Nanoparticle-Delivered Transforming Growth Factor-β1 siRNA Induces PD-1 against Gastric Cancer by Transforming the Phenotype of the Tumor Immune Microenvironment
Abstract
1. Introduction
2. Results
2.1. Synthesis of the αPDL1-PEG-PCL Copolymer
2.2. Ligand Surface Density
2.3. Synthesis and Properties of TGF-β1 siRNA-Loaded NPs
2.4. Structural Stability, TGF-β1 siRNA Protection and Release from NPs In Vitro
2.5. Cell Uptake
2.6. Establishment of MFC cells Expressing TGF-β and In Vivo Efficacy Study
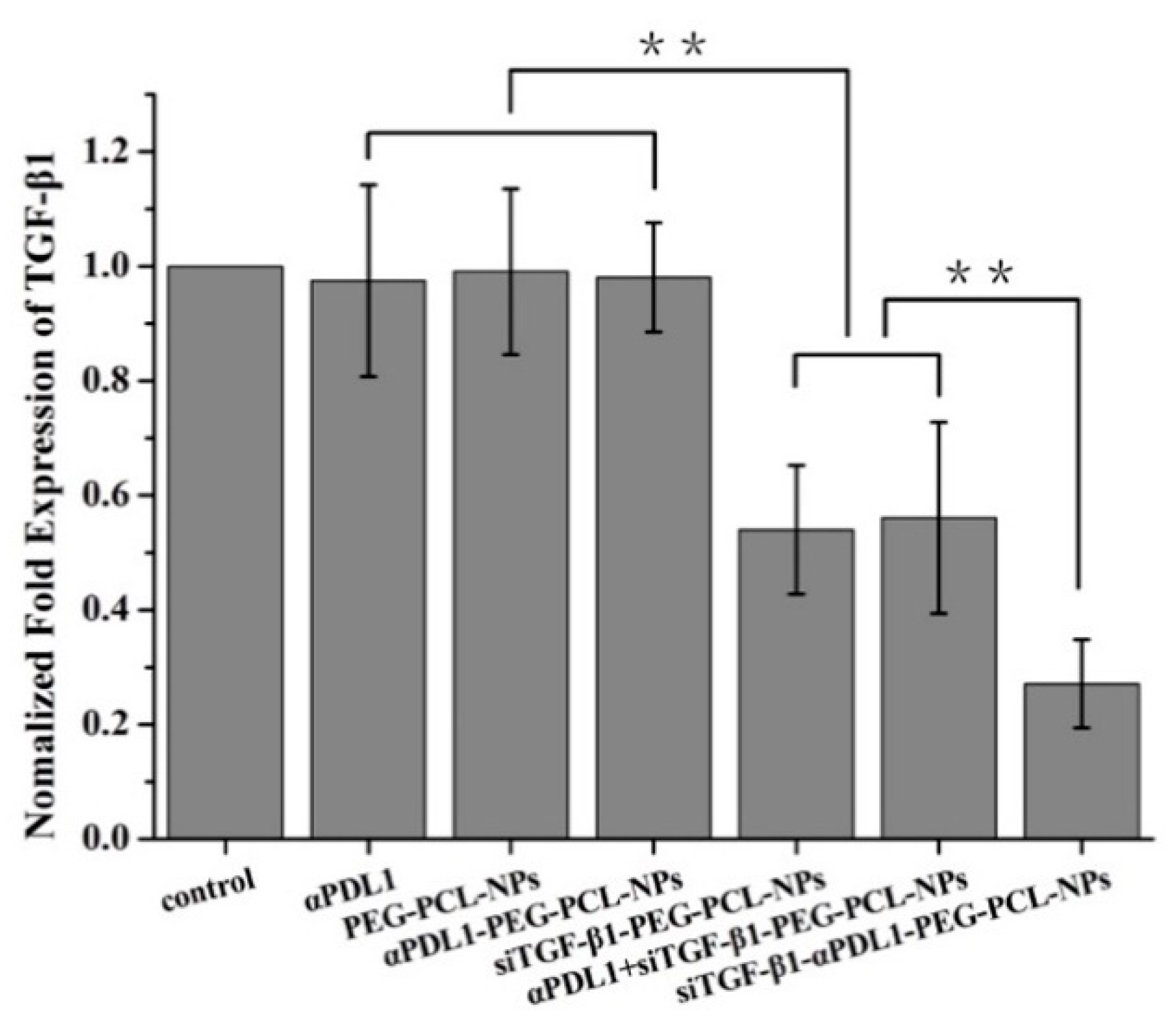
2.7. TGF-β1 Silencing and Immunological Phenotypes Changed by TGF-β1 siRNA
2.8. Correlation between TGF-β1 and Cancer-Immune Phenotypes in Gastric Cancer Tissues
3. Discussion
4. Materials and Methods
4.1. PEG-PCL and αPDL1-PEG-PCL Copolymer Production
4.2. Preparation of TGF-β1siRNA Loaded NPs
4.3. Surface Chemistry
4.4. NP Properties and Drug Loading Efficiency
4.5. Structural Stability and TGF-β1 siRNA Protection and Release from NPs In Vitro
4.6. Cell Culture
4.7. Cellular Uptake Studies
4.8. Cell Infection Procedure
4.9. Flow Cytometry
4.10. Mouse Experiments
4.11. Immunohistochemistry
4.12. Real-Time Quantitative RT-PCR (qPCR) for TGF-β1 Detection in Tumor Tissue Specimens
4.13. Clinical Research
5. Conclusions
6. Declarations
Ethics Approval and Consent to Participate
Author Contributions
Funding
Institutional Review Board Statement
Informed Consent Statement
Data Availability Statement
Conflicts of Interest
References
- Sung, H.; Ferlay, J.; Siegel, R.L.; Laversanne, M.; Soerjomataram, I.; Jemal, A.; Bray, F. Global cancer statistics 2020: GLOBOCAN estimates of incidence and mortality worldwide for 36 cancers in 185 countries. CA Cancer J. Clin. 2021, 71, 209–249. [Google Scholar] [CrossRef] [PubMed]
- Hallinan, J.T.; Venkatesh, S.K. Gastric carcinoma: Imaging diagnosis, staging and assessment of treatment response. Cancer Imaging 2013, 13, 212–227. [Google Scholar] [CrossRef] [PubMed]
- Boku, N. HER2-positive gastric cancer. Gastric Cancer 2014, 17, 1–12. [Google Scholar] [CrossRef]
- Wilke, H.; Muro, K.; Van Cutsem, E.; Oh, S.C.; Bodoky, G.; Shimada, Y.; Hironaka, S.; Sugimoto, N.; Lipatov, O.; Kim, T.Y.; et al. Ramucirumab plus paclitaxel versus placebo plus paclitaxel in patients with previously treated advanced gastric or gastro-oesophageal junction adenocarcinoma (RAINBOW): A double-blind, randomised phase 3 trial. Lancet Oncol. 2014, 15, 1224–1235. [Google Scholar] [CrossRef] [PubMed]
