Biopolymeric Inhalable Dry Powders for Pulmonary Drug Delivery
Abstract
1. Introduction
2. Dry Powder Inhalers
3. Physiological Barriers to a Successful Inhalable Dry Powder
4. Biopolymeric Microparticle Structure
4.1. Types of Biopolymeric Microparticles
4.2. Techniques for Preparing Biopolymeric Microparticles
5. Natural and Natural-Derived Biopolymers in DPI Formulations
5.1. Natural Biopolymer Overview
5.2. Protein-Based Biopolymers in DPIs
5.3. Polysaccharides and Polysaccharide Derivatives in DPIs
5.3.1. Chitosan
5.3.2. Alginate
5.3.3. Cyclodextrin
5.3.4. Dextran
5.3.5. Hyaluronic Acid
5.3.6. Cellulose Derivatives
5.3.7. Combination Systems
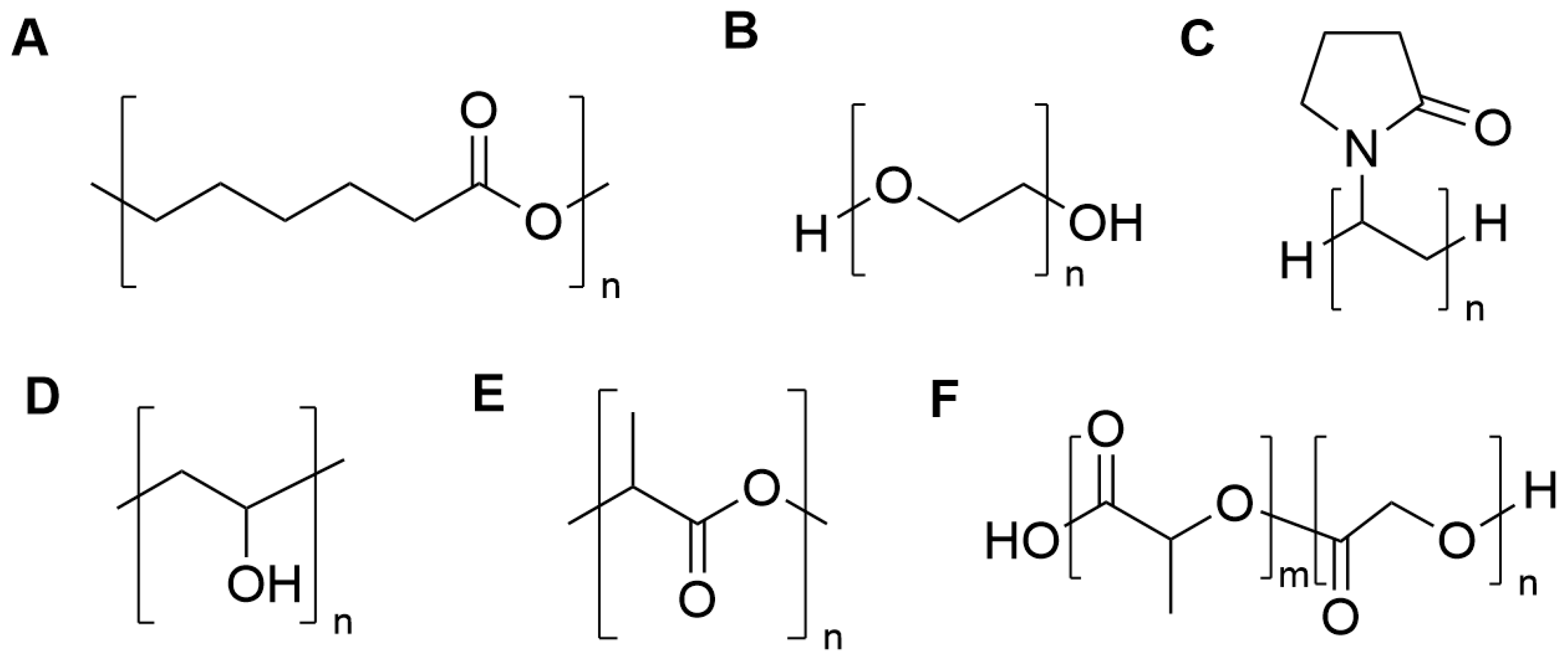
6. Synthetic Biopolymers in DPI Formulations
6.1. Synthetic Biopolymer Overview
6.2. Synthetic Biopolymers in DPIs
6.2.1. Polycaprolactone
6.2.2. Poly(ethylene glycol)
6.2.3. Poly(vinyl alcohol) and Poly(vinyl pyrrolidone)
6.2.4. Polylactic Acid
6.2.5. Poly(lactic-co-glycolic acid)
7. Considerations for Biopolymeric Systems in Inhalation Applications
7.1. Polymeric Attributes
7.2. Safety Considerations
7.3. Stability upon Storage
7.4. Manufacturing
8. Conclusions and Future Insight
Author Contributions
Funding
Institutional Review Board Statement
Data Availability Statement
Conflicts of Interest
References
- Hickey, A.J.; Thompson, D.C. Physiology of the Airways. In Pharmaceutical Inhalation Aerosol Technology; Hickey, A.J., Ed.; Marcel Dekker, Inc.: New York, NY, USA, 2004; pp. 1–29. [Google Scholar]
- Ananda Rao, A.; Johncy, S. Tennis Courts in the Human Body: A Review of the Misleading Metaphor in Medical Literature. Cureus 2022, 14, e21474. [Google Scholar] [CrossRef] [PubMed]
- Dekhuijzen, P.N.R.; Vincken, W.; Virchow, J.C.; Roche, N.; Agusti, A.; Lavorini, F.; van Aalderen, W.M.; Price, D. Prescription of inhalers in asthma and COPD: Towards a rational, rapid and effective approach. Respir. Med. 2013, 107, 1817–1821. [Google Scholar] [CrossRef] [PubMed]
- Maselli, D.J.; Keyt, H.; Restrepo, M.I. Inhaled Antibiotic Therapy in Chronic Respiratory Diseases. Int. J. Mol. Sci. 2017, 18, 1062. [Google Scholar] [CrossRef] [PubMed]
- Hickey, A.J.; Durham, P.G.; Dharmadhikari, A.; Nardell, E.A. Inhaled drug treatment for tuberculosis: Past progress and future prospects. J. Control. Release 2016, 240, 127–134. [Google Scholar] [CrossRef]
- Cheng, Y.S. Mechanisms of pharmaceutical aerosol deposition in the respiratory tract. AAPS PharmSciTech 2014, 15, 630–640. [Google Scholar] [CrossRef]
- Maloney, S.E.; Mecham, J.B.; Hickey, A.J. Performance Testing for Dry Powder Inhaler Products: Towards Clinical Relevance. KONA Powder Part. J. 2023, 40, 172–185. [Google Scholar] [CrossRef]
- Wu, X.; Li, X.; Mansour, H.M. Surface analytical techniques in solid-state particle characterization for predicting performance in dry powder inhalers. KONA Powder Part. J. 2010, 28, 3–18. [Google Scholar] [CrossRef]
- Sanders, M. Pulmonary drug delivery: A historical overview. In Controlled Pulmonary Drug Delivery; Smyth, H.D.C., Hickey, A.J., Eds.; CRS/Springer: New York, NY, USA, 2011; pp. 51–73. [Google Scholar]
- Hickey, A.J. Dry powder inhalers: An overview. J. Aerosol Med. Pulm. Drug Deliv. 2023, 36, 316–323. [Google Scholar] [CrossRef]
- Telko, M.J.; Hickey, A.J. Dry powder inhaler formulation. Respir. Care 2005, 50, 1209–1227. [Google Scholar]
- Hickey, A.J.; Xu, Z. Dry powder inhalers. In Particulate Products; Merkus, H.G., Meesters, G.M.H., Eds.; Springer: New York, NY, USA, 2014; pp. 295–322. [Google Scholar]
- Hickey, A.J. Emerging trends in inhaled drug delivery. Adv. Drug Del. Rev. 2020, 157, 63–70. [Google Scholar] [CrossRef]
- Hickey, A.J. Back to the future: Inhaled drug products. J. Pharm. Sci. 2013, 102, 1165–1172. [Google Scholar] [CrossRef] [PubMed]
- Patton, J.S.; Byron, P.R. Inhaling medicines: Delivering drugs to the body through the lungs. Nat. Rev. Drug Discov. 2007, 6, 67–74. [Google Scholar] [CrossRef] [PubMed]
- Hickey, A.J.; Mansour, H.M.; Telko, M.J.; Xu, Z.; Smyth, H.D.C.; Mulder, T.; McLean, R.; Langridge, J.; Papadopoulos, D. Physical characterization of component particles included in dry powder inhalers. I. strategy review and static characteristics. J. Pharm. Sci. 2007, 96, 1282–1301. [Google Scholar] [CrossRef] [PubMed]
- Hickey, A.J.; Mansour, H.M.; Telko, M.J.; Xu, Z.; Smyth, H.D.C.; Mulder, T.; McLean, R.; Langridge, J.; Papadopoulos, D. Physical characterization of component particles included in dry powder inhalers. II. Dynamic characteristics. J. Pharm. Sci. 2007, 96, 1302–1319. [Google Scholar] [CrossRef] [PubMed]
- Hou, S.; Wu, J.; Li, X.; Shu, H. Practical, regulatory and clinical considerations for development of inhalation drug products. Asian J. Pharm. Sci. 2015, 10, 490–500. [Google Scholar] [CrossRef]
- Edwards, D.A.; Hanes, J.; Caponetti, G.; Hrkach, J.; Ben-Jebria, A.; Eskew, M.L.; Mintzes, J.; Deaver, D.; Lotan, N.; Langer, R. Large porous particles for pulmonary drug delivery. Science 1997, 276, 1868–1871. [Google Scholar] [CrossRef]
- Vehring, R. Pharmaceutical particle engineering via spray drying. Pharm. Res. 2007, 25, 999–1022. [Google Scholar] [CrossRef]
- Geller, D.E.; Weers, J.G.; Heuerding, S. Development of an inhaled dry-powder formulation of tobramycin using Pulmosphere(TM) technology. J. Aerosol Med. Pulm. Drug Deliv. 2011, 24, 175–182. [Google Scholar] [CrossRef]
