Theoretical–Cheminformatic Study of Four Indolylphytoquinones, Prospective Anticancer Candidates
Abstract
1. Introduction
2. Results and Discussion
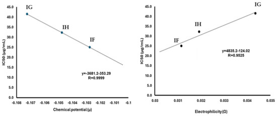
2.1. Molecular Orbitals Analysis
2.2. Docking Study of the Apoptosis Pathways
3. Materials and Methods
3.1. Optimization of the Structures and GAP Energy
3.2. Reactivity Descriptors
3.3. Molecular Electrostatic Surface
3.4. Biological Activity Predictions
3.5. Toxicological and Physicochemical Properties Prediction
3.6. Docking Study in the Apoptosis Pathways
3.7. Pharmacological and Metabolic Properties
4. Conclusions
Author Contributions
Funding
Institutional Review Board Statement
Informed Consent Statement
Data Availability Statement
Acknowledgments
Conflicts of Interest
References
- Ariza Márquez, Y.V.; Briceño Balcázar, I.; Ancízar Aristizábal, F. Tratamiento de Cáncer de Seno y Farmacogenética. Rev. Colomb. Biotecnol. 2016, 18, 121–134. [Google Scholar] [CrossRef]
- Arnold, M.; Morgan, E.; Rumgay, H.; Mafra, A.; Singh, D.; Laversanne, M.; Vignat, J.; Gralow, J.R.; Cardoso, F.; Siesling, S.; et al. Current and Future Burden of Breast Cancer: Global Statistics for 2020 and 2040. Breast 2022, 66, 15–23. [Google Scholar] [CrossRef] [PubMed]
- Knaul, F.M.; Nigenda, G.; Lozano, R.; Arreola-Ornelas, H.; Langer, A.; Frenk, J. Cáncer de Mama En México: Una Prioridad Apremiante. Salud Pública México 2009, 51, s335–s344. [Google Scholar] [CrossRef]
- Argüello Esparza, E.Y. Cáncer de la Mujer; Centro Nacional de Equidad de Género y Salud Reproductiva: Mexico City, Mexico, 2015. [Google Scholar]
- Instituto Nacional de Estadística y Geografía. Estadísticas a Propósito del día Internacional de la Lucha Contra el Cáncer de Mama (19 de Octubre); Instituto Nacional de Estadística y Geografía: Mexico City, Mexico, 2023. [Google Scholar]
- Centro Nacional de Equidad de Género y Salud Reproductiva. Información Estadística Cáncer de Mama. Available online: https://www.gob.mx/salud%7Ccnegsr/acciones-y-programas/informacion-estadistica-cancer-de-mama (accessed on 15 October 2024).
- Ferlley Vélez, M.; Villa Pulgar, N. Identificación y Cuantificación de Antraquinonas y Cromonas Por Cromatografía Líquida de Alta Eficiencia Maria Ferlley Vélez Serna Nathaly Villa Pulgarín; Universidad Tecnólogica de Pereira: Pereira, Colombia, 2012. [Google Scholar]
- Cores, Á.; Carmona-Zafra, N.; Clerigué, J.; Villacampa, M.; Menéndez, J.C. Quinones as Neuroprotective Agents. Antioxidants 2023, 12, 1464. [Google Scholar] [CrossRef]
- Bolton, J.L.; Dunlap, T. Formation and Biological Targets of Quinones: Cytotoxic versus Cytoprotective Effects. Chem. Res. Toxicol. 2017, 30, 13–37. [Google Scholar] [CrossRef]
- Wróbel-Biedrawa, D.; Grabowska, K.; Galanty, A.; Sobolewska, D.; Żmudzki, P.; Podolak, I. Anti-Melanoma Potential of Two Benzoquinone Homologues Embelin and Rapanone—A Comparative in Vitro Study. Toxicol. Vitr. 2020, 65, 104826. [Google Scholar] [CrossRef]
- Niranjani, S.; Venkatachalam, K. Synthesis, Spectroscopic, Thermal, Structural Investigations and Biological Activity Studies of Charge-Transfer Complexes of Atorvastatin Calcium with Dihydroxy-p-Benzoquinone, Quinalizarin and Picric Acid. J. Mol. Struct. 2020, 1219, 128564. [Google Scholar] [CrossRef]
- Foderaro, J.E.; Konopka, J.B. Differential Roles of a Family of Flavodoxin-like Proteins That Promote Resistance to Quinone-Mediated Oxidative Stress in Candida Albicans. Infect. Immun. 2021, 89, e00670-20. [Google Scholar] [CrossRef]
- Chang, C.T.; Whung, H.L.; Tsao, D.A.; Lin, S.Y.; Chien, S.T.; Chen, C.Y. Metabolites from Antrodia Camphorata with Antioxidant Activity. Chem. Nat. Compd. 2024, 60, 763–765. [Google Scholar] [CrossRef]
- Franza, T.; Gaudu, P. Quinones: More than Electron Shuttles. Res. Microbiol. 2022, 173, 103953. [Google Scholar] [CrossRef]
- Silakari, P.; Priyanka; Piplani, P. P-Benzoquinone as a Privileged Scaffold of Pharmacological Significance: A Review. Mini-Rev. Med. Chem. 2020, 20, 1586–1609. [Google Scholar] [CrossRef] [PubMed]
- Chen, C.Y.; Wang, J.J.; Kao, C.L.; Li, H.T.; Wu, M.D.; Cheng, M.J. A New Benzoquinone from Antrodia Camphorata. Chem. Nat. Compd. 2022, 58, 614–616. [Google Scholar] [CrossRef]
- Yoo, A.; Jang, Y.J.; Ahn, J.; Jung, C.H.; Ha, T.Y. 2,6-Dimethoxy-1,4-Benzoquinone Increases Skeletal Muscle Mass and Performance by Regulating AKT/MTOR Signaling and Mitochondrial Function. Phytomedicine 2021, 91, 153658. [Google Scholar] [CrossRef]
