Tackling Stereochemistry in Drug Molecules with Vibrational Optical Activity
Abstract
:1. Introduction
2. Vibrational Optical Activity
2.1. Theory
2.2. Instrumentation
2.3. Practical Experimental Considerations
2.3.1. VCD Measurements
2.3.2. ROA Measurements
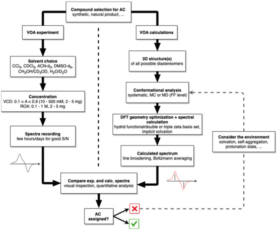
2.4. Computational Workflow for AC Determination
3. Application Examples
3.1. VCD Example
3.2. ROA Example
3.3. VCD + ROA Examples
3.3.1. Galantamine
3.3.2. Artemisinin and Derivatives
3.4. ROA Examples on Biologics
3.4.1. α-Synuclein in Different Environments
3.4.2. Diagnostics by Means of ROA
4. Conclusions
Author Contributions
Funding
Institutional Review Board Statement
Informed Consent Statement
Data Availability Statement
Conflicts of Interest
References
- Cushny, A.R. Biological relations of optically isomeric substances. Nature 1927, 120, 152. [Google Scholar] [CrossRef]
- Easson, L.H.; Stedman, E. Studies on the relationship between chemical constitution and physiological action. V. Molecular dissymmetry and physiological activity. Biochem. J. 1933, 27, 1257–1266. [Google Scholar] [CrossRef]
- Pfeiffer, C.C. Optical isomerism and pharmacological action, a generalization. Science 1956, 124, 29–31. [Google Scholar] [CrossRef] [PubMed]
- Hutt, A.J.; Tan, S.C. Drug chirality and its clinical significance. Drugs 1996, 52, 1–12. [Google Scholar] [CrossRef] [PubMed]
- Tomaszewski, J.; Rumore, M.M. Stereoisomeric drugs: FDA’s policy statement and the impact on drug development. Drug Dev. Ind. Pharm. 1994, 20, 119–139. [Google Scholar] [CrossRef]
- Núñez, M.C.; García-Rubiño, M.E.; Conejo-García, A.; Cruz-López, O.; Kimatrai, M.; Gallo, M.A.; Espinosa, A.; Campos, J.M. Homochiral drugs: A demanding tendency of the pharmaceutical industry. Curr. Med. Chem. 2009, 16, 2064–2074. [Google Scholar] [CrossRef] [PubMed]
- Hutt, A.J. Chirality and pharmacokinetics: An area of neglected dimensionality? Drug Metabol. Drug Interact. 2007, 22, 79–112. [Google Scholar] [CrossRef] [PubMed]
- Coelho, M.M.; Fernandes, C.; Remião, F.; Tiritan, M.E. Enantioselectivity in drug pharmacokinetics and toxicity: Pharmacological relevance and analytical methods. Molecules 2021, 26, 3113. [Google Scholar] [CrossRef] [PubMed]
- Čižmáriková, R.; Čižmárik, J.; Valentová, J.; Habala, L.; Markuliak, M. Chiral aspects of local anesthetics. Molecules 2020, 25, 2738. [Google Scholar] [CrossRef] [PubMed]
- Vashistha, V.K.; Kumar, A. Stereochemical facets of clinical β-blockers: An overview. Chirality 2020, 32, 722–735. [Google Scholar] [CrossRef]
- Zhou, Y.; Wu, S.; Zhou, H.; Huang, H.; Zhao, J.; Deng, Y.; Wang, H.; Yang, Y.; Yang, J.; Luo, L. Chiral pharmaceuticals: Environment sources, potential human health impacts and future perspective. Environ. Int. 2018, 121, 523–537. [Google Scholar] [CrossRef] [PubMed]
- US Food & Drug Administration. Development of New Stereoisomeric Drugs. Available online: https://www.fda.gov/regulatory-information/search-fda-guidance-documents/development-new-stereoisomeric-drugs (accessed on 4 July 2021).