- Cunningham, D.; Starling, N.; Rao, S.; Iveson, T.; Nicolson, M.; Coxon, F.; Middleton, G.; Daniel, F.; Oates, J.; Norman, A.R.; et al. Capecitabine and oxaliplatin for advanced esophagogastric cancer. N. Engl. J. Med. 2008, 358, 36–46. [Google Scholar] [CrossRef] [PubMed]
- Cancer immunotherapy: Dual action of targeted T cells. Nature 2016, 538, 8–9. [CrossRef] [PubMed][Green Version]
- Wherry, E.J. T cell exhaustion. Nat. Immunol. 2011, 12, 492–499. [Google Scholar] [CrossRef] [PubMed]
- Pardoll, D.M. The blockade of immune checkpoints in cancer immunotherapy. Nat. Rev. Cancer 2012, 12, 252–264. [Google Scholar] [CrossRef] [PubMed]
- Boussiotis, V.A. Molecular and Biochemical Aspects of the PD-1 Checkpoint Pathway. N. Engl. J. Med. 2016, 375, 1767–1778. [Google Scholar] [CrossRef] [PubMed]
- Robert, C.; Long, G.V.; Brady, B.; Dutriaux, C.; Maio, M.; Mortier, L.; Hassel, J.C.; Rutkowski, P.; McNeil, C.; Kalinka-Warzocha, E.; et al. Nivolumab in previously untreated melanoma without BRAF mutation. N. Engl. J. Med. 2015, 372, 320–330. [Google Scholar] [CrossRef]
- Topalian, S.L.; Hodi, F.S.; Brahmer, J.R.; Gettinger, S.N.; Smith, D.C.; McDermott, D.F.; Powderly, J.D.; Carvajal, R.D.; Sosman, J.A.; Atkins, M.B.; et al. Safety, activity, and immune correlates of anti-PD-1 antibody in cancer. N. Engl. J. Med. 2012, 366, 2443–2454. [Google Scholar] [CrossRef] [PubMed]
- Pickup, M.; Novitskiy, S.; Moses, H.L. The roles of TGFbeta in the tumour microenvironment. Nat. Rev. Cancer 2013, 13, 788–799. [Google Scholar] [CrossRef] [PubMed]
- Lin, R.L.; Zhao, L.J. Mechanistic basis and clinical relevance of the role of transforming growth factor-beta in cancer. Cancer Biol. Med. 2015, 12, 385–393. [Google Scholar] [CrossRef] [PubMed]
- Calon, A.; Lonardo, E.; Berenguer-Llergo, A.; Espinet, E.; Hernando-Momblona, X.; Iglesias, M.; Sevillano, M.; Palomo-Ponce, S.; Tauriello, D.V.; Byrom, D.; et al. Stromal gene expression defines poor-prognosis subtypes in colorectal cancer. Nat. Genet. 2015, 47, 320–329. [Google Scholar] [CrossRef]
- Patil, A.S.; Sable, R.B.; Kothari, R.M. An update on transforming growth factor-beta (TGF-beta): Sources, types, functions and clinical applicability for cartilage/bone healing. J. Cell Physiol. 2011, 226, 3094–3103. [Google Scholar] [CrossRef]
