Gait Parameters Can Be Derived Reliably and Validly from Augmented Reality Glasses in People with Parkinson’s Disease Performing 10-m Walk Tests at Comfortable and Fast Speeds
Abstract
1. Introduction
- Test-retest reliability for all systems and conditions separately (What are the limits of agreement of derived 10MWT parameters over repetitions?);
- Concurrent validity of AR 10MWT parameters against reference systems (How well do 10MWT parameters derived concurrently from AR and reference-system data agree?);
- Face validity of AR 10MWT parameters across comfortable and fast-but-safe execution of the 10MWT (Do the derived AR gait parameters vary in a-priori known directions?).
2. Materials and Methods
2.1. Subjects
2.2. Experimental Set-Up and Procedures
2.3. Data Acquisition
2.4. Data (Pre-)Processing
2.4.1. Test Completion Time
2.4.2. Step-Detection Algorithm
2.4.3. Gait Parameters
2.5. Statistical Analysis
3. Results
3.1. Test-Retest Reliability
3.2. Concurrent Validity
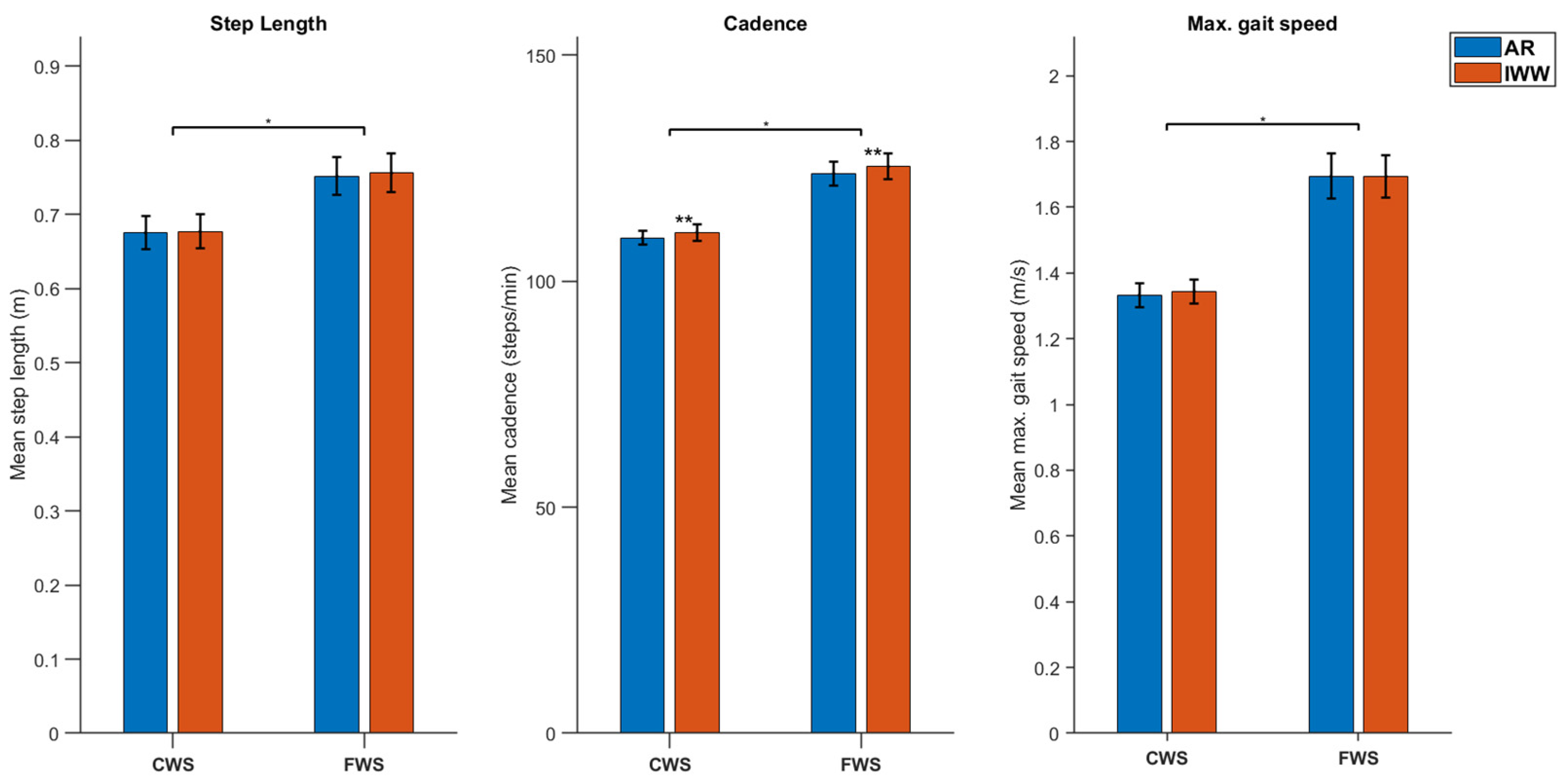
3.3. Face Validity
4. Discussion
4.1. Test-Retest Reliability and Concurrent Validity: A Comparison of Within-System and Between-Systems Agreement Statistics
4.2. Effects of Speed on 10MWT Parameters: A Comparison of Face Validity and Bias Results
4.3. Prospects of Deriving Gait Parameters from AR Data
4.4. Prospects of AR Glasses Beyond Data Collection
4.5. Limitations and Future Work
5. Conclusions
Supplementary Materials
Author Contributions
Funding

Institutional Review Board Statement
Informed Consent Statement
Data Availability Statement
Acknowledgments
Conflicts of Interest
References
- Zhu, J.; Cui, Y.; Zhang, J.; Yan, R.; Su, D.; Zhao, D.; Wang, A.; Feng, T. Temporal trends in the prevalence of Parkinson’s disease from 1980 to 2023: A systematic review and meta-analysis. Lancet Healthy Longev. 2024, 5, e464–e479. [Google Scholar] [CrossRef] [PubMed]
- Mirelman, A.; Bonato, P.; Camicioli, R.; Ellis, T.D.; Giladi, N.; Hamilton, J.L.; Hass, C.J.; Hausdorff, J.M.; Pelosin, E.; Almeida, Q.J. Gait impairments in Parkinson’s disease. Lancet Neurol. 2019, 18, 697–708. [Google Scholar] [CrossRef]
- WHO. W.H.O. Parkinson Disease. Available online:https://www.who.int/news-room/fact-sheets/detail/parkinson-disease (accessed on 15 January 2025).
- Middleton, A.; Fritz, S.L.; Lusardi, M. Walking Speed: The Functional Vital Sign. J. Aging Phys. Act. 2015, 23, 314–322. [Google Scholar] [CrossRef] [PubMed]
- Bloem, B.R.; Marinus, J.; Almeida, Q.; Dibble, L.; Nieuwboer, A.; Post, B.; Ruzicka, E.; Goetz, C.; Stebbins, G.; Martinez-Martin, P.; et al. Measurement instruments to assess posture, gait, and balance in Parkinson’s disease: Critique and recommendations. Mov. Disord. 2016, 31, 1342–1355. [Google Scholar] [CrossRef] [PubMed]
