Thiophene-Based Compounds with Potential Anti-Inflammatory Activity
Abstract
:1. Introduction
2. The Role of Thiophene Derivatives in Inflammation
2.1. Thiophene-Based Compounds Inhibitors of COX and/or LOX Enzymes
2.2. Thiophene Derivatives That Modulate Gene Expression and/or Inflammatory Cytokines
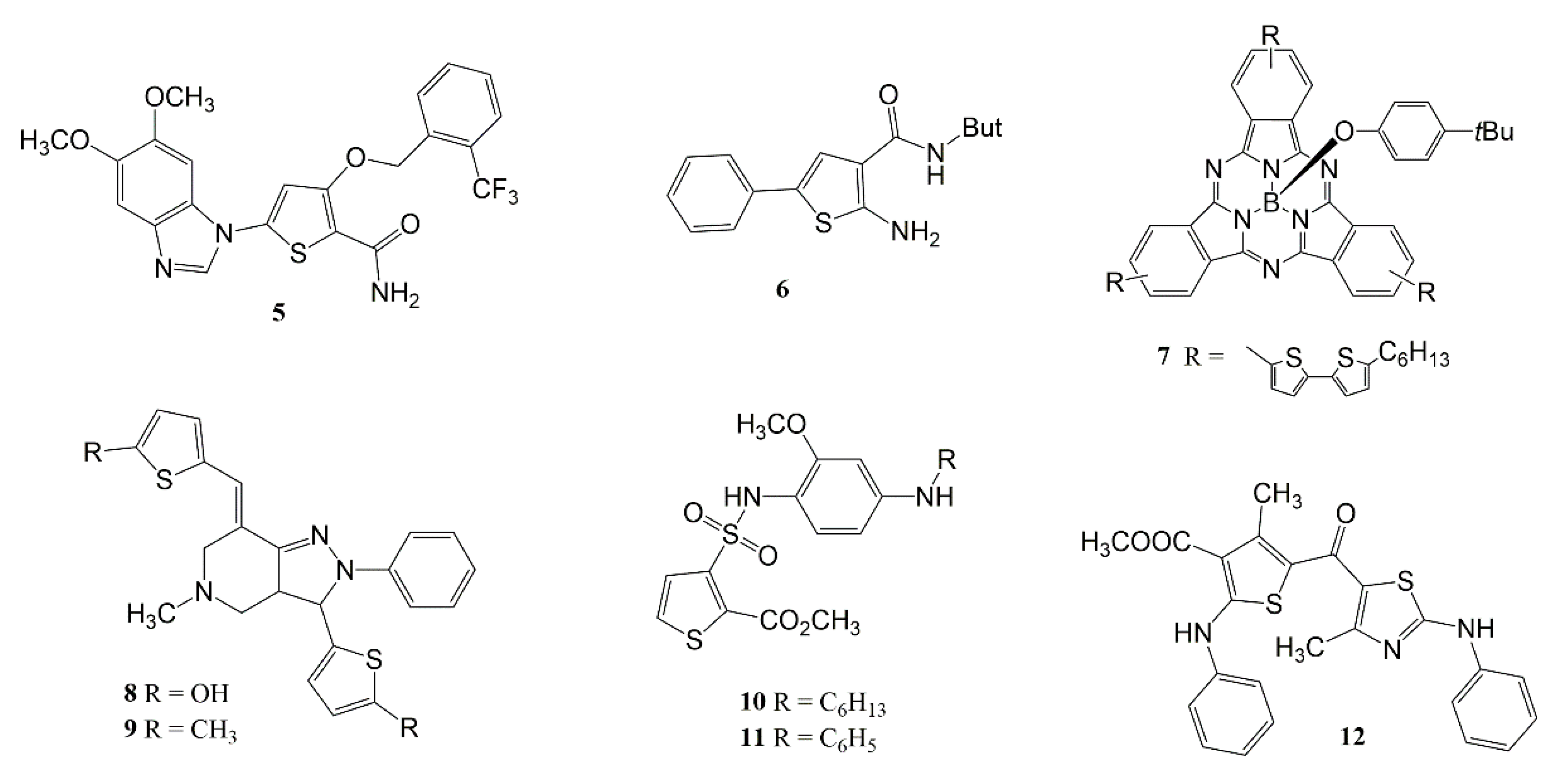
2.3. Thiophene Derivatives with In Vivo Anti-Inflammatory Activity in Classic Models of Inflammation
2.4. In Silico Studies Involving Thiophene-Based Compounds with Anti-Inflammatory Properties
3. Conclusions
Author Contributions
Funding
Institutional Review Board Statement
Informed Consent Statement
Data Availability Statement
Acknowledgments
Conflicts of Interest
References
- Yeung, Y.T.; Aziz, F.; Guerrero-Castilla, A.; Arguelles, S. Signaling Pathways in Inflammation and Anti-inflammatory Therapies. Curr. Pharm. Des. 2018, 24, 1449–1484. [Google Scholar] [CrossRef]
- Mack, M. Inflammation and fibrosis. Matrix Biol. 2018, 68–69, 106–121. [Google Scholar] [CrossRef]
- Muszynska, B.; Grzywacz-Kisielewskaa, A.; Kala, K.; Gdula-Argasinska, J. Anti-inflammatory properties of edible mushrooms: A review. Food Chem. 2018, 243, 373–381. [Google Scholar] [CrossRef] [PubMed]
- De Oliveira Pedrosa Rolim, M.; De Almeida, A.R.; Da Rocha Pitta, M.G.; De Melo Rêgo, M.J.B.; Quintans-Júnior, L.J.; De Souza Siqueira Quintans, J.; Heimfarth, L.; Scotti, L.; Scotti, M.T.; Da Cruz, R.M.D.; et al. Design, synthesis and pharmacological evaluation of CVIB, a codrug of carvacrol and ibuprofen as a novel anti-inflammatory agent. Int. Immunopharmacol. 2019, 76, 105856. [Google Scholar] [CrossRef] [PubMed]
- Lahsasni, S.; Al-Hemyari, D.A.M.; Ghabbour, H.A.; Mabkhoot, Y.N.; Aleanizy, F.S.; Alothman, A.A.; Almarhoon, Z.M. Synthesis, Characterization, and Antibacterial and Anti-Inflammatory Activities of New Pyrimidine and Thiophene Derivatives. J. Chem. 2018, 2018, 8536063. [Google Scholar] [CrossRef]
- Grondman, I.; Pirvu, A.; Riza, A.; Ioana, M.; Netea, M.G. Biomarkers of inflammation and the etiology of sepsis. Biochem. Soc. Trans. 2020, 48, 1–14. [Google Scholar] [CrossRef] [PubMed]
- Von Vietinghoff, S.; Koltsova, E.K. Inflammation in atherosclerosis: A key role for cytokines. Cytokine 2019, 122, 154819. [Google Scholar] [CrossRef] [PubMed]
- Barreto Mota, F.V.; Saraiva de Araújo Neta, M.; De Souza Franco, E.; Gomes Alves Bastos, I.V.; Cardoso Correia da Araújo, L.; Cabral da Silva, S.; Bezerra de Oliveira, T.; Souza, E.K.; Moraes de Almeida, V.; Matos Ximenes, R.; et al. Evaluation of anti-inflammatory activity and molecular docking study of new azabicyclic isooxazoline acylhydrazone derivatives. MedChemComm 2019, 10, 1916–1925. [Google Scholar] [CrossRef] [PubMed]
- Yao, C.; Narumiya, S. Prostaglandin-cytokine crosstalk in chronic inflammation. Br. J. Pharmacol. 2019, 176, 337–354. [Google Scholar] [CrossRef]
