Study of Interactions Between Gadolinium-Based Contrast Agents and Collagen by Taylor Dispersion Analysis and Frontal Analysis Continuous Capillary Electrophoresis
Abstract
1. Introduction
2. Results and Discussion
2.1. Workflow Analysis
2.2. Presentation of Collagen and GBCA Sample
2.2.1. Preparation and Characterization of Collagen
Laser Diffraction Granulometry
Size of Collagen by Taylor Dispersion Analysis
2.2.2. Characteristics of GBCA and Collagen Detections in UV and Fluorescence
2.3. Interaction Between Collagen and GBCA in 10 mM Tris pH 7.4
2.3.1. GBCA Interaction with Ground Collagen by TDA After Centrifugation
2.3.2. On the Use of Centrifugal Filter for the Study of GBCA/Collagen Interactions
2.3.3. Study of Interaction of GBCA and Supernatant Collagen Having Similar UV Responses by TDA
2.4. Interaction Between Collagen and GBCA in 150 mM Tris pH 7.4
Study of GBCA/Collagen Interactions Using Frontal Analysis Continuous Capillary Electrophoresis (FACCE)
3. Materials and Methods
3.1. Materials
3.2. Laser Diffraction Granulometry
3.3. Preparation of Supernatant Collagen
3.4. Interaction Study of GBCA with Collagen
3.5. Taylor Dispersion Analysis (TDA)
3.6. Frontal Analysis Continuous Capillary Electrophoresis (FACCE)
4. Conclusions
Supplementary Materials
Author Contributions
Funding
Institutional Review Board Statement
Informed Consent Statement
Data Availability Statement
Acknowledgments
Conflicts of Interest
References
- Dumas, S.; Jacques, V.; Sun, W.-C.; Troughton, J.S.; Welch, J.T.; Chasse, J.M.; Schmitt-Willich, H.; Caravan, P. High relaxivity Magnetic Resonance Imaging Contrast Agents part 1. Investig. Radiol. 2010, 45, 600–612. [Google Scholar] [CrossRef] [PubMed]
- Lacampagne, A.; Gannier, F.; Argibay, J.; Garnier, D.; Guennec, J.-Y.L. The stretch-activated ion channel blocker gadolinium also blocks L-type calcium channels in isolated ventricular myocytes of the guinea-pig. Biochim. Biophys. Acta Biomembr. 1994, 1191, 205–208. [Google Scholar] [CrossRef] [PubMed]
- Lauffer, R.B. Paramagnetic metal complexes as water proton relaxation agents for NMR imaging: Theory and design. Chem. Rev. 1987, 87, 901–927. [Google Scholar] [CrossRef]
- Port, M.; Idée, J.-M.; Medina, C.; Robic, C.; Sabatou, M.; Corot, C. Efficiency, thermodynamic and kinetic stability of marketed gadolinium chelates and their possible clinical consequences: A critical review. BioMetals 2008, 21, 469–490. [Google Scholar] [CrossRef] [PubMed]
- Caroline, R.; Sarah, C.; De Marie-Christine, G.; Jean-Marc, I.; Marc, P. The role of phosphate on Omniscan® dechelation: An in vitro relaxivity study at pH 7. BioMetals 2011, 24, 759–768. [Google Scholar] [CrossRef] [PubMed]
- Clough, T.J.; Jiang, L.; Wong, K.-L.; Long, N.J. Ligand design strategies to increase stability of gadolinium-based magnetic resonance imaging contrast agents. Nat. Commun. 2019, 10, 1420. [Google Scholar] [CrossRef]
- Robic, C.; Port, M.; Rousseaux, O.; Louguet, S.; Fretellier, N.; Catoen, S.; Factor, C.; Le Greneur, S.; Medina, C.; Bourrinet, P.; et al. Physicochemical and Pharmacokinetic Profiles of Gadopiclenol: A New Macrocyclic Gadolinium Chelate With High T1 Relaxivity. Investig. Radiol. 2019, 54, 475–484. [Google Scholar] [CrossRef]
- Le Mignon, M.M.; Chambon, C.; Warrington, S.; Davies, R.; Bonnemain, B. Gd-DOTA: Pharmacokinetics and Tolerability After Intravenous Injection into Healthy Volunteers. Investig. Radiol. 1990, 25, 933–937. [Google Scholar] [CrossRef]
- Staks, T.; Schuhmann-Giampieri, G.; Frenzel, T.; Weinmann, H.-J.; Lange, L.; Platzek, J. Pharmacokinetics, Dose Proportionality, and Tolerability of Gadobutrol after Single Intravenous Injection in Healthy Volunteers. Investig. Radiol. 1994, 29, 709–715. [Google Scholar] [CrossRef]