- Alhajj, N.; O’Reilly, N.J.; Cathcart, H. Leucine as an excipient in spray dried powder for inhalation. Drug Discov. Today 2021, 26, 2384–2396. [Google Scholar] [CrossRef]
- Buttini, F.; Quarta, E.; Allegrini, C.; Lavorini, F. Understanding the Importance of Capsules in Dry Powder Inhalers. Pharmaceutics 2021, 13, 1936. [Google Scholar] [CrossRef]
- Smith, I.J.; Parry-Billings, M. The inhalers of the future? A review of dry powder devices on the market today. Pulm. Pharmacol. Ther. 2003, 16, 79–95. [Google Scholar] [CrossRef] [PubMed]
- Zheng, Z.; Leung, S.S.; Gupta, R. Flow and Particle Modelling of Dry Powder Inhalers: Methodologies, Recent Development and Emerging Applications. Pharmaceutics 2021, 13, 189. [Google Scholar] [CrossRef] [PubMed]
- Dunbar, C.; Hickey, A.J.; Holzner, P. Fundamentals of dry powder inhaler technology. KONA Powder Part. J. 1998, 167, 7–44. [Google Scholar]
- Pharmacopeia, U.S. General Chapter <601>: Aerosols, Nasal Sprays, Metered Dose Inhalers, and Dry Powder Inhalers. Physical Tests and Determinations; United States Pharmacopeia: North Bethesda, MD, USA, 2012; pp. 232–252. [Google Scholar]
- U.S. Department of Health and Human Services; Food and Drug Administration; Center for Drug Evaluation and Research (CDER). Draft Guidance to Industry: Metered Dose Inhaler (MDI) and Dry Powder Inhaler (DPI) Products—Quality Considerations; U.S. Department of Health and Human Services: Washington, DC, USA; Food and Drug Administration: Silver Spring, MD, USA; Center for Drug Evaluation and Research (CDER): Beltsville, MD, USA, 2018.
- Hickey, A.J. Overcoming biological and technical challenges to high dose drug delivery to the lungs. Respir. Drug Deliv. 2024, 1, 130–136. [Google Scholar]
- Button, B.; Cai, L.-H.; Ehre, C.; Kesimer, M.; Hill, D.B.; Sheehan, J.K.; Boucher, R.C.; Rubinstein, M. A periciliary brush promotes the lung health by separating the mucus layer from airway epithelia. Science 2012, 337, 937–941. [Google Scholar] [CrossRef]
- Tang, Q. Structural and Rheological Properties of Airway Mucus & Counterion Condensation Around Charged Nanoparticles; The University of North Carolina at Chapel Hill: Chapel Hill, NC, USA, 2021. [Google Scholar]
- Hill, D.B.; Button, B.; Rubinstein, M.; Boucher, R.C. Physiology and pathophysiology of human airway mucus. Physiol. Rev. 2022, 102, 1757–1836. [Google Scholar] [CrossRef]
- Matsui, H.; Wagner, V.E.; Hill, D.B.; Schwab, U.E.; Rogers, T.D.; Button, B.; Taylor II, R.M.; Superfine, R.; Rubinstein, M.; Iglewski, B.H.; et al. A physical linkage between cystic fibrosis airway surface dehydration and Pseudomonas aeruginosa biofilms. Proc. Natl. Acad. Sci. USA 2006, 103, 18131–18136. [Google Scholar] [CrossRef]
- Rubinstein, M.; Colby, R.H. Polymer Physics; Oxford University Press: Oxford, UK, 2003. [Google Scholar]
- Lai, S.K.; Wang, Y.-Y.; Hanes, J. Mucus-penetrating nanoparticles for drug and gene delivery to mucosal tissues. Adv. Drug Del. Rev. 2009, 61, 158–171. [Google Scholar] [CrossRef]
- Ramsey, K.A.; Chen, A.C.H.; Radicioni, G.; Lourie, R.; Martin, M.; Broomfield, A.; Sheng, Y.H.; Hasnain, S.Z.; Radford-Smith, G.; Simms, L.A.; et al. Airway Mucus Hyperconcentration in Non-Cystic Fibrosis Bronchiectasis. Am. J. Respir. Crit. Care Med. 2020, 201, 661–670. [Google Scholar] [CrossRef]
- Fahy, J.V.; Dickey, B.F. Airway mucus function and dysfunction. N. Engl. J. Med. 2010, 363, 2233–2247. [Google Scholar] [CrossRef]
- Nguyen, L.P.; Omoluabi, O.; Parra, S.; Frieske, J.M.; Clement, C.; Ammar-Aouchiche, Z.; Ho, S.B.; Ehre, C.; Kesimer, M.; Knoll, B.J.; et al. Chronic exposure to beta-blockers attenuates inflammation and mucin content in a murine asthma model. Am. J. Respir. Cell Mol. Biol. 2008, 38, 256–262. [Google Scholar] [CrossRef] [PubMed]
- Hill, D.B.; Vasquez, P.A.; Mellnik, J.; McKinley, S.A.; Vose, A.; Mu, F.; Henderson, A.G.; Donaldson, S.H.; Alexis, N.E.; Boucher, R.C.; et al. A biophysical basis for mucus solids concentration as a candidate biomarker for airways disease. PLoS ONE 2014, 9, e97980. [Google Scholar] [CrossRef] [PubMed]
- Batson, B.D.; Zorn, B.T.; Radicioni, G.; Livengood, S.S.; Kumagai, T.; Dang, H.; Ceppe, A.; Clapp, P.W.; Tunney, M.; Elborn, J.S.; et al. Cystic Fibrosis Airway Mucus Hyperconcentration Produces a Vicious Cycle of Mucin, Pathogen, and Inflammatory Interactions that Promotes Disease Persistence. Am. J. Respir. Cell Mol. Biol. 2022, 67, 253–265. [Google Scholar] [CrossRef] [PubMed]
- Esther, C.R.; Muhlebach, M.S.; Ehre, C.; Hill, D.B.; Wolfgang, M.C.; Kesimer, M.; Ramsey, K.A.; Markovetz, M.R.; Garbarine, I.C.; Forest, M.G.; et al. Mucus accumulation in the lungs precedes structural changes and infection in children with cystic fibrosis. Sci. Transl. Med. 2019, 11, eaav3488. [Google Scholar] [CrossRef] [PubMed]
- Ehre, C.; Rushton, Z.L.; Wang, B.; Hothem, L.N.; Morrison, C.B.; Fontana, N.C.; Markovetz, M.R.; Delion, M.F.; Kato, T.; Villalon, D.; et al. Livraghi-Butrico, A.; Donaldson, S.H.; Boucher, R.C. An Improved Inhaled Mucolytic to Treat Airway Muco-obstructive Diseases. Am. J. Respir. Crit. Care Med. 2019, 199, 171–180. [Google Scholar] [CrossRef]