- Arimoto-Kobayashi, S.; Sasaki, K.; Hida, R.; Miyake, N.; Fujii, N.; Saiki, Y.; Daimaru, K.; Nakashima, H.; Kubo, T.; Kiura, K. Chemopreventive Effects and Anti-Tumorigenic Mechanisms of 2,6-Dimethoxy-1,4-Benzoquinone, a Constituent of Vitis Coignetiae Pulliat (Crimson Glory Vine, Known as Yamabudo in Japan), toward 4-(Methylnitrosamino)-1-(3-Pyridyl)-1-Butanone (NNK)-Induced Lung Tumorigenesis in A/J Mice. Food Chem. Toxicol. 2021, 154, 112319. [Google Scholar] [CrossRef]
- Kamiya, T.; Tanimoto, Y.; Fujii, N.; Negishi, T.; Suzuki, T.; Hatano, T.; Arimoto-Kobayashi, S. 2,6-Dimethoxy-1,4-Benzoquinone, Isolation and Identification of Anti-Carcinogenic, Anti-Mutagenic and Anti-Inflammatory Component from the Juice of Vitis Coignetiae. Food Chem. Toxicol. 2018, 122, 172–180. [Google Scholar] [CrossRef]
- Park, J.H.; Shim, K.S.; Lee, H.S. Antimicrobial activities of 2,6-dimethoxy-1,4-benzoquinone and its structurally related analogues against seven food-borne bacteria. J. Korean Soc. Appl. Biol. Chem. 2014, 57, 699–701. [Google Scholar] [CrossRef]
- Chun, K.S.; Raut, P.K.; Kim, D.H.; Surh, Y.J. Role of Chemopreventive Phytochemicals in NRF2-Mediated Redox Homeostasis in Humans. Free Radic. Biol. Med. 2021, 172, 699–715. [Google Scholar] [CrossRef]
- Penta, D.; Natesh, J.; Mondal, P.; Meeran, S.M. Dietary Diindolylmethane Enhances the Therapeutic Effect of Centchroman in Breast Cancer by Inhibiting Neoangiogenesis. Nutr. Cancer 2023, 75, 734–749. [Google Scholar] [CrossRef]
- Fragoso-Medina, A.J.; Escobedo-González, R.G.; Nicolás-Vázquez, M.I.; Arroyo-Razo, G.A.; Noguez-Córdova, M.O.; Miranda-Ruvalcaba, R. A DFT Study of the Geometrical, Spectroscopical and Reactivity Properties of Diindolylmethane-Phenylboronic Acid Hybrids. Molecules 2017, 22, 1744. [Google Scholar] [CrossRef]
- Zarco Juarez, M.; Martínez, J.O.; Noguez Cordova, O.; Nicolás Vazquez, M.I.; Ramírez-Apan, T.; Pérez Flores, J.; Miranda Ruvalcaba, R.; Arroyo Razo, G.A. A Green Approach to the Production of Hybrid Diindolylmethane-Phenylboronic Acids via a 3MCR: Promising Antineoplasic Molecules. J. Chem. 2013, 2013, 531208. [Google Scholar] [CrossRef]
- Wang, L.; He, W.; Wang, X.; Li, G.; Wang, D.; Xu, Y.; Zhu, W. Asteriquinones from Aspergillus Sp. GZWMJZ-258 and Their Derivatives. J. Nat. Prod. 2023, 86, 2522–2528. [Google Scholar] [CrossRef] [PubMed]
- Pirrung, M.C.; Li, Z.; Hensley, E.; Liu, Y.; Tanksale, A.; Lin, B.; Pai, A.; Webster, N.J.G. Parallel Synthesis of Indolylquinones and Their Cell-Based Insulin Mimicry. J. Comb. Chem. 2007, 9, 844–854. [Google Scholar] [CrossRef] [PubMed]
- Escobedo-González, R.G.; Pérez Martínez, H.; Nicolás-Vázquez, M.I.; Martínez, J.; Gómez, G.; Serrano, J.N.; Carranza Téllez, V.; Vargas-Requena, C.L.; Miranda Ruvalcaba, R. Green Production of Indolylquinones, Derivatives of Perezone, and Related Molecules, Promising Antineoplastic Compounds. J. Chem. 2016, 2016, 3870529. [Google Scholar] [CrossRef]
- Li, X.; Zheng, S.L.; Li, X.; Li, J.L.; Qiang, O.; Liu, R.; He, L. Synthesis and Anti-Breast Cancer Activity of New Indolylquinone Derivatives. Eur. J. Med. Chem. 2012, 54, 42–48. [Google Scholar] [CrossRef]
- Schneider, P.; Weber, M.; Rosenberger, K.; Hoffmeister, D. A One-Pot Chemoenzymatic Synthesis for the Universal Precursor of Antidiabetes and Antiviral Bis-Indolylquinones. Chem. Biol. 2007, 14, 635–644. [Google Scholar] [CrossRef]
- Escobedo-González, R.; Vargas-Requena, C.L.; Moyers-Montoya, E.; Aceves-Hernández, J.M.; Nicolás-Vázquez, M.I.; Miranda-Ruvalcaba, R. In Silico Study of the Pharmacologic Properties and Cytotoxicity Pathways in Cancer Cells of Various Indolylquinone Analogues of Perezone. Molecules 2017, 22, 1060. [Google Scholar] [CrossRef]
- Brodin, T.; Bertram, M.G.; Arnold, K.E.; Boxall, A.B.A.; Brooks, B.W.; Cerveny, D.; Jörg, M.; Kidd, K.A.; Lertxundi, U.; Martin, J.M.; et al. The Urgent Need for Designing Greener Drugs. Nat. Sustain. 2024, 7, 949–951. [Google Scholar] [CrossRef]
- IMSS. Cáncer de Mama. Available online: http://www.imss.gob.mx/salud-en-linea/cancer-mama (accessed on 27 May 2022).
- Sadybekov, A.V.; Katritch, V. Computational Approaches Streamlining Drug Discovery. Nature 2023, 616, 673–685. [Google Scholar] [CrossRef]
- Choudhury, N. Importance of Theoretical and Computational Chemistry in State-of-the-Art Chemistry Research. Available online: https://www.barc.gov.in/barc_nl/2024/2024010205.pdf (accessed on 25 October 2024).
