. [Google Scholar] [CrossRef]
- Ghoneim, A.A.; El-Farargy, A.F. Synthesis of some new chromeno[2,3-b] pyridine and [1,2,4] triazolo [1,5-a] quinoline nucleoside analogues with expected biological activity. Lett. Org. Chem. 2015, 12, 13–20. [Google Scholar] [CrossRef]
- Babu, K.S.; Raju, B.C.; Praveen, B.; Kishore, K.H.; Murty, U.S.; Rao, J.M. Microwave assisted synthesis and antimicrobial activity of 2,2-dimethylchromenes. Heterocycl. Commun. 2003, 9, 519–526. [Google Scholar]
- Bingi, C.; Reddy, E.N.; Chennapuram, M.; Poornachandra, Y.; Kumar, C.G.; Babu, N.J.; Atmakur, K. One-pot catalyst free synthesis of novel kojic acid tagged 2-aryl/alkyl substituted-4H-chromenes and evaluation of their antimicrobial and anti-biofilm activities. Bioorg. Med. Chem. Lett. 2015, 25, 1915–1919. [Google Scholar] [CrossRef]
- Cheng, K.; Xue, J.Y.; Zhu, H.L. Design, synthesis and antibacterial activity studies of thiazole derivatives as potent ecKAS III inhibitors. Bioorg. Med. Chem. Lett. 2013, 23, 4235–4238. [Google Scholar] [CrossRef]
- El-Sayed, N.N.E.; Zaki, M.E.A.; Al-Hussain, S.A.; Bacha, A.B.; Berredjem, M.; Masand, V.H.; Almarhoon, Z.M.; Omar, H.S. Synthesis and evaluation of some new 4H-pyran derivatives as antioxidant, antibacterial and anti-HCT-116 Cells of CRC, with molecular docking, antiproliferative, apoptotic and ADME investigations. Pharmaceuticals 2022, 15, 891. [Google Scholar] [CrossRef]
- Abu-Hashem, A.A.; Hakami, O.; Amri, N.; Mukhrish, Y.E.; Abdelgawad, A.A.M. Synthesis of 1,3,5-Triazepines and Benzo[f ][1,3,5]triazepines and Their Biological Activity: Recent Advances and New Approaches. Molecules 2024, 29, 632. [Google Scholar] [CrossRef] [PubMed]
- Abu-Hashem, A.A.; Al-Hussain, S.A. Design, Synthesis of New 1,2,4-Triazole/1,3,4-Thiadiazole with Spiroindoline, Imidazo[4,5-b] quinoxaline and Thieno[2,3-d] pyrimidine from Isatin Derivatives as Anticancer Agents. Molecules 2022, 27, 835. [Google Scholar] [CrossRef] [PubMed]
- Abu-Hashem, A.A.; Al-Hussain, S.A.; Zaki, M.E.A. Design, Synthesis and Anticancer Activity of New Polycyclic: Imidazole, Thiazine, Oxathiine, Pyrrolo-Quinoxaline and Thienotriazolopyrimidine Derivatives. Molecules 2021, 26, 2031. [Google Scholar] [CrossRef] [PubMed]
- Abu-Hashem, A.A.; Al-Hussain, S.A.; Zaki, M.E.A. Synthesis of novel benzodifuranyl; 1, 3, 5-triazines; 1, 3, 5-oxadiazepines; and thiazolopyrimidines derived from visnaginone and khellinone as anti-inflammatory and analgesic agents. Molecules 2020, 25, 220. [Google Scholar] [CrossRef]
- Abu-Hashem, A.A.; Yousef, M.M. Synthesis of new visnagen and khellin furochromone pyrimidine derivatives and their anti-inflammatory and analgesic activity. Molecules 2011, 16, 1956–1972. [Google Scholar] [CrossRef]
