Next Article in Journal
Thermography in Bike Fitting: A Literature Review
Next Article in Special Issue
Motion Analysis in Alpine Skiing: Sensor Placement and Orientation-Invariant Sensing
Previous Article in Journal
Uncertainty Analysis of Fiber Optic Shape Sensing Under Core Failure
Previous Article in Special Issue
Instrumenting Parkrun: Usefulness and Validity of Inertial Sensors
 
 
Font Type:
Arial Georgia Verdana
Font Size:
Aa Aa Aa
Line Spacing:
Column Width:
Background:
Article

Comparison of Smart Bands with MEMS and Motion Tracking Systems Used in Running †

1
Faculty of Technology & Bionics, Rhine-Waal University of Applied Sciences, 47533 Cleve, Germany
2
School of Engineering and Built Environment, Griffith University, Nathan 4111, QLD, Australia
*
Author to whom correspondence should be addressed.
This manuscript is an extended version of the conference paper: Stamm, A.; Hartanto, R. Feature Extraction from MEMS Accelerometer and Motion Tracking Measurements in Comparison with Smart Bands during Running. Proceedings 2018, 2, 197, doi:10.3390/proceedings2060197.
Sensors 2025, 25(8), 2354; https://doi.org/10.3390/s25082354
Submission received: 18 December 2024 / Revised: 31 March 2025 / Accepted: 3 April 2025 / Published: 8 April 2025
(This article belongs to the Special Issue Inertial Sensing System for Motion Monitoring)

Abstract

This research utilizes a self-developed inertial sensor in conjunction with a motion tracking system and four Smart Bands to record a runner’s movements and extract parameters such as step numbers, length, and frequencies at different running speeds. The data obtained were processed to find the number of steps taken. These steps were also recorded by an IMU (inertial measurement unit) and motion tracking system (MoCap—Motion Capturing) and used to compare the different systems and find their agreement at different running speeds. The results show a very strong correlation between the IMU and the motion tracking system with r2 = 0.968 at 6 km/h, r2 = 0.991 at 8 km/h, r2 = 0.991 at 10 km/h, and r2 = 0.996 at 12 km/h. The Xiaomi Mi Band 2 showed an r2 = 0.861 at 6 km/h, r2 = 0.985 at 8 km/h, r2 = 0.977 at 10 km/h, and r2 = 0.987 at 12 km/h and can therefore be considered a good replacement for an IMU.

1. Introduction

Investigating the performance of athletes or amateurs to record training progress is of great interest not only to coaches and athletes but also to amateur runners nowadays. Technology development in recent years has made a large number of devices available for tracking running sessions. Smart bands, for example, are already available at around USD 20 and can record and present results to users. These smart bands could be used to complement or even substitute professional systems such as video camera systems [1], GPS devices [2], and contact force plates [3]. GPSs allow for the very accurate tracking of an athlete but need a direct line of sight to a satellite, which limits them to outdoor use. The manufacturers of smart bands state that their devices are as accurate as professional equipment. While major problems in a running style can be seen and identified by a coach, small problems need the help of technical equipment to identify areas of improvement.
Professional equipment, with its complexity in use and low availability, leads to athletes not being able to monitor each training session at a detailed level. In comparison, smart bands are cheap, easy to use, and therefore available to everyone.
Smart bands are capable of measuring the number of steps taken and use this to calculate the distance traveled and calories burned during a run. The recorded data are usually transferred to a Smartphone where they are locally stored and uploaded to the cloud. Smartphone apps also represent the recorded data graphically and therefore simplify interpretation for the user and allow them to keep a history of old training sessions for comparison. Compared with smart bands, IMUs have been used by many researchers to analyze running and walking [1,2,3,4,5]. This study builds on a previous publication [6], further investigates the data collected from smart bands, and compares these data with the recorded IMU data at different running speeds.
Smart bands are small, light, and easy to use and can be operated without any technical knowledge. These small devices do not hinder or restrict athletes during running and will therefore help to increase the number of monitored training sessions significantly. With sensors and technology, fitted Smart Bands enable the continuous monitoring and recording of physiological and movement-related data. By incorporating components such as accelerometers, gyroscopes, and heart rate sensors, Smart Bands can record an athlete’s physical activity [3,6,7]. Smart bands have been used for interactions with video games [7], vertical impact loading during outdoor running [8], automatic step counting with respect to the level of activity of a person [9], and for differentiation between mental stress and activities [10].
Quantifying athletes’ running information can be conducted using video systems, GPS devices, and motion tracking systems in conjunction with treadmills. Video analysis is used as the gold standard but has some drawbacks, such as (a) parallax errors, (b) inaccuracy in measurements due to unrecognizable reference points, and (c) the extensive time taken to digitize data (frame by frame). Long post-processing is one of the major problems associated with this method and does not allow for post session feedback to be delivered to athletes/coaches. MoCap systems have similar problems, as they are complex to set up and need some post-processing time before the results are made available to athletes/coaches [3].
This manuscript is an extended version of [6], with a significant extension enabled by more data analysis (considering individual speeds for each smart band), new comparisons, new statistics, and more detailed results, allowing us to present more valuable results to the reader.
There are no scientific investigations, to our knowledge, that have validated the accuracy of Smart Bands or Smart Watches against IMUs or MoCap systems. We therefore have the opinion that this research is unique and the first to scientifically investigate the accuracy of Smart Bands in terms of step count and distance run.
This study investigates how well Smart Bands can deliver step count and distance results as performance measures and how accurate these devices are compared to gold standard systems like MoCap, video camera systems, or IMUs. This research uses the recorded tri-axial acceleration of a sacrum-mounted IMU [11], a MoCap system, and compares the findings with the data recorded by four wrist-worn smart bands to find the step count and distance run.

