High-Temperature Annealing of Random Telegraph Noise in a Stacked CMOS Image Sensor After Hot-Carrier Stress †
Abstract
1. Introduction
2. Materials and Methods
2.1. Test Chip Design and Characteristics
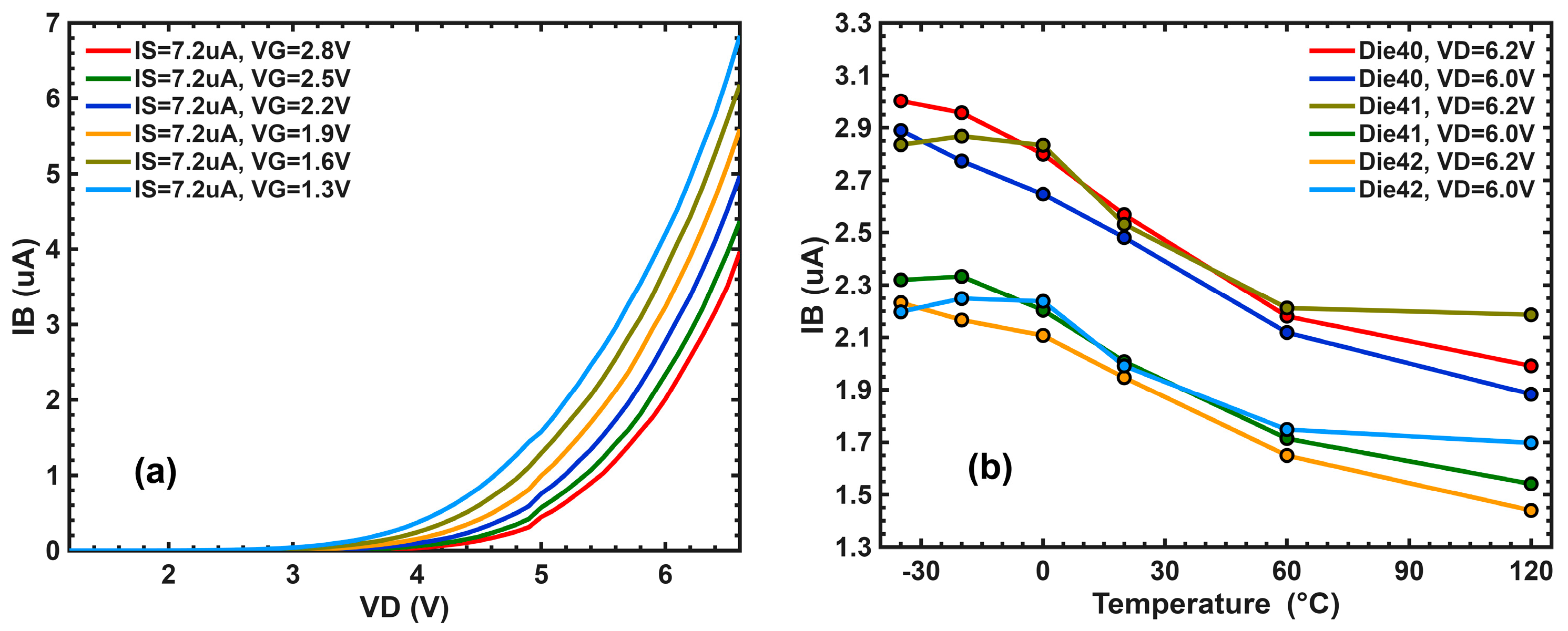
2.2. Hot-Carrier Injection and the Temperature Dependence
2.3. Hot-Carrier Stress and High-Temperature Annealing Experiments
3. Results
3.1. Temperature Dependence of the Hot-Carrier Stress
3.2. Effects of Stress and Annealing on Random Noise Distributions
3.3. Classification of the Random Noise Types
3.4. Key Findings
4. Discussion
5. Conclusions
Author Contributions
Funding
Institutional Review Board Statement
Informed Consent Statement
Data Availability Statement
Acknowledgments
Conflicts of Interest
Abbreviations
| CIS | CMOS Image Sensor |
| BSI | Backside-Illuminated |
| RN | Random Noise |
| RTN | Random Telegraph Noise |
| HCS | Hot-Carrier Stress |
| HCI | Hot-Carrier Injection |
Appendix A





References
- Chao, C.Y.-P.; Wu, T.M.-H.; Liu, C.C.-M.; Yeh, S.-F.; Lee, C.-L.; Tu, H.; Wu, Z.-D.; Huang, J.C.-Y.; Chang, C.-H. Recovery of Random Telegraph Noise in a Stacked CMOS Image Sensor by High-Temperature Annealing after Hot-Carrier Stress. In Proceedings of the 2025 Int’l Image Sensor Workshop (IISW), Awaji, Japan, 2–5 June 2025; pp. 69–72. [Google Scholar] [CrossRef]
- Gupta, D.C.; Brown, G.A. Gate Dielectric Integrity—Material Process, and Tool Qualification; American Society for Testing and Materials (ASTM): West Conshohoken, PA, USA, 2000. [Google Scholar] [CrossRef]
- Dumin, D.J. (Ed.) Oxide Wearout, Breakdown, and Reliability. In Oxide Reliability—A Summary of Silicon Oxide Wearout, Breakdown, and Reliability; World Scientific Publishing Company: Singapore, 2002; pp. 1–102. [Google Scholar] [CrossRef]
- Grasser, T. (Ed.) Hot Carrier Degradation in Semiconductor Devices; Springer International Publishing AG: Cham, Switzerland, 2015. [Google Scholar] [CrossRef]
- Grasser, T. (Ed.) Noise in Nanoscale Semiconductor Devices; Springer International Publishing AG: Cham, Switzerland, 2020. [Google Scholar] [CrossRef]
- Tan, S.; Tahoori, M.; Kim, T.; Wang, S.; Sun, Z.; Kiamehr, S. Chapter 13 Transistor Aging Effects and Reliability—Introduction. In Long-Term Reliability of Nanometer VLSI Systems—Modeling, Analysis and Optimization; Springer Nature Switzerland AG: Cham, Switzerland, 2019; pp. 279–304. [Google Scholar] [CrossRef]
- McPherson, J.W. Chapter 12.7 Hot-Carrier Injection. In Reliability Physics and Engineering—Time-to-Failure Modeling, 3rd ed.; Springer Nature Switzerland AG: Cham, Switzerland, 2019; pp. 207–211. [Google Scholar] [CrossRef]