- Gabriel, C.L.; Pires, I.M.; Coelho, P.J.; Zdravevski, E.; Lameski, P.; Mewada, H.; Madeira, F.; Garcia, N.M.; Carreto, C. Mobile and wearable technologies for the analysis of Ten Meter Walk Test: A concise systematic review. Heliyon 2023, 9, e16599. [Google Scholar] [CrossRef] [PubMed]
- Theodorou, C.; Velisavljevic, V.; Dyo, V.; Nonyelu, F. Visual SLAM algorithms and their application for AR, mapping, localization and wayfinding. Array 2022, 15, 100222. [Google Scholar] [CrossRef]
- Geerse, D.J.; Coolen, B.; Roerdink, M. Quantifying Spatiotemporal Gait Parameters with HoloLens in Healthy Adults and People with Parkinson’s Disease: Test-Retest Reliability, Concurrent Validity, and Face Validity. Sensors 2020, 20, 3216. [Google Scholar] [CrossRef]
- Frenkel-Toledo, S.; Giladi, N.; Peretz, C.; Herman, T.; Gruendlinger, L.; Hausdorff, J.M. Effect of gait speed on gait rhythmicity in Parkinson’s disease: Variability of stride time and swing time respond differently. J. Neuroeng. Rehabil. 2005, 2, 23. [Google Scholar] [CrossRef] [PubMed]
- Alcock, L.; Galna, B.; Perkins, R.; Lord, S.; Rochester, L. Step length determines minimum toe clearance in older adults and people with Parkinson’s disease. J. Biomech. 2018, 71, 30–36. [Google Scholar] [CrossRef] [PubMed]
- Larsen, T.A.; Calne, S.; Calne, D.B. Assessment of Parkinson’s disease. Clin. Neuropharmacol. 1984, 7, 165–169. [Google Scholar] [CrossRef] [PubMed]
- Goetz, C.G.; Tilley, B.C.; Shaftman, S.R.; Stebbins, G.T.; Fahn, S.; Martinez-Martin, P.; Poewe, W.; Sampaio, C.; Stern, M.B.; Dodel, R.; et al. Movement Disorder Society-Sponsored Revision of the Unified Parkinson’s Disease Rating Scale (MDS-UPDRS): Scale Presentation and Clinimetric Testing Results. Mov. Disord. 2008, 23, 2129–2170. [Google Scholar] [CrossRef] [PubMed]
- Nieuwboer, A.; Rochester, L.; Herman, T.; Vandenberghe, W.; Emil, G.E.; Thomaes, T.; Giladi, N. Reliability of the new freezing of gait questionnaire: Agreement between patients with Parkinson’s disease and their carers. Gait Posture 2009, 30, 459–463. [Google Scholar] [CrossRef]
- Collen, F.M.; Wade, D.T.; Bradshaw, C.M. Mobility after stroke: Reliability of measures of impairment and disability. Int. Disabil. Stud. 1990, 12, 6–9. [Google Scholar] [CrossRef] [PubMed]
- Geerse, D.J.; Coolen, B.H.; Roerdink, M. Kinematic Validation of a Multi-Kinect v2 Instrumented 10-Meter Walkway for Quantitative Gait Assessments. PLoS ONE 2015, 10, e0139913. [Google Scholar] [CrossRef] [PubMed]
- Geerse, D.J.; Roerdink, M.; Marinus, J.; Van Hilten, J.J. Assessing Walking Adaptability in Parkinson’s Disease: “The Interactive Walkway”. Front. Neurol. 2018, 9, 1096. [Google Scholar] [CrossRef]