- Hill, D.B.; Long, R.F.; Kissner, W.J.; Atieh, E.; Garbarine, I.C.; Markovetz, M.R.; Fontana, N.C.; Christy, M.; Habibpour, M.; Tarran, R.; et al. Pathological mucus and impaired mucus clearance in cystic fibrosis patients result from increased concentration, not altered pH. Eur. Respir. J. 2018, 52, 1801297. [Google Scholar] [CrossRef]
- Hancock, L.A.; Hennessy, C.E.; Solomon, G.M.; Dobrinskikh, E.; Estrella, A.; Hara, N.; Hill, D.B.; Kissner, W.J.; Markovetz, M.R.; Grove Villalon, D.E.; et al. Muc5b overexpression causes mucociliary dysfunction and enhances lung fibrosis in mice. Nat. Commun. 2018, 9, 5363. [Google Scholar] [CrossRef]
- Zahm, J.M.; de Bentzmann, S.G.; Deneuville, E.; Perrot-Minnot, C.; Dabadie, A.; Pennaforte, F.; Roussey, M.; Shak, S.; Puchelle, E. Dose-dependent in vitro effect of recombinant human DNase on rheological and transport properties of cystic fibrosis respiratory mucus. Eur. Respir. J. 1995, 8, 381–386. [Google Scholar] [CrossRef]
- Shak, S.; Capon, D.J.; Hellmiss, R.; Marsters, S.A.; Baker, C.L. Recombinant human DNase I reduces the viscosity of cystic fibrosis sputum. Proc. Natl. Acad. Sci. USA 1990, 87, 9188–9192. [Google Scholar] [CrossRef]
- Ratjen, F. Cystic Fibrosis: The Role of the Small Airways. J. Aerosol Med. Pulm. Drug Deliv. 2012, 25, 261–264. [Google Scholar] [CrossRef]
- Barnes, P.J. Small airways in COPD. N. Engl. J. Med. 2004, 350, 2635–2636. [Google Scholar] [CrossRef] [PubMed]
- Farah, C.S.; King, G.G.; Brown, N.J.; Downie, S.R.; Kermode, J.A.; Hardaker, K.M.; Peters, M.J.; Berend, N.; Salome, C.M. The role of the small airways in the clinical expression of asthma in adults. J. Allergy Clin. Immunol. 2012, 129, 381–387.e1. [Google Scholar] [CrossRef] [PubMed]
- Boucher Richard, C. Muco-Obstructive Lung Diseases. N. Engl. J. Med. 2019, 380, 1941–1953. [Google Scholar] [CrossRef] [PubMed]
- Macklem, P.T. The physiology of small airways. Am. J. Respir. Crit. Care Med. 1998, 157, S181–S183. [Google Scholar] [CrossRef] [PubMed]
- Bustamante-Marin, X.M.; Ostrowski, L.E. Cilia and mucociliary clearance. Cold Spring Harb. Perspect. Biol. 2017, 9, a028241. [Google Scholar] [CrossRef]
- Byrne, A.J.; Mathie, S.A.; Gregory, L.G.; Lloyd, C.M. Pulmonary macrophages: Key players in the innate defense of the airways. Thorax 2015, 70, 1189–1196. [Google Scholar] [CrossRef]
- Labiris, N.R.; Dolovich, M.B. Pulmonary drug delivery. Part I: Physiological factors affecting therapeutic effectiveness of aerosolized medications. Br. J. Clin. Pharmacol. 2003, 56, 588–599. [Google Scholar] [CrossRef]
- Ma, J.; Rubin, B.K.; Voynow, J.A. Mucins, mucus, and goblet cells. Chest 2018, 154, 169–176. [Google Scholar] [CrossRef]
- Miranda, M.S.; Rodrigues, M.T.; Domingues, R.M.A.; Torrado, E.; Reis, R.L.; Pedrosa, J.; Gomes, M.E. Exploring inhalable polymeric dry powders for anti-tuberculosis drug delivery. Mater. Sci. Eng. C 2018, 93, 1090–1103. [Google Scholar] [CrossRef]
- Torge, A.; Grützmacher, P.; Mücklich, F.; Schneider, M. The influence of mannitol on morphology and disintegration of spray-dried nano-embedded microparticles. Eur. J. Pharm. Sci. 2017, 104, 171–179. [Google Scholar] [CrossRef]
- Koenneke, A.; Pourasghar, M.; Schneider, M. Chapter 6—Nano-structured microparticles for inhalation. In Delivery of Drugs; Shegokar, R., Ed.; Elsevier: Amsterdam, The Netherlands, 2020; pp. 119–160. [Google Scholar]
- Sung, J.C.; Pulliam, B.L.; Edwards, D.A. Nanoparticles for drug delivery to the lungs. Trends Biotechnol. 2007, 25, 563–570. [Google Scholar] [CrossRef] [PubMed]
- Peng, S.; Wang, W.; Zhang, R.; Wu, C.; Pan, X.; Huang, Z. Nano-Formulations for Pulmonary Delivery: Past, Present, and Future Perspectives. Pharmaceutics 2024, 16, 161. [Google Scholar] [CrossRef] [PubMed]
- Chen, D.; Liu, J.; Wu, J.; Suk, J.S. Enhancing nanoparticle penetration through airway mucus to improve drug delivery efficacy in the lung. Expert Opin. Drug Deliv. 2021, 18, 595–606. [Google Scholar] [CrossRef] [PubMed]
- Iqbal, M.; Zafar, N.; Fessi, H.; Elaissari, A. Double emulsion solvent evaporation techniques used for drug encapsulation. Int. J. Pharm. 2015, 496, 173–190. [Google Scholar] [CrossRef] [PubMed]
- Ishwarya, S.P.; Anandharamakrishnan, C.; Stapley, A.G.F. Spray-freeze-drying: A novel process for the drying of foods and bioproducts. Trends Food Sci. Technol. 2015, 41, 161–181. [Google Scholar] [CrossRef]
- Reighard, K.P.; Ehre, C.; Rushton, Z.L.; Ahonen, M.J.R.; Hill, D.B.; Schoenfisch, M.H. Role of Nitric Oxide-Releasing Chitosan Oligosaccharides on Mucus Viscoelasticity. ACS Biomater. Sci. Eng. 2017, 3, 1017–1026. [Google Scholar] [CrossRef]
- Reighard, K.P.; Hill, D.B.; Dixon, G.A.; Worley, B.V.; Schoenfisch, M.H. Disruption and eradication of P. aeruginosa biofilms using nitric oxide-releasing chitosan oligosaccharides. Biofouling 2015, 31, 775–787. [Google Scholar] [CrossRef]
- Maloney, S.E.; McGrath, K.V.; Ahonen, M.J.R.; Soliman, D.S.; Feura, E.S.; Hall, H.R.; Wallet, S.M.; Maile, R.; Schoenfisch, M.H. Nitric Oxide-Releasing Hyaluronic Acid as an Antibacterial Agent for Wound Therapy. Biomacromolecules 2021, 22, 867–879. [Google Scholar] [CrossRef]
- Maloney, S.E.; Broberg, C.A.; Grayton, Q.E.; Picciotti, S.L.; Hall, H.R.; Wallet, S.M.; Maile, R.; Schoenfisch, M.H. Role of Nitric Oxide-Releasing Glycosaminoglycans in Wound Healing. ACS Biomater. Sci. Eng. 2022, 8, 2537–2552. [Google Scholar] [CrossRef]