- Di Felice, R.; Mayes, M.L.; Richard, R.M.; Williams-Young, D.B.; Chan, G.K.L.; de Jong, W.A.; Govind, N.; Head-Gordon, M.; Hermes, M.R.; Kowalski, K.; et al. A Perspective on Sustainable Computational Chemistry Software Development and Integration. J. Chem. Theory Comput. 2023, 19, 7056–7076. [Google Scholar] [CrossRef]
- Mammino, L. Green Chemistry and Computational Chemistry: A Wealth of Promising Synergies. Sustain. Chem. Pharm. 2023, 34, 101151. [Google Scholar] [CrossRef]
- Mammino, L. Incorporating Information on Green Chemistry into Theoretical Chemistry Courses. Curr. Opin. Green Sustain. Chem. 2018, 13, 76–80. [Google Scholar] [CrossRef]
- González Burgo, E. Programas Informáticos Interactivos Para La Formación de Pregraduados de Ciencias de La Salud En La Disciplina de Farmacología. In Propuesta de Innovación Educativa en la Sociedad de la Información; Adaya Press: Santa Barbara, CA, USA, 2017; pp. 39–47. [Google Scholar]
- Comisión Europea. Grandes Logros de Proyectos—La Medicina in Silico Llega a La Clínica. Available online: https://cordis.europa.eu/article/id/86061-project-success-stories-in-silico-medicine-reaches-the-clinic/es (accessed on 25 July 2022).
- Martínez, J.; Rodríguez, M.H.; Escobedo-González, R.; Nicolás-Vázquez, M.I.; Saavedra-Leos, Z.; Ruvalcaba, R.M. Computational Characterization of Perezone, Isoperezone and Their Sulfur-Derivatives: Anti-inflammatory Activity. ChemistrySelect 2019, 4, 13333–13346. [Google Scholar] [CrossRef]
- Martínez, J.; Velasco-Bejarano, B.; Delgado-Reyes, F.; Pozas, R.; Torres-Domínguez, H.M.; Trujillo-Ferrara, J.G.; Arroyo-Razo, G.A.; Miranda, R. Eco-Contribution to the Chemistry of Perezone, a Comparative Study, Using Different Modes of Activation and Solventless Conditions. Nat. Prod. Commun. 2008, 3, 1465–1468. [Google Scholar] [CrossRef]
- Escobedo-González, R.; Mendoza, P.; Nicolás-Vázquez, I.; Hernández-Rodríguez, M.; Martínez, J.; Miranda Ruvalcaba, R. A Timeline of Perezone, the First Isolated Secondary Metabolite from the New World, Covering the Time from 1852 to 2020. In Progress in the Chemistry of Organic Natural Products 116; Kinghorn, A.D., Falk, H., Gibbons, S., Asakawa, Y., Liu, J.-K., Dirsch, V.M., Eds.; Springer International Publishing: Cham, Switzerland, 2022; ISBN 978-3-030-80560-9. [Google Scholar]
- Escobedo-González, R.G.; Bahena, L.; Arias Tellez, J.L.; Hinojosa Torres, J.; Ruvalcaba, R.M.; Aceves-Hernández, J.M. Characterization and Comparison of Perezone with Some Analogues. Experimental and Theoretical Study. J. Mol. Struct. 2015, 1097, 98–105. [Google Scholar] [CrossRef]
- Hernández-Rodríguez, M.; Mendoza Sánchez, P.I.; Macías Perez, M.E.; Cruz, E.R.; Jiménez, E.M.; Aceves-Hernández, J.M.; Nicolás-Vázquez, M.I.; Ruvalcaba, R.M. In Vitro and Computational Studies of Natural Products Related to Perezone as Anti-Neoplastic Agents. Biochimie 2020, 171–172, 158–169. [Google Scholar] [CrossRef]
- Hernández-Rodríguez, M.; Mendoza Sánchez, P.I.; Macias Perez, M.E.; Rosales Cruz, E.; Mera Jiménez, E.; Nicolás Vázquez, M.I.; Miranda Ruvalcaba, R. In Vitro and Computational Studies Showed That Perezone Inhibits PARP-1 and Induces Changes in the Redox State of K562 cells. Arch. Biochem. Biophys. 2019, 671, 225–234. [Google Scholar] [CrossRef]
- Escobedo-González, R.; Vázquez Cabañas, A.V.; Martínez González, A.; Mendoza Sánchez, P.; Saavedra-Leos, Z.; Cruz-Olivares, J.; Nava Serrano, J.; Martínez, J.; Miranda Ruvalcaba, R. Green Approach Extraction of Perezone from the Roots of Acourtia Platyphilla (A. Grey): A Comparison of Four Activating Modes and Supercritical Carbon Dioxide. Molecules 2019, 24, 3035. [Google Scholar] [CrossRef]
- Yadav, J.S.; Reddy, B.V.S.; Swamy, T. InBr3-Catalyzed Conjugate Addition of Indoles to p-Quinones: An Efficient Synthesis of 3-Indolylquinones. Synthesis 2004, 2004, 106–110. [Google Scholar] [CrossRef]
- Piquero, M.; Font, C.; Gullón, N.; López-Alvarado, P.; Menéndez, J.C. One-Pot Mechanochemical Synthesis of Mono- and Bis-Indolylquinones via Solvent-Free Multiple Bond-Forming Processes. ChemSusChem 2021, 14, 4764–4775. [Google Scholar] [CrossRef]
- Soriano-García, M.; Toscano, R.A.; Flores-Valverde, E.; Montoya-Vega, F.; López-Celis, I. (IUCr) Structure of 2-(1,5-Dimethyl-4-Hexenyl)-3-Hydroxy-5-Methyl-1,4-Benzoquinone (Perezone), a Sesquiterpene. Acta Cryst. 1986, 42, 327–329. [Google Scholar] [CrossRef]
- Noltemeyer, M.; Sheldrick, G.; Hoppe, H.-U.; Zeeck, A. 2-Ethyl-5-(3-Indolyl)Oxazole from Streptomyces Cinnamomeus Discovered by Chemical Screening. J. Antibiot. 1982, 35, 549–555. [Google Scholar] [CrossRef] [PubMed]
- Cowan, J.A.; Howard, J.A.K.; Leech, M.A. The 1:1 Adduct of 2,5-Dihydroxy-1,4benzoquinone with 4,4′-Bipyridine. Acta Crystallogr. Sect. C 2001, 57, 302–303. [Google Scholar] [CrossRef] [PubMed]