- Roe, K. An inflammation classification system using cytokine parameters. Scand. J. Immunol. 2021, 93, e12970. [Google Scholar] [CrossRef]
- Tziona, P.; Theodosis-Nobelos, P.; Rekka, E.A. Medicinal Chemistry Approaches of Controlling Gastrointestinal Side Effects of Non-Steroidal Anti-Inflammatory Drugs. Endogenous Protective Mechanisms and Drug Design. Med. Chem. 2017, 13, 408–420. [Google Scholar] [CrossRef]
- Maruyama, N.; Takai, T.; Kamijo, S.; Suchiva, P.; Ohba, M.; Takeshige, T.; Suzuki, M.; Hara, M.; Matsuno, K.; Harada, S.; et al. Cyclooxygenase inhibition in mice heightens adaptive- and innate-type responses against inhaled protease allergen and IL-33. Allergy 2019, 74, 2237–2240. [Google Scholar] [CrossRef]
- Yan, L.; Pan, M.; Fu, M.; Wang, J.; Huang, W.; Qian, H. Design, synthesis and biological evaluation of novel analgesic agents targeting both cyclooxygenase and TRPV1. Bioorg. Med. Chem. 2016, 26, 849–857. [Google Scholar] [CrossRef]
- Lopes, D.M.; Cater, H.L.; Thakur, M.; Wells, S.; McMahon, S.B. A refinement to the formalin test in mice. F1000Research 2019, 8, 891. [Google Scholar] [CrossRef] [PubMed]
- Pastor Cano, J.; Aranda García, A.; Sánchez Ruiz, J.F.; Rausell Rausell, V.J.; Tobaruela Soto, M.; Gascón Cánovas, J.J. Hemorragia digestive y prescripción potencialmente inadecuada de AINEs en mayores de 65 años [Gastrointestinal bleeding and potentially inappropriate medication by NSAIDs]. Rev. Esp. Salud Publica 2018, 92, e201805020. [Google Scholar]
- Chandel, P.; Kumar, A.; Singla, N.; Kumar, A.; Singh, G.; Gill, R.K. Rationally synthesized soumarin based pyrazolines ameliorate carrageenan induced inflammation through COX-2/pro-inflammatory cytokine inhibition. Medchemcomm 2019, 10, 421–430. [Google Scholar] [CrossRef]
- Germolec, D.R.; Shipkowski, K.A.; Frawley, R.P.; Evans, E. Markers of Inflammation. Methods Mol. Biol. 2018, 1803, 57–79. [Google Scholar]
- Hammock, B.D.; Wang, W.; Gilligan, M.M.; Panigrady, D. Eicosanoids: The Overlooked Storm in Coronavirus Disease 2019 (COVID-19)? Am. J. Pathol. 2020, 190, 1782–1788. [Google Scholar] [CrossRef] [PubMed]
- Parikh, N.S.; Merkler, A.E.; Iadecola, C. Inflammation, Autoimmunity, Infection, and Stroke: Epidemiology and Lessons from Therapeutic Intervention. Stroke 2020, 51, 711–718. [Google Scholar] [CrossRef] [PubMed]
- Vasconcelos, F.H.; De Araújo, G.C. Prevalence of chronic pain in Brazil: A descriptive study. Br. J. Pain 2018, 1, 176–179. [Google Scholar] [CrossRef]
- Salomé, D.D.C.; Cordeiro, N.M.; Valério, T.S.; Santos, D.A.; Alves, P.B.; Alviano, C.S.; Moreno, D.S.A.; Fernandes, P.D. Aristolochia trilobata: Identification of the Anti-inflammatory and Antinociceptive Effects. Biomedicines 2020, 8, 111. [Google Scholar] [CrossRef]
- Oz, H.S. Chronic Inflammatory Diseases and Green Tea Polyphenols. Nutrients 2017, 9, 561. [Google Scholar] [CrossRef]