- Ahonen, M.J.R.; Hill, D.B.; Schoenfisch, M.H. Nitric Oxide-Releasing Alginates as Mucolytic Agents. ACS Biomater. Sci. Eng. 2019, 5, 3409–3418. [Google Scholar] [CrossRef]
- Menon, J.U.; Ravikumar, P.; Pise, A.; Gyawali, D.; Hsia, C.C.W.; Nguyen, K.T. Polymeric nanoparticles for pulmonary protein and DNA delivery. Acta Biomater. 2014, 10, 2643–2652. [Google Scholar] [CrossRef] [PubMed]
- Boylan, N.J.; Suk, J.S.; Lai, S.K.; Jelinek, R.; Boyle, M.P.; Cooper, M.J.; Hanes, J. Highly compacted DNA nanoparticles with low MW PEG coatings: In vitro, ex vivo and in vivo evaluation. J. Control. Release 2012, 157, 72–79. [Google Scholar] [CrossRef] [PubMed]
- Mastorakos, P.; da Silva, A.L.; Chisholm, J.; Song, E.; Choi, W.K.; Boyle, M.P.; Morales, M.M.; Hanes, J.; Suk, J.S. Highly compacted biodegradable DNA nanoparticles capable of overcoming the mucus barrier for inhaled lung gene therapy. Proc. Natl. Acad. Sci. USA 2015, 112, 8720–8725. [Google Scholar] [CrossRef] [PubMed]
- Jao, D.; Xue, Y.; Medina, J.; Hu, X. Protein-Based Drug-Delivery Materials. Materials 2017, 10, 517. [Google Scholar] [CrossRef] [PubMed]
- Foox, M.; Zilberman, M. Drug delivery from gelatin-based systems. Expert. Opin. Drug Deliv. 2015, 12, 1547–1563. [Google Scholar] [CrossRef]
- Behrend-Keim, B.; Castro-Muñoz, A.; Monrreal-Ortega, L.; Ávalos-León, B.; Campos-Estrada, C.; Smyth, H.D.C.; Bahamondez-Canas, T.F.; Moraga-Espinoza, D. The forgotten material: Highly dispersible and swellable gelatin-based microspheres for pulmonary drug delivery of cromolyn sodium and ipratropium bromide. Int. J. Pharm. 2023, 644, 123331. [Google Scholar] [CrossRef]
- Sham, J.O.H.; Zhang, Y.; Finlay, W.H.; Roa, W.H.; Löbenberg, R. Formulation and characterization of spray-dried powders containing nanoparticles for aerosol delivery to the lung. Int. J. Pharm. 2004, 269, 457–467. [Google Scholar] [CrossRef]
- Marante, T.; Viegas, C.; Duarte, I.; Macedo, A.S.; Fonte, P. An Overview on Spray-Drying of Protein-Loaded Polymeric Nanoparticles for Dry Powder Inhalation. Pharmaceutics 2020, 12, 1032. [Google Scholar] [CrossRef]
- Silva, A.C.; Costa, M.P.; Zacaron, T.M.; Ferreira, K.C.; Braz, W.R.; Fabri, R.L.; Frézard, F.J.; Pittella, F.; Tavares, G.D. The Role of Inhaled Chitosan-Based Nanoparticles in Lung Cancer Therapy. Pharmaceutics 2024, 16, 969. [Google Scholar] [CrossRef]
- Lee, C.; Choi, J.S.; Kim, I.; Oh, K.T.; Lee, E.S.; Park, E.-S.; Lee, K.C.; Youn, Y.S. Long-acting inhalable chitosan-coated poly(lactic-co-glycolic acid) nanoparticles containing hydrophobically modified exendin-4 for treating type 2 diabetes. Int. J. Nanomed. 2013, 8, 2975–2983. [Google Scholar]
- Corrigan, D.O.; Healy, A.M.; Corrigan, O.I. Preparation and release of salbutamol from chitosan and chitosan co-spray dried compacts and multiparticulates. Eur. J. Pharm. Biopharm. 2006, 62, 295–305. [Google Scholar] [CrossRef] [PubMed]
- Learoyd, T.P.; Burrows, J.L.; French, E.; Seville, P.C. Modified release of beclometasone dipropionate from chitosan-based spray-dried respirable powders. Powder Technol. 2008, 187, 231–238. [Google Scholar] [CrossRef]
- Learoyd, T.P.; Burrows, J.L.; French, E.; Seville, P.C. Chitosan-based spray-dried respirable powders for sustained delivery of terbutaline sulfate. Eur. J. Pharm. Biopharm. 2008, 68, 224–234. [Google Scholar] [CrossRef] [PubMed]
- Yang, X.-B.; Wang, X.-B.; Pan, W.-S.; Xi, R.-G.; Wang, Y.-N.; Liu, D.; Shi, Y.; Jiang, S. Optimization and Characterization of Dry Powder of Fanhuncaoin for Inhalation Based on Selection of Excipients. Chem. Pharm. Bull. 2011, 59, 929–937. [Google Scholar] [CrossRef]
- Ni, R.; Zhao, J.; Liu, Q.; Liang, Z.; Muenster, U.; Mao, S. Nanocrystals embedded in chitosan-based respirable swellable microparticles as dry powder for sustained pulmonary drug delivery. Eur. J. Pharm. Sci. 2017, 99, 137–146. [Google Scholar] [CrossRef]
- Jafarinejad, S.; Gilani, K.; Moazeni, E.; Ghazi-Khansari, M.; Najafabadi, A.R.; Mohajel, N. Development of chitosan-based nanoparticles for pulmonary delivery of itraconazole as dry powder formulation. Powder Technol. 2012, 222, 65–70. [Google Scholar] [CrossRef]
- Debnath, S.K.; Saisivam, S.; Debanth, M.; Omri, A. Development and evaluation of Chitosan nanoparticles based dry powder inhalation formulations of Prothionamide. PLoS ONE 2018, 13, e0190976. [Google Scholar] [CrossRef]
- Rawal, T.; Parmar, R.; Tyagi, R.K.; Butani, S. Rifampicin loaded chitosan nanoparticle dry powder presents an improved therapeutic approach for alveolar tuberculosis. Colloids Surf. B Biointerfaces 2017, 154, 321–330. [Google Scholar] [CrossRef]
- Arauzo, B.; Lobera, M.P.; Monzon, A.; Santamaria, J. Dry powder formulation for pulmonary infections: Ciprofloxacin loaded in chitosan sub-micron particles generated by electrospray. Carbohydr. Polym. 2021, 273, 118543. [Google Scholar] [CrossRef]
- Fischer, R.; Schwarz, C.; Weiser, R.; Mahenthiralingam, E.; Smerud, K.; Meland, N.; Flaten, H.; Rye, P.D. Evaluating the alginate oligosaccharide (OligoG) as a therapy for Burkholderia cepacia complex cystic fibrosis lung infection. J. Cyst. Fibros. 2022, 21, 821–829. [Google Scholar] [CrossRef]
- AlgiPharma Clinical Trials. Available online: https://algipharma.com/clinical-trials/ (accessed on 25 November 2024).