2. Materials and Methods

2.1. Instrumentation

This study used the SABEL Sense (IMU) [11], which contains a tri-axial accelerometer with a range of ±16 g, a tri-axial gyroscope (2000 degrees per second), and a tri-axial magnetometer. The IMU was set to record at a sampling rate of 100 Hz. A U.N.O. LTX6 Professional treadmill (Beny Sports Germany GmbH, Nuernberg, Germany [12]) was used as a second reference system. The four different Smart Bands used within this study were as follows: Fitbit Alta (Fitbit Inc., San Francisco, CA, USA [13]), Samsung Gear Fit SM-R350 (Samsung Electronics GmbH, Schwalbach/Taunus, Germany [14]), Vidonn X6 (Vidonn Information Technology Co., Ltd., Shenzhen, China [15]), and Xiaomi MiBand 2 (Xiaomi Singapore Pte. Ltd., Singapore, Singapore [16]). These four Smart Bands were chosen as they represent the typical bands sold at this time and their availability in research labs.
The motion tracking system used in this research consists of 8 NaturalPoint OptiTrack Prime 13 cameras (Natural Point Inc., Corvallis, OR, USA [17]) which were calibrated before the experiments were started, and the motion tracking software Motive was also used [18]. The motion tracking system was set to record at a sampling rate of 200 Hz. The IMU was attached at the center of an Optitrack Riged Body Base (Part number MCP1145) with three Optitrack M4 12.7 mm markers (Part number MKR127M4) attached to this base to form a trackable rigid body object.

2.2. Data Collection

Six participants (see Table 1) with different experience levels took part in this study, which was approved by the institution’s ethics committee in line with the Helsinki protocol for human research. Data were collected in an indoor lab environment. Each participant used the first low-effort running session as a personal warm up followed by another low-effort, two medium-effort, and one full-effort run. Each run had a duration of 5 min. Low, medium, and full effort were indicated as either 6 km/h–8 km/h–10 km/h or alternatively as 8 km/h–10 km/h–12 km/h depending on the participant’s experience and current training level, and they were selected by the participants.
In this study, the IMU was attached to the athlete by either using a belt or Velcro when the athlete was using special training pants. The belt/Velcro movement in relation to the skin/bone movement was considered to have only very little influence on the measurements as only acceleration peaks (in running more than 5 g during impact) were used for step detection. These very small movements from the Velcro/belt are in a magnitude so small (less than 0.5 g) in comparison to the foot impact of more than 5 g that these can be neglected as they are not relevant for our peak detection algorithm. The vertical direction, which was aligned with the spine, is represented by ax, the mediolateral direction by ay, and the anterior–posterior direction by az. Smart Bands were worn on the left lower arm in the following order, starting from the hand: FitBit, Vidonn, Samsung, and Xiaomi (see Figure 1). For data collection, the proprietary software provided by each manufacturer was used. The IMU data were downloaded wirelessly into MATLAB® directly at the end of each running trial, while the treadmill and Smart Band data were recorded manually and transferred into MATLAB®. The motion tracking data were exported from MOTIVE as a CSV file and directly imported into MATLAB®.