- Brooks, W.H.; Guida, W.C.; Daniel, K.G. The significance of chirality in drug design and development. Curr. Top. Med. Chem. 2011, 11, 760–770. [Google Scholar] [CrossRef] [PubMed]
- Calcaterra, A.; D’Acquarica, I. The market of chiral drugs: Chiral switches versus de novo enantiomerically pure compounds. J. Pharm. Biomed. Anal. 2018, 147, 323–340. [Google Scholar] [CrossRef] [PubMed]
- Abram, M.; Jakubiec, M.; Kamiński, K. Chirality as an important factor for the development of new antiepileptic drug. ChemMedChem 2019, 14, 1744–1761. [Google Scholar] [CrossRef]
- Agranat, I.; Caner, H.; Caldwell, J. Putting chirality to work: The strategy of chiral switches. Nat. Rev. Drug Discov. 2002, 1, 753–768. [Google Scholar] [CrossRef]
- Wesolowski, S.S.; Pivonka, D.E. A rapid alternative to X-ray crystallography for chiral determination: Case studies of vibrational circular dichroism (VCD) to advance drug discovery projects. Bioorg. Med. Chem. Lett. 2013, 23, 4019–4025. [Google Scholar] [CrossRef] [PubMed] [Green Version]
- Tranter, G.E.; Le Pevelen, D.D. Chiroptical spectroscopy and the validation of crystal structure stereochemical assignments. J. Tetrahedron Asymmetry 2017, 28, 1192–1198. [Google Scholar] [CrossRef]
- Nafie, L.A.; McConnel, O.; Minick, D.; Kellenbach, E.; He, Y.; Wang, B.; Dukor, R.K.; Bartberger, M.D. Vibrational circular dichroism as a new technology for determining the absolute configuration, conformation, and enantiomeric purity of chiral pharmaceutical ingredients. Phamacop. Forum 2013, 39, 311–452. [Google Scholar]
- Holzwarth, G.; Hsu, E.C.; Mosher, H.S.; Faulkner, T.R.; Moscowitz, A. Infrared circular dichroism of carbon-hydrogen and carbon-deuterium stretching modes. Observations. J. Am. Chem. Soc. 1974, 96, 251–252. [Google Scholar] [CrossRef]
- Nafie, L.A.; Cheng, J.C.; Stephens, P.J. Vibrational circular dichroism of 2,2,2-trifluoro-1-phenylethanol. J. Am. Chem. Soc. 1975, 97, 3842–3843. [Google Scholar] [CrossRef]
- Barron, L.D.; Bogaard, M.P.; Buckingham, A.D. Raman scattering of circularly polarized light by optically active molecules. J. Am. Chem. Soc. 1973, 95, 603–605. [Google Scholar] [CrossRef]
- Merten, C.; Golub, T.P.; Kreienborg, N.M. Absolute configurations of synthetic molecular scaffolds from vibrational CD spectrsocopy. J. Org. Chem. 2019, 84, 8797–8814. [Google Scholar] [CrossRef]
- Keiderling, T.A. Structure of condensed phase peptides: Insights from vibrational circular dichroism and Raman optical activity techniques. Chem. Rev. 2020, 120, 3381–3419. [Google Scholar] [CrossRef]
- Nafie, L.A. Vibrational optical activity: From discovery and development to future challenges. Chirality 2020, 32, 667–692. [Google Scholar] [CrossRef]
- Polavarapu, P.L.; Cholli, A.L.; Vernice, G. Absolute configuration of isoflurane. J. Am. Chem. Soc. 1992, 114, 10953–10955. [Google Scholar] [CrossRef]
- Polavarapu, P.L. Determination of the absolute configuration of chiral drugs using chiroptical spectroscopy. Molecules 2016, 21, 1056. [Google Scholar] [CrossRef] [PubMed] [Green Version]
- Nafie, L.A. Vibrational Optical Activity—Principles and Applications, 1st ed.; John Wiley & Sons Ltd.: Chichester, UK, 2011; p. 378. [Google Scholar]
- Hug, W.; Hangartner, G. A novel high-throughput Raman spectrometer for polarization difference measurements. J. Raman Spectrosc. 1999, 30, 841–852. [Google Scholar] [CrossRef]