- Chen, D.S.; Mellman, I. Elements of cancer immunity and the cancer-immune set point. Nature 2017, 541, 321–330. [Google Scholar] [CrossRef]
- Mariathasan, S.; Turley, S.J.; Nickles, D.; Castiglioni, A.; Yuen, K.; Wang, Y.; Kadel, E.E., III; Koeppen, H.; Astarita, J.L.; Cubas, R.; et al. TGFbeta attenuates tumour response to PD-L1 blockade by contributing to exclusion of T cells. Nature 2018, 554, 544–548. [Google Scholar] [CrossRef]
- Ordikhani, F.; Uehara, M.; Kasinath, V.; Dai, L.; Eskandari, S.K.; Bahmani, B.; Yonar, M.; Azzi, J.R.; Haik, Y.; Sage, P.T.; et al. Targeting antigen-presenting cells by anti-PD-1 nanoparticles augments antitumor immunity. JCI Insight 2018, 3, e122700. [Google Scholar] [CrossRef]
- Liu, Y.; Li, K.; Liu, B.; Feng, S.-S. A strategy for precision engineering of nanoparticles of biodegradable copolymers for quantitative control of targeted drug delivery. Biomaterials 2010, 31, 9145–9155. [Google Scholar] [CrossRef]
- Haun, J.B.; Devaraj, N.K.; Hilderbrand, S.A.; Lee, H.; Weissleder, R. Bioorthogonal chemistry amplifies nanoparticle binding and enhances the sensitivity of cell detection. Nat. Nanotechnol. 2010, 5, 660–665. [Google Scholar] [CrossRef]
- Zhang, Y.; Hughes, K.R.; Raghani, R.M.; Ma, J.; Orbach, S.; Jeruss, J.S.; Shea, L.D. Cargo-free immunomodulatory nanoparticles combined with anti-PD-1 antibody for treating metastatic breast cancer. Biomaterials 2021, 269, 120666. [Google Scholar] [CrossRef] [PubMed]
- Wu, F.L.; Zhang, J.; Li, W.; Bian, B.X.; Hong, Y.D.; Song, Z.Y.; Wang, H.Y.; Cui, F.B.; Li, R.T.; Liu, Q.; et al. Enhanced antiproliferative activity of antibody-functionalized polymeric nanoparticles for targeted delivery of anti-miR-21 to HER2 positive gastric cancer. Oncotarget 2017, 8, 67189–67202. [Google Scholar] [CrossRef] [PubMed]
- Iyer, A.K.; Khaled, G.; Fang, J.; Maeda, H. Exploiting the enhanced permeability and retention effect for tumor targeting. Drug Discov. Today 2006, 11, 812–818. [Google Scholar] [CrossRef]
- Castel, S.E.; Martienssen, R.A. RNA interference in the nucleus: Roles for small RNAs in transcription, epigenetics and beyond. Nat. Rev. Genet. 2013, 14, 100–112. [Google Scholar] [CrossRef] [PubMed]
- Ozcan, G.; Ozpolat, B.; Coleman, R.L.; Sood, A.K.; Lopez-Berestein, G. Preclinical and clinical development of siRNA-based therapeutics. Adv. Drug Deliv. Rev. 2015, 87, 108–119. [Google Scholar] [CrossRef] [PubMed]