2.3. Data Processing

The IMU-recorded acceleration data were first calibrated before the data analysis was undertaken in MATLAB®. The downloaded acceleration data collected by the IMU were first calibrated using a calibration method similar to the method described by Lai et al. [19] before they were high-pass-filtered using a Hamming windowed FIR filter with a 0.5 Hz cut-off frequency as described by Stamm et al. [20]. This was conducted to remove the sensor orientation from the acceleration signal (gravity removal). Figure 2 presents a data set recorded by the IMU (a_tot—total acceleration) of one running trial (participant 1, blue) with the overlapped filtered gravity component (red).
The vertical direction was further investigated to find the number of steps taken. This was achieved by applying a peak detection algorithm after the vertical direction data were filtered with a Hamming window FIR filter with a cut-off frequency of 5 Hz. This way, errors in the peak detection process were reduced. Figure 3 presents the vertical direction data (blue) at the start of one low-effort trial with the filtered data overlaid (red), which were used for the peak detection algorithm.
The data recorded by the motion tracking system were imported into MATLAB® for processing. Figure 4a shows the ay channel (which was aligned with the spine) of the imported data from the motion tracking system where the peak detection algorithm could be applied without any further pre-processing. The implemented peak detection algorithm was used to find the number of steps taken for both data sets before they were stored in an array for further analysis (see Table 2). A linear regression analysis (coefficient of determination) comparing the number of steps (all trials) extracted from the IMU and the motion tracking system was conducted to show the alignment of both methods (Figure 4b). Moreover, a Bland–Altman analysis was carried out to compare the IMU and motion tracking measurements (Figure 5). Later, the step data of every smart band were compared with the steps derived from the IMU in a similar way to find the agreement between the two methods.
One key aim of this study was to validate the IMU mounted at the lower back of the participants as being a replacement for a complex MoCap. The results gathered from the comparison of these two systems showed a very strong correlation at all four different measured speeds with r2 = 0.968 at 6 km/h; r2 = 0.991 at 8 km/h; r2 = 0.991 at 10 km/h; and r2 = 0.996 at 12 km/h, respectively. It can be seen that over these increases in speeds (from 6 km/h to 12 km/h), the correlation also increased to a value nearly showing perfect correlation. This leads to the conclusion that both systems can detect the number of steps taken with the same accuracy.
Utilizing this knowledge, further analysis was only carried out by comparing the measurements recorded by the different Smart Bands with the IMU-derived data. The results for the Smart Bands were evaluated to be independent from the speed of the participant and trial.