- El-Kareh, B.; Hutter, L.N. Chapter 11 Chip Reliability. In Silicon Analog Components—Device Design, Process Integration, Characterization, and Reliability, 2nd ed.; Springer Nature Switzerland AG: Cham, Switzerland, 2020; pp. 539–620. [Google Scholar] [CrossRef]
- Rossi, D. Chapter 2 The Effects of Ageing on the Reliability and Performance of Integrated Circuits. In Ageing of Integrated Circuits—Causes, Effects and Mitigation Techniques; Halak, B., Ed.; Springer Nature Switzerland AG: Cham, Switzerland, 2020; pp. 35–64. [Google Scholar] [CrossRef]
- Lee, G.-D.R.; Kim, D.-H.; Kwon, D.; Park, J.-E.; Cho, D.; Kang, J.; Park, G.; Kang, J.; Jang, M.; Oh, S.; et al. A 0.5 μm Pixel 3-layer Stacked CMOS Image Sensor with Deep Contact and In-pixel Cu-Cu Bonding Technology. In Proceedings of the IEEE Int’l Electron Devices Meeting (IEDM), San Francisco, CA, USA, 9–13 December 2023; pp. 40.1.1–40.1.4. [Google Scholar] [CrossRef]
- Kim, D.-H.; Cho, K.; Ji, H.-C.; Kim, M.; Kim, J.; Kim, T.; Seo, S.; Im, D.; Lee, Y.-N.; Choi, J.; et al. A 1/1.56-inch 50Mpixel CMOS Image Sensor with 0.5 μm pitch Quad Photodiode Separated by Front Deep Trench Isolation. In Proceedings of the IEEE Int’l Solid-State Circuit Conference (ISSCC), San Francisco, CA, USA, 18–22 February 2024; pp. 118–119. [Google Scholar] [CrossRef]
- Satake, Y.; Tanaka, Y.; Sato, S.; Takase, M.; Hoyano, M.; Kasukawa, S.; Tomita, M.; Kikuchi, Y.; Yamamoto, J.; Tokuhiro, K.; et al. Low Dark Noise and 8.5 ke− Full Well Capacity in a 2-Layer Transistor Stacked 0.8 μm Dual Pixel CIS with Intermediate Poly-Si Wiring. In Proceedings of the IEEE Int’l Electron Devices Meeting (IEDM), San Francisco, CA, USA, 7–11 December 2024; pp. 1–4. [Google Scholar] [CrossRef]
- Kim, M.; Kim, D.; Chang, K.E.; Woo, K.; Yoon, K.; Ko, H.; Kim, J.; Cho, K.; Ji, H.-C.; Kim, S.-I.; et al. A 0.5 μm pixel-pitch 200-Megapixel CMOS Image Sensor with Partially Removed Front Deep Trench Isolation for Enhanced Noise Performance and Sensitivity. In Proceedings of the 2025 Int’l Image Sensor Workshop (IISW), Awaji, Japan, 2–5 June 2025; pp. 29–32. [Google Scholar] [CrossRef]
- Baek, S.; An, S.; Sul, D.; Fujita, M.; Jung, S.; Na, Y.; Jung, T.; Jeong, H.; Lee, M.; Park, E.; et al. A 0.45 μm-pitch Photodiode Based 1-layer Dual Pixel for CMOS Image Sensor with High Full-Well Capacity and Low Noise. In Proceedings of the 2025 Int’l Image Sensor Workshop (IISW), Awaji, Japan, 2–5 June 2025; pp. 33–36. [Google Scholar] [CrossRef]
- Chao, C.Y.-P.; Wu, T.M.-H.; Yeh, S.-F.; Lee, C.-L.; Tu, H.; Huang, J.C.-Y.; Chang, C.-H. Hot Carrier Injection Induced Random Telegraph Noise Degradation in a 0.8 μm-pitch 8.3Mpixel Stacked CMOS Image Sensor. In Proceedings of the 2023 Int’l Image Sensor Workshop (IISW), Crieff, UK, 22–25 May 2023; pp. 44–47. [Google Scholar] [CrossRef]