- Ahonen, M.J.R.; Dorrier, J.M.; Schoenfisch, M.H. Antibiofilm Efficacy of Nitric Oxide-Releasing Alginates against Cystic Fibrosis Bacterial Pathogens. ACS Infect. Dis. 2019, 5, 1327–1335. [Google Scholar] [CrossRef] [PubMed]
- Ceschan, N.E.; Bucalá, V.; Ramírez-Rigo, M.V. New alginic acid–atenolol microparticles for inhalatory drug targeting. Mater. Sci. Eng. C 2014, 41, 255–266. [Google Scholar] [CrossRef] [PubMed]
- Razavi Rohani, S.S.; Abnous, K.; Tafaghodi, M. Preparation and characterization of spray-dried powders intended for pulmonary delivery of Insulin with regard to the selection of excipients. Int. J. Pharm. 2014, 465, 464–478. [Google Scholar] [CrossRef]
- Arauzo, B.; González-Garcinuño, Á.; Tabernero, A.; Calzada-Funes, J.; Lobera, M.P.; del Valle, E.M.M.; Santamaria, J. Engineering Alginate-Based Dry Powder Microparticles to a Size Suitable for the Direct Pulmonary Delivery of Antibiotics. Pharmaceutics 2022, 14, 2763. [Google Scholar] [CrossRef]
- Duong, T.; López-Iglesias, C.; Bianchera, A.; Vivero-Lopez, M.; Ardao, I.; Bettini, R.; Alvarez-Lorenzo, C.; García-González, C.A. Green CO2 technology for the preparation of aerogel dry powder loaded with beclomethasone dipropionate. J. CO2 Util. 2024, 81, 102722. [Google Scholar] [CrossRef]
- Duong, T.; Vivero-Lopez, M.; Ardao, I.; Alvarez-Lorenzo, C.; Forgács, A.; Kalmár, J.; García-González, C.A. Alginate aerogels by spray gelation for enhanced pulmonary delivery and solubilization of beclomethasone dipropionate. Chem. Eng. J. 2024, 485, 149849. [Google Scholar] [CrossRef]
- Loftsson, T.; Jarho, P.; Másson, M.; Järvinen, T. Cyclodextrins in drug delivery. Expert Opin. Drug Deliv. 2005, 2, 335–351. [Google Scholar] [CrossRef]
- Vyas, A.; Saraf, S.; Saraf, S. Cyclodextrin based novel drug delivery systems. J. Incl. Phenom. Macrocycl. Chem. 2008, 62, 23–42. [Google Scholar] [CrossRef]
- Dufour, G.; Bigazzi, W.; Wong, N.; Boschini, F.; de Tullio, P.; Piel, G.; Cataldo, D.; Evrard, B. Interest of cyclodextrins in spray-dried microparticles formulation for sustained pulmonary delivery of budesonide. Int. J. Pharm. 2015, 495, 869–878. [Google Scholar] [CrossRef]
- Suzuki, É.Y.; Simon, A.; da Silva, A.L.; Amaro, M.I.; de Almeida, G.S.; Agra, L.C.; Cabral, L.M.; Rocco, P.R.M.; Healy, A.M.; de Sousa, V.P. Effects of a novel roflumilast and formoterol fumarate dry powder inhaler formulation in experimental allergic asthma. Int. J. Pharm. 2020, 588, 119771. [Google Scholar] [CrossRef]
- Bahrainian, S.; Rouini, M.; Gilani, K. Preparation and evaluation of vancomycin spray-dried powders for pulmonary delivery. Pharm. Dev. Technol. 2021, 26, 647–660. [Google Scholar] [CrossRef] [PubMed]
- Zhao, Z.; Huang, Z.; Zhang, X.; Huang, Y.; Cui, Y.; Ma, C.; Wang, G.; Freeman, T.; Lu, X.-y.; Pan, X.; et al. Low density, good flowability cyclodextrin-raffinose binary carrier for dry powder inhaler: Anti-hygroscopicity and aerosolization performance enhancement. Expert Opin. Drug Deliv. 2018, 15, 443–457. [Google Scholar] [CrossRef] [PubMed]
- Zhao, Z.; Zhang, X.; Cui, Y.; Huang, Y.; Huang, Z.; Wang, G.; Liang, R.; Pan, X.; Tao, L.; Wu, C. Hydroxypropyl-β-cyclodextrin as anti-hygroscopicity agent inamorphous lactose carriers for dry powder inhalers. Powder Technol. 2019, 358, 29–38. [Google Scholar] [CrossRef]
- Lo, J.C.K.; Pan, H.W.; Lam, J.K.W. Inhalable Protein Powder Prepared by Spray-Freeze-Drying Using Hydroxypropyl-β-Cyclodextrin as Excipient. Pharmaceutics 2021, 13, 615. [Google Scholar] [CrossRef]
- Vartiainen, V.; Bimbo, L.M.; Hirvonen, J.; Kauppinen, E.I.; Raula, J. Aerosolization, Drug Permeation and Cellular Interaction of Dry Powder Pulmonary Formulations of Corticosteroids with Hydroxypropyl-β-Cyclodextrin as a Solubilizer. Pharm. Res. 2017, 34, 25–35. [Google Scholar] [CrossRef]
- Mohtar, N.; Taylor, K.M.G.; Sheikh, K.; Somavarapu, S. Design and development of dry powder sulfobutylether-β-cyclodextrin complex for pulmonary delivery of fisetin. Eur. J. Pharm. Biopharm. 2017, 113, 1–10. [Google Scholar] [CrossRef]
- Bryan, R.; Feldman, M.; Jawetz, S.C.; Rajan, S.; DiMango, E.; Tang, H.B.; Scheffler, L.; Speert, D.P.; Prince, A. The Effects of Aerosolized Dextran in a Mouse Model of Pseudomonas aeruginosa Pulmonary Infection. J. Infect. Dis. 1999, 179, 1449–1458. [Google Scholar] [CrossRef]
- Feng, W.; Garrett, H.; Speert, D.P.; King, M. Improved clearability of cystic fibrosis sputum with dextran treatment in vitro. Am. J. Respir. Crit. Care Med. 1998, 157, 710–714. [Google Scholar] [CrossRef]
- Feng, W.; Nakamura, S.; Sudo, E.; Lee, M.M.; Shao, A.; King, M. Effects of Dextran on Tracheal Mucociliary Velocity in Dogs In Vivo. Pulm. Pharmacol. Ther. 1999, 12, 35–41. [Google Scholar] [CrossRef]
- Kadota, K.; Yanagawa, Y.; Tachikawa, T.; Deki, Y.; Uchiyama, H.; Shirakawa, Y.; Tozuka, Y. Development of porous particles using dextran as an excipient for enhanced deep lung delivery of rifampicin. Int. J. Pharm. 2019, 555, 280–290. [Google Scholar] [CrossRef]
- Manser, M.; Morgan, B.A.; Feng, X.; Rhem, R.G.; Dolovich, M.B.; Xing, Z.; Cranston, E.D.; Thompson, M.R. Dextran Mass Ratio Controls Particle Drying Dynamics in a Thermally Stable Dry Powder Vaccine for Pulmonary Delivery. Pharm. Res. 2022, 39, 2315–2328. [Google Scholar] [CrossRef] [PubMed]
- Shah, N.K.; Wang, Z.; Gupta, S.K.; Le Campion, A.; Meenach, S.A. Sustained release of a model water-soluble compound via dry powder aerosolizable acetalated dextran microparticles. Pharm. Dev. Technol. 2019, 24, 1133–1143. [Google Scholar] [CrossRef] [PubMed]
- Wang, Z.; Gupta, S.K.; Meenach, S.A. Development and physicochemical characterization of acetalated dextran aerosol particle systems for deep lung delivery. Int. J. Pharm. 2017, 525, 264–274. [Google Scholar] [CrossRef]
- Vadakkan, M.V.; Binil Raj, S.S.; Kartha, C.C.; Vinod Kumar, G.S. Cationic, amphiphilic dextran nanomicellar clusters as an excipient for dry powder inhaler formulation. Acta Biomater. 2015, 23, 172–188. [Google Scholar] [CrossRef]
- Waters, R.C.; Hochhaus, G. Characterization of a dextran-budesonide prodrug for inhalation therapy. Eur. J. Pharm. Sci. 2019, 129, 58–67. [Google Scholar] [CrossRef]
- Petrey, A.C.; de la Motte, C.A. Hyaluronan, a Crucial Regulator of Inflammation. Front. Immunol. 2014, 5, 101. [Google Scholar] [CrossRef]
- Galdi, F.; Pedone, C.; McGee, C.A.; George, M.; Rice, A.B.; Hussain, S.S.; Vijaykumar, K.; Boitet, E.R.; Tearney, G.J.; McGrath, J.A.; et al. Inhaled high molecular weight hyaluronan ameliorates respiratory failure in acute COPD exacerbation: A pilot study. Respir. Res. 2021, 22, 30. [Google Scholar] [CrossRef]