3. Results

One trial had to be excluded from the data analysis due to a problem with the IMU. Three further trials showed problems with the step counters of two Smart Bands. This left a total of 29 running trials for further analysis (see those not colored in Table 2) as the problems with the Smart Bands occurred for only one smart band at any time, so data analysis could be carried out for all other Smart Bands. Table 2 presents the steps, and Table 3 presents the distances recorded by all devices for the individual participants and speeds.
Investigating the recorded data further shows that the Vidonn smart band had two outliers at the speed of 8 km/h and that the Samsung band had one outlier at the speed of 12 km/h (marked gray in Table 2). These data points were disregarded for the statistical analysis. It, however, remains unclear why these outliers were recorded by these Smart Bands.
Linear regression analysis in our previous study [6] showed a very strong agreement with a slope of 1.011 and an r2 of 0.998 (Figure 4b) between the IMU and the motion tracking system. Bland–Altman analysis was additionally used to find the agreement between these two methods in our previous study. The result showed a bias of 3.86 with an upper limit of agreement of 17.8 and a lower limit of agreement of −9.99 with all data points inside the 95% confidence bounds. The scattering around the bias was even and followed a normal distribution with a skewness of 0.65 and a kurtosis of 2.05. Because of this very strong agreement, further data analysis was only carried out with the number of steps derived from the IMU compared with the individual Smart Bands.
Table 4 presents the results of the different speeds and the different Smart Bands with their individual correlation coefficient and slope.
It can be seen that the correlation coefficient r2 changes for each Smart Band at different speeds. For example, the Samsung band has perfect correlation at the slowest investigated speed of 6 km/h, while the correlation decreases with increasing speed, leading to a correlation of only 0.113 at 12 km/h. Compared to this, the Xiaomi band has a correlation of 0.861 at 6 km/h and has an increasing correlation with increasing speeds, leading to a correlation of 0.987 at 12 km/h.
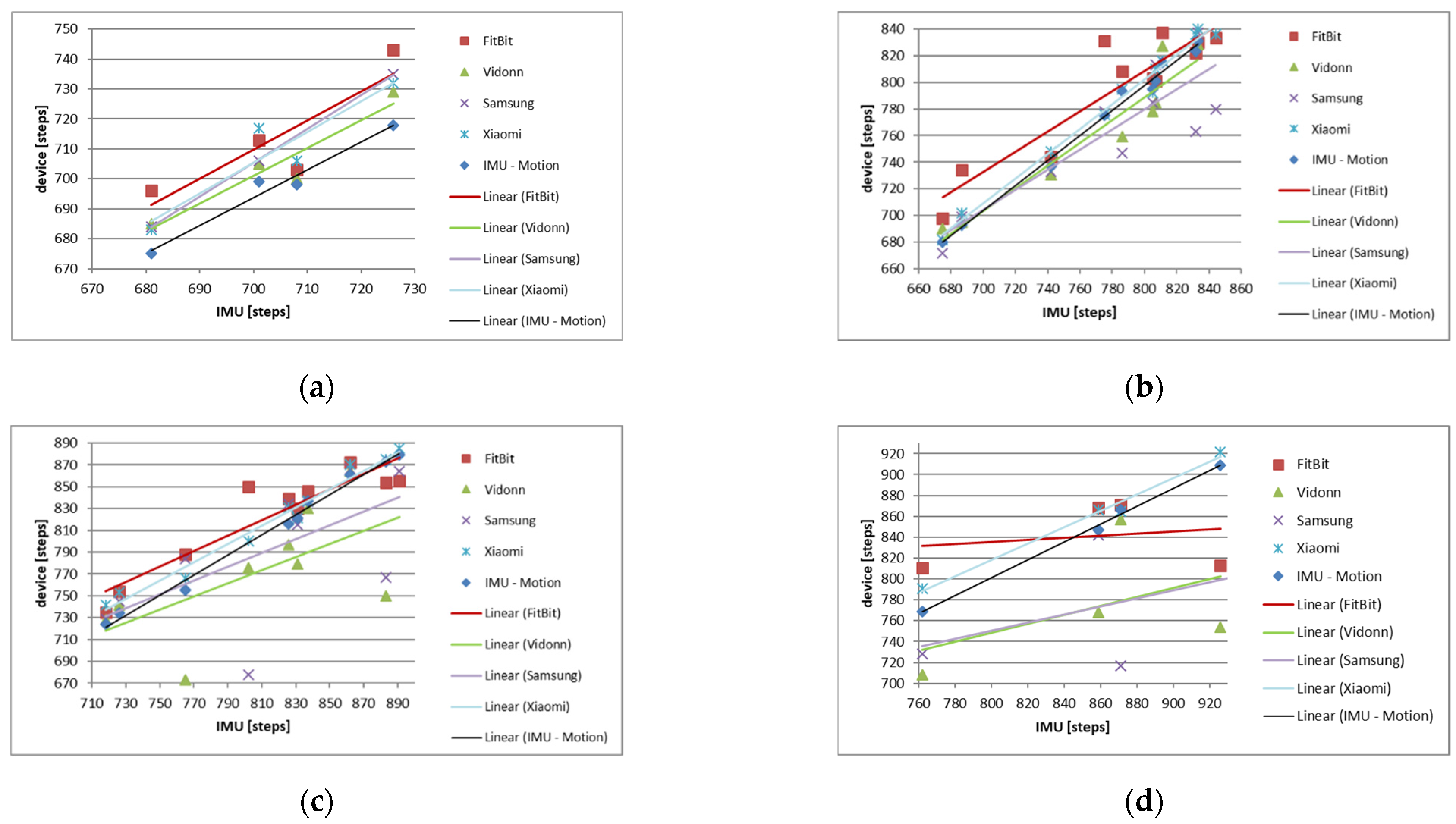
Figure 6a presents the trend line for all Smart Bands and the motion tracking system in relation to the IMU at 6 km/h. It can be seen that the slopes of all five investigated devices are similar. Figure 6b presents the slopes at the speed of 8 km/h.
Figure 6c presents the slopes at the speed of 10 km/h with all bands having similar slopes again. Figure 6d presents the slopes at the speed of 12 km/h. This figure confirms that only the Xiaomi band is graphically in line with the IMU-Motion trend line showing a very similar slope. All other bands have different slopes which are not in agreement with the two aforementioned ones.
Figure 7 presents the step length calculated by dividing the distance (recorded from the Smart Bands) by the number of steps taken.
Figure 8 presents the step length calculated by dividing the distance (recorded from the treadmill) by the number of steps taken.