- Dolatabadi, E.; Taati, B.; Mihailidis, A. Concurrent validity of the Microsoft Kinect for Windows v2 for measuring spatiotemporal gait parameters. Med. Eng. Phys. 2016, 38, 952–958. [Google Scholar] [CrossRef] [PubMed]
- Eltoukhy, M.; Kuenze, C.; Oh, J.; Jacopetti, M.; Wooten, S.; Signorile, J. Microsoft Kinect can distinguish differences in over-ground gait between older persons with and without Parkinson’s disease. Med. Eng. Phys. 2017, 44, 1–7. [Google Scholar] [CrossRef]
- Springer, S.; Yogev Seligmann, G. Validity of the Kinect for Gait Assessment: A Focused Review. Sensors 2016, 16, 194. [Google Scholar] [CrossRef]
- Geerse, D.J.; Coolen, B.H.; Roerdink, M. Walking-Adaptability Assessments with the Interactive Walkway: Between-Systems Agreement and Sensitivity to Task and Subject Variations. Gait Posture 2017, 54, 194–201. [Google Scholar] [CrossRef] [PubMed]
- Guy, G. Kinesiology of walking. In Kinesiology of the Musculoskeletal System; Neumann, D.A., Ed.; Mosby Elsevier, Inc.: St. Louis, MO, USA, 2010; pp. 618–627. [Google Scholar]
- Liu, Y.-W. Hilbert Transform and Applications; InTech: London, UK, 2012. [Google Scholar]
- Koo, T.K.; Li, M.Y. A Guideline of Selecting and Reporting Intraclass Correlation Coefficients for Reliability Research. J. Chiropr. Med. 2016, 15, 155–163. [Google Scholar] [CrossRef]
- Bland, J.M.; Altman, D.G. Measuring agreement in method comparison studies. Stat. Methods Med. Res. 1999, 8, 135–160. [Google Scholar] [CrossRef] [PubMed]
- Mishra, P.; Pandey, C.M.; Singh, U.; Gupta, A.; Sahu, C.; Keshri, A. Descriptive statistics and normality tests for statistical data. Ann. Card. Anaesth. 2019, 22, 67–72. [Google Scholar] [CrossRef] [PubMed]
- Girden, E.R. ANOVA: Repeated Measures; Sage Publications, Inc.: Thousand Oaks, CA, USA, 1992; pp. 1–29. [Google Scholar]
- Sun, R.; Aldunate, R.G.; Sosnoff, J.J. The Validity of a Mixed Reality-Based Automated Functional Mobility Assessment. Sensors 2019, 19, 2183. [Google Scholar] [CrossRef] [PubMed]
- Koop, M.M.; Rosenfeldt, A.B.; Johnston, J.D.; Streicher, M.C.; Qu, J.; Alberts, J.L. The HoloLens Augmented Reality System Provides Valid Measures of Gait Performance in Healthy Adults. IEEE Trans. Hum. Mach. Syst. 2020, 50, 584–592. [Google Scholar] [CrossRef]
- Miller Koop, M.; Rosenfeldt, A.B.; Owen, K.; Penko, A.L.; Streicher, M.C.; Albright, A.; Alberts, J.L. The Microsoft HoloLens 2 Provides Accurate Measures of Gait, Turning, and Functional Mobility in Healthy Adults. Sensors 2022, 22, 2009. [Google Scholar] [CrossRef] [PubMed]