- Sharma, S.; Kumar, D.; Singh, G.; Monga, V.; Kumar, B. Recent advancements in the development of heterocyclic anti-inflammatory agents. Eur. J. Med. Chem. 2020, 200, 112438. [Google Scholar] [CrossRef]
- Shah, R.; Verma, P.K. Therapeutic importance of synthetic thiophene. Chem. Cent. J. 2018, 12, 137. [Google Scholar] [CrossRef] [PubMed] [Green Version]
- Keri, R.S.; Chand, K.; Budagumpi, S.; Balappa Somappa, S.; Patil, S.A.; Nagaraja, B.M. An overview of benzo[b]thiophene-based medicinal chemistry. Eur. J. Med. Chem. 2017, 138, 1002–1033. [Google Scholar] [CrossRef] [PubMed]
- Da Cruz, R.M.D.; Braga, R.M.; De Andrade, H.H.N.; Monteiro, Á.B.; Luna, I.S.; Cruz, R.M.D.; Scotti, M.T.; Mendonça-Junior, F.J.B.; De Almeida, R.N. RMD86, a thiophene derivative, promotes antinociceptive and antipyretic activities in mice. Heliyon 2020, 6, e05520. [Google Scholar] [CrossRef] [PubMed]
- Bozorov, K.; Nie, L.F.; Zhao, J.; Aisa, H.A. 2-Aminothiophene scaffolds: Diverse biological and pharmacological attributes in medicinal chemistry. Eur. J. Med. Chem. 2017, 140, 465–493. [Google Scholar] [CrossRef]
- Lisboa, T.; Silva, D.; Duarte, S.; Ferreira, R.; Andrade, C.; Lopes, A.L.; Ribeiro, J.; Farias, D.; Moura, R.; Reis, M.; et al. Toxicity and Antitumor Activity of a Thiophene-Acridine Hybrid. Molecules 2019, 25, 64. [Google Scholar] [CrossRef] [PubMed] [Green Version]
- Madhavi, K.; Sree Ramya, G. Synthesis, antioxidant and anti-inflammatory activities of ethyl 2-(2-cyano-3-(substituted phenyl)acrylamido)-4,5-dimethylthiophene-3-carboxylates. Asian J. Pharm. Clin. Res. 2017, 10, 95–100. [Google Scholar]
- Kalariya, P.D.; Patel, P.N.; Kavya, P.; Sharma, M.; Garg, P.; Srinivas, R.; Talluri, M.V.N.K. Rapid structural characterization of in vivo and in vitro metabolites os tinoridine using UHPLC-QTOF-MS/MS and in silico toxicological screening of its metabolites. J. Mass Spectrom. 2015, 50, 1222–1233. [Google Scholar] [CrossRef]
- Wu, Q.-Q.; Deng, W.; Xiao, Y.; Chen, J.-J.; Liu, C.; Wnag, J.; Guo, Y.; Duan, M.; Cai, Z.; Xie, S.; et al. The 5-Lipoxygenase Inhibitor Zileuton Protects Pressure Overload-Induced Cardiac Remodeling via Activating PPARα. Oxid. Med. Cell. Longev. 2019, 2019, 7536803. [Google Scholar] [CrossRef] [PubMed] [Green Version]
- Li, M.; Yu, C.; Zeng, X. Comparative efficacy of traditional non-selective NSAIDs and selective cyclo-oxygenase-2 inhibitors in patients with acute gout: A systematic review and meta-analysis. BJM Open 2020, 10, e036748. [Google Scholar] [CrossRef]
- Dona, I.; Salas, M.; Perkins, J.R.; Barrionuevo, E.; Gaeta, F.; Cornejo-Garcia, J.A.; Campo, P.; Torres, M.J. Hypersensitivity Reactions to Non-Steroidal Anti-Inflammatory Drugs. Curr. Pharm. Des. 2016, 45, 6784–6802. [Google Scholar] [CrossRef] [PubMed]
- Bashir, S.; Elegunde, B.; Morgan, W.A. Inhibition of lipolysis: A novel explanation for the hypothermic actions of acetaminophen in non-febrile rodents. Biochem. Pharmacol. 2020, 172, 113774. [Google Scholar] [CrossRef]