- Hao, J.; Bourrinet, P.; Desché, P. Assessment of pharmacokinetic, pharmacodynamic profile, and tolerance of gadopiclenol, a new high relaxivity GBCA, in healthy subjects and patients with brain lesions (Phase I/IIA study). Investig. Radiol. 2019, 54, 396–402. [Google Scholar] [CrossRef]
- Bageac, D.; DeBevits, J.J.; Munbodh, R.; Kaplan, J.; Wu, R.; DiCamillo, P.A.; Hu, C.; Wang, Y.; Karimeddini, D.; Naismith, R.T.; et al. MRI demonstration of gadolinium deposition in bone after monthly triple-dose gadopentetate dimeglumine and correlation with frequency of hypophosphatemia. Clin. Imaging 2021, 70, 136–141. [Google Scholar] [CrossRef] [PubMed]
- Fur, M.L.; Moon, B.F.; Zhou, I.Y.; Zygmont, S.; Boice, A.; Rotile, N.J.; Ay, I.; Pantazopoulos, P.; Feldman, A.S.; Rosales, I.A.; et al. Gadolinium-based contrast agent biodistribution and speciation in rats. Radiology 2023, 309, e230984. [Google Scholar] [CrossRef] [PubMed]
- Henrotte, V.; Laurent, S.; Gabelica, V.; Elst, L.V.; Depauw, E.; Muller, R.N. Investigation of non-covalent interactions between paramagnetic complexes and human serum albumin by electrospray mass spectrometry. Rapid Commun. Mass Spectrom. 2004, 18, 1919–1924. [Google Scholar] [CrossRef] [PubMed]
- Henrotte, V.; Elst, L.V.; Laurent, S.; Muller, R.N. Comprehensive investigation of the non-covalent binding of MRI contrast agents with human serum albumin. J. Biol. Inorg. Chem. 2007, 12, 929–937. [Google Scholar] [CrossRef] [PubMed]
- Girard, É.; Stelter, M.; Anelli, P.L.; Vicat, J.; Kahn, R. A new class of gadolinium complexes employed to obtain high-phasing-power heavy-atom derivatives: Results from SAD experiments with hen egg-white lysozyme and urate oxidase from Aspergillus flavus. Acta Crystallogr. D 2002, 59, 118–126. [Google Scholar] [CrossRef]
- Girard, É.; Chantalat, L.; Vicat, J.; Kahn, R. Gd-HPDO3A, a complex to obtain high-phasing-power heavy-atom derivatives for SAD and MAD experiments: Results with tetragonal hen egg-white lysozyme. Acta Crystallogr. D 2001, 58, 1–9. [Google Scholar] [CrossRef]
- Wang, Y.; Spiller, M.; Caravan, P. Evidence for weak protein binding of commercial extracellular gadolinium contrast agents. Magn. Reson. Med. 2010, 63, 609–616. [Google Scholar] [CrossRef]
- Guidolin, N.; Travagin, F.; Giovenzana, G.B.; Vágner, A.; Lotti, S.; Chianale, F.; Brücher, E.; Maisano, F.; Kirchin, M.A.; Tedoldi, F.; et al. Interaction of macrocyclic gadolinium-based MR contrast agents with Type I collagen. Equilibrium and kinetic studies. Dalton Trans. 2020, 49, 14863–14870. [Google Scholar] [CrossRef]
- Versolatto, S.; Boccalon, M.; Guidolin, N.; Travagin, F.; Alessio, E.; Aime, S.; Balducci, G.; Giovenzana, G.B.; Baranyai, Z. [GD(HB-DO3A)]: Equilibrium, dissociation kinetic and structural differences in a simple homolog of [GD(HP-DO3A)] (Prohance®). Chem. Eur. J. 2024, 30, e202400344. [Google Scholar] [CrossRef]
- Smejkal, G.B.; Fitzgerald, C. Revised estimate of total collagen in the human body. J. Biomed. Res. Environ. Sci. 2017, 3, 001–002. [Google Scholar]
- Ibhagui, O.Y.; Li, D.; Han, H.; Peng, G.; Meister, M.L.; Gui, Z.; Qiao, J.; Salarian, M.; Dong, B.; Yuan, Y.; et al. Early Detection and Staging of Lung Fibrosis Enabled by Collagen-Targeted MRI Protein Contrast Agent. Chem. Biomed. Imaging 2023, 1, 268–285. [Google Scholar] [CrossRef] [PubMed]
- Chamieh, J.; Leclercq, L.; Martin, M.; Slaoui, S.; Jensen, H.; Østergaard, J.; Cottet, H. Limits in Size of Taylor Dispersion Analysis: Representation of the different hydrodynamic regimes and application to the Size-Characterization of Cubosomes. Anal. Chem. 2017, 89, 13487–13493. [Google Scholar] [CrossRef] [PubMed]