- Van Bergem, J.S.; Van Doorn, P.F.; Hoogendoorn, E.M.; Geerse, D.J.; Roerdink, M. Gait and Balance Assessments with Augmented Reality Glasses in People with Parkinson’s Disease: Concurrent Validity and Test–Retest Reliability. Sensors 2024, 24, 5485. [Google Scholar] [CrossRef]
- Benson, L.C.; Clermont, C.A.; Bošnjak, E.; Ferber, R. The use of wearable devices for walking and running gait analysis outside of the lab: A systematic review. Gait Posture 2018, 63, 124–138. [Google Scholar] [CrossRef] [PubMed]
- Kirk, C.; Küderle, A.; Micó-Amigo, M.E.; Bonci, T.; Paraschiv-Ionescu, A.; Ullrich, M.; Soltani, A.; Gazit, E.; Salis, F.; Alcock, L.; et al. Mobilise-D insights to estimate real-world walking speed in multiple conditions with a wearable device. Sci. Rep. 2024, 14, 1754. [Google Scholar] [CrossRef]
- Zhong, R.; Rau, P.-L.P. Are cost-effective technologies feasible to measure gait in older adults? A systematic review of evidence-based literature. Arch. Gerontol. Geriatr. 2020, 87, 103970. [Google Scholar] [CrossRef]
- Jakob, V.; Küderle, A.; Kluge, F.; Klucken, J.; Eskofier, B.M.; Winkler, J.; Winterholler, M.; Gassner, H. Validation of a Sensor-Based Gait Analysis System with a Gold-Standard Motion Capture System in Patients with Parkinson’s Disease. Sensors 2021, 21, 7680. [Google Scholar] [CrossRef]
- Maetzler, W.; Domingos, J.; Srulijes, K.; Ferreira, J.J.; Bloem, B.R. Quantitative wearable sensors for objective assessment of Parkinson’s disease. Mov. Disord. 2013, 28, 1628–1637. [Google Scholar] [CrossRef] [PubMed]
- Alberts, J.L.; Kaya, R.D.; Penko, A.L.; Streicher, M.; Zimmerman, E.M.; Davidson, S.; Walter, B.L.; Rosenfeldt, A.B. A Randomized Clinical Trial to Evaluate a Digital Therapeutic to Enhance Gait Function in Individuals With Parkinson’s Disease. Neurorehabilit. Neural Repair 2023, 37, 603–616. [Google Scholar] [CrossRef]
- Alberts, J.L.; Kaya, R.D.; Scelina, K.; Scelina, L.; Zimmerman, E.M.; Walter, B.L.; Rosenfeldt, A.B. Digitizing a Therapeutic: Development of an Augmented Reality Dual-Task Training Platform for Parkinson’s Disease. Sensors 2022, 22, 8756. [Google Scholar] [CrossRef]
- Rosenfeldt, A.B.; Streicher, M.C.; Kaya, R.D.; Penko, A.L.; Zimmerman, E.M.; Liao, J.Y.; Walter, B.L.; Alberts, J.L. An augmented reality dual-task intervention improves postural stability in individuals with Parkinson’s disease. Gait Posture 2025, 115, 102–108. [Google Scholar] [CrossRef] [PubMed]
- Hardeman, L.E.S.; Geerse, D.J.; Hoogendoorn, E.M.; Nonnekes, J.; Roerdink, M. Remotely prescribed, monitored, and tailored home-based gait-and-balance exergaming using augmented reality glasses: A clinical feasibility study in people with Parkinson’s disease. Front. Neurol. 2024, 15, 1373740. [Google Scholar] [CrossRef] [PubMed]