- Esser, L.; Otwinowski, Z.; Kim, H. 2,5-Dibromo-6-Isopropyl-3-Methyl-p-Benzoquinone. Acta Crystallogr. Sect. E Struct. Rep. Online 2002, 58, o170. [Google Scholar] [CrossRef]
- Putz, M.V.; Putz, A.M. DFT Chemical Reactivity Driven by Biological Activity: Applications for the Toxicological Fate of Chlorinated PAHs. In Applications of Density Functional Theory to Biological and Bioinorganic Chemistry; Structure and Bonding; Springer: Berlin/Heidelberg, Germany, 2013; Volume 150, pp. 181–231. [Google Scholar] [CrossRef]
- Pelkonen, O.; Pasanen, M.; Tolonen, A.; Koskinen, M.; Hakkola, J.; Abass, K.; Laine, J.; Hakkinen, M.; Juvonen, R.; Auriola, S.; et al. Reactive Metabolites in Early Drug Development: Predictive In Vitro Tools. Curr. Med. Chem. 2015, 22, 538–550. [Google Scholar] [CrossRef]
- Sandfort, F.; Strieth-Kalthoff, F.; Kühnemund, M.; Beecks, C.; Glorius, F. A Structure-Based Platform for Predicting Chemical Reactivity. Chem 2020, 6, 1379–1390. [Google Scholar] [CrossRef]
- Bhat, A.R.; Dongre, R.S.; Almalki, F.A.; Berredjem, M.; Aissaoui, M.; Touzani, R.; Hadda, T.B.; Akhter, M.S. Synthesis, Biological Activity and POM/DFT/Docking Analyses of Annulated Pyrano[2,3-d]Pyrimidine Derivatives: Identification of Antibacterial and Antitumor Pharmacophore Sites. Bioorg. Chem. 2021, 106, 104480. [Google Scholar] [CrossRef]
- Iwaniak, A.; Minkiewicz, P.; Darewicz, M.; Protasiewicz, M.; Mogut, D. Chemometrics and Cheminformatics in the Analysis of Biologically Active Peptides from Food Sources. J. Funct. Foods 2015, 16, 334–351. [Google Scholar] [CrossRef]
- Roy, D.R.; Parthasarathi, R.; Maiti, B.; Subramanian, V.; Chattaraj, P.K. Electrophilicity as a Possible Descriptor for Toxicity Prediction. Bioorg. Med. Chem. 2005, 13, 3405–3412. [Google Scholar] [CrossRef]
- Gersch, M.; Kreuzer, J.; Sieber, S.A. Electrophilic Natural Products and Their Biological Targets. Nat. Prod. Rep. 2012, 29, 659–682. [Google Scholar] [CrossRef]
- Bertoni, M.; Duran-Frigola, M.; Badia-i-Mompel, P.; Pauls, E.; Orozco-Ruiz, M.; Guitart-Pla, O.; Alcalde, V.; Diaz, V.M.; Berenguer-Llergo, A.; Brun-Heath, I.; et al. Bioactivity Descriptors for Uncharacterized Chemical Compounds. Nat. Commun. 2021, 12, 3932. [Google Scholar] [CrossRef]
- Pal, R.; Patra, S.G.; Chattaraj, P.K. Quantitative Structure–Toxicity Relationship in Bioactive Molecules from a Conceptual DFT Perspective. Pharmaceuticals 2022, 15, 1383. [Google Scholar] [CrossRef] [PubMed]
- Carrillo Cabrera, Y.; Camacho Montes, H.; Matínez Pérez, C.; Betancourt Galindo, R.; Espinosa Neira, R.; Escobedo-González, R.G.; Nicolás Vázquez, M.I.; García-Casillas, P.E. Multivitamin Complex-Loaded Electrospun Polyvinyl Alcohol Core/Shell Structure Fibers for Transdermal Delivery System: In-Silico and Experimental Studies. J. Drug Deliv. Sci. Technol. 2024, 92, 105292. [Google Scholar] [CrossRef]
- Politzer, P.; Parr, R.G. Some New Energy Formulas for Atoms and Molecules. J. Chem. Phys. 1974, 61, 4258–4262. [Google Scholar] [CrossRef]
- Politzer, P.; Laurence, P.R.; Jayasuriya, K. Molecular Electrostatic Potentials: An Effective Tool for the Elucidation of Biochemical Phenomena. Environ. Health Perspect. 1985, 61, 191. [Google Scholar] [CrossRef]
- Escobedo-González, R.G.; Moyers-Montoya, E.D.; Martínez-Pérez, C.A.; García-Casillas, P.E.; Miranda-Ruvalcaba, R.; Nicolás-Vázquez, M.I.N. In Silico Study of Novel Cyclodextrin Inclusion Complexes of Polycaprolactone and Its Correlation with Skin Regeneration. Int. J. Mol. Sci. 2023, 24, 8932. [Google Scholar] [CrossRef]
- Lagunin, A.; Filimonov, D.; Poroikov, V. Multi-Targeted Natural Products Evaluation Based on Biological Activity Prediction with PASS. Curr. Pharm. Des. 2010, 16, 1703–1717. [Google Scholar] [CrossRef]
- Lagunin, A.; Stepanchikova, A.; Filimonov, D.; Poroikov, V. PASS: Prediction of Activity Spectra for Biologically Active Substances. Bioinformatics 2000, 16, 747–748. [Google Scholar] [CrossRef]
- Escobedo-González, R.; Méndez-Albores, A.; Villareal-Barajas, T.; Aceves-Hernández, J.; Miranda-Ruvalcaba, R.; Nicolás-Vázquez, I. A Theoretical Study of 8-Chloro-9-Hydroxy-Aflatoxin B1, the Conversion Product of Aflatoxin B1 by Neutral Electrolyzed Water. Toxins 2016, 8, 225. [Google Scholar] [CrossRef]
- Polkam, N.; Ramaswamy, V.R.; Rayam, P.; Allaka, T.R.; Anantaraju, H.S.; Dharmarajan, S.; Perumal, Y.; Gandamalla, D.; Yellu, N.R.; Balasubramanian, S.; et al. Synthesis, Molecular Properties Prediction and Anticancer, Antioxidant Evaluation of New Edaravone Derivatives. Bioorg. Med. Chem. Lett. 2016, 26, 2562–2568. [Google Scholar] [CrossRef]
- Sander, T. OSIRIS Property Explorer. Available online: https://www.cheminfo.org/flavor/cheminformatics/Utility/Property_explorer/index.html (accessed on 1 July 2024).