- Belongia, B.; Baygents, J. Measurements on the diffusion coefficient of colloidal particles by Taylor–Aris Dispersion. J. Colloid Interface Sci. 1997, 195, 19–31. [Google Scholar] [CrossRef] [PubMed]
- Taylor, G.I. Dispersion of soluble matter in solvent flowing slowly through a tube. Proc. R. Soc. Lond. 1953, 219, 186–203. [Google Scholar]
- Høgstedt, U.B.; Schwach, G.; Van De Weert, M.; Østergaard, J. Taylor Dispersion Analysis as a promising tool for assessment of peptide-peptide interactions. Eur. J. Pharm. Sci. 2016, 93, 21–28. [Google Scholar] [CrossRef]
- Malburet, C.; Leclercq, L.; Cotte, J.-F.; Thiebaud, J.; Marco, S.; Nicolaï, M.-C.; Cottet, H. Antigen-Adjuvant Interactions in Vaccines by Taylor Dispersion Analysis: Size characterization and binding parameters. Anal. Chem. 2021, 93, 6508–6515. [Google Scholar] [CrossRef]
- Leclercq, L.; Reinhard, S.; Chamieh, J.; Döblinger, M.; Wagner, E.; Cottet, H. Fast characterization of polyplexes by Taylor Dispersion Analysis. Macromolecules 2015, 48, 7216–7221. [Google Scholar] [CrossRef]
- Jensen, H.; Østergaard, J. Flow induced dispersion analysis quantifies noncovalent interactions in nanoliter samples. J. Am. Chem. Soc. 2010, 132, 4070–4071. [Google Scholar] [CrossRef]
- Lounis, F.M.; Chamieh, J.; Leclercq, L.; Gonzalez, P.; Rossi, J.-C.; Cottet, H. Effect of Dendrigraft Generation on the Interaction between Anionic Polyelectrolytes and Dendrigraft Poly(l-Lysine). Polymers 2018, 10, 45. [Google Scholar] [CrossRef]
- Lounis, F.M.; Chamieh, J.; Leclercq, L.; Gonzalez, P.; Cottet, H. Modelling and predicting the interactions between oppositely and variously charged polyelectrolytes by frontal analysis continuous capillary electrophoresis. J. Soft Matter 2016, 12, 9728–9737. [Google Scholar] [CrossRef]
- Malburet, C.; Leclercq, L.; Cotte, J.-F.; Thiebaud, J.; Cottet, H. Study of Interactions between Antigens and Polymeric Adjuvants in Vaccines by Frontal Analysis Continuous Capillary Electrophoresis. Biomacromolecules 2020, 21, 3364–3373. [Google Scholar] [CrossRef] [PubMed]
- Sisavath, N.; Got, P.; Charrière, G.; Destoumieux-Garzón, D.; Cottet, H. Taking Advantage of Electric Field Induced Bacterial Aggregation for the Study of Interactions between Bacteria and Macromolecules by Capillary Electrophoresis. Anal. Chem. 2015, 87, 6761–6768. [Google Scholar] [CrossRef] [PubMed]
- Sisavath, N.; Saux, T.L.; Leclercq, L.; Cottet, H. Effect of Dendrimer Generation on the Interactions between Human Serum Albumin and Dendrigraft Polylysines. Langmuir 2014, 30, 4450–4457. [Google Scholar] [CrossRef] [PubMed]
- Cottet, H.; Biron, J.-P.; Martin, M. Taylor Dispersion Analysis of mixtures. Anal. Chem. 2007, 79, 9066–9073. [Google Scholar] [CrossRef] [PubMed]
- Pachence, J.M.; Bohrer, M.P.; Kohn, J. Biodegradable polymers. In Principles of Tissue Engineering, 3rd ed.; Elsevier: Amsterdam, The Netherlands, 2007; pp. 323–339. [Google Scholar]
- Tirado, M.M.; De La Torre, J.G. Translational friction coefficients of rigid, symmetric top macromolecules. Application to circular cylinders. J. Chem. Phys. 1979, 71, 2581–2587. [Google Scholar] [CrossRef]
- Deschamps, J.; Dutremez, S.G.; Boury, B.; Cottet, H. Size-Based Characterization of an ionic polydiacetylene by Taylor Dispersion Analysis and Capillary Electrophoresis. Macromolecules 2009, 42, 2679–2685. [Google Scholar] [CrossRef]
- Pellegatti, L.; Zhang, J.; Drahos, B.; Villette, S.; Suzenet, F.; Guillaumet, G.; Petoud, S.; Tóth, É. Pyridine-based lanthanide complexes: Towards bimodal agents operating as near infrared luminescent and MRI reporters. Chem. Commun. 2008, 48, 6591. [Google Scholar] [CrossRef]