- Lamas, A.; Marshburn, J.; Stober, V.P.; Donaldson, S.H.; Garantziotis, S. Effects of inhaled high-molecular weight hyaluronan in inflammatory airway disease. Respir. Res. 2016, 17, 123. [Google Scholar] [CrossRef]
- Gavina, M.; Luciani, A.; Villella, V.R.; Esposito, S.; Ferrari, E.; Bressani, I.; Casale, A.; Bruscia, E.M.; Maiuri, L.; Raia, V. Nebulized Hyaluronan Ameliorates lung inflammation in cystic fibrosis mice. Pediatr. Pulmonol. 2013, 48, 761–771. [Google Scholar] [CrossRef]
- Drago, L.; Cappelletti, L.; De Vecchi, E.; Pignataro, L.; Torretta, S.; Mattina, R. Antiadhesive and antibiofilm activity of hyaluronic acid against bacteria responsible for respiratory tract infections. APMIS 2014, 122, 1013–1019. [Google Scholar] [CrossRef]
- Surendrakumar, K.; Martyn, G.P.; Hodgers, E.C.M.; Jansen, M.; Blair, J.A. Sustained release of insulin from sodium hyaluronate based dry powder formulations after pulmonary delivery to beagle dogs. J. Control. Release 2003, 91, 385–394. [Google Scholar] [CrossRef] [PubMed]
- Li, Y.; Han, M.; Liu, T.; Cun, D.; Fang, L.; Yang, M. Inhaled hyaluronic acid microparticles extended pulmonary retention and suppressed systemic exposure of a short-acting bronchodilator. Carbohydr. Polym. 2017, 172, 197–204. [Google Scholar] [CrossRef] [PubMed]
- Costabile, G.; d’Angelo, I.; d’Emmanuele di Villa Bianca, R.; Mitidieri, E.; Pompili, B.; Del Porto, P.; Leoni, L.; Visca, P.; Miro, A.; Quaglia, F.; et al. Development of inhalable hyaluronan/mannitol composite dry powders for flucytosine repositioning in local therapy of lung infections. J. Control. Release 2016, 238, 80–91. [Google Scholar] [CrossRef] [PubMed]
- Magi, M.S.; de Lafuente, Y.; Quarta, E.; Palena, M.C.; Ardiles, P.d.R.; Páez, P.L.; Sonvico, F.; Buttini, F.; Jimenez-Kairuz, A.F. Novel Dry Hyaluronic Acid–Vancomycin Complex Powder for Inhalation, Useful in Pulmonary Infections Associated with Cystic Fibrosis. Pharmaceutics 2024, 16, 436. [Google Scholar] [CrossRef] [PubMed]
- Liu, T.; Han, M.; Tian, F.; Cun, D.; Rantanen, J.; Yang, M. Budesonide nanocrystal-loaded hyaluronic acid microparticles for inhalation: In vitro and in vivo evaluation. Carbohydr. Polym. 2018, 181, 1143–1152. [Google Scholar] [CrossRef]
- Fallacara, A.; Busato, L.; Pozzoli, M.; Ghadiri, M.; Ong, H.X.; Young, P.M.; Manfredini, S.; Traini, D. Co-Spray-Dried Urea Cross-Linked Hyaluronic Acid and Sodium Ascorbyl Phosphate as Novel Inhalable Dry Powder Formulation. J. Pharm. Sci. 2019, 108, 2964–2971. [Google Scholar] [CrossRef]
- Nikjoo, D.; van der Zwaan, I.; Brülls, M.; Tehler, U.; Frenning, G. Hyaluronic Acid Hydrogels for Controlled Pulmonary Drug Delivery—A Particle Engineering Approach. Pharmaceutics 2021, 13, 1878. [Google Scholar] [CrossRef]
- Burdock, G.A. Safety assessment of hydroxypropyl methylcellulose as a food ingredient. Food Chem. Toxicol. 2007, 45, 2341–2351. [Google Scholar] [CrossRef]
- Toiletry, C. Final Report on the Safety Assessment of Hydroxyethylcellulose, Hydroxypropylcellulose, Methylcellulose, Hydroxypropyl Methylcellulose, and Cellulose Gum. J. Am. Coll. Toxicol. 1986, 5, 1–59. [Google Scholar]
- Shah, N.; Kondawar, M.; Shah, R.; Shah, V. Sustained Release of Spray-Dried Combination Dry Powder Inhaler Formulation for Pulmonary Delivery. Asian J. Pharm. Clin. Res. 2011, 4, 112–118. [Google Scholar]
- Leslie, M.N.; Marasini, N.; Sheikh, Z.; Young, P.M.; Traini, D.; Ong, H.X. Development of inhalable spray dried nitrofurantoin formulations for the treatment of emphysema. Pharmaceutics 2022, 15, 146. [Google Scholar] [CrossRef] [PubMed]
- Costa, E.M.; Silva, S.; Pereira, C.F.; Ribeiro, A.B.; Casanova, F.; Freixo, R.; Pintado, M.; Ramos, Ó.L. Carboxymethyl Cellulose as a Food Emulsifier: Are Its Days Numbered? Polymers 2023, 15, 2408. [Google Scholar] [CrossRef] [PubMed]
- Gallo, L.; Bucalá, V.; Ramírez-Rigo, M.V. Formulation and Characterization of Polysaccharide Microparticles for Pulmonary Delivery of Sodium Cromoglycate. AAPS PharmSciTech 2017, 18, 1634–1645. [Google Scholar] [CrossRef] [PubMed]
- Elmowafy, E.; Soliman, M.E. Losartan-chitosan/dextran sulfate microplex as a carrier to lung therapeutics: Dry powder inhalation, aerodynamic profile and pulmonary tolerability. Int. J. Biol. Macromol. 2019, 136, 220–229. [Google Scholar] [CrossRef]
- Mukhtar, M.; Szakonyi, Z.; Farkas, Á.; Burian, K.; Kókai, D.; Ambrus, R. Freeze-dried vs spray-dried nanoplex DPIs based on chitosan and its derivatives conjugated with hyaluronic acid for tuberculosis: In vitro aerodynamic and in silico deposition profiles. Eur. Polym. J. 2021, 160, 110775. [Google Scholar] [CrossRef]
- Putri, K.S.S.; Ramadhani, L.S.; Rachel, T.; Suhariyono, G.; Surini, S. Promising chitosan-alginate combination for rifampicin dry powder inhaler to target active and latent tuberculosis. J. Appl. Pharm. Sci. 2022, 12, 098–103. [Google Scholar]
- Mali, A.J.; Pawar, A.P.; Bothiraja, C. Improved lung delivery of budesonide from biopolymer based dry powder inhaler through natural inhalation of rat. Mater. Technol. 2014, 29, 350–357. [Google Scholar] [CrossRef]
- Mali, A.J.; Pawar, A.P.; Purohit, R.N. Development of Budesonide Loaded Biopolymer Based Dry Powder Inhaler: Optimization, In Vitro Deposition, and Cytotoxicity Study. J. Pharm. 2014, 2014, 795371. [Google Scholar] [CrossRef]
- Patil, J.S.; Devi, K.; Devi, K.; Suresh, S. Formulation and evaluation of novel spray-dried alginate microspheres as pulmonary delivery systems of rifampicin in rats. Indian J. Pharm. Educ. Res. 2015, 49, 320–328. [Google Scholar]
- Mahmoud, A.A.; Elkasabgy, N.A.; Abdelkhalek, A.A. Design and characterization of emulsified spray dried alginate microparticles as a carrier for the dually acting drug roflumilast. Eur. J. Pharm. Sci. 2018, 122, 64–76. [Google Scholar] [CrossRef]
- Rahman, M.; Hasan, M.R. Synthetic Biopolymers. In Functional Biopolymers; Jafar Mazumder, M.A., Sheardown, H., Al-Ahmed, A., Eds.; Springer International Publishing: Cham, Switzerland, 2019; pp. 1–43. [Google Scholar]
- Reddy, M.S.; Ponnamma, D.; Choudhary, R.; Sadasivuni, K.K. A Comparative Review of Natural and Synthetic Biopolymer Composite Scaffolds. Polymers 2021, 13, 1105. [Google Scholar] [CrossRef] [PubMed]
- U.S. Food and Drug Administration. Polycaprolactone (PCL) Safety Profile; U.S. Food and Drug Administration: Silver Spring, MD, USA, 2021.