4. Discussion

This research investigated how well Smart Bands can measure the number of steps taken while running on a treadmill. It utilized a MoCap in conjunction with a self-developed IMU attached to the sacrum of the participant as two reference systems, such as those investigated and compared by [21]. They investigated 231 research articles in conjunction with running and how IMUs are used in running research and found that the majority of research was conducted indoors. Another researcher investigated an IMU attached to the foot of runners and compared the results with a MoCap system [22]. They found Pearson correlations of 0.996 and 0.997 for two different measurements, leading to the assumption that IMUs worn on the foot can be a viable way to assess running kinematics. Additionally, by utilizing an IMU in conjunction with a treadmill, thus obtaining video data as well as data received from track running, [23] investigated how well an IMU could be used to find step counts and energy expenditure. They found an r2 of 0.96, which they reported as being in line with similar studies from other researchers. In summary, there have been many studies that compared IMUs with reference systems such as video-based ones or treadmills and found that the accuracy of the IMU-derived results were very strong. This leads to the conclusion that IMU measurements can be used in many sports as a replacement for a gold standard system. The two abovementioned reference systems were also used to conduct a comparison between the estimated step lengths recorded by the Smart Bands in [3,6]. Our study also used IMUs, a treadmill, and a MoCap system to compare our findings with these gold standard systems.
The validation of the four different Smart Bands showed that the Xiaomi MiBand 2 also had a strong correlation of r2 = 0.861 at 6 km/h followed by very strong correlations of r2 = 0.977 and above for the speeds of 8, 10, and 12 km/h. The FitBit Alta had a good correlation of r2 = 0.765 and above for the speeds of 6, 8, and 10 km/h followed by a very weak correlation of r2 =0.042 at 12 km/h. The Samsung Gear Fit had a perfect correlation of r2 = 1.000 at 6 km/h followed by a strong correlation of r2 = 0.748 at 8 km/h, a weak correlation of r2 = 0.387 at 10 km/h, and a very weak correlation of r2 = 0.113 at 12 km/h. The Vidonn X6 had a very strong correlation of r2 = 0.902 at 6 km/h followed by another strong correlation of r2 = 0.913 at 8 km/h, a weak correlation of r2 = 0.383 at 10 km/h, and a very weak correlation of r2 = 0.222 at 12 km/h. A more detailed analysis of the participants’ data was not undertaken as this study was focused on validating the accuracy of Smart Bands rather than the performance of an individual participant.
The comparison of the step lengths recorded by the Smart Bands showed that the FitBit and Vidonn use a constant step length regardless of the speed of the runner. However, the Samsung and Xiaomi Smart Bands show a trend of a dynamically increasing step length with increasing speed. This shows that the recorded distance of the Samsung and Xiaomi bands is more accurate than the recorded distance of the FitBit and Vidonn. Additionally, the comparison with the step length calculated using the distance recorded by the treadmill indicates a larger step length for all Smart Bands with a higher speed.
As the market of Smart Bands is changing quickly, an updated study with newer available Smart Bands should be carried out to investigate how accurately they can count steps. The trend that all investigated Smart Bands show a strong correlation at lower speeds needs to be investigated in more detail in a future study, e.g., by recording at more speeds and smaller steps. It could further be investigated how these Smart Bands perform under normal training conditions and not on a treadmill.

5. Conclusions

IMUs have been validated by many researchers (including the authors) to be a good substitute for a MoCap or video system and were therefore used as a standard device to compare the obtained results with [3,6,7,10]. The accuracy of the Xiaomi Smart Band can be considered very strong and therefore allows similar results to be obtained than those obtained by the IMU without the need for operating an IMU or analyzing the obtained data. The Samsung and Fitbit Smart Bands still have a strong correlation with the IMU at medium to lower speeds and therefore are still able to substitute the use of an IMU at these speeds, however, with a lower precision. The Vidonn Smart Band only offers a very strong correlation for the slowest investigated speed and therefore can only replace an IMU at this speed. Since the Samsung and Xiaomi Smart Bands use a greater step length with increasing speeds, the recorded distances are more accurate than the ones recorded by the FitBit and Vidonn.
The growing availability of these small-size and -weight Smart Bands allows for their wider uses for each individual athlete. Nevertheless, there are still large differences in the accuracy of these devices, with some devices being capable of substituting more expensive laboratory equipment such as IMUs or motion tracking systems. A good Smart Band therefore allows athletes or hobby sportspeople to track their training progress relatively accurately for every conducted training session.
This study investigated the accuracy of Smart Bands and showed that they cannot be used as a replacement for sophisticated equipment in its entirety. Only one manufacturer (Xiaomi) showed strong to very strong correlations of r2 = 0.861 at 6 km/h and r2 = 0.977 at 8, 10, and 12 km/h with the IMU as a reference system. It is therefore suggested to utilize these Smart Bands only for recreational athletes and not as a professional training substitute.