- Abu-Hashem, A.A.; El-Gazzar AB, A.; Hussein, H.A.R.; Hafez, H.N. Synthesis and Antimicrobial Activity of New Triazines, Tetrazines, Thiazinoquinoxalines, Thienotriazepine-imidazo [4, 5-b] quinolines from Isatin Derivatives. Polycycl. Aromat. Compd. 2023, 43, 7073–7092. [Google Scholar] [CrossRef]
- Abu-Hashem, A.A.; Al-Hussain, S.A. The Synthesis, Antimicrobial Activity, and Molecular Docking of New 1, 2, 4-Triazole, 1, 2, 4-Triazepine, Quinoline, and Pyrimidine Scaffolds Condensed to Naturally Occurring Furochromones. Pharmaceuticals 2022, 15, 1232. [Google Scholar] [CrossRef]
- Abu-Hashem, A.A.; Hussein, H.A.R.; Aly, A.S. Synthesis and Antimicrobial Activity of Novel 1, 2, 4-Triazolopyrimidofuro-quinazolinones from Natural Furochromones (Visnagenone and Khellinone). Med. Chem. 2021, 17, 707–723. [Google Scholar] [CrossRef]
- Abu-Hashem, A.A.; El-Shazly, M. Synthesis and Antimicrobial Evaluation of Novel Triazole, Tetrazole, and Spiropyrimidine-Thiadiazole Derivatives. Polycycl. Aromat. Compd. 2021, 41, 478–497. [Google Scholar] [CrossRef]
- Abu-Hashem, A.A. Synthesis of new furothiazolo pyrimido quinazolinones from visnagenone or khellinone and antimicrobial activity. Molecules 2018, 23, 2793. [Google Scholar] [CrossRef]
- Abu-Hashem, A.A.; Abu-Zied, K.M.; Zaki, M.E.A.; El-Shehry, M.F.; Awad, H.M.; Khedr, M.A. Design, Synthesis, and Anticancer Potential of the Enzyme (PARP-1) Inhibitor with Computational Studies of New Triazole, Thiazolidinone,-Thieno [2, 3-d] Pyrimidinones. Lett. Drug Des. Discov. 2020, 17, 799–819. [Google Scholar] [CrossRef]
- Abu-Hashem, A.A.; El-Shazly, M. Synthesis, reactions and biological activities of furochromones: A review. Eur. J. Med. Chem. 2015, 90, 633–665. [Google Scholar] [CrossRef]
- Raval, K.; Ganatra, T. Basics, types and applications of molecular docking: A review. IP Int. J. Compr. Adv. Pharmacol. 2022, 7, 12–16. [Google Scholar] [CrossRef]
- Gul, M.; Celikoglu, E.T.; Idil, O.; Tas, G.; Pelit, E. Synthesis, antimicrobial activity and molecular docking studies of spiroquinoline-indoline-dione and spiropyrazolo-indoline-dione derivatives. Sci. Rep. 2023, 13, 1676. [Google Scholar] [CrossRef]
- Elumalai, K.; Shanmugam, A.; Devaraji, M.; Srinivasan, S. Synthesis and molecular docking of pyrimidine derivatives as antibacterial agents. Carbon Resour. Convers. 2024, 7, 100222. [Google Scholar] [CrossRef]
- Hussien, A.H.H.; El-Qaliei, M.I.H.; Mousa, S.A.S.; Atalla, A.A.; Khodairy, A. Synthesis, antimicrobial activity, and molecular docking studies of new fused pyrimidinethiones. J. Heterocycl. Chem. 2022, 59, 1551–1560. [Google Scholar] [CrossRef]
- O’Boyle, N.M.; Banck, M.; James, C.A.; Morley, C.; Vandermeersch, T.; Hutchison, G.R. Open Babel: An Open chemical toolbox. J. Cheminform. 2011, 3, 33. [Google Scholar] [CrossRef]
- Eberhardt, J.; Santos-Martins, D.; Tillack, A.F.; Forli, S. AutoDock Vina 1.2.0: New Docking Methods, Expanded Force Field, and Python Bindings. J. Chem. Inf. Model. 2021, 61, 3891–3898. [Google Scholar] [CrossRef]