- Geerse, D.J.; Hoogendoorn, E.M.; van Doorn, P.F.; van Bergem, J.S.; van Dam, A.T.; Hardeman LE, S.; Roerdink, M. Cueing-assisted gamified augmented-reality gait-and-balance rehabilitation at home for people with Parkinson’s disease: Protocol of a pragmatic randomized controlled trial implemented in the clinical pathway. Front. Neurol. 2024, 16, 1512409. [Google Scholar] [CrossRef]
- Zhang, J.; Luximon, Y.; Pang, M.Y.C.; Wang, H. Effectiveness of exergaming-based interventions for mobility and balance performance in older adults with Parkinson’s disease: Systematic review and meta-analysis of randomised controlled trials. Age Ageing 2022, 51, afac175. [Google Scholar] [CrossRef]
- Hoogendoorn, E.M.; Geerse, D.J.; Van Dam, A.T.; Stins, J.F.; Roerdink, M. Gait-modifying effects of augmented-reality cueing in people with Parkinson’s disease. Front. Neurol. 2024, 15, 1379243. [Google Scholar] [CrossRef]
- Retzinger, G.R.; Golbarg, B.; Pham, W.T.; Lachica, I.J.; Chan, T.; Hinkel-Lipsker, J.W. Holographic Hintways: A systems feasibility and usability study of augmented reality cueing for gait adaptation. Gait Posture 2024, 107, 218–224. [Google Scholar] [CrossRef] [PubMed]
- Ekker, M.S.; Janssen, S.; Nonnekes, J.; Bloem, B.R.; de Vries, N.M. Neurorehabilitation for Parkinson’s disease: Future perspectives for behavioural adaptation. Park. Relat. Disord. 2016, 22 (Suppl. S1), S73–S77. [Google Scholar] [CrossRef] [PubMed]
- Baugher, B.; Szewczyk, N.; Liao, J. Augmented reality cueing for freezing of gait: Reviewing an emerging therapy. Park. Relat. Disord. 2023, 116, 105834. [Google Scholar] [CrossRef]
- Geerse, D.J.; Coolen, B.; Van Hilten, J.J.; Roerdink, M. Holocue: A Wearable Holographic Cueing Application for Alleviating Freezing of Gait in Parkinson’s Disease. Front. Neurol. 2022, 12, 628388. [Google Scholar] [CrossRef] [PubMed]
- Espay, A.J.; Baram, Y.; Dwivedi, A.K.; Shukla, R.; Gartner, M.; Gaines, L.; Duker, A.P.; Revilla, F.J. At-home training with closed-loop augmented-reality cueing device for improving gait in patients with Parkinson disease. J. Rehabil. Res. Dev. 2010, 47, 573. [Google Scholar] [CrossRef]
- Janssen, S.; Bolte, B.; Nonnekes, J.; Bittner, M.; Bloem, B.R.; Heida, T.; Zhao, Y.; Van Wezel, R.J.A. Usability of Three-dimensional Augmented Visual Cues Delivered by Smart Glasses on (Freezing of) Gait in Parkinson’s Disease. Front. Neurol. 2017, 8, 279. [Google Scholar] [CrossRef] [PubMed]
- Schaafsma, J.D.; Giladi, N.; Balash, Y.; Bartels, A.L.; Gurevich, T.; Hausdorff, J.M. Gait dynamics in Parkinson’s disease: Relationship to Parkinsonian Features, Falls and Response to Levodopa. J. Neurol. Sci. 2003, 212, 47–53. [Google Scholar] [CrossRef]





| Characteristics | Mean ± SD [Range] or No. |
|---|---|
