Electrochemical Behaviors of Methylene Blue on DNA Modified Electrode and Its Application to the Detection of PCR Product from NOS Sequence
Abstract
:1. Introduction
2. Experimental Section
2.1 Apparatus
2.2 Reagents
2.3 Polymerase chain reaction procedure
- NOS Primer 1: 5′-GAATCCTGTTGCCGGTCTTG-3′;
- NOS Primer 2: 5′-TTATCCTAGTTTGCGCGCTA-3′.
2.4 Preparation of self-assembled gold electrode
2.5 Immobilization of ssDNA on MAA/Au electrode
2.6 Hybridization on the electrode surface
2.7 Electrochemical measurement
3. Results and Discussion
3.1 Electrochemical studies of MB with ssDNA and dsDNA in solution
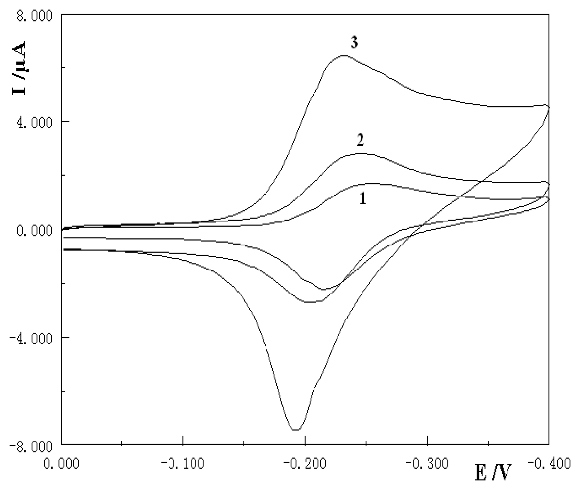
3.2 Cyclic voltammogram of MB on different modified electrodes
3.3 Electrochemical behavior of MB on ssDNA or dsDNA modified electrode
3.4 Calibration curve
3.5 Application to the detection of PCR product from the NOS gene
4. Conclusions
Acknowledgments
References
- Drummond, T.G.; Hill, M.G.; Barton, J.K. Electrochemical DNA sensors. Nat. Biotechnol. 2003, 21, 1192–1199. [Google Scholar]
- Wang, J. Electrochemical nucleic acid biosensors. Anal. Chim. Acta 2002, 469, 63–71. [Google Scholar]
- Kavanagh, P.; Leech, D. Redox polymer and probe DNA tethered to gold electrodes for enzyme amplified amperometric detection of DNA Hybridization. Anal. Chem. 2006, 78, 2710–2716. [Google Scholar]
- Chang, Z.; Fan, H.; Zhao, K.; Chen, M.; He, P.G.; Fang, Y.Z. Electrochemical DNA biosensors based on palladium nanoparticles combined with carbon nanotubes. Electroanalysis 2008, 20, 131–136. [Google Scholar]
- Wang, J.; Chicharro, M.; Rivas, G.; Cai, X.H.; Dontha, N.; Farias, P. A. M.; Shiraishi, H. DNA biosensor for the detection of hydrazines. Anal. Chem. 1996, 68, 2251–2254. [Google Scholar]
- Xu, H. X.; Bard, A. J. Immobilization and hybridization of DNA on an aluminum(III) alkanebisphosphonate thin film with electrogenerated chemiluminescent detection. J. Am. Chem. Soc. 1996, 117, 2627–2631. [Google Scholar]
- Wang, B.Z.; Du, X.Y.; Zheng, J.; Jin, B.F. Electrochemical sensor based on immobilization of single stranded deoxyribonucleic acid on Pt electrode surface by avidin-biotin system. Chinese J. Anal. Chem. 2005, 33, 789–792. [Google Scholar]
- Ju, H.X.; Ye, Y.K.; Zhao, J.H.; Zhu, Y.L. Hybridization biosensor using di(2,2′-bipyridine) osmium (III) as electrochemical indicator for detection of polymerase chain reaction product of hepatitis B virus DNA. Anal. Biochem. 2003, 313, 255–261. [Google Scholar]
- Kerman, K.; Ozkan, D.; Kara, P.; Meric, B.; Gooding, J. J.; Ozsoz, M. Voltammetric determination of DNA hybridization using methylene blue and self-assembled alkanethiol monolayer on gold electrodes. Anal. Chim. Acta 2002, 462, 39–47. [Google Scholar]
- Jiao, K.; Xu, G.Y.; Zhang, X.Z.; Mi, C.H. Preparation and voltammetric characterization of DNA modified electrode with ethylenediamine as arm molecule. Chem. J. Chin. Univ. 2005, 26, 841–843. [Google Scholar]
- Liu, S.H.; Sun, C.L.; He, P.G.; Fang, Y.Z. Immobilization of single stranded deoxyribonucleic acid onto graphite electrodes. Chin. J. Anal. Chem. 1999, 27, 131–134. [Google Scholar]
- Millan, K.M.; Saraullo, A.; Mikkelsen, S.R. Voltammetric DNA biosensor for cystic fibrosis based on a modified carbon paste electrode. Anal. Chem. 1994, 66, 2943–2948. [Google Scholar]
- Tokonami, S.; Shiigi, H.; Nagaoka, T. Preparation of nanogapped gold nanoparticle array for DNA detection. Electroanalysis 2008, 20, 355–360. [Google Scholar]
- Gao, M.; Qi, H.L.; Gao, Q.; Zhang, C.X. Electrochemical detection of DNA hybridization Based on the probe labeled with carbon-nanotubes loaded with silver nanoparticles. Electroanalysis 2008, 20, 123–130. [Google Scholar]
- Liu, S.F.; Yong-fang Li, Y.F.; Jin-ru Li, J.R.; Jiang, L. Enhancement of DNA immobilization and hybridization on gold electrode modified by nanogold aggregates. Biosens. Bioelectron. 2005, 21, 789–795. [Google Scholar]
- Wang, M.J.; Chunyan Sun, C.Y.; Wang, L.Y.; Ji, X.H.; Bai, Y.B.; Li, T.J.; Li, J.H. Electrochemical detection of DNA immobilized on gold colloid particles modified self-assembled monolayer electrode with silver nanoparticle label. J. Pharm. Biomed. Anal. 2003, 33, 1117–1125. [Google Scholar]