- Dassault Systèmes BIOVIA. Discovery Studio Modeling Environment, Release; Dassault Systèmes BIOVIA: San Diego, CA, USA, 2017. [Google Scholar]
- Khidre, R.E.; Sabry, E.; El-Sayed, A.F.; Sediek, A.A. Design, one-pot synthesis, in silico ADMET prediction and molecular docking of novel triazolyl thiadiazine and thiazole derivatives with evaluation of antimicrobial, antioxidant and antibiofilm inhibition activity. J. Iran. Chem. Soc. 2023, 20, 2923–2947. [Google Scholar] [CrossRef]
- Mukhtar, S.S.; Sroor, F.M.; Hafez, T.S.; Abdelraof, M.; El-Sayed, A.F.; Laboud, Y.N.; Saleh, F.M. Evaluation of Pyrazolyl-Indolizine Derivatives as Antimicrobial Agents: Synthesis, In vitro, In silico ADMET and Molecular Docking Studies. Chem. Biodivers. 2024, 21, e202400825. [Google Scholar] [CrossRef]













| MIC (µmol mL−1) | ||||
|---|---|---|---|---|
| Compounds | Microorganisms | |||
| Gram-Positive Bacteria | Gram-Negative Bacteria | |||
| Streptococcus pyogenes | Staphylococcus aureus | Klebsiella pneumoniae | E. coli | |
| 1 | 16 | 17 | 18 | 19 |
| 2a | 15 | 16 | 17 | 18 |
| 2b | 14 | 15 | 16 | 17 |
| 3a | 11 | 12 | 12 | 13 |
| 3b | 10 | 11 | 10 | 11 |
| 4 | 12 | 13 | 14 | 15 |
| 5 | 9 | 10 | 9 | 10 |
| 6 | 7 | 7 | 6 | 7 |
| 7 | 6 | 7 | 6 | 7 |
| 8 | 8 | 9 | 8 | 8 |
| 9a | 5 | 6 | 6 | 5 |
| 9b | 3 | 4 | 3 | 4 |
| 9c | 4 | 5 | 4 | 5 |
| 10 | 2 | 3 | 2 | 3 |
| 11 | 1 | 2 | 2 | 2 |
| 12 | 1 | 2 | 1 | 2 |
| 13 | 1 | 2 | 1 | 1 |
| 14 | 1 | 1 | 1 | 1 |
| Cefotaxime sodium | 1 | 2 | 1 | 1 |
| Negative control | NI | NI | NI | NI |
| MIC (µmol mL−1) | ||||
|---|---|---|---|---|
| Compounds | Microorganisms | |||
| Candida albicans | Curvularia lunata | Alternaria alternata | Aspergillus niger | |
| 1 | 20 | 21 | 22 | 23 |
| 2a | 18 | 19 | 20 | 21 |
| 2b | 17 | 18 | 19 | 20 |
| 3a | 14 | 15 | 16 | 17 |
| 3b | 12 | 13 | 14 | 15 |
| 4 | 15 | 16 | 17 | 18 |
| 5 | 10 | 11 | 12 | 13 |
| 6 | 8 | 9 | 10 | 11 |
| 7 | 7 | 8 | 9 | 10 |
| 8 | 9 | 10 | 11 | 12 |
| 9a | 6 | 7 | 7 | 8 |
| 9b | 4 | 5 | 6 | 6 |
| 9c | 5 | 6 | 7 | 7 |
| 10 | 3 | 4 | 4 | 5 |
| 11 | 2 | 2 | 3 | 4 |
| 12 | 1 | 2 | 2 | 3 |
| 13 | 1 | 2 | 1 | 2 |
| 14 | 1 | 1 | 1 | 2 |
| Nystatin | 1 | 1 | 2 | 3 |
| Negative control | NI | NI | NI | NI |
| Microorganism | Protein Targets | PDB ID | Resolutions | Active Sit Coordinates: | References [77,78,79,80,83,84,85,86,90,91] | ||
|---|---|---|---|---|---|---|---|
| X | Y | Z | |||||
| S. aureus | Dihydropteroate Synthetase | 1M17 | 2.60 Å | 19.96 | 5.08 | 20.12 | cefotaxime |
| E. coli | GyrB24 | 7P2M | 1.16 Å | 72.07 | 36.33 | 11.54 | cefotaxime |
| K. pneumoniae | KPC-2 carbapenemase | 3ERT | 1.90 Å | 27.52 | 63.35 | −2.29 | cefotaxime |
| S. pyogenes | Sortase A | 8T8G | 1.50 Å | 72.07 | 36.33 | 11.54 | cefotaxime |
| C. albicans | Sterol 14-alpha demethylase | 5TZ1 | 2.00 Å | 19.96 | 5.08 | 20.12 | nystatin |