Author Contributions

Conceptualization, A.S. and R.H.; methodology, A.S.; software, A.S. and N.B.; validation, A.S., R.H., and N.B.; formal analysis, A.S. and N.B.; investigation, A.S. and R.H.; resources, A.S.; writing—original draft preparation, A.S.; writing—review and editing, R.H. and N.B.; visualization, A.S. and N.B.; project administration, A.S. All authors have read and agreed to the published version of the manuscript.

Funding

This research received no external funding.

Institutional Review Board Statement

The study was conducted in accordance with the Declaration of Helsinki, and approved by the Institutional Ethics Committee of University of Applied Sciences (approved 15 September 2017).

Informed Consent Statement

Informed consent was obtained from all subjects involved in this study.

Data Availability Statement

The data used for this study can be requested from the corresponding author.

Conflicts of Interest

The authors declare no conflicts of interest.

References

  1. Wang, J.R.; Parameswaran, N. Survey of sports video analysis: Research issues and applications. In Proceedings of the Pan-Sydney Area Workshop on Visual Information Processing, Sydney, Australia, 1 June 2004. [Google Scholar]
  2. Terrier, P.; Schutz, Y. Variability of gait patterns during unconstrained walking assessed by satellite positioning (GPS). Eur. J. Appl. Physiol. 2003, 90, 554–561. [Google Scholar] [CrossRef] [PubMed]
  3. Wixted, A.J.; Billing, D.C.; James, D.A. Validation of trunk mounted inertial sensors for analysing running biomechanics under field conditions, using synchronously collected foot contact data. Sports Eng. 2010, 12, 207–212. [Google Scholar] [CrossRef]
  4. Alonge, F.; Cucco, E.; Ippolito, F.; Pulizzotto, A. The Use of Accelerometers and Gyroscopes to Estimate Hip and Knee Angles on Gait Analysis. Sensors 2014, 14, 8430. [Google Scholar] [CrossRef] [PubMed]
  5. Tong, K.; Granat, M.H. A practical gait analysis system using gyroscopes. Med. Eng. Phys. 1999, 21, 87–94. [Google Scholar] [CrossRef] [PubMed]
  6. Stamm, A.; Hartanto, R. Feature Extraction from MEMS Accelerometer and Motion Tracking Measurements in Comparison with Smart Bands during Running. Proceedings 2018, 2, 197. [Google Scholar] [CrossRef]
  7. Marín-Lora, C.; Chover, M.; Martín, M.Y.; García-Rytman, L. Creating a treadmill running video game with smartwatch interaction. Multimed. Tools Appl. 2024, 83, 57709–57729. [Google Scholar] [CrossRef]
  8. Pirscoveanu, C.-I.; Oliveira, A.S. Sensitiveness of Variables Extracted from a Fitness Smartwatch to Detect Changes in Vertical Impact Loading during Outdoors Running. Sensors 2023, 23, 2928. [Google Scholar] [CrossRef] [PubMed]
  9. Genovese, V.; Mannini, A.; Sabatini, A.M. A Smartwatch Step Counter for Slow and Intermittent Ambulation. IEEE Access 2017, 5, 13028–13037. [Google Scholar] [CrossRef]
  10. Can, Y.S. Stressed or just running? Differentiation of mental stress and physical activityby using machine learning. Turk. J. Electr. Eng. Comput. Sci. 2022, 30, 312–327. [Google Scholar] [CrossRef]
  11. Hugo, G.; Espinosa, J.L. Daniel Arthur James. The inertial sensor: A base platform for wider adoption in sport science applications. J. Fit. Res. 2015, 4, 13–20. [Google Scholar]
  12. U.N.O. LTX6. Available online: https://benysports.de/manuals/Bedienungsanleitung_LTX6PRO_DE_2016.pdf (accessed on 1 December 2017).
  13. FitBit. Alta. Available online: https://www.fitbit.com/uk/alta#features (accessed on 1 December 2017).
  14. Samsung. Gear Fit SM-R350. Available online: https://www.samsung.com/de/support/model/SM-R3500ZKASEB/ (accessed on 1 December 2017).
  15. Vidonn. X6. Available online: https://img.banggood.com/file/products/20150304003054Vidonn%20x6.pdf (accessed on 1 December 2017).
  16. Xiaomi. MiBand 2. Available online: http://www.mi.com/en/miband2/ (accessed on 1 December 2017).
  17. OptiTrack. Prime 13. Available online: http://optitrack.com/products/prime-13/ (accessed on 1 December 2017).