- Przybyla, G.W.; Szychowski, K.A.; Gmiński, J. Paracetamol—An old drug with new mechanisms of action. Clin. Exp. Pharmacol. Physiol. 2021, 48, 3–19. [Google Scholar] [CrossRef]
- Fraenkel, L.; Buta, E.; Suter, L.; Dubreuil, M.; Levy, C.; Najem, C.; Brennan, M.; Corn, B.; Kerns, R.; Goulet, J. Nonsteroidal Anti-inflammatory Drugs vs. Cognitive Behavioral Therapy for Arthritis Pain: A Randomized Withdrawal Trial. JAMA Intern. Med. 2020, 180, 1194–1202. [Google Scholar] [CrossRef]
- Tai, F.W.D.; McAlindon, M.E. NSAIDs and the small bowel. Curr. Opin. Gastroenterol. 2018, 34, 175–182. [Google Scholar] [CrossRef]
- Prozzi, G.R.; Cañás, M.; Urtasun, M.A.; Buschiazzo, H.O.; Dorati, C.M.; Mordujovich-Buschiazzo, P. Cardiovascular risk of non-steroidal anti-inflammatory drugs. Medicina 2018, 78, 349–355. [Google Scholar] [PubMed]
- Foley, K.G.; Christian, A.; Peaker, J.; Marshall, C.; Spezi, E.; Kynaston, H.; Roberts, A. Cyclo-oxygenase-2 expression is associated with mean standardised uptake value on 18F-Fluorodeoxyglucose positron emission tomography in oesophageal adenocarcinoma. Br. J. Radiol. 2019, 1099, 1–5. [Google Scholar] [CrossRef]
- Gunter, B.R.; Butler, K.A.; Wallace, R.L.; Smith, S.M.; Harirforoosh, S. Non-steroidal anti-inflammatory drug-induced cardiovascular adverse events: A meta-analysis. J. Clin. Pharm. Ther. 2017, 42, 27–38. [Google Scholar] [CrossRef] [Green Version]
- Li, C.; Chen, R.; Jiang, C.; Chen, L.; Cheng, Z. Correlation of LOX-5 and COX-2 expression with inflammatory pathology and clinical features of adenomyosis. Mol. Med. Rep. 2019, 19, 727–733. [Google Scholar] [CrossRef] [Green Version]
- Oliveira Junior, J.O.; Portella Junior, C.S.A.; Cohen, C.P. Inflammatory mediators of neuropathic pain. Rev. Dor 2016, 17, 36–42. [Google Scholar] [CrossRef] [Green Version]
- Filali, I.; Bouajila, J.; Znati, M.; Bousejra-El Garah, F.; Ben Jannet, H. Synthesis of new isooxazoline derivatives from harmine and evaluation of their anti-Alzheimer, anti-cancer and anti-inflammatory activities. J. Enzyme Inhib. Med. Chem. 2015, 30, 371–376. [Google Scholar] [CrossRef]
- Chiasson, A.I.; Robichaud, S.; Ndongou Moutombi, F.J.; Hébert, M.P.A.; Mbarik, M.; Surette, M.E.; Touaibia, M. New Zileuton-Hydroxycinnamic Acid Hybrids: Synthesis and Structure-Activity Relationship towards 5-Lipoxygenase Inhibition. Molecules 2020, 25, 4686. [Google Scholar] [CrossRef]
- Patil, D.; Dash, R.P.; Thakur, S.K.; Pandya, A.N.; Venkatesh, P.; Vasu, K.K.; Nivsarkar, M. Implication of novel management of asthma. J. Enzyme Inhib. Med. Chem. 2015, 30, 229–239. [Google Scholar] [CrossRef] [Green Version]
- Bartekova, M.; Radosinska, J.; Jelemensky, M.; Dhalla, N.S. Role of cytokines and inflammation in heart function during health and disease. Heart Fail. Rev. 2018, 23, 733–758. [Google Scholar] [CrossRef] [PubMed]