| Aspergillus niger | fdc1 protein | 4ZA5 | 1.10 Å | 27.52 | 63.35 | −2.29 | nystatin |
| A. alternata | Crystal structure of AaTPS | 7P2M | 1.16 Å | 72.07 | 36.33 | 11.54 | nystatin |
| Protein | Ligand | Hydrophilic Interactions | Hydrophobic Contacts | No. of H-Bonds | No. of Total Bonds | Affinity kcal mol−1 | |||
|---|---|---|---|---|---|---|---|---|---|
| Residue (H-Bond) | Length | Residue (Bond Type) | Length | ||||||
| 1 | Dihydropteroate synthase of S. aureus | 10 | Asn11 (H-bond) His241 (H-bond) Asp84 (H-bond) | 4.55 2.60 2.91 | Ile9, (pi–alkyl) Asp84, (pi–cation) His241, (pi–cation) Pro216, (pi–alkyl) Phe172, (pi–sulfur) His241, (pi–alkyl) | 4.44 5.10 5.34 5.11 5.30 5.34 | 3 | 12 | −8.90 |
| 2 | 11 | Arg239 (H-bond) Asp84 (H-bond) Asn103 (H-bond) | 1.92 2.38 2.87 | Arg52, (pi–alkyl) Phe172, (pi–alkyl) Phe172, (pi–pi shaped) Arg239, (pi–cation) | 4.82 4.88 4.98 3.54 | 3 | 7 | −8.80 | |
| 3 | 12 | - | Arg52, (pi–alkyl) His241, (pi–pi shaped) | 3.91 5.30 | 2 | 10 | −8.70 | ||
| 4 | 13 | Met128 (H-bond) | 2.57 | Ala199, (pi–alkyl) Arg239, (pi–cation) Phe172, (pi–alkyl) Met128, (pi–alkyl) Val126, (pi–alkyl) Met128, (pi–sulfur) Phe172, (pi–pi shaped) | 3.30 3.69 4.81 5.06 4.82 3.59 4.81 | 1 | 8 | −8.40 | |
| 5 | 14 | Arg52 (H-bond) | 2.54 | Ile9, (pi–alkyl) His55, (pi–alkyl) Arg52, (pi–alkyl) Arg239, (pi–cation) His241, (pi–pi shaped) Arg202, (CH-bond) | 4.99 3.67 3.34 3.31 4.74 3.18 | 1 | 11 | −8.50 | |
| 6 | cefotaxime | Gly54 (H-bond) Tyr56 (H-bond) | 2.73 2.91 | Ala58, (halogen) Ile52, (pi–alkyl) Asp65, (pi–cation) Arg61, (pi–cation) Arg61, (pi–alkyl) | 3.12 4.42 3.49 4.15 5.01 | 2 | 9 | −6.10 | |
| No. | Protein | Ligand | Hydrophilic Interactions | Hydrophobic Contacts | No. of H-Bonds | No. of Total Bonds | Affinity kcal mol−1 | ||
|---|---|---|---|---|---|---|---|---|---|
| Residue (H-Bond) | Length | Residue (Bond Type) | Length | ||||||
| 1 | DNA gyrase of E.coli (PDB: ID 7P2M) | 10 | Leu98, (H-bond) Leu98, (H-bond) | 2.78 2.68 | Ile94, (pi–sigma) Ile94, (pi–sigma) Ile78, (pi–sigma) Val120, (alkyl) Arg76, (pi–cation) | 3.68 3.62 3.67 5.42 3.66 | 2 | 8 | −8.90 |
| 2 | 11 | - | - | Ile94, (pi–sigma) Ile94, (pi–sigma) Ile78, (pi–sigma) Val120, (alkyl) Arg76, (pi–cation) | 3.82 3.67 3.65 3.65 3.81 | 0 | 5 | −8.40 | |
| 3 | 12 | - | - | Ile94, (pi–sigma) Ile94, (pi–sigma) Ile78, (pi–sigma) Val120, (alkyl) Arg76, (pi–cation) Leu98, (alkyl) Asn46, (pi–pi T-shaped) | 3.68 3.47 3.71 5.01 3.82 4.86 5.05 | 0 | 8 | −8.10 | |
| 4 | 13 | - | - | Thr165, (pi–sigma) Asp49, (pi–cation) Leu98, (C-H bond) Gly77, (pi–pi T-shaped) Ile94, (alkyl) Pro79, (alkyl Ile78, (alkyl) Ala47, (alkyl) Val43, (alkyl) Val167, (alkyl) Val120, (alkyl) | 3.71 3.35 4.13 5.16 5.12 4.28 4.23 5.14 5.15 4.82 3.80 | 0 | 11 | −8.10 | |
| 14 | - | - | Ile94, (pi–sigma) Ile94, (pi–sigma) Ile78, (alkyl) Ile94, (alkyl) | 3.59 3.00 5.31 4.80 | 0 | 5 | −8.10 | ||