- Tuli, R.A.; Dargaville, T.R.; George, G.A.; Islam, N. Polycaprolactone Microspheres as Carriers for Dry Powder Inhalers: Effect of Surface Coating on Aerosolization of Salbutamol Sulfate. J. Pharm. Sci. 2012, 101, 733–745. [Google Scholar] [CrossRef] [PubMed]
- Tuli, R.A.; George, G.A.; Dargaville, T.R.; Islam, N. Studies on the Effect of the Size of Polycaprolactone Microspheres for the Dispersion of Salbutamol Sulfate from Dry Powder Inhaler Formulations. Pharm. Res. 2012, 29, 2445–2455. [Google Scholar] [CrossRef] [PubMed]
- Kho, K.; Cheow, W.S.; Lie, R.H.; Hadinoto, K. Aqueous re-dispersibility of spray-dried antibiotic-loaded polycaprolactone nanoparticle aggregates for inhaled anti-biofilm therapy. Powder Technol. 2010, 203, 432–439. [Google Scholar] [CrossRef]
- Sharma, Y.; Mahar, R.; Chakraborty, A.; Nainwal, N. Optimizing the formulation variables for encapsulation of linezolid into polycaprolactone inhalable microspheres using double emulsion solvent evaporation. Tuberculosis 2023, 143, 102417. [Google Scholar] [CrossRef]
- Parikh, R.; Dalwadi, S. Preparation and characterization of controlled release poly-ɛ-caprolactone microparticles of isoniazid for drug delivery through pulmonary route. Powder Technol. 2014, 264, 158–165. [Google Scholar] [CrossRef]
- Kasten, G.; Silva, L.F.C.; Lemos-Senna, E. Development of low density azithromycin-loaded polycaprolactone microparticles for pulmonary delivery. Drug Dev. Ind. Pharm. 2016, 42, 776–787. [Google Scholar] [CrossRef]
- Topal, G.R.; Devrim, B.; Eryilmaz, M.; Bozkir, A. Design of ciprofloxacin-loaded nano-and microcomposite particles for dry powder inhaler formulations: Preparation, in vitro characterisation, and antimicrobial efficacy. J. Microencaps. 2018, 35, 533–547. [Google Scholar] [CrossRef]
- D’souza, A.A.; Shegokar, R. Polyethylene glycol (PEG): A versatile polymer for pharmaceutical applications. Expert Opin. Drug Deliv. 2016, 13, 1257–1275. [Google Scholar] [CrossRef]
- Muralidharan, P.; Mallory, E.; Malapit, M.; Hayes, D.; Mansour, H.M. Inhalable PEGylated Phospholipid Nanocarriers and PEGylated Therapeutics for Respiratory Delivery as Aerosolized Colloidal Dispersions and Dry Powder Inhalers. Pharmaceutics 2014, 6, 333–353. [Google Scholar] [CrossRef]
- Corrigan, D.O.; Corrigan, O.I.; Healy, A.M. Predicting the physical state of spray dried composites: Salbutamol sulphate/lactose and salbutamol sulphate/polyethylene glycol co-spray dried systems. Int. J. Pharm. 2004, 273, 171–182. [Google Scholar] [CrossRef] [PubMed]
- Maloney, S.E.; Alshiraihi, I.M.; Singh, A.; Stewart, I.E.; Mariner Gonzalez, J.; Gonzalez-Juarrero, M.; Meibohm, B.; Hickey, A.J. Spray dried tigecycline dry powder aerosols for the treatment of nontuberculous mycobacterial pulmonary infections. Tuberculosis 2023, 139, 102306. [Google Scholar] [CrossRef] [PubMed]
- Gilani, K.; Najafabadi, A.R.; Barghi, M.; Rafiee-Tehrani, M. Aerosolization of beclomethasone dipropionate using spray dried lactose/polyethylene glycol carriers. Eur. J. Pharm. Biopharm. 2004, 58, 595–606. [Google Scholar] [CrossRef] [PubMed]
- Bianchi, M.; Pegoretti, A.; Fredi, G. An overview of poly(vinyl alcohol) and poly(vinyl pyrrolidone) in pharmaceutical additive manufacturing. J. Vinyl Addit. Technol. 2023, 29, 223–239. [Google Scholar] [CrossRef]
- Kasselkus, A.; Weiskircher-Hildebrandt, E.; Schornick, E.; Bauer, F.; Zheng, M. Polyvinyl Alcohol: Revival of a Long Lost Polymer; MilliporeSigma: Burlington, MA, USA, 2018. [Google Scholar]
- Kurakula, M.; Rao, G.K. Pharmaceutical assessment of polyvinylpyrrolidone (PVP): As excipient from conventional to controlled delivery systems with a spotlight on COVID-19 inhibition. J. Drug Deliv. Sci. Technol. 2020, 60, 102046. [Google Scholar] [CrossRef]
- Buttini, F.; Colombo, P.; Wenger, M.P.E.; Mesquida, P.; Marriott, C.; Jones, S.A. Back to basics: The development of a simple, homogenous, two—Component dry—Powder inhaler formulation for the delivery of budesonide using miscible vinyl polymers. J. Pharm. Sci. 2008, 97, 1257–1267. [Google Scholar] [CrossRef]
- Morais da Silva, D.M.; Paleco, R.; Traini, D.; Sencadas, V. Development of ciprofloxacin-loaded poly(vinyl alcohol) dry powder formulations for lung delivery. Int. J. Pharm. 2018, 547, 114–121. [Google Scholar] [CrossRef]
- Party, P.; Bartos, C.; Farkas, A.; Szabo-Revesz, P.; Ambrus, R. Formulation and In Vitro and In Silico Characterization of “Nano-in-Micro” Dry Powder Inhalers Containing Meloxicam. Pharmaceutics 2021, 13, 211. [Google Scholar] [CrossRef]
- Sahini, M.G. Polylactic acid (PLA)-based materials: A review on the synthesis and drug delivery applications. Emergent Mater. 2023, 6, 1461–1479. [Google Scholar] [CrossRef]
- Tyler, B.; Gullotti, D.; Mangraviti, A.; Utsuki, T.; Brem, H. Polylactic acid (PLA) controlled delivery carriers for biomedical applications. Adv. Drug Del. Rev. 2016, 107, 163–175. [Google Scholar] [CrossRef]
- Singhvi, M.S.; Zinjarde, S.S.; Gokhale, D.V. Polylactic acid: Synthesis and biomedical applications. J. Appl. Microbiol. 2019, 127, 1612–1626. [Google Scholar] [CrossRef] [PubMed]
- El-Baseir, M.M.; Kellaway, I.W. Poly(l-lactic acid) microspheres for pulmonary drug delivery: Release kinetics and aerosolization studies. Int. J. Pharm. 1998, 175, 135–145. [Google Scholar] [CrossRef]
- Cheng, Y.S.; Yazzie, D.; Gao, J.; Muggli, D.; Etter, J.; Rosenthal, G.J. Particle Characteristics and Lung Deposition Patterns in a Human Airway Replica of a Dry Powder Formulation of Polylactic Acid Produced Using Supercritical Fluid Technology. J. Aerosol Med. 2003, 16, 65–73. [Google Scholar] [CrossRef] [PubMed]
- Makadia, H.K.; Siegel, S.J. Poly Lactic-co-Glycolic Acid (PLGA) as Biodegradable Controlled Drug Delivery Carrier. Polymers 2011, 3, 1377–1397. [Google Scholar] [CrossRef]
- Hua, Y.; Su, Y.; Zhang, H.; Liu, N.; Wang, Z.; Gao, X.; Gao, J.; Zheng, A. Poly(lactic-co-glycolic acid) microsphere production based on quality by design: A review. Drug Deliv. 2021, 28, 1342–1355. [Google Scholar] [CrossRef]
- Diab, R.; Brillault, J.; Bardy, A.; Gontijo, A.V.L.; Olivier, J.C. Formulation and in vitro characterization of inhalable polyvinyl alcohol-free rifampicin-loaded PLGA microspheres prepared with sucrose palmitate as stabilizer: Efficiency for ex vivo alveolar macrophage targeting. Int. J. Pharm. 2012, 436, 833–839. [Google Scholar] [CrossRef]
- Vanza, J.D.; Lalani, J.R.; Patel, R.B.; Patel, M.R. DOE supported optimization of biodegradable polymeric nanoparticles based dry powder inhaler for targeted delivery of afatinib in non-small cell lung cancer. J. Drug Deliv. Sci. Technol. 2023, 84, 104554. [Google Scholar] [CrossRef]
- Debnath, S.K.; Saisivam, S.; Omri, A. PLGA Ethionamide Nanoparticles for Pulmonary Delivery: Development and in vivo evaluation of dry powder inhaler. J. Pharm. Biomed. Anal. 2017, 145, 854–859. [Google Scholar] [CrossRef]
- Sato, H.; Tabata, A.; Mortiani, T.; Morinaga, T.; Mizumoto, T.; Seto, Y.; Onoue, S. Design and Characterizations of Inhalable Poly(lactic-co-glycolic acid) Microspheres Prepared by the Fine Droplet Drying Process for a Sustained Effect of Salmon Calcitonin. Molecules 2020, 25, 1311. [Google Scholar] [CrossRef]