  18. OptiTrack. Motive. Available online: http://optitrack.com/products/motive/ (accessed on 1 December 2017).
  19. Lai, A.; James, D.A.; Hayes, J.P.; Harvey, E.C. Semi-automatic calibration technique using six inertial frames of reference. In Proceedings of the Microelectronics: Design, Technology, and Packaging, Perth, Australia, 13–15 December 2004; SPIE: Bellingham, WA, USA, 2004; Volume 5274. [Google Scholar] [CrossRef]
  20. Stamm, A.; Thiel, D.V. Investigating Forward Velocity and Symmetry in Freestyle Swimming Using Inertial Sensors. Procedia Eng. 2015, 112, 522–527. [Google Scholar] [CrossRef]
  21. Benson, L.C.; Räisänen, A.M.; Clermont, C.A.; Ferber, R. Is This the Real Life, or Is This Just Laboratory? A Scoping Review of IMU-Based Running Gait Analysis. Sensors 2022, 22, 1722. [Google Scholar] [CrossRef] [PubMed]
  22. Benson, L.C.; Ahamed, N.U.; Kobsar, D.; Ferber, R. New considerations for collecting biomechanical data using wearable sensors: Number of level runs to define a stable running pattern with a single IMU. J. Biomech. 2019, 85, 187–192. [Google Scholar] [CrossRef]
  23. Wixted, A.J.; Thiel, D.V.; Hahn, A.G.; Gore, C.J.; Pyne, D.B.; James, D.A. Measurement of Energy Expenditure in Elite Athletes Using MEMS-Based Triaxial Accelerometers. IEEE Sens. J. 2007, 7, 481–488. [Google Scholar] [CrossRef]
Figure 1. Smart bands and the order in which they were attached to the participants.
Figure 1. Smart bands and the order in which they were attached to the participants.
Sensors 25 02354 g001
Figure 2. Data recorded by the IMU (blue) with the overlapped gravity component (red).
Figure 2. Data recorded by the IMU (blue) with the overlapped gravity component (red).
Sensors 25 02354 g002
Figure 3. Vertical direction IMU acceleration (blue) with the filtered acceleration data overlaid (red).
Figure 3. Vertical direction IMU acceleration (blue) with the filtered acceleration data overlaid (red).
Sensors 25 02354 g003
Figure 4. (a) Vertical distance recorded by motion tracking system in reference to ground; (b) regression analysis of IMU vs. motion tracking system.
Figure 4. (a) Vertical distance recorded by motion tracking system in reference to ground; (b) regression analysis of IMU vs. motion tracking system.
Sensors 25 02354 g004
Figure 5. Statistical analysis of IMU vs. motion tracking measurements. (a) Bland–Altman analysis. (b) Histogram of calculated step differences.
Figure 5. Statistical analysis of IMU vs. motion tracking measurements. (a) Bland–Altman analysis. (b) Histogram of calculated step differences.
Sensors 25 02354 g005
Figure 6. Regression analysis of IMU vs. motion tracking system and Smart Bands at (a) 6 km/h, (b) 8 km/h, (c) 10 km/h, and (d) 12 km/h.
Figure 6. Regression analysis of IMU vs. motion tracking system and Smart Bands at (a) 6 km/h, (b) 8 km/h, (c) 10 km/h, and (d) 12 km/h.
Sensors 25 02354 g006
Figure 7. Step length recorded by Smart Bands based on distance measured by Smart Bands sorted by speed.
Figure 7. Step length recorded by Smart Bands based on distance measured by Smart Bands sorted by speed.
Sensors 25 02354 g007
Figure 8. Step length recorded by Smart Bands based on distance measured by treadmill sorted by speed.
Figure 8. Step length recorded by Smart Bands based on distance measured by treadmill sorted by speed.
Sensors 25 02354 g008
Table 1. List of participants, with data on their height, mass, experience, and gender.
Table 1. List of participants, with data on their height, mass, experience, and gender.
Participant NumberHeight (cm)Mass (kg)ExperienceGender
118582NoviceMale
216167NoviceMale
316757NoviceFemale
417689RecreationalMale
517162RecreationalMale
616665TriathleteFemale
Table 2. The recorded steps of all different devices, speeds, and participants. X indicates a problem with the measurement; gray-colored measurements are identified as outliers and therefore not considered in the analysis.