| 5 | cefotaxime | Ala47, (H-bond) Glu50, (H-bond) Ser121, (H-bond) Ile94, (H-bond) | 2.93 2.65 2.83 2.01 | Val120, (alkyl) Ile78, (alkyl) Asp73, (C-H bond) | 5.09 4.25 3.40 | 4 | 7 | −7.00 | |
| Protein | Ligand | Hydrophilic Interactions | Hydrophobic Contacts | No. of H-Bonds | No. of Total Bonds | Affinity kcal mol−1 | |||
|---|---|---|---|---|---|---|---|---|---|
| Residue (H-Bond) | Length | Residue (Bond Type) | Length | ||||||
| 1 | Sortase A in S. pyogenes (PDB: ID 8T8G) | 10 | - | - | Val206, (pi–sigma) Leu113, (pi–sigma) Arg216, (pi–cation) Arg216, (pi–cation) Arg216, (pi–alkyl) Ala208, (pi–alkyl) Met125, (pi–sulfur) | 3.98 3.38 4.78 4.28 5.05 4.01 5.55 | 0 | 7 | −8.20 |
| 2 | 11 | - | - | Val206, (pi–sigma) Leu113, (pi–sigma) Arg216, (pi–cation) Arg216, (pi–cation) Arg216, (pi–alkyl) Ala208, (pi–alkyl) Met125, (pi–sulfur) | 3.94 5.07 2.57 | 0 | 7 | −7.90 | |
| 12 | - | - | Val206, (pi–alkyl) Val206, (pi–alkyl) Ile194, (pi–alkyl) Val193, (pi–alkyl) Val191, (pi–sigma) Arg216, (pi–alkyl) Ala208, (pi–alkyl) | 4.86 4.96 5.39 4.31 3.78 4.78 4.71 | 7 | −7.80 | |||
| 13 | - | - | Pro188, (pi–alkyl) Leu113, (pi–alkyl) Val206, (pi–alkyl) Val206, (pi–alkyl) Lys126, (pi–alkyl) Ile194, (pi–alkyl) His142, (pi–pi T-shaped) Ile194, (pi–sigma) | 4.60 5.16 5.25 4.75 5.23 3.97 3.97 3.28 | 0 | 11 | −7.90 | ||
| 14 | Lys126, (pi–alkyl) Lys126, (pi–alkyl) Val206, (pi–alkyl) Leu11, (pi–alkyl) Ile218, (pi–alkyl) Val206, (pi–alkyl) | 3.99 4.87 4.51 5.16 3.81 3.81 | 0 | 7 | −8.00 | ||||
| 3 | cefotaxime | Gln246, (H-bond) Gln152, (H-bond). Gln152, (H-bond) | 2.12 2.69 2.39 | Leu103, (C-H bond) Gln152, (C-H bond) | 3.67 3.51 | 3 | 5 | −7.30 | |
| No. | Protein | Ligand | Hydrophilic Interactions | Hydrophobic Contacts | No. of H-Bonds | No. of Total Bonds | Affinity kcal mol−1 | ||
|---|---|---|---|---|---|---|---|---|---|
| Residue (H-Bond) | Length | Residue (Bond Type) | Length | ||||||
| 1 | KPC-2 carbapenemase of K. pneumoniae (PDB: ID 2OV5) | 10 | Glu166, (H-bond) Asn132, (H-bond) Thr237, (H-bond) Glu276, (H-bond) | 2.39 2.96 2.00 3.05 | Thr215, (pi–lone pair) Trp105, (pi–sigma) His219, (pi–cation) Glu276, (pi–cation) | 2.86 3.44 3.00 4.86 | 4 | 8 | −8.00 |
| 2 | 11 | Ser130, (H-bond) Asn132, (H-bond) Thr237, (H-bond) Ser70, (H-bond) | 2.69 2.03 2.73 2.08 | His219, (pi–cation) His274, (pi–sigma) Thr216, (pi–sigma) His219, (pi–cation) | 3.43 5.45 3.70 3.25 | 4 | 8 | −8.40 | |
| 12 | Asn132, (H-bond) | 2.96 | Trp105, (pi–sigma) Trp105, (alkyl) Trp105, (alkyl) Arg220, (alkyl) Glu276, (pi–cation) Glu276, (pi–cation) Glu166, (C-H bond) | 3.74 5.08 4.46 4.03 4.73 2.42 3.76 | 1 | 8 | −7.90 | ||
| 13 | Leu167, (H-bond) | 2.88 | Trp105, (pi–pi T-shaped) Trp105, (pi–pi T-shaped) Trp105, (alkyl) Trp105, (alkyl) Asn132, (C-H bond) | 5.35 3.95 4.15 4.90 3.07 | 1 | 8 | −7.80 | ||