- Chao, C.Y.-P.; Wu, T.M.-H.; Yeh, S.-F.; Lee, C.-L.; Tu, H.; Huang, J.C.-Y.; Chang, C.-H. Random Telegraph Noise Degradation Caused by Hot Carrier Injection in a 0.8 μm-Pitch 8.3Mpixel Stacked CMOS Image Sensor. Sensors 2023, 23, 7959. [Google Scholar] [CrossRef] [PubMed]
- Tzou, J.J.; Yao, C.C.; Cheung, R.; Chan, H. Hot-Electron-Induced MOSFET Degradation at Low Temperatures. IEEE Electron Device Lett. 1985, 6, 450–452. [Google Scholar] [CrossRef]
- Heremans, P.; Bosch, G.V.D.; Bellens, R.; Groeseneken, G.; Maes, H. Temperature Dependence of the Channel Hot-Carrier Degradation of n-Channel MOSFET’s. IEEE Trans. Electron Devices 1990, 37, 980–993. [Google Scholar] [CrossRef]
- Song, M.; MacWillians, K.P.; Woo, J.C.S. Comparison of NMOS and PMOS Hot Carrier Effects from 300 to 77 K. IEEE Trans. Electron Devices 1997, 44, 268–276. [Google Scholar] [CrossRef]
- Tyaginov, S.; Jech, M.; Franco, J.; Sharma, P.; Kaczer, B.; Grasser, T. Understanding and Modeling the Temperature Behavior of Hot-Carrier Degradation in SiONn MOSFETs. IEEE Electron Device Lett. 2016, 37, 84–87. [Google Scholar] [CrossRef]
- Ruch, B.; Pobegen, G.; Grasser, T. Investigation of the Temperature Dependence of Hot-Carrier Degradation in Si MOSFETs Using Spectroscopic Charge Pumping. IEEE Trans. Electron Devices 2020, 67, 4092–4098. [Google Scholar] [CrossRef]
- Park, S.; Lee, C.; Park, S.; Park, H.; Lee, T.; Park, D.; Heo, M.; Park, I.; Yeo, H.; Lee, Y.; et al. A 64Mpixel CMOS Image Sensor with 0.56 μm Unit Pixels Separated by Front Deep-Trench Isolation. In Proceedings of the IEEE Int’l Solid-State Circuit Conference (ISSCC), San Francisco, CA, USA, 20–26 February 2022; pp. 108–109. [Google Scholar] [CrossRef]
- Kitamura, S.; Kimizuka, N.; Honjo, A.; Baba, K.; Kurobe, T.; Kumano, H.; Toyofuku, T.; Takeuchi, K.; Nishimura, S.; Kato, A.; et al. Low-Noise Multi-Gate Pixel Transistor for Sub-Micron Pixel CMOS Image Sensors. In Proceedings of the 2022 Symposium on VLSI Technology and Circuits (VLSI), Honolulu, HI, USA, 12–17 June 2022; pp. 347–348. [Google Scholar] [CrossRef]
- Kikuchi, Y.; Tomita, M.; Hayashi, T.; Chib, H.; Ogita, T.; Okawa, T.; Nishida, K.; Sugimoto, M.; Yoneyama, D.; Umeki, T.; et al. Noise Performance Improvements of 2-Layer Transistor Pixel Stacked CMOS Image Sensor with Non-doped Pixel-FinFETs. In Proceedings of the 2023 Symposium on VLSI Technology and Circuits (VLSI), Kyoto, Japan, 11–16 June 2023; pp. T07.4.1–T07.4.2. [Google Scholar] [CrossRef]