- Cheminformatics, M. Mol Inspiration Free Web Services. Slovensky Grob, Slovakia. 2011. Available online: https://www.molinspiration.com (accessed on 7 March 2023).
- Lipinski, C.A.; Lombardo, F.; Dominy, B.W.; Feeney, P.J. Experimental and Computational Approaches to Estimate Solubility and Permeability in Drug Discovery and Development Settings. Adv. Drug Deliv. Rev. 1997, 23, 3–25. [Google Scholar] [CrossRef]
- Ertl, P.; Rohde, B.; Selzer, P. Fast Calculation of Molecular Polar Surface Area as a Sum of Fragment-Based Contributions and Its Application to the Prediction of Drug Transport Properties. J. Med. Chem. 2000, 43, 3714–3717. [Google Scholar] [CrossRef] [PubMed]
- Tariq, M.; Sirajuddin, M.; Ali, S.; Khalid, N.; Tahir, M.N.; Khan, H.; Ansari, T.M. Pharmacological Investigations and Petra/Osiris/Molinspiration (POM) Analyses of Newly Synthesized Potentially Bioactive Organotin (IV) Carboxylates. J. Photochem. Photobiol. B 2016, 158, 174–183. [Google Scholar] [CrossRef] [PubMed]
- Desiraju, G.R.; Steiner, T. The Weak Hydrogen Bond: In Structural Chemistry and Biology; Oxford University, Ed.; International Union of Crystal: New York, NY, USA, 2001; Volume 9. [Google Scholar]
- Pham The, H.; González-Álvarez, I.; Bermejo, M.; Mangas Sanjuan, V.; Centelles, I.; Garrigues, T.M.; Cabrera-Pérez, M.Á. In Silico Prediction of Caco-2 Cell Permeability by a Classification QSAR Approach. Mol. Inform. 2011, 30, 376–385. [Google Scholar] [CrossRef]
- Broccatelli, F.; Carosati, E.; Neri, A.; Frosini, M.; Goracci, L.; Oprea, T.I.; Cruciani, G. A Novel Approach for Predicting P-Glycoprotein (ABCB1) Inhibition Using Molecular Interaction Fields. J. Med. Chem. 2011, 54, 1740–1751. [Google Scholar] [CrossRef]
- Cheng, F.; Yu, Y.; Zhou, Y.; Shen, Z.; Xiao, W.; Liu, G.; Li, W.; Lee, P.W.; Tang, Y. Insights into Molecular Basis of Cytochrome P450 Inhibitory Promiscuity of Compounds. J. Chem. Inf. Model. 2011, 51, 2482–2495. [Google Scholar] [CrossRef]
- Escobar, A.; González, B.G. Blood-Brain Barrier. Neurobiology, Clinical Implications and Effects of the Stress on His Development. Rev. Mex. Neurocienc. 2008, 9, 395–405. [Google Scholar]
- Pichardo, C.O.; Garcés, R.C.; Villafranco, M.E.L.; de la Garza, M.; Arriaga-Alba, M. Estudio de Mutagenicidad y Actividad Antibacteriana de Erythrina Herbacea, Zanthoxylum Caribaeum y Dendropanax Arboreus. Rev. Mex. Ciênc. Farm. 2014, 45, 78–85. [Google Scholar]
- Deppmeier, B.J.; Driessen, A.J.; Hehre, T.S.; Hehre, W.J.; Johnson, J.A.; Klunzinger, P.E.; Leonard, J.M.; Pham, I.N.; Pietro, W.J.; Jianguo, Y.; et al. Spartan 06; Wavefunction Inc.: Irvine, CA, USA, 2006. [Google Scholar]
- Frisch, M.; Trucks, G.W.; Schlegel, H.B.; Scuseria, G.E.; Robb, M.A.; Cheeseman, J.R.; Scalmani, G.; Barone, V.; Mennucci, B.; Petersson, G.A.; et al. Gaussian 09, Revision D. 01; Gaussian, Inc.: Wallingford, CT, USA, 2009. [Google Scholar]
- Beke, A.D. Density-Functional Exchanges-Energy Approximation with Correct Asymptotic Behavior. Phys. Chem. Chem. Phys. Rev. A 1988, 38, 3098–3100. [Google Scholar] [CrossRef]
- Lee, C.; Yang, W.; Parr, R.G. Development of the Colle-Salvetti Correlation-Energy Formula into a Functional of the Electron Density. Phys. Rev. B 1988, 37, 785. [Google Scholar] [CrossRef]
- Gill, P.M.W.; Johnson, B.G.; Pople, J.A.; Frisch, M.J. The Performance of the Becke-Lee-Yang-Parr (B-LYP) Density Functional Theory with Various Basis Sets. Chem. Phys. Lett. 1992, 197, 499–505. [Google Scholar] [CrossRef]
- Becke, A.D. Density-functional Thermochemistry. III. The Role of Exact Exchange. J. Chem. Phys. 1993, 98, 5648–5652. [Google Scholar] [CrossRef]
- Becke, A.D. Density-functional Thermochemistry. IV. A New Dynamical Correlation Functional and Implications for Exact-exchange Mixing. J. Chem. Phys. 1996, 104, 1040–1046. [Google Scholar] [CrossRef]
- Krishnan, R.; Binkley, J.S.; Seeger, R.; Pople, J.A. Self-Consistent Molecular Orbital Methods. XX. A Basis Set for Correlated Wave Functions. J. Chem. Phys. 1980, 72, 650–654. [Google Scholar] [CrossRef]