- Lucarelli, F.; Marrazza, G.; Turnor, A.P. F.; Mascini, M. Carbon and gold electrodes as electrochemical transducers for DNA hybridization sensors. Biosens. Bioelectron. 2004, 19, 515–530. [Google Scholar]
- Millan, K.M.; Mikkelsen, S.R. Sequence-selective biosensor for DNA based on electroactive hybridization indicators. Anal. Chem. 1993, 65, 2317–2323. [Google Scholar]
- Su, X.Y.; He, P.G.; Liu, S.H.; Ye, J.N.; fang, Y.Z. Immobilization of single-stranded deoxyribonucleic acid on gold electrode with self-assembled aminoethanethiol monolayer for DNA electrochemical sensor applications. Talanta 1998, 47, 487–495. [Google Scholar]
- Ju, H.X.; Ye, B.F.; Gu, J.Y. Supermolecular interaction of ferrocenium with yeast DNA and application in electrochemical sensing for hybridization recognition of yeast DNA. Sensors 2004, 4, 71–83. [Google Scholar]
- Tani, A.; Thomson, A.J.; Butt, J.N. Methylene blue as an electrochemical discriminator of single- and double-stranded oligonucleotides immobilized on gold substrates. Analyst 2001, 126, 1756–1759. [Google Scholar]
- Erdem, A.; Kerman, K.; Meric, B.; Ozsoz, M. Methylene blue as a novel electrochemical hybridization indicator. Electroanalysis 2001, 13, 219–223. [Google Scholar]
- Erdem, A.; Kerman, K.; Meric, B.; Akarca, U.S.; Ozsoz, M. Novel hybridization indicator methylene blue for the electrochemical detection of short DNA sequences related to the hepatitis B virus. Anal. Chim. Acta. 2000, 422, 139–149. [Google Scholar]
- Kelley, S.O.; Barton, J.K.; Jackson, N.M.; Hill, M.G. Electrochemistry of methylene blue bound to a DNA-modified electrode. Bioconjugate Chem. 1997, 8, 31–37. [Google Scholar]
- Gu, J.Y.; Lu, X.J.; Ju, H.X. DNA sensor for recognition of native yeast DNA sequence with methylene blue as an electrochemical hybridization indicator. Electroanalysis 2002, 14, 949–954. [Google Scholar]
- Yang, W.R.; Ozsoz, M.; Hibbert, D.B.; Gooding, J.J. Evidence for the direct interaction between methylene blue and guanine bases using DNA-modified carbon paste electrodes. Electroanalysis 2002, 14, 1299–1302. [Google Scholar]
- Ju, H.X.; Ye, Y.K.; Zhu, Y.L. Interaction between nile blue and immobilized single- or double-stranded DNA and its application in electrochemical recognition. Electrochim. Acta 2005, 50, 1361–1367. [Google Scholar]







| Solution | Epa/V | Epc/V | ipa/µA | ipc/µA | ΔEp/mV | E0′/V |
|---|---|---|---|---|---|---|
| MB | ‐0.170 | ‐0.208 | ‐2.904 | 2.971 | 38 | ‐0.189 |
| MB+ssDNA | ‐0.178 | ‐0.212 | ‐1.661 | 2.301 | 34 | ‐0.195 |
| MB+dsDNA | ‐0.186 | ‐0.210 | ‐0.890 | 1.626 | 24 | ‐0.198 |
© 2008 by the authors; licensee Molecular Diversity Preservation International, Basel, Switzerland. This article is an open-access article distributed under the terms and conditions of the CreativeCommons Attribution license (http://creativecommons.org/licenses/by/3.0/).
Share and Cite
Zhu, L.; Zhao, R.; Wang, K.; Xiang, H.; Shang, Z.; Sun, W. Electrochemical Behaviors of Methylene Blue on DNA Modified Electrode and Its Application to the Detection of PCR Product from NOS Sequence. Sensors 2008, 8, 5649-5660. https://doi.org/10.3390/s8095649
Zhu L, Zhao R, Wang K, Xiang H, Shang Z, Sun W. Electrochemical Behaviors of Methylene Blue on DNA Modified Electrode and Its Application to the Detection of PCR Product from NOS Sequence. Sensors. 2008; 8(9):5649-5660. https://doi.org/10.3390/s8095649
Chicago/Turabian StyleZhu, Ling, Ruijun Zhao, Kegang Wang, Haibo Xiang, Zhimei Shang, and Wei Sun. 2008. "Electrochemical Behaviors of Methylene Blue on DNA Modified Electrode and Its Application to the Detection of PCR Product from NOS Sequence" Sensors 8, no. 9: 5649-5660. https://doi.org/10.3390/s8095649
APA StyleZhu, L., Zhao, R., Wang, K., Xiang, H., Shang, Z., & Sun, W. (2008). Electrochemical Behaviors of Methylene Blue on DNA Modified Electrode and Its Application to the Detection of PCR Product from NOS Sequence. Sensors, 8(9), 5649-5660. https://doi.org/10.3390/s8095649