- Chao, C.Y.-P.; Wu, M.-H.; Yeh, S.-F.; Chang, C.-H.; Lee, C.-L.; Chou, K.-Y.; Tu, H. Statistical analysis of random telegraph noises of MOSFET subthreshold currents using a 1M array test chip in a 40 nm process. IEEE J. Electron Devices Soc. 2021, 9, 972–984. [Google Scholar] [CrossRef]
- Chao, C.Y.-P.; Tu, H.; Wu, T.M.-H.; Chou, K.-Y.; Yeh, S.-F.; Yin, C.; Lee, C.-L. Statistical analysis of the random telegraph noise in a 1.1 μm pixel, 8.3 MP CMOS image sensor using on-chip time constant extraction method. Sensors 2017, 17, 2704. [Google Scholar] [CrossRef] [PubMed]
- Lyding, J.W.; Hess, K.; Kizilyalli, I.C. Reduction of hot electron degradation in metal oxide semiconductor transistors by deuterium processing. Appl. Phys. Lett. 1996, 68, 2526–2528. [Google Scholar] [CrossRef]
- Tuttle, B.; Van de Walle, C.G. Structure, energetics, and vibrational properties of Si-H bond dissociation in silicon. Phys. Rev. B 1999, 59, 12884–12889. [Google Scholar] [CrossRef]
- Lee, J.; Cheng, K.; Chen, Z.; Hess, K.; Lyding, J.W.; Kim, Y.-K.; Lee, H.-S.; Kim, Y.-W.; Suh, K.-P. Application of High-Pressure Deuterium Annealing for Improving the Hot Carrier Reliability of CMOS Transistors. IEEE Electron Device Lett. 2000, 21, 221–223. [Google Scholar] [CrossRef]
- Koike, N.; Tatsuuma, K. A Drain Avalanche Hot Carrier Lifetime Model for n- and p-Channel MOSFET’s. In Proceedings of the Int’l Reliability Physics Symposium (IRPS), Dallas, TX, USA, 7–11 April 2002; pp. 86–92. [Google Scholar] [CrossRef]
- Kwon, H.-M.; Han, I.-S.; Kwon, S.-K.; Jang, J.-H.; Kwak, H.-Y.; Choi, W.-I.; Ha, M.-L.; Lee, J.-I.; Hwang, H.-S.; Lee, H.-D. Effects of High-Pressure Annealing on Random Telegraph Signal Noise Characteristic of Source Follower Block in CMOS Image Sensor. IEEE Electron Device Lett. 2013, 34, 190–192. [Google Scholar] [CrossRef]
- de Jong, M.J.; Salm, C.; Schmitz, J. Observations on the recovery of hot carrier degradation of hydrogen/deuterium passivated nMOSFETs. Microelectron. Reliab. 2017, 76–77, 136–140. [Google Scholar] [CrossRef]
- Jech, M.; El-Sayed, A.-M.; Tyaginov, S.; Waldhör, D.; Bouakline, F.; Saalfrank, P.; Jabs, D.; Jungemann, C.; Waltl, M.; Grasser, T. Quantum Chemistry Treatment of Silicon-Hydrogen Bond Rupture by Nonequilibrium Carriers in Semiconductor Devices. Phys. Rev. Appl. 2021, 16, 014026. [Google Scholar] [CrossRef]
- Wang, R.; Sun, Z.; Liu, Y.-Y.; Yu, Z.; Wang, Z.; Jiang, X.; Huang, R. Understanding Hot Carrier Reliability in FinFET Technology from Trap-based Approach. In Proceedings of the IEEE Int’l Electron Devices Meeting (IEDM), San Francisco, CA, USA, 11–16 December 2021; pp. 661–664. [Google Scholar] [CrossRef]
- Skuja, L. Optical active oxygen-deficiency-related centers in amorphous silicon dioxide. J. Non-Cryst. Solids 1998, 239, 16–48. [Google Scholar] [CrossRef]