- Wilson, H.M.; Cheyne, L.; Brown, P.A.J.; Kerr, K.; Hannah, A.; Srinivasan, J.; Duniak, N.; Horgan, G.; Dawson, D.K. Characterization of the myocardial inflammatory response in acute stress-induced (Takotsubo) cardiomyopathy. JACC Basic Transl. Sci. 2018, 3, 766–778. [Google Scholar] [CrossRef] [PubMed]
- Ouyang, W.; O’Garra, A. IL-10 Family Cytokines IL-10 and IL-22: From Basic Science to Clinical Translation. Immunity 2019, 50, 871–891. [Google Scholar] [CrossRef] [PubMed]
- Hu, J.; Wang, G.; Liu, X.; Zhou, L.; Jiang, M.; Yang, L. Polo-like kinase 1 (PLK1) is involved in toll-like receptor (TLR)-mediated TNF-α production in monocytic THP-A cells. PLoS ONE 2013, 8, e78832. [Google Scholar] [CrossRef]
- Ma, Q.; Fan, Q.; Xu, J.; Bai, J.; Han, X.; Dong, Z.; Zhou, X.; Liu, Z.; Gu, Z.; Wang, C. Calming Cytokine Storm in Pneumonia by Targeted Delivery of TPCA-1 Using Platelet-Derived Extracellular Vesicles. Matter 2020, 3, 287–301. [Google Scholar] [CrossRef]
- Eleftheriadis, N.; Poelman, H.; Leus, N.G.J.; Honrath, B.; Neochoritis, C.G.; Dolga, A.; Dömling, A.; Dekker, F.J. Design of a novel thiophene inhibitor of 15-lipoxygenase-1 with both anti-inflammatory and neuroprotective properties. Eur. J. Med. Chem. 2016, 122, 786–801. [Google Scholar] [CrossRef] [Green Version]
- Önal, H.T.; Yuzer, A.; Ince, M.; Ayaz, F. Photo induced anti-inflammatory activities of a Thiophene substituted subphthalocyanine derivative. Photodiagnosis Photodyn. Ther. 2020, 30, 101701. [Google Scholar] [CrossRef]
- Dennis Bilavendran, J.; Manikandan, A.; Thangarasu, P.; Silvakumar, K. Synthesis and discovery of pyrazolo-pyridine analogs as inflammation medications through pro- and anti-inflammatory cytokine and COX-2 inhibition assessments. Bioorg. Chem. 2020, 94, 103484. [Google Scholar] [CrossRef]
- Naruhn, S.; Toth, P.M.; Adhikary, T.; Kaddatz, K.; Pape, V.; Dörr, S.; Klebe, G.; Müller-Brüsselbach, S.; Diederich, W.E.; Müller, R. High-affinity peroxisome proliferator-activated receptor β/δ-specific ligands with pure antagonistic or inverse agonistic properties. Mol. Pharmacol. 2011, 80, 828–838. [Google Scholar] [CrossRef] [Green Version]
- Vazquez, E.; Navarro, M.; Salazar, Y.; Crespo, G.; Bruges, G.; Osorio, C.; Tortorici, V.; Vanegas, H.; López, M. Systemic changes following carrageenan-induced paw inflammation in rats. Inflamm. Res. 2015, 64, 333–342. [Google Scholar] [CrossRef]
- Abdelall, E.K.A.; Lamie, P.F.; Ahmed, A.K.M.; El-Nahass, E.S. COX-1/COX-2 inhibition assays and histopathological study of the new designed anti-inflammatory agent with a pyrazolopyrimidine core. Bioorg. Chem. 2019, 86, 235–253. [Google Scholar] [CrossRef]
- Lambrecht, B.N.; Hammad, H. The immunology of asthma. Nat. Immunol. 2015, 16, 45–56. [Google Scholar] [CrossRef] [PubMed]
- Casaro, M.; Souza, V.R.; Oliveira, F.A.; Ferreira, C.M. OVA-Induced Allergic Airway Inflammation Mouse Model. Methods Mol. Biol. 2019, 1916, 297–301. [Google Scholar]