- Scharließ, R.; Janke, J. Preparation of Poly-Lactic-Co-Glycolic Acid Nanoparticles in a Dry Powder Formulation for Pulmonary Antigen Delivery. Pharmaceutics 2021, 13, 1196. [Google Scholar] [CrossRef]
- Varshosaz, J.; Taymouri, S.; Hamishehkar, H.; Vantankhah, R.; Yaghubi, S. Development of dry powder inhaler containing tadalafil-loaded PLGA nanoparticles. Res. Pharm. Sci. 2017, 12, 222–232. [Google Scholar]
- Yurdasiper, A. Development of Triamcinolone Acetonide Loaded Poly(lactic co-glycolic acid) Dry Powder Inhaler Formulations for the Treatment of Asthma. Clin. Exp. Health Sci. 2022, 12, 249–256. [Google Scholar] [CrossRef]
- Tavares, M.; Cabral, R.P.; Costa, C.; Martins, P.; Fernandes, A.R.; Casimiro, T.; Aguiar-Ricardo, A. Development of PLGA dry powder microparticles by supercritical CO2-assisted spray-drying for potential vaccine delivery to the lungs. J. Supercrit. Fluids 2017, 128, 235–243. [Google Scholar] [CrossRef]
- Ohashi, K.; Kabasawa, T.; Ozeki, T.; Okada, H. One-step preparation of rifampicin/poly(lactic-co-glycolic acid) nanoparticle-containing mannitol microspheres using a four-fluid nozzle spray drier for inhalation therapy of tuberculosis. J. Control. Release 2009, 135, 19–24. [Google Scholar] [CrossRef]
- Shiehzadeh, F.; Tafaghodi, M.; Laal-Dehghani, M.; Mashhori, F.; Sedigheh, B.; Bazzaz, F.; Imenshahidi, M. Preparation and Characterization of a Dry Powder Inhaler Composed of PLGA Large Porous Particles Encapsulating Gentamicin Sulfate. Adv. Pharm. Bull. 2019, 2019, 255–261. [Google Scholar] [CrossRef]
- Zhu, L.; Li, M.; Liu, X.; Du, L.; Jin, Y. Inhalable oridonin-loaded poly(lactic-co-glycolic)acid large porous microparticles for in situ treatment of primary non-small cell lung cancer. Acta Pharm. Sin. B 2017, 7, 80–90. [Google Scholar] [CrossRef]
- Gould, S.; Scott, R.C. 2-Hydroxypropyl-β-cyclodextrin (HP-β-CD): A toxicology review. Food Chem. Toxicol. 2005, 43, 1451–1459. [Google Scholar] [CrossRef]
- Li, J.; Zhuang, S. Antibacterial activity of chitosan and its derivatives and their interaction mechanism with bacteria: Current state and perspectives. Eur. Polym. J. 2020, 138, 109984. [Google Scholar] [CrossRef]
- Rouillard, K.R.; Esther, C.P.; Kissner, W.J.; Plott, L.M.; Bowman, D.W.; Markovetz, M.R.; Hill, D.B. Combination treatment to improve mucociliary transport of Pseudomonas aeruginosa biofilms. PLoS ONE 2024, 19, e0294120. [Google Scholar] [CrossRef]
- Button, B.; Goodell, H.P.; Atieh, E.; Chen, Y.-C.; Williams, R.; Shenoy, S.; Lackey, E.; Shenkute, N.T.; Cai, L.-H.; Dennis, R.G.; et al. Roles of mucus adhesion and cohesion in cough clearance. Proc. Natl. Acad. Sci. USA 2018, 115, 12501–12506. [Google Scholar] [CrossRef]
- Jennings, J.A. 7—Controlling chitosan degradation properties in vitro and in vivo. In Chitosan Based Biomaterials Volume 1; Jennings, J.A., Bumgardner, J.D., Eds.; Woodhead Publishing: Sawston, UK, 2017; pp. 159–182. [Google Scholar]
- Lopes, M.; Abrahim, B.; Veiga, F.; Seiça, R.; Cabral, L.M.; Arnaud, P.; Andrade, J.C.; Ribeiro, A.J. Preparation methods and applications behind alginate-based particles. Expert Opin. Drug Deliv. 2017, 14, 769–782. [Google Scholar] [CrossRef] [PubMed]
- Lee, K.Y.; Mooney, D.J. Alginate: Properties and biomedical applications. Prog. Polym. Sci. 2012, 37, 106–126. [Google Scholar] [CrossRef] [PubMed]
- da Silva, D.; Kaduri, M.; Poley, M.; Adir, O.; Krinsky, N.; Shainsky-Roitman, J.; Schroeder, A. Biocompatibility, biodegradation and excretion of polylactic acid (PLA) in medical implants and theranostic systems. Chem. Eng. J. 2018, 340, 9–14. [Google Scholar] [CrossRef]
- Chang, R.Y.K.; Chen, L.; Chen, D.; Chan, H.-K. Overcoming challenges for development of amorphous powders for inhalation. Expert Opin. Drug Deliv. 2020, 17, 1583–1595. [Google Scholar] [CrossRef] [PubMed]
- Kasaai, M.R. Molecular weight distribution for biopolymers: A review. J. Polym. Biopolym. Phys. Chem. 2018, 6, 39–44. [Google Scholar]
- Masuelli, M.A. Mark-Houwink Parameters for Aqueous-Soluble Polymers and Biopolymers at Various Temperatures. J. Polym. Biopolym. Phys. Chem. 2014, 2, 37–43. [Google Scholar]
- ICH. Stability Testing for New Dosage Forms. In Proceedings of the International Conference on Harmonization of Technical Requirements for Pharmaceuticals for Human Use, Geneva, Switzerland, 17 July 1996. Q1C. [Google Scholar]
- ICH. Stability Testing of New Drug Substances and Products. In Proceedings of the International Conference on Harmonization of Technical Requirements for Pharmaceuticals for Human Use, Osaka, Japan, 12–15 November 2003. Q1A. [Google Scholar]
- United States Pharmacopeia. General Chapter <1153> Drug Products Containing Nanomaterials; United States Pharmacopeia: Rockville, MD, USA, 2023. [Google Scholar]
- United States Pharmacopeia. General Chapter <5> Inhalation and Nasal Drug Products—General Information and Product Quality Tests; United States Pharmacopeia: Rockville, MD, USA, 2023. [Google Scholar]
- United States Pharmacopeia. General Chapter <1> Injections and Implanted Drug Products (Parenterals)—Product Quality Tests; United States Pharmacopeia: Rockville, MD, USA, 2016. [Google Scholar]
- United States Pharmacopeia. General Chapter <88> Biological Reactivity Tests, In Vivo; United States Pharmacopeia: Rockville, MD, USA, 2024. [Google Scholar]
- Abulateefeh, S.R. Long-acting injectable PLGA/PLA depots for leuprolide acetate: Successful translation from bench to clinic. Drug Deliv. Transl. Res. 2023, 13, 520–530. [Google Scholar] [CrossRef]
- Kotla, N.G.; Pandey, A.; Vijaya Kumar, Y.; Ramazani, F.; Fisch, A. Polyester-based long acting injectables: Advancements in molecular dynamics simulation and technological insights. Drug Discov. Today 2023, 28, 103463. [Google Scholar] [CrossRef]










Disclaimer/Publisher’s Note: The statements, opinions and data contained in all publications are solely those of the individual author(s) and contributor(s) and not of MDPI and/or the editor(s). MDPI and/or the editor(s) disclaim responsibility for any injury to people or property resulting from any ideas, methods, instructions or products referred to in the content. |
© 2024 by the authors. Licensee MDPI, Basel, Switzerland. This article is an open access article distributed under the terms and conditions of the Creative Commons Attribution (CC BY) license (https://creativecommons.org/licenses/by/4.0/).
Share and Cite
Maloney Norcross, S.E.; Levin, L.P.K.; Hickey, A.J.; Hill, D.B. Biopolymeric Inhalable Dry Powders for Pulmonary Drug Delivery. Pharmaceuticals 2024, 17, 1628. https://doi.org/10.3390/ph17121628
Maloney Norcross SE, Levin LPK, Hickey AJ, Hill DB. Biopolymeric Inhalable Dry Powders for Pulmonary Drug Delivery. Pharmaceuticals. 2024; 17(12):1628. https://doi.org/10.3390/ph17121628
Chicago/Turabian StyleMaloney Norcross, Sara E., Leanna P. K. Levin, Anthony J. Hickey, and David B. Hill. 2024. "Biopolymeric Inhalable Dry Powders for Pulmonary Drug Delivery" Pharmaceuticals 17, no. 12: 1628. https://doi.org/10.3390/ph17121628
APA StyleMaloney Norcross, S. E., Levin, L. P. K., Hickey, A. J., & Hill, D. B. (2024). Biopolymeric Inhalable Dry Powders for Pulmonary Drug Delivery. Pharmaceuticals, 17(12), 1628. https://doi.org/10.3390/ph17121628