- Tatarkovič, M.; Synytsya, A.; Šťovíčková, L.; Bunganič, B.; Miškovičová, M.; Petruželka, L.; Setnička, V. The minimizing of fluorescence background in Raman optical activity and Raman spectra of human blood plasma. Anal. Bioanal. Chem. 2015, 407, 1335–1342. [Google Scholar] [CrossRef]
- Hug, W. Virtual enantiomers as the solution of optical activity’s deterministic offset problem. Appl. Spectrosc. 2003, 57, 1–13. [Google Scholar] [CrossRef]
- Boelens, H.F.M.; Dijkstra, R.J.; Eilers, P.H.C.; Fitzpatrick, F.; Westerhuis, J.A. New background correction method for liquid chromatography with diode array detection, infrared spectroscopic detection and Raman spectroscopic detection. J. Chromatogr. A 2004, 1057, 21–30. [Google Scholar] [CrossRef] [PubMed]
- Zuber, G.; Hug, W. Rarefield Basis Sets for the Calculation of Optical Tensors. 1. The Importance of Gradients on Hydrogen Atoms for the Raman Scattering Tensor. J. Phys. Chem. A 2004, 108, 2108–2118. [Google Scholar] [CrossRef]
- Bouř, P.; Sopková, J.; Berdnárová, L.; Maloň, P.; Keiderling, T.A. Transfer of molecular property tensors in Cartesian coordinates: A new algorithm for simulation of vibrational spectra. J. Comput. Chem. 1999, 18, 646–659. [Google Scholar] [CrossRef]
- Mayhall, N.J.; Raghavachari, K. Molecules-in-moleucules: An extrapolated fragment-based approach for accurate calculations on large molecules and materials. J. Chem. Theory Comput. 2011, 7, 1336–1343. [Google Scholar] [CrossRef] [PubMed]
- Debie, E.; De Gussem, E.; Dukor, R.K.; Herrebout, W.; Nafie, L.A.; Bultinck, P. A Confidence Level Algorithm for the Determination of Absolute Configuration Using Vibrational Circular Dichroism or Raman Optical Activity. ChemPhysChem 2011, 12, 1542–1549. [Google Scholar] [CrossRef] [Green Version]
- Polavarapu, P.L.; Covington, C.L. Comparison of experimental and calculated chiroptical spectra for chiral molecular structure determination. Chirality 2014, 26, 539–552. [Google Scholar] [CrossRef]
- Vandenbussche, J.; Bultinck, P.; Przybył, A.K.; Herrebout, W.A. Statistical Validation of Absolute Configuration Assignment in Vibrational Optical Activity. J. Chem. Theory Comput. 2013, 9, 5504–5512. [Google Scholar] [CrossRef] [PubMed]
- Böselt, L.; Sidler, D.; Kittelmann, T.; Stohner, J.; Zindel, D.; Wagner, T.; Riniker, S. Determination of Absolute Stereochemistry of Flexible Determination of Absolute Stereochemistry of Flexible Alignment Algorithm. J. Chem. Inf. Model. 2019, 59, 1826–1838. [Google Scholar] [CrossRef]
- Merten, C. Vibrational oprical activity as a probe for intermolecular interactions. Phys. Chem. Chem. Phys. 2017, 19, 18803–18812. [Google Scholar] [CrossRef]
- Bünnemann, K.; Pollok, C.H.; Merten, C. Explicit solvation of carboxylic acids for VCD studies: Limiting the computational efforts without loosing accuracy. J. Phys. Chem. B 2018, 122, 8056–8064. [Google Scholar] [CrossRef]
- Weirich, L.; Oliveira, J.M.; Merten, C. How many solvent molecules are required to solvate chiral 1,2-diols with hydrogen bonding solvents? A VCD spectroscopic study. Phys. Chem. Chem. Phys. 2020, 22, 1525–1533. [Google Scholar] [CrossRef]
- Weirich, L.; Blanke, K.; Merten, C. More complex, less complicated? Explicit solvantion of hydroxyl groups for the analysis of VCD spectra. Phys. Chem. Chem. Phys. 2020, 22, 12515–12523. [Google Scholar] [CrossRef]
- Aerts, R.; Vanhove, J.; Herrebout, W.; Johannessen, C. Paving the way to conformationally unravel complex glycopeptide antibiotics by means or Raman optical activity. Chem. Sci. 2021, 12, 5952–5964. [Google Scholar] [CrossRef]