- Kumar, A.D.; Prabhudeva, M.G.; Bharath, S.; Kumara, K.; Lokanath, N.K.; Kumar, K.A. Design and Amberlyst-15 mediated synthesis of novel thianyl-pyrazole carboxamides that potently inhibit Phospholipase A2 by binding to an allosteric site on the enzyme. Bioorg. Chem. 2018, 80, 444–452. [Google Scholar] [CrossRef] [PubMed]
- Helal, M.H.; Salem, M.A.; Gouda, M.A.; Ahmed, N.S.; El-Sherif, A.A. Design, synthesis, characterization, quantum-chemical calculations and anti-inflammatory activity of novel series of thiophene derivatives. Spectrochim. Acta A Mol. Biomol. Spectrosc. 2015, 147, 73–83. [Google Scholar] [CrossRef] [PubMed]
- Chaudhari, P.S.; Chitlange, S.S.; Nanda, R.K. Synthesis and Biological Evaluation of Novel 2-(4-acetyl-3-methyl-5-(arylamino)thiophen-2-yl)-3-arylquinazolin-4(3H)-one Derivatives as Potential Anti-inflammatory and Antioxidant Agents. Atiinflamm. Antiallergy Agents Med. Chem. 2018, 17, 102–114. [Google Scholar] [CrossRef] [PubMed]
- Gaines, T.; Garcia, F.; Virani, S.; Liang, Z.; Yoon, Y.; Oum, Y.H.; Shim, H.; Mooring, S.R. Synthesis and evaluation of 2,5-furan, 2,5-thiophene and 3,4-thiophene-based derivatives as CXCR4 inhibitors. Eur. J. Med. Chem. 2019, 181, 111562. [Google Scholar] [CrossRef] [PubMed]
- Ligacheva, A.A.; Ivanova, A.N.; Belsky, Y.P.; Belska, N.V.; Trofimova, E.S.; Danilets, M.G.; Dygai, A.M. Effect of IKK-2 inhibitor on local Th1 and Th2 type inflammation. Bull. Exp. Biol. Med. 2013, 155, 52–55. [Google Scholar] [CrossRef] [PubMed]
- El-Miligy, M.M.M.; Hazzaa, A.A.; El-Messmary, H.; Nassra, R.A.; El-Hawash, S.A.M. New hybrid molecules combining benzothyophene or benzofuran with rhodanine as dual COX-1/2 and 5-LOX inhibitors: Synthesis, biological evaluation and docking study. Bioorg. Chem. 2017, 72, 102–115. [Google Scholar] [CrossRef] [PubMed]
- Wang, X.; Song, K.; Li, L.; Chen, L. Structure-Based Drug Design Strategies and Challenges. Curr. Top. Med. Chem. 2018, 18, 998–1006. [Google Scholar] [CrossRef]
- Shoichet, B.K.; Walters, W.P.; Jiang, H.; Bajorath, J. Advances in Computational Medicinal Chemistry: A Reflection on the Evolution of the Field and Perspective Going Forward. J. Med. Chem. 2016, 59, 4033–4034. [Google Scholar] [CrossRef] [Green Version]
- Yu, W.; MacKerell, A.D., Jr. Computer-Aided Drug Design Methods. Methods Mol. Biol. 2017, 1520, 85–106. [Google Scholar] [PubMed] [Green Version]
- Sagaama, A.; Issaoui, N. Design, molecular docking analysis of an anti-inflammatory drug, computational analysis and intermolecular interactions energy studies of 1-benzothiophene-2-carboxylic acid. Comput. Biol. Chem. 2020, 88, 107348. [Google Scholar] [CrossRef]
- Karthick, T.; Balachandran, V.; Perumal, S. Spectroscopic investigations, molecular interactions, and molecular docking studies on the potential inhibitor “thiophene-2-carboxylicacid”. Spectrochim. Acta A Mol. Biomol. Spectrosc. 2015, 141, 104–112. [Google Scholar] [CrossRef]