| 14 | Thr216, (H-bond) | 6.11 | Trp105, (pi–pi T-shaped) Trp105, (pi–pi T-shaped) Leu167, (alkyl) His219, (pi–cation) Thr235, (pi–lone pair) | 4.91 4.87 5.06 3.66 2.91 | 1 | 8 | −8.10 | ||
| 6 | cefotaxime | Ser130, (H-bond) Ser70, (H-bond) Asn132, (H-bond) Lys73, (H-bond) Thr237, (H-bond) Thr235, (H-bond) Thr215, (H-bond) Ser70, (H-bond) | 2.12 2.63 2.48 2.90 2.58 2.10 2.48 2.63 | Trp105, (pi–pi T-shaped) Trp105, (pi–sigma) Glu276, (pi–cation) Trp105, (pi–sulfur) Trp105, (pi–sulfur) His219, (C-H bond) | 5.70 3.79 4.50 3.79 3.70 3.44 | 8 | 14 | −8.40 | |
| Protein | Ligand | Hydrophilic Interactions | Hydrophobic Contacts | No. of H-Bonds | No. of Total Bonds | Affinity kcal mol−1 | |||
|---|---|---|---|---|---|---|---|---|---|
| Residue (H-Bond) | Length | Residue (Bond Type) | Length | ||||||
| 1 | sterol 14-alpha demethylase of C. albicans (PDB: ID 5TZ1) | 10 | Cys470, (H-bond) | 2.12 | Ile131, (pi–alkyl) Leu139, (pi–alkyl) Lys143, (pi–alkyl) Ile471, (pi–alkyl) Cys470, (pi–alkyl) Gly472, (pi–sigma) Leu300, (pi–sigma) Ile304, (pi–sigma) Phe463, (sulfur) | 4.69 5.44 4.11 5.34 4.43 3.71 3.93 5.49 | 1 | 10 | −10.20 |
| 2 | 11 | Tyr132, (H-bond) Phe463, (H-bond) Gly465, (H-bond) | 3.01 2.75 2.10 | Leu376, (pi–alkyl) Ala476, (pi–alkyl) Ile304, (pi–alkyl) Ile471, (pi–alkyl) Lys143, (pi–alkyl) Lys143, (pi–alkyl) Ile379 (pi–sigma) Ile304, (pi–sigma) Leu300 (pi–sigma) Arg469, (pi–pi T-shaped) His468, (pi–pi T-shaped) | 4.57 5.48 5.00 5.20 4.65 4.87 3.58 3.14 4.30 451 4.18 | 3 | 14 | −9.90 | |
| 3 | 12 | Cys470, (H-bond) Cys470, (H-bond) | 2.51 2.89 | Tyr132, (pi–alkyl) Ala114, (pi–alkyl) Lys143, (pi–alkyl) Ala146, (pi–alkyl) Cys470, (pi–alkyl) Ala476, (pi–sigma) Leu276, (pi–sigma) Leu150, (pi–sigma) Cys470, (pi–sulfur) | 5.36 3.83 5.12 4.71 6.30 3.35 3.97 5.24 5.69 | 2 | 12 | −9.00 | |
| 4 | 13 | Ser312, (H-bond) | 2.88 | Phe463, (pi–alkyl) Pro375, (pi–alkyl) Leu480, (pi–alkyl) Ala476, (pi–alkyl) Lys143, (pi–alkyl) Ile131, (pi–alkyl) Ile471 (pi–alkyl) Ile304, (pi–alkyl) Leu204 (pi–alkyl) Leu300, (pi–sigma) Ala476, (pi–sigma) Arg469, (pi–pi T-shaped) Thr311 (pi–pi T-shaped) Thr315, (carbon–H bond) | 4.81 5.22 4.96 3.94 4.52 4.43 5.32 4.83 5.31 3.65 3.45 4.76 4.00 2.33 | 1 | 15 | −8.80 | |
| 5 | 14 | Pro462, (H-bond) | 3.01 | Phe475, (pi–alkyl) Ala146, (pi–alkyl) Ala149, (pi–alkyl) Ile471, (pi–alkyl) Ala476, (pi–sigma) Leu150, (pi–sigma) Leu276, (pi–sigma) Ile304, (pi–sigma) Arg469, (pi–pi T-shaped) Phe105, (pi–sulfur) Ile471, (carbon–H bond) | 4.97 4.51 4.59 4.58 2.88 3.32 3.66 3.82 3.91 5.61 3.02 | 1 | 12 | −8.80 | |
| 5 | nystatin | Cys470, (H-bond) Thr311, (H-bond) Pro462, (H-bond) | 1.49 2.66 3.01 | Cys470, (pi–alkyl) Met374, (carbon–H bond) Phe463, (carbon–H bond) Leu280, (pi–alkyl) Leu301, (pi–alkyl) | 4.70 3.20 2.64 3.92 5.12 | 3 | 8 | −7.20 | |