- Demarque, D.P.; Heinrich, S.; Schulz, F.; Merten, C. Sensitivity of VCD spectroscopy for small structural and stereochemical changes of macrolide antibiotics. Chem. Commun. 2020, 56, 10926–10929. [Google Scholar] [CrossRef]
- Profant, V.; Jegorov, A.; Bouř, P.; Baumruk, V. Absolute configuration determination of a taxol precursor based on Raman optical activity spectra. J. Phys. Chem. B 2017, 121, 1544–1551. [Google Scholar] [CrossRef]
- Saville, M.W.; Lietzau, J.; Pluda, J.M.; Wilson, W.H.; Humphrey, R.W.; Feigel, E.; Steinberg, S.M.; Broder, S.; Yarchoan, R.; Odom, J.; et al. Treatment of HIV-associated Kaposi’s sarcoma with paclitaxel. Lancet 1995, 346, 26–28. [Google Scholar] [CrossRef] [Green Version]
- Holton, R.A.; Kim, H.B.; Somoza, C.; Liang, F.; Biediger, R.J.; Boatman, P.D.; Shindo, M.; Smith, C.C.; Kim, S. First total synthesis of taxol. 2. Completion of the C and D rings. J. Am. Chem. Soc. 1994, 116, 1599–1600. [Google Scholar] [CrossRef]
- Nicolaou, K.C.; Yang, Z.; Liu, J.J.; Ueno, H.; Nantermet, P.G.; Guy, R.K.; Claiborne, C.F.; Renaud, J.; Couladouros, E.A.; Paulvannan, K.; et al. Total Synthesis of taxol. Nature 1994, 367, 630–634. [Google Scholar] [CrossRef]
- Ojima, I.; Habus, I.; Zhao, M.; Zucco, M.; Park, Y.H.; Sun, C.M.; Brigaud, T. New and efficient approaches to the semisynthesis of taxol and its C-13 side chain analogs by means of β-Lactam synthon method. Tetrahedron 1992, 48, 6985–7012. [Google Scholar] [CrossRef]
- De Gussem, E.; Tehrani, K.A.; Herrebout, W.A.; Bultinck, P.; Johannessen, C. Comparative study of the vibrational optical activity techniques in structure elucidation: The case of galantamine. ACS Omega 2019, 4, 14133–14139. [Google Scholar] [CrossRef] [PubMed] [Green Version]
- Fang, L.; Gou, S.; Fang, X.; Cheng, L.; Fleck, C. Current progresses of novel natural products and their derivatives/ analogs as anti-Alzheimer candidates: An update. Mini Rev. Med. Chem. 2013, 13, 870–887. [Google Scholar] [CrossRef] [PubMed]
- Fridlender, M.; Kapulnik, Y.; Koltai, H. Plant derived substances with anti-cancer activity: From folklore to practice. Front. Plant Sci. 2015, 6, 799. [Google Scholar] [CrossRef]
- Hao, G.; Zhang, Q. Progress of medicinal plant-derived active substances for Alzheimer’s disease. Drugs Future 2015, 40, 443–466. [Google Scholar] [CrossRef]
- Libro, R.; Giacoppo, S.; Soundara Rajan, T.; Bramanti, P.; Mazzon, E. Natural phytochemicals in the treatment and prevention of dementia: An overview. Molecules 2016, 21, 518. [Google Scholar] [CrossRef] [Green Version]
- Agatonovic-Kustrin, S.; Kettle, C.; Morton, D.W. A molecular approach in drug development for Alzheimer’s disease. Biomed. Pharmacother. 2018, 106, 553–565. [Google Scholar] [CrossRef]
- Zhang, Y.; Poopari, M.R.; Cai, X.; Savin, A.; Dezhahang, Z.; Cheramy, J.; Xu, Y. IR and vibrational circular dichroism spectroscopy of matrine- and artemisinin-type herbal products: Stereochemical characterization and solvent effects. J. Nat. Prod. 2016, 79, 1012–1023. [Google Scholar] [CrossRef] [PubMed]
- Bogaerts, J.; Desmet, F.; Aerts, R.; Bultinck, P.; Herrebout, W.; Johannessen, C. A combined Raman optical activity and vibrational circular dichroism study on artemisinin-type products. Phys. Chem. Chem. Phys. 2020, 22, 18014–18024. [Google Scholar] [CrossRef] [PubMed]
- World Health Organization. WHO Guidelines for Malaria, 13 July 2021; World Health Organization: Geneva, Switzerland, 2021. [Google Scholar]
- The Nobel Prize. Available online: http://www.nobelprize.org/nobel_prizes/medicine/laureates/2015/press.html (accessed on 27 July 2021).