- Singh, P.; Sharma, P.; Bisetty, K.; Mahajan, M.P. Synthesis and docking studies of thiophene scaffolds in COX-2. Arkivoc 2011, 2011, 55–70. [Google Scholar] [CrossRef] [Green Version]
- Ul-Haq, Z.; Khan, A.; Ashraf, S.; Morales-Bayuelo, A. Quantum mechanics and 3D-QSAR studies on thienopyridine analogues: Inhibitors of IKKβ. Heliyon 2020, 6, e04125. [Google Scholar] [CrossRef] [PubMed]
- El-Shoukrofy, M.S.; Abd El Razik, H.A.; AboulWafa, O.M.; Bayad, A.E.; El-Ashmawy, I.M. Pyrazoles containing thiophene, thienopyrimidine and thienotriazolopyrimidine as COX-2 selective inhibitors: Design, synthesis, in vivo anti-inflammatory activity, docking and in silico chemoinformatic studies. Bioorg. Chem. 2019, 85, 541–557. [Google Scholar] [CrossRef]
- Khatri, C.K.; Indalkar, K.S.; Patil, C.R.; Goyal, S.N.; Chaturbhuj, G.U. Novel 2-phenyl-4,5,6,7-tetrahydro[b]benzothiophene analogues as selective COX-2 inhibitors: Design, synthesis, anti-inflammatory evaluation, and molecular docking studies. Bioorg. Med. Chem. Lett. 2017, 27, 1721–1726. [Google Scholar] [CrossRef] [PubMed]
- John, L.; Dasan, A.; JoseyphusaI, R.S.; Hubert Joe, I. Molecular docking, structural characterization, DFT and cytotoxicity studies of metal (II) Schiff base complexes derived from thiophene-2-carboxaldehyde and L-histidine. J. Mol. Struct. 2019, 1198, 126934. [Google Scholar] [CrossRef]







| Model | Mechanisms | Reference |
|---|---|---|
| In vitro assay with soybean lipoxygenase | 5-LOX inhibitory activity | [43] |
| In vitro assay with modified HEK293 cells | 5-LOX inhibitory activity | [44] |
| Ovalbumin-induced airway inflammation in Guinea pig | Blocking mast cell degranulation | [45] |
| In vitro assay with lipoxygenase enzyme | 5-LOX inhibitory activity | [45] |
| Model | Mechanisms | Reference |
|---|---|---|
| In vitro essay by qRT-PCR and ELISA | Inhibition of pro-inflammatory cytokines expression (TNF-α, IL-8, ERK, p38, and NF-ĸB) | [49] |
| Mouse with acute lung injury | Association with platelet-derived extracellular vesicles | [50] |
| In silico essay with Substitution Oriented Screening model and in vitro essay with lipoxygenase enzyme | LOX inhibition | [51] |
| Ex vivo essay in precision-cut lung slices | Inhibition of pro-inflammatory gene expressions (IL-1β, IL-6, IL-8, IL-12, TNF-α, and iNOS) | [51] |
| In vitro essay by ELISA and qRT-PCR with light-induced macrophages | Reduction of TNF-α and IL-6 expressions | [52] |
| In vitro essay by ELISA | Inhibition of TNF-α, IL-1β and IL-6 activities and activation of IL-10 | [53] |
| In vitro essay by TR-FRET | Reduction of PPAR transcriptional activity | [54] |
| Ovalbumin-induced airway inflammation in Guinea pig in association with ELISA method | Reduction of TNF-α, IL-1β and IL-6 cytokines | [45] |
| Model | Mechanisms | Reference |
|---|---|---|