- Morrissey, D.V.; Lockridge, J.A.; Shaw, L.; Blanchard, K.; Jensen, K.; Breen, W.; Hartsough, K.; Machemer, L.; Radka, S.; Jadhav, V.; et al. Potent and persistent in vivo anti-HBV activity of chemically modified siRNAs. Nat. Biotechnol. 2005, 23, 1002–1007. [Google Scholar] [CrossRef] [PubMed]
- Davis, M.E.; Zuckerman, J.E.; Choi, C.H.; Seligson, D.; Tolcher, A.; Alabi, C.A.; Yen, Y.; Heidel, J.D.; Ribas, A. Evidence of RNAi in humans from systemically administered siRNA via targeted nanoparticles. Nature 2010, 464, 1067–1070. [Google Scholar] [CrossRef]
- Whitehead, K.A.; Langer, R.; Anderson, D.G. Knocking down barriers: Advances in siRNA delivery. Nat. Rev. Drug Discov. 2009, 8, 129–138. [Google Scholar] [CrossRef]
- Li, M.O.; Wan, Y.Y.; Sanjabi, S.; Robertson, A.K.; Flavell, R.A. Transforming growth factor-beta regulation of immune responses. Annu. Rev. Immunol. 2006, 24, 99–146. [Google Scholar] [CrossRef]
- Aoki, C.A.; Borchers, A.T.; Li, M.; Flavell, R.A.; Bowlus, C.L.; Ansari, A.A.; Gershwin, M.E. Transforming growth factor beta (TGF-beta) and autoimmunity. Autoimmun. Rev. 2005, 4, 450–459. [Google Scholar] [CrossRef]
- Holmdahl, R.; Bockermann, R.; Backlund, J.; Yamada, H. The molecular pathogenesis of collagen-induced arthritis in mice--a model for rheumatoid arthritis. Ageing Res. Rev. 2002, 1, 135–147. [Google Scholar] [CrossRef] [PubMed]
- Mitchell, M.J.; Billingsley, M.M.; Haley, R.M.; Wechsler, M.E.; Peppas, N.A.; Langer, R. Engineering precision nanoparticles for drug delivery. Nat. Rev. Drug Discov. 2021, 20, 101–124. [Google Scholar] [CrossRef] [PubMed]
- Das, M.; Mohanty, C.; Sahoo, S.K. Ligand-based targeted therapy for cancer tissue. Expert Opin. Drug Deliv. 2009, 6, 285–304. [Google Scholar] [CrossRef]
- Matsumura, Y.; Maeda, H. A new concept for macromolecular therapeutics in cancer chemotherapy: Mechanism of tumoritropic accumulation of proteins and the antitumor agent smancs. Cancer Res. 1986, 46, 6387–6392. [Google Scholar] [PubMed]
- Yu, B.; Zhao, X.; Lee, L.J.; Lee, R.J. Targeted delivery systems for oligonucleotide therapeutics. AAPS J. 2009, 11, 195–203. [Google Scholar] [CrossRef] [PubMed]
- Cuellar, T.L.; Barnes, D.; Nelson, C.; Tanguay, J.; Yu, S.F.; Wen, X.; Scales, S.J.; Gesch, J.; Davis, D.; van Brabant Smith, A.; et al. Systematic evaluation of antibody-mediated siRNA delivery using an industrial platform of THIOMAB-siRNA conjugates. Nucleic. Acids Res. 2015, 43, 1189–1203. [Google Scholar] [CrossRef]