- Clark, T.; Chandrasekhar, J.; Spitznagel, G.W.; Schleyer, P.V.R. Efficient Diffuse Function-Augmented Basis Sets for Anion Calculations. III. The 3-21+ G Basis Set for First-Row Elements, Li–F. J. Comput. Chem. 1983, 4, 294–301. [Google Scholar] [CrossRef]
- Hariharan, P.C.; Pople, J.A. The Influence of Polarization Functions on Molecular Orbital Hydrogenation Energies. Theor. Chim. Acta 1973, 28, 213–222. [Google Scholar] [CrossRef]
- Suresh, C.H.; Remya, G.S.; Anjalikrishna, P.K. Molecular Electrostatic Potential Analysis: A Powerful Tool to Interpret and Predict Chemical Reactivity. Wiley Interdiscip. Rev. Comput. Mol. Sci. 2022, 12, e1601. [Google Scholar] [CrossRef]
- López-Ramírez, E.; Chapa-González, C.; Martínez-Peréz, C.A.; Escobedo-González, R.; Nicolás Vázquez, M.I.; Medellín-Rodríguez, F.; García-Casillas, P.E. Citrulline Malate Transdermal Delivery through Integrating into Polyvinyl Alcohol (PVA) Nanofibers. J. Drug Deliv. Sci. Technol. 2021, 64, 102630. [Google Scholar] [CrossRef]
- Fan, J.; Fu, A.; Zhang, L. Progress in Molecular Docking. Quant. Biol. 2019, 7, 83–89. [Google Scholar] [CrossRef]
- Paggi, J.M.; Pandit, A.; Dror, R.O. The Art and Science of Molecular Docking. Annu. Rev. Biochem. 2024, 93, 389–410. [Google Scholar] [CrossRef]
- Kinoshita, T.; Nakanishi, I.; Warizaya, M.; Iwashita, A.; Kido, Y.; Hattori, K.; Fujii, T. Inhibitor-Induced Structural Change of the Active Site of Human Poly(ADP-Ribose) Polymerase. FEBS Lett. 2004, 556, 43–46. [Google Scholar] [CrossRef]
- Berman, H.M.; Westbrook, J.; Feng, Z.; Gilliland, G.; Bhat, T.N.; Weissig, H.; Shindyalov, I.N.; Bourne, P.E. The Protein Data Bank. Nucleic Acids Res. 2000, 28, 235–242. [Google Scholar] [CrossRef] [PubMed]
- Morris, G.M.; Ruth, H.; Lindstrom, W.; Sanner, M.F.; Belew, R.K.; Goodsell, D.S.; Olson, A.J. AutoDock4 and AutoDockTools4: Automated Docking with Selective Receptor Flexibility. J. Comput. Chem. 2009, 30, 2785–2791. [Google Scholar] [CrossRef] [PubMed]
- Morris, G.M.; Dallakyan, S. AutoDock—AutoDock 2011; Avada: San Diego, CA, USA, 2011. [Google Scholar]
- Ramirez-Duran, L.; Rosales-Hernandez, M.; Hernandez-Rodriguez, M.; Mendieta-Wejebe, J.E.; Trujillo-Ferrara, J.; Correa-Basurto, J. Mapping Myeloperoxidase to Identify Its Promiscuity Properties Using Docking and Molecular Dynamics Simulations. Curr. Pharm. Des. 2013, 19, 2204–2215. [Google Scholar] [CrossRef] [PubMed]
- Yang, H.; Lou, C.; Sun, L.; Li, J.; Cai, Y.; Wang, Z.; Li, W.; Liu, G.; Tang, Y. AdmetSAR. Available online: http://lmmd.ecust.edu.cn/admetsar2/about/ (accessed on 1 February 2023).
- Van De Waterbeemd, H.; Gifford, E. ADMET in Silico Modelling: Towards Prediction Paradise? Nat. Rev. Drug Discov. 2003, 2, 192–204. [Google Scholar] [CrossRef]










| Bond | Theoretical Bond Length (Å) | Experimental Bond Length (Å) | Bond | Theoretical Bond Length (Å) | Experimental Bond Length (Å) | ||
|---|---|---|---|---|---|---|---|
| IA | IB | IC | ID | ||||
| C1-O1 | 1.219 | 1.226 a | C1-O1 | 1.224 | 1.214 | 1.213 | 1.232 c |
| C1-C2 | 1.505 | 1.469 a | C1-C2 | 1.497 | 1.481 | 1.501 | 1.449 c |
| C2-C3 | 1.361 | 1.334 a | C2-C3 | 1.362 | 1.363 | 1.355 | 1.332 d |
| C3-C4 | 1.499 | 1.498 a | C3-C4 | 1.508 | 1.495 | 1.497 | 1.494 d |
| C4-C5 | 1.477 | 1.469 a | C4-C5 | 1.504 | 1.448 | 1.481 | 1.485 d |
| C4-O4 | 1.224 | 1.22 a | C4-O4 | 1.209 | 1.231 | 1.255 | 1.208 d |
| C5-C6 | 1.340 | 1.332 a | C5-C6 | 1.471 | 1.348 | 1.36 | 1.352 c |
| C6-C7 | 1.498 | 1.507 a | C3-O3 | 1.344 | 1.342 | ||
| C3-C8 | 1.520 | 1.499 a | C5-O5 | 1.337 | 1.365 | ||
| C8-C9 | 1.542 | C3-C7 | 1.502 | 1.502 d | |||
| C8-C10 | 1.544 | C6-O6 | 1.338 | 1.336 | 1.328 b | ||
| C2-C3′ | 1.476 | 1.448 b | C2-C3′ | 1.473 | 1.464 | 1.471 | 1.448 b |
| C2′-C3′ | 1.374 | 1.375 b | C2′-C3′ | 1.374 | 1.38 | 1.376 | 1.375 b |
| C2′-N | 1.377 | 1.363 b | C2′-N | 1.378 | 1.369 | 1.375 | 1.363 b |
| C9′-N | 1.382 | 1.370 b | C9′-N | 1.382 | 1.383 | 1.383 | 1.370 b |
| Parameters | IA | IB | IC | ID | |
|---|---|---|---|---|---|
| Energy (Hartrees) | Neutral | −901.580391 | −973.386146 | −894.79862 | −1012.70919 |