- Wang, Z.; Yang, L.; Yang, X.; Zhang, X. Advances in the chemical synthesis of artemisinin. Synth. Commun. 2014, 44, 1987–2003. [Google Scholar] [CrossRef]
- Corsello, M.A.; Garg, N.K. Synthetic chemistry fuels interdisciplinary approaches to the production of artemisinin. Nat. Prod. Rep. 2015, 32, 359–366. [Google Scholar] [CrossRef] [PubMed]
- Hecht, L.; Barron, L.D.; Hug, W. Vibrational Raman optical activity in backscattering. Chem. Phys. Lett. 1989, 158, 341–344. [Google Scholar] [CrossRef]
- Barron, L.D.; Hecht, L.; Hug, W.; MacIntosh, M.J. Backscattered Raman optical activity with a CCD detector. J. Am. Chem. Soc. 1989, 111, 8731–8732. [Google Scholar] [CrossRef]
- Hecht, L.; Che, D.; Nafie, L.A. A new scattered circular polarization Raman optical activity instrument equipped with a charge-coupled-device detector. Appl. Spectrosc. 1991, 45, 18–25. [Google Scholar] [CrossRef]
- Barron, L.D.; Gargaro, A.R.; Wen, Z.Q. Vibrational Raman optical activity of peptides and proteins. J. Chem. Soc. Chem. Commun. 1990, 15, 1034–1036. [Google Scholar] [CrossRef]
- Hecht, L.; Barron, L.D.; Gargaro, A.R.; Wen, Z.Q.; Hug, W. Raman optical activity instrument for biochemical studies. J. Raman Spectrosc. 1992, 23, 401–411. [Google Scholar] [CrossRef]
- Barron, L.D.; Gargaro, A.R.; Hecht, L.; Polavarapu, P.L. Experimental and ab initio theoretical vibrational Raman optical activity of alanine. Spectrochim. Acta A 1991, 47, 1001–1016. [Google Scholar] [CrossRef]
- Bell, A.F.; Hecht, L.; Barron, L.D. Low-wavenumber vibrational Raman optical activity of carbohydrates. J. Raman Spectrosc. 1993, 24, 633–635. [Google Scholar] [CrossRef]
- Wen, Z.Q.; Barron, L.D.; Hecht, L. Vibrational Raman optical activity of monosaccharides. J. Am. Chem. Soc. 1993, 115, 285–292. [Google Scholar] [CrossRef]
- Bell, A.F.; Barron, L.D.; Hecht, L. Vibrational Raman optical activity study of D-glucose. Carbohydr. Res. 1994, 257, 11–24. [Google Scholar] [CrossRef]
- Bell, A.F.; Ford, S.J.; Hecht, L.; Wilson, G.; Barron, L.D. Vibrational Raman optical activity of glycoproteins. Int. J. Biol. Macromol. 1994, 16, 277–278. [Google Scholar] [CrossRef]
- Bell, A.F.; Hecht, L.; Barron, L.D. Disaccharide solution stereochemistry from vibrational Raman optical activity. J. Am. Chem. Soc. 1994, 116, 5155–5161. [Google Scholar] [CrossRef]
- Ford, S.J.; Wen, Z.Q.; Hecht, L.; Barron, L.D. Vibrational Raman optical activity of alanyl peptide oligomers: A new perspective on aqueous solution conformation. Biopolymers 1994, 34, 303–313. [Google Scholar] [CrossRef]
- Wen, Z.Q.; Hecht, L.; Barron, L.D. α-Helix and associated loop signatures in vibrational Raman optical activity spectra of proteins. J. Am. Chem. Soc. 1994, 116, 443–445. [Google Scholar] [CrossRef]
- Wen, Z.Q.; Hecht, L.; Barron, L.D. β-sheet and associated turn signatures in vibrational Raman optical activity spectra of proteins. Protein Sci. 1994, 3, 435–439. [Google Scholar] [CrossRef]
- Freedman, T.B.; Nafie, L.A.; Keiderling, T.A. Vibrational optical activity of oligopeptides. Polymers 1995, 37, 265–279. [Google Scholar] [CrossRef] [PubMed]
- Wilson, G.; Ford, S.J.; Cooper, A.; Hecht, L.; Wen, Z.Q.; Barron, L.D. Vibrational Raman optical activity of α-lactalbumin: Comparison with lysozyme, and evidence for native tertiary folds in molten globule states. J. Mol. Biol. 2002, 269, 148–156. [Google Scholar] [CrossRef]
- Wilson, G.; Hecht, L.; Barron, L.D. Vibrational Raman optical activity of α-helical and unordered poly (L-lysine). J. Chem. Soc. Faraday Trans. 1996, 92, 1503–1509. [Google Scholar] [CrossRef]