- Kang, Y.K.; Boku, N.; Satoh, T.; Ryu, M.H.; Chao, Y.; Kato, K.; Chung, H.C.; Chen, J.S.; Muro, K.; Kang, W.K.; et al. Nivolumab in patients with advanced gastric or gastro-oesophageal junction cancer refractory to, or intolerant of, at least two previous chemotherapy regimens (ONO-4538-12, ATTRACTION-2): A randomised, double-blind, placebo-controlled, phase 3 trial. Lancet 2017, 390, 2461–2471. [Google Scholar] [CrossRef]
- Sharma, P.; Allison, J.P. Immune checkpoint targeting in cancer therapy: Toward combination strategies with curative potential. Cell 2015, 161, 205–214. [Google Scholar] [CrossRef]
- Hegde, P.S.; Karanikas, V.; Evers, S. The Where, the When, and the How of Immune Monitoring for Cancer Immunotherapies in the Era of Checkpoint Inhibition. Clin. Cancer Res. 2016, 22, 1865–1874. [Google Scholar] [CrossRef]
- Liu, Q.; Li, R.T.; Qian, H.Q.; Wei, J.; Xie, L.; Shen, J.; Yang, M.; Qian, X.P.; Yu, L.X.; Jiang, X.Q.; et al. Targeted delivery of miR-200c/DOC to inhibit cancer stem cells and cancer cells by the gelatinases-stimuli nanoparticles. Biomaterials 2013, 34, 7191–7203. [Google Scholar] [CrossRef]
- Livak, K.J.; Schmittgen, T.D. Analysis of relative gene expression data using real-time quantitative PCR and the 2(-Delta Delta C(T)) Method. Methods 2001, 25, 402–408. [Google Scholar] [CrossRef] [PubMed]









| PEG-PCL to-αPDL1 Ratio (% w/w) | αPDL1 Content (% w/w) a |
|---|---|
| 20 | 2.1 ± 0.06 |
| 40 | 14.6 ± 0.15 |
| 60 | 27.4 ± 0.26 |
| 80 | 25.6 ± 0.19 |
| Nanoparticles | Diameters (nm) a | Polydispersity a | Zeta Potential (mV) a | siTGF-β1 DLC (%) b siTGF-β1 EE (%) c | αPDL1 Content (% w/w) |
|---|---|---|---|---|---|
| PEG-PCL-NPs | 179.7 ± 5.6 | 0.183 ± 0.059 | −8.77 ± 1.24 | - | - |
| siTGF-β1-PEG–PCL-NPs | 201.8 ± 3.7 | 0.207 ± 0.09 | −8.96 ± 1.02 | 0.12 ± 0.012 50.22 ± 4.3% | - |
| αPDL1-PEG-PCL-NPs | 188.9 ± 6.2 | 0.199 ± 0.063 | −8.74 ± 1.07 | 5.83 ± 0.21% | |
| siTGF-β1-αPDL1-PEG-PCL-NPs | 210.5 ± 8.7 | 0.281 ± 0.075 | −9.83 ± 1.33 | 0.14 ± 0.009 58.3± 4.4%. | 4.92 ± 0.55% |
| Variable (IOD) a | MKN45 b | MFC b | p |
|---|---|---|---|
| Rhodamine B (αPDL1-PEG-PCL-NPs) | 54,311 ± 451.1 | 961,312 ± 593.6 | <0.001 * |
| FAM (αPDL1-PEG-PCL-NPs) | 42,113 ± 550.3 | 741,295 ± 491.2 | <0.001 * |