| Positive | −901.303741 | −973.111114 | −894.526526 | −1012.4383 | |
| Negative | −901.642824 | −973.439368 | −894.86798 | −1012.76554 | |
| Reactivity parameters | EA | −0.06243303 | −0.05322233 | −0.06936025 | −0.05634553 |
| I | 0.27665028 | 0.27503243 | 0.27209414 | 0.27089329 | |
| η | 0.16954166 | 0.16412738 | 0.17072719 | 0.16361941 | |
| μ | −0.10710862 | −0.11090505 | −0.10136695 | −0.10727388 | |
| Ω | 0.03383315 | 0.03747068 | 0.03009262 | 0.03516602 |
| Parameters | IE | IF | IG | IH | |
|---|---|---|---|---|---|
| Energy (Hartrees) | Neutral | −1172.235961 | −1172.227355 | −937.3004684 | −1012.561843 |
| Positive | −1171.968715 | −1171.955049 | −937.0257474 | −1012.285115 | |
| Negative | −1172.302376 | −1172.294128 | −937.3606764 | −1012.629042 | |
| Reactivity parameters | EA | −0.06641433 | −0.06677303 | −0.060208 | −0.067199 |
| I | 0.26724651 | 0.27230539 | 0.27472097 | 0.2767278 | |
| ηH | 0.16683042 | 0.16953921 | 0.167464485 | 0.1719634 | |
| μΜ | −0.10041609 | −0.10276618 | −0.107256485 | −0.1047644 | |
| Ω | 0.030220481 | 0.031145856 | 0.034347443 | 0.031912545 | |
| Dose | µg/mL | 40.64 | 25.06 | 41.58 | 32.28 |
| Reactivity Properties | Equation | IA Predicted IC50 | IB Predicted IC50 | IC Predicted IC50 | ID Predicted IC50 |
|---|---|---|---|---|---|
| Chemical potential | IC50 = −3681.2 µ − 353.29 | 40.998 | 54.974 | 19.862 | 41.607 |
| Electrophilicity | IC50 = 4835.2 Ω − 124.02 | 39.570 | 57.1582 | 21.484 | 46.015 |
| Activity/Molecule | Probability of Activity (Pa) | |||
|---|---|---|---|---|
| IA | IB | IC | ID | |
| Apoptosis agonist | 0.404 | 0.299 | 0.445 | 0.412 |
| Antineoplastic | 0.202 | 0.429 | 0.424 | 0.483 |
| Gluconate 2-dehydrogenase (acceptor) inhibitor | 0.578 | 0.714 | 0.916 | 0.733 |
| Acute neurologic disorders treatment | 0.502 | 0.558 | 0.809 | 0.669 |
| Ubiquinol-cytochrome-c reductase inhibitor | 0.666 | 0.522 | 0.575 | 0.579 |
| Kidney function stimulant | 0.453 | 0.444 | 0.62 | 0.443 |
| Vasodilator, peripheral | 0.474 | 0.587 | 0.46 | 0.398 |
| Fibrinolytic | 0.526 | 0.353 | 0.43 | 0.342 |
| 5-Hydroxytryptamine release stimulant | 0.292 | 0.749 | 0.72 | 0.618 |
| Kinase inhibitor | 0.364 | 0.655 | 0.743 | 0.612 |
| Properties | Molecules | ||||
|---|---|---|---|---|---|
| IA | IB | IC | ID | ||
| Toxicity Risks | Mutagenic | N | H | N | N |
| Tumorigenic | N | N | N | N | |
| Irritant | N | N | N | N | |
| reproductive effect | N | N | N | N | |
| Physicochemical Properties | clog P | 2.93 | 1.24 | 0.38 | 1.68 |
| Solubility (log S) | −3.16 | −2.6 | −2.34 | −2.72 | |
| Mol weight | 279.34 | 283.28 | 255.23 | 297.31 | |
| TPSA | 49.93 | 68.39 | 90.39 | 68.39 | |
| Drug likeness | 0.33 | 2.75 | 2.88 | 2.23 | |
| H bond acceptor | 3 | 5 | 5 | 5 | |
| H bond donor | 1 | 1 | 3 | 1 | |
| Nb stereocenters | 0 | 0 | 0 | 0 | |
| Nb rotatable bonds | 2 | 3 | 1 | 3 | |
| Drug Score | 0.73 | 0.56 | 0.94 | 0.9 | |
| Properties | Reference | IA | IB | IC | ID | |||||
|---|---|---|---|---|---|---|---|---|---|---|
| Binding Energy | −11.69 | −8.75 | −7.75 | −7.29 | −8.13 | |||||
| Ligand Efficiency | −0.42 | −0.42 | −0.37 | −0.38 | −0.37 | |||||
| Inhibition constant (μM) | 2.69 | 378.72 | 2.08 | 4.55 | 1.11 | |||||
| Intermolecular energy | −13.18 | −9.34 | −8.65 | −8.18 | −9.02 | |||||
| vander Waals, hydrogen bond, and desolvation energies | −12.77 | −9.28 | −8.56 | −7.92 | −8.99 | |||||
| Electrostatic energy | −0.41 | −0.06 | −0.09 | −0.27 | −0.03 | |||||
| Total internal | −0.66 | −0.91 | −0.76 | −1.86 | −0.81 | |||||
| Torsional energy | 1.49 | 0.6 | 0.89 | 0.89 | 0.89 | |||||
| Unbound energy | −0.66 | −0.91 | −0.76 | −1.86 | −0.81 | |||||
| Hydrogen bond number | 2 | 1 | 2 | 3 | 2 | |||||
| Type | C=O−Gly202 | C=O−Arg217 | C=O−Tyr235 | N−H−Gly202 | CH3−O−Met229 | |||||
| Distance (A°) | 2.179 | 2.021 | 1.907 | 2.148 | 2.191 | H−O−ILE234 | H−O−Asp105 | N−H−Asp109 | N−H−Gly202 | CH3−O−Met229 |
| Angle D–H–A (°) | 150.466 | 176.831 | 160.562 | 154.29 | 147.493 | 2.237 | 2.213 | 2.064 | 2.132 | 2.188 |