| No. | Protein | Compounds | Hydrophilic Interactions | Hydrophobic Contacts | No. of H-Bonds | No. of Total Bonds | Affinity kcal mol−1 | ||
|---|---|---|---|---|---|---|---|---|---|
| Residue | Length | Residue (Bond Type) | Length | ||||||
| 1 | fdc1of A. niger (PDB: ID 5TZ1) | 10 | Ile171, (H-bond) Ile171, (H-bond) Met283, (H-bond) Cys316, (H-bond) Gly281, (H-bond) | 2.91 1.59 2.21 2.17 2.60 | Phe437, (pi–alkyl) Pro226, (pi–alkyl) Ile327, (pi–alkyl) Thr395, (pi–sigma) Lys391, (pi–cation) Ser170, (pi–cation) Ser224, (pi–cation) Ile171, (pi–sulfur) | 5.49 4.14 5.36 3.47 4.57 4.66 4.76 3.30 | 5 | 13 | −1170 |
| 2 | 11 | Ile171, (H-bond) Ile171, (H-bond) | 3.06 1.68 | Phe437, (pi–alkyl) Ile327, (pi–alkyl) Pro226, (pi–alkyl) Arg173, (pi–alkyl) Ile327, (pi–sigma) Lys391, (pi–cation) Ser170, (pi–cation) Met283, (pi–sulfur) Ile171, (pi–sulfur) | 4.92 5.21 4.41 4.93 3.61 4.52 4.80 5.79 3.24 | 2 | 12 | −10.50 | |
| 3 | 12 | Ile171, (H-bond) Ile171, (H-bond) | 3.06 1.68 | Phe437, (pi–alkyl) Ile327, (pi–alkyl) Pro226, (pi–alkyl) Arg173, (pi–alkyl) Arg439, (pi–alkyl) Ile327, (pi–sigma) Lys391, (pi–cation) Ser170, (pi–cation) Met283, (pi–sulfur) Ser170, (pi–cation) Ile171, (pi–sulfur) | 4.98 3.71 4.34 4.94 5.07 5.33 4.53 4.83 4.71 5.81 3.25 | 2 | 13 | −10.10 | |
| 4 | 13 | Ile171, (H-bond) | 2.70 | Phe437, (pi–alkyl) Leu185, (pi–alkyl) Pro226, (pi–alkyl) Arg173, (pi–alkyl) Cys316, (pi–alkyl) Thr395, (pi–sigma) Ser224, (pi–cation) Phe280, (pi–sulfur) | 5.41 7.79 3.82 4.15 5.20 3.63 4.78 4.21 | 1 | 10 | −11.60 | |
| 5 | 14 | Thr153, (H-bond) Ile171, (H-bond) | 2.58 2.08 | Pro226, (pi–alkyl) Phe437, (pi–alkyl) Ile396, (pi–alkyl) Tyr150, (pi–alkyl) Phe280, (pi–alkyl Met283, (pi–alkyl) Leu185, (pi–alkyl Ile171, (pi–sulfur) Ile171, (pi–sigma) Phe280, (amid–pi stack) | 5.09 5.31 5.47 5.94 4.10 4.86 5.29 2.79 3.70 5.33 | 2 | 12 | −11.70 | |
| 6 | nystatin | Arg173, (H-bond) Cys316, (H-bond) Thr153, (H-bond) | 2.11 2.49 2.09 | Ile171, (pi–alkyl) Ala331, (carbon–H bond) | 3.24 3.43 | 3 | 5 | −8.58 | |
| Protein | Ligand | Hydrophilic Interactions | Hydrophobic Contacts | No. of H-Bonds | No. of Total Bonds | Affinity kcal mol−1 | |||
|---|---|---|---|---|---|---|---|---|---|
| Residue (H-Bond) | Length | Residue (Bond Type) | Length | ||||||
| 1 | AaTPS of Alternaria alternata (PDB: ID 6LCD) | 10 | Glu137, (H-bond) | 2.75 | Ile173, (pi–alkyl) Ile172, (pi–alkyl) Ala269, (pi–alkyl) Ile328, (pi–alkyl) Asp176, (pi–cation) Asp267, (pi–cation) Arg264, (pi–cation) Glu137, (pi–cation) Tyr326, (amid–pi stack) Phe146, (pi–sigma) | 3.85 4.94 4.98 5.50 3.77 3.23 4.42 3.33 5.93 3.96 | 1 | 14 | −10.20 |
| 2 | 11 | Asp176, (H-bond) Asp267, (H-bond) Asp267, (H-bond) Val268, (H-bond) Asn307, (H-bond) | 1.87 2.11 1.66 5.34 3.04 | Phe149, (pi–alkyl) Ile133, (pi–alkyl) Ile328, (pi–alkyl) Phe149, (pi–alkyl) Leu273, (pi–alkyl) Phe146, (pi–alkyl) Tyr326, (amid–pi stack) Arg124, (pi–cation) Phe146, (pi–sulfur) | 4.62 5.45 5.19 4.62 5.34 4.12 3.98 3.58 5.91 | 5 | 15 | −9.90 | |