- Barron, L.D.; Hecht, L.; Wilson, G. The lubricant of life: A proposal that solvent water promotes extremely fast conformational fluctuations in mobile heteropolypeptide structure. Biochemistry 1997, 36, 13143–13147. [Google Scholar] [CrossRef] [PubMed]
- Bell, A.F.; Hecht, L.; Barron, L.D. New evidence for conformational flexibility in cyclodextrins from vibrational Raman optical activity. Chem. Eur. J. 1997, 3, 1292–1298. [Google Scholar] [CrossRef]
- Bell, A.F.; Hecht, L.; Barron, L.D. Vibrational Raman optical activity of DNA and RNA. J. Am. Chem. Soc. 1998, 120, 5820–5821. [Google Scholar] [CrossRef]
- Bell, A.F.; Hecht, L.; Barron, L.D. Evidence for global mobility in the premelting of a polynucleotide from temperature-dependent Raman optical activity. Biospectroscopy 1998, 4, 107–111. [Google Scholar] [CrossRef]
- Teraoka, J.; Bell, A.F.; Hecht, L.; Barron, L.D. Loop structure in human serum albumin from Raman optical activity. J. Raman Spectrosc. 1998, 29, 67–71. [Google Scholar] [CrossRef]
- Blanch, E.W.; Bell, A.F.; Hecht, L.; Day, L.A.; Barron, L.D. Raman optical activity of filamentous bacteriophages: Hydration of α-helices. J. Mol. Biol. 1999, 290, 1–7. [Google Scholar] [CrossRef]
- Hanzlíková, J.; Praus, P.; Baumruk, V. Raman optical activity spectrometer for peptide studies. J. Mol. Struct. 1999, 480, 431–435. [Google Scholar] [CrossRef]
- Bell, A.F.; Hecht, L.; Barron, L.D. Evidence for a new transition in polyribonucleotides from Raman optical activity. J. Raman Spectrosc. 1999, 30, 651–656. [Google Scholar] [CrossRef]
- Blanch, E.W.; Hecht, L.; Barron, L.D. New insight into the pH-dependent conformational changes in bovine β-lactoglobulin from Raman optical activity. Protein Sci. 1999, 8, 1362–1367. [Google Scholar] [CrossRef]
- Hecht, L.; Barron, L.D.; Blanch, E.W.; Bell, A.F.; Day, L.A. Raman optical activity instrument for studies of biopolymer structure and dynamics. J. Raman Spectrosc. 1999, 30, 815–825. [Google Scholar] [CrossRef]
- Zhu, F.; Isaacs, N.W.; Hecht, L.; Tranter, G.E.; Barron, L.D. Raman optical activity of proteins, carbohydrates and glycoproteins. Chirality 2006, 18, 103–115. [Google Scholar] [CrossRef] [PubMed]
- Zhu, F.; Tranter, G.E.; Isaacs, N.W.; Hecht, L.; Barron, L.D. Delineation of protein structure classes from multivariate analysis of protein Raman optical activity data. J. Mol. Biol. 2006, 363, 19–26. [Google Scholar] [CrossRef] [PubMed]
- Dunker, A.K.; Babu, M.M.; Barbar, E.; Blackledge, M.; Bondos, S.E.; Dosztányi, Z.; Dyson, H.J.; Forman-Kay, J.; Fuxreiter, M.; Gsponer, J.; et al. What’s in a name? Why these proteins are intrinsically disordered: Why these proteins are intrinsically disordered. Intrinsically Disord. Proteins 2013, 1, e24157. [Google Scholar] [CrossRef] [PubMed] [Green Version]
- Barron, L.D.; Blanch, E.W.; Hecht, L. Unfolded proteins studied by Raman optical activity. Adv. Protein Chem. 2002, 62, 51–90. [Google Scholar] [CrossRef]
- Syme, C.D.; Blanch, E.W.; Holt, C.; Jakes, R.; Goedert, M.; Hecht, L.; Barron, L.D. A Raman optical activity study of rheomorphism in caseins, synucleins and tau: New insight into the structure and behaviour of natively unfolded proteins. Eur. J. Biochem. 2002, 269, 148–156. [Google Scholar] [CrossRef] [PubMed]
- Blanch, E.W.; Gill, A.C.; Rhie, A.G.O.; Hope, J.; Hecht, L.; Nielsen, K.; Barron, L.D. Raman optical activity demonstrates poly (L-proline) II helix in the N-terminal region of the ovine prion protein: Implications for function and misfunction. J. Mol. Biol. 2004, 343, 467–476. [Google Scholar] [CrossRef] [PubMed] [Green Version]