| Energy | −3.083 | −6.143 | −6.026 | −3.725 | −2.633 | 123.509 | 133.158 | 153.495 | 160.985 | 147.752 |
| Model | Compounds | Results | Probability | |
|---|---|---|---|---|
| Absorption | Human intestinal absorption (HIA) | IA | + | 0.9974 |
| IB | + | 0.9914 | ||
| IC | + | 0.9933 | ||
| ID | + | 0.9931 | ||
| Human Oral bioavailability (HOB) | IA | + | 0.6571 | |
| IB | + | 0.7429 | ||
| IC | + | 0.7286 | ||
| ID | + | 0.8286 | ||
| Caco-2 permeability | IA | + | 0.8133 | |
| IB | + | 0.7444 | ||
| IC | − | 0.7145 | ||
| ID | + | 0.7637 | ||
| Distribution | P-glycoprotein substrate | IA | − | 0.844 |
| IB | − | 0.7849 | ||
| IC | − | 0.8885 | ||
| ID | − | 0.9073 | ||
| P-glycoprotein inhibitor | IA | − | 0.7651 | |
| IB | − | 0.571 | ||
| IC | − | 0.9407 | ||
| ID | − | 0.6178 | ||
| Blood–brain barrier (BBB) penetration | IA | + | 0.9745 | |
| IB | + | 0.9407 | ||
| IC | + | 0.9227 | ||
| ID | + | 0.9407 |
| Models | Compound | Results | Probability | |
|---|---|---|---|---|
| Metabolism | CYP2C9 Substrate | IA | − | 0.592 |
| IB | − | 1.000 | ||
| IC | − | 0.809 | ||
| ID | − | 1.000 | ||
| CYP2D6 Substrate | IA | − | 0.869 | |
| IB | − | 0.824 | ||
| IC | − | 0.862 | ||
| ID | − | 0.853 | ||
| CYP3A4 | IA | + | 0.577 | |
| IB | + | 0.569 | ||
| IC | + | 0.558 | ||
| ID | + | 0.557 | ||
| CYP1A2 | IA | + | 0.893 | |
| IB | + | 0.821 | ||
| IC | + | 0.754 | ||
| ID | + | 0.810 | ||
| CYP2D6 | IA | − | 0.685 | |
| IB | − | 0.828 | ||
| IC | − | 0.829 | ||
| ID | − | 0.861 | ||
| CYP2C9 inhibitor | IA | + | 0.841 | |
| IB | + | 0.777 | ||
| IC | + | 0.537 | ||
| ID | + | 0.792 | ||
| Toxicity | Eye corrosion | IA | − | 0.993 |
| IB | − | 0.990 | ||
| IC | − | 0.992 | ||
| ID | − | 0.991 | ||
| Ame’s mutagenesis | IA | − | 0.580 | |
| IB | + | 0.580 | ||
| IC | − | 0.520 | ||
| ID | − | 0.540 | ||
| Carcinogenesis | IA | − | 0.932 | |
| IB | − | 0.820 | ||
| IC | − | 0.886 | ||
| ID | − | 0.932 |
Disclaimer/Publisher’s Note: The statements, opinions and data contained in all publications are solely those of the individual author(s) and contributor(s) and not of MDPI and/or the editor(s). MDPI and/or the editor(s) disclaim responsibility for any injury to people or property resulting from any ideas, methods, instructions or products referred to in the content. |
© 2024 by the authors. Licensee MDPI, Basel, Switzerland. This article is an open access article distributed under the terms and conditions of the Creative Commons Attribution (CC BY) license (https://creativecommons.org/licenses/by/4.0/).
Share and Cite
Moyers-Montoya, E.D.; Castañeda-Muñoz, M.J.; Márquez-Olivas, D.; Miranda-Ruvalcaba, R.; Martínez-Pérez, C.A.; García-Casillas, P.E.; Montejo-López, W.; Nicolás-Vázquez, M.I.; Escobedo-González, R.G. Theoretical–Cheminformatic Study of Four Indolylphytoquinones, Prospective Anticancer Candidates. Pharmaceuticals 2024, 17, 1595. https://doi.org/10.3390/ph17121595
Moyers-Montoya ED, Castañeda-Muñoz MJ, Márquez-Olivas D, Miranda-Ruvalcaba R, Martínez-Pérez CA, García-Casillas PE, Montejo-López W, Nicolás-Vázquez MI, Escobedo-González RG. Theoretical–Cheminformatic Study of Four Indolylphytoquinones, Prospective Anticancer Candidates. Pharmaceuticals. 2024; 17(12):1595. https://doi.org/10.3390/ph17121595
Chicago/Turabian StyleMoyers-Montoya, Edgar Daniel, María Jazmín Castañeda-Muñoz, Daniel Márquez-Olivas, René Miranda-Ruvalcaba, Carlos Alberto Martínez-Pérez, Perla E. García-Casillas, Wilber Montejo-López, María Inés Nicolás-Vázquez, and René Gerardo Escobedo-González. 2024. "Theoretical–Cheminformatic Study of Four Indolylphytoquinones, Prospective Anticancer Candidates" Pharmaceuticals 17, no. 12: 1595. https://doi.org/10.3390/ph17121595
APA StyleMoyers-Montoya, E. D., Castañeda-Muñoz, M. J., Márquez-Olivas, D., Miranda-Ruvalcaba, R., Martínez-Pérez, C. A., García-Casillas, P. E., Montejo-López, W., Nicolás-Vázquez, M. I., & Escobedo-González, R. G. (2024). Theoretical–Cheminformatic Study of Four Indolylphytoquinones, Prospective Anticancer Candidates. Pharmaceuticals, 17(12), 1595. https://doi.org/10.3390/ph17121595