| Immune Phenotypes | Number (%) | TGF-β | p | ||||
|---|---|---|---|---|---|---|---|
| − | + | ++ | +++ | ||||
| immune-inflamed | 28 (33.3) | 11 | 4 | 9 | 4 | 0.2098 p > 0.05 | 0.0009 p < 0.05 |
| immune-excluded | 43 (51.2) | 5 | 3 | 14 | 21 | 0.0434 p < 0.05 | |
| immune-desert | 13 (15.5) | 4 | 2 | 5 | 2 | 0.3709 p > 0.05 | |
| Oligonucleotide Sequences for miRNA Modulation | |
|---|---|
| Primer used for q-pcr TGF-β1-siRNAs forward TGF-β1-siRNAs reverse TGF-β1 forward TGF-β1 reverse GAPDH forward GAPDH reverse | 5′-GCAACAACGCCAUCUAUGATT-3′ 5′-GCAACAACGCCAUCUAUGATT-3′ 5′-CTAAGGCGAAAGCCCTCAAT-3 5′-TGCACCAC CAACTGCTTAGC-3 5′-TGCACCACCAACTGCTTAGC-3 5′-GGCATGGACTGTGGTCATGAG-3 |
Publisher’s Note: MDPI stays neutral with regard to jurisdictional claims in published maps and institutional affiliations. |
© 2022 by the authors. Licensee MDPI, Basel, Switzerland. This article is an open access article distributed under the terms and conditions of the Creative Commons Attribution (CC BY) license (https://creativecommons.org/licenses/by/4.0/).
Share and Cite
Wu, F.; Xu, X.; Li, W.; Hong, Y.; Lai, H.; Zhang, J.; Wu, X.; Zhou, K.; Hu, N. Nanoparticle-Delivered Transforming Growth Factor-β1 siRNA Induces PD-1 against Gastric Cancer by Transforming the Phenotype of the Tumor Immune Microenvironment. Pharmaceuticals 2022, 15, 1487. https://doi.org/10.3390/ph15121487
Wu F, Xu X, Li W, Hong Y, Lai H, Zhang J, Wu X, Zhou K, Hu N. Nanoparticle-Delivered Transforming Growth Factor-β1 siRNA Induces PD-1 against Gastric Cancer by Transforming the Phenotype of the Tumor Immune Microenvironment. Pharmaceuticals. 2022; 15(12):1487. https://doi.org/10.3390/ph15121487
Chicago/Turabian StyleWu, Fenglei, Xiujuan Xu, Wei Li, Yidong Hong, Huan Lai, Jingzhou Zhang, Xueyu Wu, Kangjie Zhou, and Nan Hu. 2022. "Nanoparticle-Delivered Transforming Growth Factor-β1 siRNA Induces PD-1 against Gastric Cancer by Transforming the Phenotype of the Tumor Immune Microenvironment" Pharmaceuticals 15, no. 12: 1487. https://doi.org/10.3390/ph15121487
APA StyleWu, F., Xu, X., Li, W., Hong, Y., Lai, H., Zhang, J., Wu, X., Zhou, K., & Hu, N. (2022). Nanoparticle-Delivered Transforming Growth Factor-β1 siRNA Induces PD-1 against Gastric Cancer by Transforming the Phenotype of the Tumor Immune Microenvironment. Pharmaceuticals, 15(12), 1487. https://doi.org/10.3390/ph15121487