- McColl, I.H.; Blanch, E.W.; Hecht, L.; Kallenbach, N.R.; Barron, L.D. Vibrational Raman optical activity characterization of poly (L-proline) II helix in alanine oligopeptides. J. Am. Chem. Soc. 2004, 126, 5076–5077. [Google Scholar] [CrossRef] [PubMed]
- Zhu, F.; Davies, P.; Thompsett, A.R.; Kelly, S.M.; Tranter, G.E.; Hecht, L.; Isaacs, N.W.; Brown, D.R.; Barron, L.D. Raman optical activity and circular dichroism reveal dramatic differences in the influence of divalent copper and manganese ions on prion protein folding. Biochemistry 2008, 47, 2510–2517. [Google Scholar] [CrossRef] [PubMed]
- Dzwolak, W.; Kalinowski, J.; Johannessen, C.; Babenko, V.; Zhang, G.; Keiderling, T.A. On the DMSO-dissolved state of insulin: A vibrational spectroscopic study of structural disorder. J. Phys. Chem. B 2012, 116, 11863–11871. [Google Scholar] [CrossRef]
- Mensch, C.; Barron, L.D.; Johannessen, C. Ramachandran mapping of peptide conformation using a large database of computed Raman and Raman optical activity spectra. Phys. Chem. Chem. Phys. 2016, 18, 31757–31768. [Google Scholar] [CrossRef] [Green Version]
- Zhu, F.; Kapitan, J.; Tranter, G.E.; Pudney, P.D.A.; Isaacs, N.W.; Hecht, L.; Barron, L.D. Residual structure in disordered peptides and unfolded proteins from multivariate analysis and ab initio simulation of Raman optical activity data. Proteins 2008, 70, 823–833. [Google Scholar] [CrossRef]
- Wilson, G.; Hecht, L.; Barron, L.D. Residual structure in unfolded proteins revealed by Raman optical activity. Biochemistry 1996, 35, 12518–12525. [Google Scholar] [CrossRef]
- Bendor, J.T.; Logan, T.P.; Edwards, R.H. The function of α-synuclein. Neuron 2013, 79, 1044–1066. [Google Scholar] [CrossRef] [Green Version]
- Bernal-Conde, L.D.; Ramos-Acevedo, R.; Reyes-Hernández, M.A.; Balbuena-Olvera, A.J.; Morales-Moreno, I.D.; Argüero-Sánchez, R.; Schüle, B.; Guerra-Crespo, M. Alpha-synuclein physiology and pathology: A perspective on cellular structures and organelles. Front. Neurosci. 2020, 13, 1399. [Google Scholar] [CrossRef] [Green Version]
- Mensch, C.; Konijnenberg, A.; Van Elzen, R.; Lambeir, A.-M.; Sobott, F.; Johannessen, C. Raman optical activity of human α-synuclein in intrinsically disordered, micelle-bound α-helical, molten globule and oligomeric β-sheet state. J. Raman Spectrosc. 2017, 48, 910–918. [Google Scholar] [CrossRef]
- Schwalbe, M.; Ozenne, V.; Bibow, S.; Jaremko, M.; Jaremko, L.; Gajda, M.; Jensen, M.R.; Biernat, J.; Becker, S.; Mandelkow, E.; et al. Predictive atomic resolution descriptions of intrinsically disordered hTau40 and α-synuclein in solution from NMR and small angle scattering. Structure 2014, 22, 238–249. [Google Scholar] [CrossRef] [Green Version]
- Allison, J.R.; Varnai, P.; Dobson, C.M.; Vendruscolo, M. Determination of the free energy landscape of α-synuclein using spin label nuclear magnetic resonance measurements. J. Am. Chem. Soc. 2009, 131, 18314–18326. [Google Scholar] [CrossRef]
- Munishkina, L.A.; Phelan, C.; Uversky, V.N.; Fink, A.L. Conformational behavior and aggregation of α-synuclein in organic solvents: Modeling the effects of membranes. Biochemistry 2003, 42, 2720–2730. [Google Scholar] [CrossRef] [PubMed]
- Anderson, V.L.; Ramlall, T.F.; Rospigliosi, C.C.; Webb, W.W.; Eliezer, D. Identification of a helical intermediate in trifluoroethanol-induced α-synuclein aggregation. Proc. Natl. Acad. Sci. USA 2010, 107, 18850–18855. [Google Scholar] [CrossRef] [Green Version]