- Xue, F.; Ma, Y.; Fu, L.; Hao, R.; Shao, G.; Tang, M.; Zhang, J.; Wang, Y. A europium complex with enhanced long-wavelength sensitized luminescent properties. Phys. Chem. Chem. Phys. 2010, 12, 3195. [Google Scholar] [CrossRef]
- Somnin, C.; Leclercq, L.; Chamieh, J.; Menedeu, M.L.; Medina, C.; Rousseaux, O.; Tripier, R.; Iglesias, C.P.; Cottet, H. Taylor dispersion analysis for measurement of diffusivity and size of gadolinium-based contrast agents. Eur. J. Pharm. Sci. 2024, 200, 106831. [Google Scholar] [CrossRef]
- Lounis, F.; Chamieh, J.; Leclercq, L.; Gonzalez, P.; Cottet, H. The Effect of Molar Mass and Charge Density on the Formation of Complexes between Oppositely Charged Polyelectrolytes. Polymers 2017, 9, 50. [Google Scholar] [CrossRef]







| Sample | Charge at pH 7.4 | UV (nm) | LEDIF Emission (nm) λex 275 nm | |
|---|---|---|---|---|
| Gd-DTPA-BMA (Omniscan®) | neutral | 190–218 | – | 307–320 |
| Gd-BOPTA (Multihance®) | negative | 190–220 | – | – |
| Gd-HP-DO3A (Prohance®) | neutral | 190–208 | – | 307–320 |
| Gd-BT-DO3A (Gadovist®) | neutral | 190–208 | – | 307–320 |
| Gd-DOTA (Dotarem®) | negative | 190–208 | – | 307–320 |
| Gd-PCTA D2 (Elucirem®) | neutral | 190–225 | 250–280 | 300–400 |
| Eu-PCTA D2 | neutral | 190–230 | 250–280 | 595–620 |
| Supernatant collagen | neutral | 190–220 | – | 300–400 |
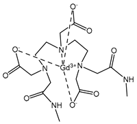
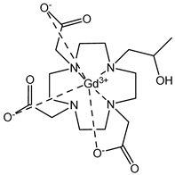
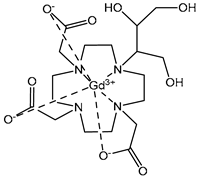
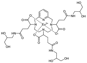
| Neutral Complexes (at pH 7.4) | Negatively Charged Complexes (at pH 7.4) |
|---|---|
Gd-DTPA-BMA (Gadodiamide)![]() | Gd-BOPTA (Gadobenate)![]() |
Gd-HP-DO3A (Gadoteridol)![]() | Gd-DOTA (Gadoterate)![]() |
Gd-BT-DO3A (Gadobutrol)![]() | |
Gd-PCTA D2 (Gadopiclenol)![]() | |
Eu-PCTA D2![]() |
Disclaimer/Publisher’s Note: The statements, opinions and data contained in all publications are solely those of the individual author(s) and contributor(s) and not of MDPI and/or the editor(s). MDPI and/or the editor(s) disclaim responsibility for any injury to people or property resulting from any ideas, methods, instructions or products referred to in the content. |
© 2024 by the authors. Licensee MDPI, Basel, Switzerland. This article is an open access article distributed under the terms and conditions of the Creative Commons Attribution (CC BY) license (https://creativecommons.org/licenses/by/4.0/).
Share and Cite
Somnin, C.; Chamieh, J.; Leclercq, L.; Medina, C.; Rousseaux, O.; Cottet, H. Study of Interactions Between Gadolinium-Based Contrast Agents and Collagen by Taylor Dispersion Analysis and Frontal Analysis Continuous Capillary Electrophoresis. Pharmaceuticals 2024, 17, 1633. https://doi.org/10.3390/ph17121633
Somnin C, Chamieh J, Leclercq L, Medina C, Rousseaux O, Cottet H. Study of Interactions Between Gadolinium-Based Contrast Agents and Collagen by Taylor Dispersion Analysis and Frontal Analysis Continuous Capillary Electrophoresis. Pharmaceuticals. 2024; 17(12):1633. https://doi.org/10.3390/ph17121633
Chicago/Turabian StyleSomnin, Chutintorn, Joseph Chamieh, Laurent Leclercq, Christelle Medina, Olivier Rousseaux, and Hervé Cottet. 2024. "Study of Interactions Between Gadolinium-Based Contrast Agents and Collagen by Taylor Dispersion Analysis and Frontal Analysis Continuous Capillary Electrophoresis" Pharmaceuticals 17, no. 12: 1633. https://doi.org/10.3390/ph17121633
APA StyleSomnin, C., Chamieh, J., Leclercq, L., Medina, C., Rousseaux, O., & Cottet, H. (2024). Study of Interactions Between Gadolinium-Based Contrast Agents and Collagen by Taylor Dispersion Analysis and Frontal Analysis Continuous Capillary Electrophoresis. Pharmaceuticals, 17(12), 1633. https://doi.org/10.3390/ph17121633