Table 2. The recorded steps of all different devices, speeds, and participants. X indicates a problem with the measurement; gray-colored measurements are identified as outliers and therefore not considered in the analysis.
RunnerTrialSpeed km/hSteps Recorded
IMUMotion TrackingFitBitSamsungVidonnXiaomi
118675680698672690682
28687693734699695702
310726734754745742753
410718724735729728742
512762769811728708791
218786793808747759795
28775775831778X776
310802X850678776800
46701699713706705717
56681675696684685683
316726718743735729732
26708698703X700706
38742737744733731748
48XX745735720737
510765755788784673766
418811815837816827816
28833831830837828840
310862861872866864870
410837837846836830837
512871866871717857865
518807801801813785810
28805795803785778792
310831821830815779821
410826816839834797831
512859847868842768866
618832823822763565836
28844838833780557836
310883873854767750875
410891879855864X885
512926909813611754922
Table 3. The recorded distances of all different devices, speeds, and participants. X indicates a problem with the measurement; gray-colored measurements are identified as outliers and therefore not considered in the analysis.
Table 3. The recorded distances of all different devices, speeds, and participants. X indicates a problem with the measurement; gray-colored measurements are identified as outliers and therefore not considered in the analysis.
RunnerTrialSpeed km/hDistance Recorded [m]
TreadmillFitBitSamsungVidonnXiaomi
118660620630478500
28660550640482500
310830560700514600
410820550690505600
512990610730490600
218650610780517700
28660630790X600
310820640670538700
46490540650488500
56490530640475600
316490560690X600
26490520X485500
38660560720507600
48660530700499500
510820600800467700
418660700880573700
28660600920574700
3108307001010599800
410830600960575800
512970700840594800
518660610680544733
28660600820539700
310830620880540700
410830630890553700
512990650940532700
618660620840391700
28660630860386700
310830650990518900
4108206501040X800
512990590770522900
Table 4. The results of the linear regression analysis (steps) derived from the IMU vs. the motion tracking system and the individual Smart Bands clustered at different running speeds.
Table 4. The results of the linear regression analysis (steps) derived from the IMU vs. the motion tracking system and the individual Smart Bands clustered at different running speeds.
DeviceIMU—6 km/hIMU—8 km/hIMU—10 km/hIMU—12 km/h
r2Sloper2Sloper2Sloper2Slope
Motion tracking0.9681.0400.9911.0580.9911.0780.9961.163
FitBit0.7650.7860.8451.1160.8541.2050.0420.419
Samsung1.0000.8810.7480.9900.3870.6110.1130.291
Vidonn0.9020.9670.9131.0720.3830.6340.2220.516
Xiaomi0.8610.8360.9851.0620.9771.1670.9870.996
Disclaimer/Publisher’s Note: The statements, opinions and data contained in all publications are solely those of the individual author(s) and contributor(s) and not of MDPI and/or the editor(s). MDPI and/or the editor(s) disclaim responsibility for any injury to people or property resulting from any ideas, methods, instructions or products referred to in the content.

Share and Cite

MDPI and ACS Style

Stamm, A.; Hartanto, R.; Becker, N. Comparison of Smart Bands with MEMS and Motion Tracking Systems Used in Running. Sensors 2025, 25, 2354. https://doi.org/10.3390/s25082354

AMA Style

Stamm A, Hartanto R, Becker N. Comparison of Smart Bands with MEMS and Motion Tracking Systems Used in Running. Sensors. 2025; 25(8):2354. https://doi.org/10.3390/s25082354

Chicago/Turabian Style

Stamm, Andy, Ronny Hartanto, and Noah Becker. 2025. "Comparison of Smart Bands with MEMS and Motion Tracking Systems Used in Running" Sensors 25, no. 8: 2354. https://doi.org/10.3390/s25082354

APA Style

Stamm, A., Hartanto, R., & Becker, N. (2025). Comparison of Smart Bands with MEMS and Motion Tracking Systems Used in Running. Sensors, 25(8), 2354. https://doi.org/10.3390/s25082354

Note that from the first issue of 2016, this journal uses article numbers instead of page numbers. See further details here.

Article Metrics

Back to TopTop