- Kurochka, A.; Průša, J.; Kessler, J.; Kapitán, J.; Bouř, P. α-Synuclein Conformations followed by vibrational optical activity. Simulation and understanding of the spectra. Phys. Chem. Chem. Phys. 2021, 23, 16635–16645. [Google Scholar] [CrossRef]
- Prince, M.; Wimo, A.; Guerchet, M.; Ali, G.-C.; Wu, Y.T.; Prina, M. World Alzheimer Report 2015. The Global Impact of Dementia: An Analysis of Prevalence, Incidence, Cost and Trends; Alzheimer’s Disease International: London, UK, 2015. [Google Scholar]
- Jack, C.R., Jr.; Bennett, D.A.; Blennow, K.; Carrillo, M.C.; Dunn, B.; Haeberlein, S.B.; Holtzman, D.M.; Jagust, W.; Jessen, F.; Karlawish, J.; et al. NIA-AA Research Framework: Toward a biological definition of Alzheimer’s disease. Alzheimers Dement. 2018, 14, 535–562. [Google Scholar] [CrossRef] [PubMed]
- Dubois, B.; Villain, N.; Frisoni, G.B.; Rabinovici, G.D.; Sabbagh, M.; Cappa, S.; Bejanin, A.; Bombois, S.; Epelbaum, S.; Teichmann, M.; et al. Clinical diagnosis of Alzheimer’s disease: Recommendations of the International Working Group. Lancet Neurol. 2021, 20, 484–496. [Google Scholar] [CrossRef]
- Habartová, L.; Hrubešová, K.; Syslová, K.; Vondroušová, J.; Fišar, Z.; Jirák, R.; Raboch, J.; Setnička, V. Blood-based molecular signature of Alzheimer’s disease via spectroscopy and metabolomics. Clin. Biochem. 2019, 72, 58–63. [Google Scholar] [CrossRef]
- Šťovíčková, L.; Tatarkovič, M.; Logerová, H.; Vavřinec, J.; Setnička, V. Identification of spectral biomarkers for type 1 diabetes mellitus using the combination of chiroptical and vibrational spectroscopy. Analyst 2015, 140, 2266–2272. [Google Scholar] [CrossRef] [Green Version]
- Tatarkovič, M.; Miškovičová, M.; Šťovíčková, L.; Synytsya, A.; Petruželka, L.; Setnička, V. The potential of chiroptical and vibrational spectroscopy of blood plasma for the discrimination between colon cancer patients and the control group. Analyst 2015, 140, 2287–2293. [Google Scholar] [CrossRef] [PubMed] [Green Version]
- Habartová, L.; Bunganič, B.; Tatarkovič, M.; Zavoral, M.; Vondroušová, J.; Syslová, K.; Setnička, V. Chiroptical spectroscopy and metabolomics for blood-based sensing of pancreatic cancer. Chirality 2018, 30, 581–591. [Google Scholar] [CrossRef] [PubMed]

















Publisher’s Note: MDPI stays neutral with regard to jurisdictional claims in published maps and institutional affiliations. |
© 2021 by the authors. Licensee MDPI, Basel, Switzerland. This article is an open access article distributed under the terms and conditions of the Creative Commons Attribution (CC BY) license (https://creativecommons.org/licenses/by/4.0/).
Share and Cite
Bogaerts, J.; Aerts, R.; Vermeyen, T.; Johannessen, C.; Herrebout, W.; Batista, J.M. Tackling Stereochemistry in Drug Molecules with Vibrational Optical Activity. Pharmaceuticals 2021, 14, 877. https://doi.org/10.3390/ph14090877
Bogaerts J, Aerts R, Vermeyen T, Johannessen C, Herrebout W, Batista JM. Tackling Stereochemistry in Drug Molecules with Vibrational Optical Activity. Pharmaceuticals. 2021; 14(9):877. https://doi.org/10.3390/ph14090877
Chicago/Turabian StyleBogaerts, Jonathan, Roy Aerts, Tom Vermeyen, Christian Johannessen, Wouter Herrebout, and Joao M. Batista. 2021. "Tackling Stereochemistry in Drug Molecules with Vibrational Optical Activity" Pharmaceuticals 14, no. 9: 877. https://doi.org/10.3390/ph14090877
APA StyleBogaerts, J., Aerts, R., Vermeyen, T., Johannessen, C., Herrebout, W., & Batista, J. M. (2021). Tackling Stereochemistry in Drug Molecules with Vibrational Optical Activity. Pharmaceuticals, 14(9), 877. https://doi.org/10.3390/ph14090877