| In vitro essay with Phospholipase A2 from Vipera russelli | Inhibition of PLA2 | [59] |
| Carrageenan-induced paw edema in Albino rats | Decreasing the paw volume after carrageenan administration | [60] |
| Carrageenan-induced paw edema in rats | Decreasing the paw volume after carrageenan administration | [61] |
| Carrageenan-induced paw edema in mouse | CXCR4 receptor antagonists | [62] |
| Paw edema and ovalbumin-induced immediate local hypersensitivity | IKK-2 inhibition to reduction of Th1 response | [63] |
| In vitro essay on COX/LOX enzymes | COX-2 and LOX inhibition | [64] |
| Formalin-induced paw edema and Gastric ulcerogenic activity | COX-2 and LOX inhibition | [64] |
| Model | Mechanisms | Reference |
|---|---|---|
| Theoretical and DFT studies, and Molecular docking | Dual inhibition of COX-2/LOX-5 | [68] |
| Molecular docking | Dual inhibition of COX-2/LOX-5 and Prostaglandin H2 synthase inhibition | [69] |
| Molecular docking | COX-2 inhibition | [70] |
| DFT, QSAR, CoMFA, CoMSIA and Molecular docking | IKKβ inhibition | [71] |
| ADMET predictions and Molecular docking | COX-2 inhibition | [72] |
| Molecular docking | COX-2 inhibition | [73] |
| Molecular parameters by PM3 method | Decreasing the paw volume after carrageenan administration | [60] |
| Molecular docking | Non-selective COX-1 and COX-2 inhibition | [26] |
| DFT and Molecular docking | COX-2 inhibition | [74] |
Publisher’s Note: MDPI stays neutral with regard to jurisdictional claims in published maps and institutional affiliations. |
© 2021 by the authors. Licensee MDPI, Basel, Switzerland. This article is an open access article distributed under the terms and conditions of the Creative Commons Attribution (CC BY) license (https://creativecommons.org/licenses/by/4.0/).
Share and Cite
da Cruz, R.M.D.; Mendonça-Junior, F.J.B.; de Mélo, N.B.; Scotti, L.; de Araújo, R.S.A.; de Almeida, R.N.; de Moura, R.O. Thiophene-Based Compounds with Potential Anti-Inflammatory Activity. Pharmaceuticals 2021, 14, 692. https://doi.org/10.3390/ph14070692
da Cruz RMD, Mendonça-Junior FJB, de Mélo NB, Scotti L, de Araújo RSA, de Almeida RN, de Moura RO. Thiophene-Based Compounds with Potential Anti-Inflammatory Activity. Pharmaceuticals. 2021; 14(7):692. https://doi.org/10.3390/ph14070692
Chicago/Turabian Styleda Cruz, Ryldene Marques Duarte, Francisco Jaime Bezerra Mendonça-Junior, Natália Barbosa de Mélo, Luciana Scotti, Rodrigo Santos Aquino de Araújo, Reinaldo Nóbrega de Almeida, and Ricardo Olímpio de Moura. 2021. "Thiophene-Based Compounds with Potential Anti-Inflammatory Activity" Pharmaceuticals 14, no. 7: 692. https://doi.org/10.3390/ph14070692
APA Styleda Cruz, R. M. D., Mendonça-Junior, F. J. B., de Mélo, N. B., Scotti, L., de Araújo, R. S. A., de Almeida, R. N., & de Moura, R. O. (2021). Thiophene-Based Compounds with Potential Anti-Inflammatory Activity. Pharmaceuticals, 14(7), 692. https://doi.org/10.3390/ph14070692