| 3 | 12 | Asn392, (H-bond) | 2.67 | Val303, (pi–alkyl) Ile328, (pi–alkyl) Leu273, (pi–alkyl) Ile172, (pi–alkyl) Ala269, (pi–alkyl) Asp176, (pi–cation) Phe149, (pi–sigma) Tyr326, (amid–pi stack) Asp267, (pi–cation) | 4.64 5.09 5.05 3.85 3.55 3.31 3.95 4.61 4.82 | 1 | 10 | −9.00 | |
| 4 | 13 | - | - | Ile328, (pi–alkyl) Val268, (pi–alkyl) His136, (pi–alkyl) His136, (pi–cation) Asp176, (pi–cation) Asp267, (pi–cation) Tyr326, (amid–pi stack) | 5.12 5.12 5.27 4.71 4.85 3.87 4.90 | 0 | 6 | −8.80 | |
| 5 | 14 | Glu137, (H-bond) Asp176, (H-bond) Asp176, (H-bond) Tyr326, (H-bond) Tyr326, (H-bond) | 2.38 2.19 2.46 2.18 1.66 | Val268, (pi–alkyl) Lys314, (pi–alkyl) Ile328, (pi–alkyl) Tyr326, (amid–pi stack) | 5.47 4.62 4.95 4.32 | 5 | 10 | −7.20 | |
| 6 | nystatin | Ile266, (H-bond) Val268, (H-bond) | 2.27 2.69 | His136, (pi–alkyl) His136, (pi–alkyl) Lys314, (C-H bonds) | 4.95 4.21 2.31 | −7.00 | |||
Disclaimer/Publisher’s Note: The statements, opinions and data contained in all publications are solely those of the individual author(s) and contributor(s) and not of MDPI and/or the editor(s). MDPI and/or the editor(s) disclaim responsibility for any injury to people or property resulting from any ideas, methods, instructions or products referred to in the content. |
© 2024 by the authors. Licensee MDPI, Basel, Switzerland. This article is an open access article distributed under the terms and conditions of the Creative Commons Attribution (CC BY) license (https://creativecommons.org/licenses/by/4.0/).
Share and Cite
Abu-Hashem, A.A.; Al-Hussain, S.A. Design, Synthesis, Antimicrobial Activity, and Molecular Docking of Novel Thiazoles, Pyrazoles, 1,3-Thiazepinones, and 1,2,4-Triazolopyrimidines Derived from Quinoline-Pyrido[2,3-d] Pyrimidinones. Pharmaceuticals 2024, 17, 1632. https://doi.org/10.3390/ph17121632
Abu-Hashem AA, Al-Hussain SA. Design, Synthesis, Antimicrobial Activity, and Molecular Docking of Novel Thiazoles, Pyrazoles, 1,3-Thiazepinones, and 1,2,4-Triazolopyrimidines Derived from Quinoline-Pyrido[2,3-d] Pyrimidinones. Pharmaceuticals. 2024; 17(12):1632. https://doi.org/10.3390/ph17121632
Chicago/Turabian StyleAbu-Hashem, Ameen Ali, and Sami A. Al-Hussain. 2024. "Design, Synthesis, Antimicrobial Activity, and Molecular Docking of Novel Thiazoles, Pyrazoles, 1,3-Thiazepinones, and 1,2,4-Triazolopyrimidines Derived from Quinoline-Pyrido[2,3-d] Pyrimidinones" Pharmaceuticals 17, no. 12: 1632. https://doi.org/10.3390/ph17121632
APA StyleAbu-Hashem, A. A., & Al-Hussain, S. A. (2024). Design, Synthesis, Antimicrobial Activity, and Molecular Docking of Novel Thiazoles, Pyrazoles, 1,3-Thiazepinones, and 1,2,4-Triazolopyrimidines Derived from Quinoline-Pyrido[2,3-d] Pyrimidinones. Pharmaceuticals, 17(12), 1632. https://doi.org/10.3390/ph17121632