- Pantelides, S.T.; Lu, Z.-Y.; Nicklaw, C.; Bakos, T.; Rashkeev, S.N.; Fleetwood, D.M.; Schrimpf, R.D. The E’ center and oxygen vacancies in SiO2. J. Non-Cryst. Solids 2008, 239, 217–223. [Google Scholar] [CrossRef]
- Wilhelmer, C.; Waldhoer, D.; Jech, M.; El-Sayed, A.-M.B.; Cvitkovich, L.; Waltl, M.; Grasser, T. Ab initio investigations in amorphous silicon dioxide: Proposing a multi-state defect model for electron and hole capture. Microelectron. Reliab. 2022, 139, 114801. [Google Scholar] [CrossRef]










| Before Stress | After Stress | After Annealing | Case | |||
|---|---|---|---|---|---|---|
| RTN | 5188 | RTN | 2380 | RTN | 2314 | 111 |
| Non-RTN | 66 | 110 | ||||
| Non-RTN | 2808 | RTN | 2047 | 101 | ||
| Non-RTN | 761 | 100 | ||||
| Non-RTN | 994,588 | RTN | 28,388 | RTN | 532 | 011 |
| Non-RTN | 27,856 | 010 | ||||
| Non-RTN | 966,200 | RTN | 1779 | 001 | ||
| Non-RTN | 964,421 | 000 | ||||
Disclaimer/Publisher’s Note: The statements, opinions and data contained in all publications are solely those of the individual author(s) and contributor(s) and not of MDPI and/or the editor(s). MDPI and/or the editor(s) disclaim responsibility for any injury to people or property resulting from any ideas, methods, instructions or products referred to in the content. |
© 2026 by the authors. Licensee MDPI, Basel, Switzerland. This article is an open access article distributed under the terms and conditions of the Creative Commons Attribution (CC BY) license.
Share and Cite
Chao, C.Y.-P.; Wu, T.M.-H.; Liu, C.C.-M.; Yeh, S.-F.; Lee, C.-L.; Tu, H.; Wu, Z.-D.; Huang, J.C.-Y.; Chang, C.-H. High-Temperature Annealing of Random Telegraph Noise in a Stacked CMOS Image Sensor After Hot-Carrier Stress. Sensors 2026, 26, 282. https://doi.org/10.3390/s26010282
Chao CY-P, Wu TM-H, Liu CC-M, Yeh S-F, Lee C-L, Tu H, Wu Z-D, Huang JC-Y, Chang C-H. High-Temperature Annealing of Random Telegraph Noise in a Stacked CMOS Image Sensor After Hot-Carrier Stress. Sensors. 2026; 26(1):282. https://doi.org/10.3390/s26010282
Chicago/Turabian StyleChao, Calvin Yi-Ping, Thomas Meng-Hsiu Wu, Charles Chih-Min Liu, Shang-Fu Yeh, Chih-Lin Lee, Honyih Tu, Zhong-Da Wu, Joey Chiao-Yi Huang, and Chin-Hao Chang. 2026. "High-Temperature Annealing of Random Telegraph Noise in a Stacked CMOS Image Sensor After Hot-Carrier Stress" Sensors 26, no. 1: 282. https://doi.org/10.3390/s26010282
APA StyleChao, C. Y.-P., Wu, T. M.-H., Liu, C. C.-M., Yeh, S.-F., Lee, C.-L., Tu, H., Wu, Z.-D., Huang, J. C.-Y., & Chang, C.-H. (2026). High-Temperature Annealing of Random Telegraph Noise in a Stacked CMOS Image Sensor After Hot-Carrier Stress. Sensors, 26(1), 282. https://doi.org/10.3390/s26010282