| Age (years) | 66.9 ± 8.9 [51–82] |
| Weight (kg) | 79.1 ± 9.9 [59.0–92.9] |
| Height (cm) | 176.1 ± 10.3 [154–191] |
| Sex, male/female | 15/5 |
| Time since diagnosis (years) | 8.0 ± 4.8 [1–20] |
| Modified Hoehn and Yahr [11] stage, 2/2.5 | 12/8 |
| Freezing of gait, yes/no * | 10/10 |
| MDS-UPDRS III score 1 | 31.7 ± 11.9 [13–61] |
| Fall history (number of falls over the previous year) | 2.8 ± 3.5 [0–10] |
| Condition | Parameter | System | Trial 1 Mean ± SD | Trial 2 Mean ± SD | Bias (95% LoA) | t-Statistics | ICC(A,1) |
|---|---|---|---|---|---|---|---|
| CWS | Completion time (s) | AR | 8.56 ± 1.10 | 8.19 ± 0.87 | −0.36 (−1.38 0.65) | t(19) = 3.14, p = 0.005 | 0.813 |
| IWW | 8.66 ± 1.29 | 8.26 ± 0.89 | −0.41 (−1.78 0.96) | t(19) = 2.60, p = 0.018 | 0.757 | ||
| SW | 8.98 ± 1.27 | 8.61 ± 1.11 | −0.37 (−1.72 0.98) | t(19) = 2.38, p = 0.028 | 0.801 | ||
| Step length (m) | AR | 0.67 ± 0.10 | 0.69 ± 0.09 | 0.02 (−0.03 0.07) | t(19) = −3.05, p = 0.007 | 0.948 | |
| IWW | 0.68 ± 0.10 | 0.70 ± 0.10 | 0.02 (−0.03 0.07) | t(19) = −3.48, p = 0.002 | 0.950 | ||
| Cadence (steps/min.) | AR | 109.6 ± 6.9 | 111.3 ± 7.3 | 1.69 (−3.80 7.18) | t(19) = −2.70, p = 0.014 | 0.899 | |
| IWW | 110.8 ± 8.1 | 111.5 ± 6.9 | 0.71 (−5.32 6.73) | t(19) = −1.03, p = 0.316 | 0.917 | ||
| Max. gait speed (m/s) | AR | 1.33 ± 0.16 | 1.38 ± 0.16 | 0.05 (−0.10 0.20) | t(19) = −2.78, p = 0.012 | 0.848 | |
| IWW | 1.34 ± 0.16 | 1.38 ± 0.15 | 0.04 (−0.12 0.19) | t(19) = −2.05, p = 0.054 | 0.857 | ||
| FWS | Completion time (s) | AR | 6.93 ± 1.08 | 6.70 ± 0.99 | −0.22 (−0.97 0.52) | t(19) = 2.64, p = 0.016 | 0.915 |
| IWW | 6.89 ± 1.12 | 6.77 ± 1.24 | −0.11 (−1.17 0.94) | t(19) = 0.96, p = 0.350 | 0.897 | ||
| SW | 7.15 ± 1.21 | 6.99 ± 1.11 | −0.16 (−1.06 0.73) | t(19) = 1.60, p = 0.127 | 0.917 | ||
| Step length (m) | AR | 0.75 ± 0.11 | 0.77 ± 0.10 | 0.02 (−0.04 0.08) | t(19) = −2.63, p = 0.017 | 0.953 | |
| IWW | 0.76 ± 0.12 | 0.77 ± 0.11 | 0.01 (−0.05 0.08) | t(19) = −1.95, p = 0.066 | 0.952 | ||
| Cadence (steps/min.) | AR | 123.8 ± 12.0 | 125.0 ± 12.5 | 1.18 (−8.16 10.53) | t(19) = −1.11, p = 0.281 | 0.923 | |
| IWW | 125.3 ± 12.7 | 126.0 ± 12.9 | 0.64 (−7.90 9.17) | t(19) = −0.65, p = 0.522 | 0.944 | ||
| Max. gait speed (m/s) | AR | 1.69 ± 0.31 | 1.73 ± 0.26 | 0.04 (−0.23 0.30) | t(19) = −1.25, p = 0.228 | 0.887 | |
| IWW | 1.69 ± 0.29 | 1.74 ± 0.28 | 0.04 (−0.19 0.27) | t(19) = −1.63, p = 0.119 | 0.911 |
| Condition | Parameter | Mean ± SD | Mean ± SD | Bias (95% LoA) | t-Statistics | ICC(A,1) |
|---|---|---|---|---|---|---|
| AR | SW | |||||
| CWS | Completion time (s) | 8.56 ± 1.10 | 8.98 ± 1.27 | −0.42 (−0.46 1.29) | t(19) = −4.18, p = 0.001 | 0.879 |
| FWS | Completion time (s) | 6.93 ± 1.08 | 7.15 ± 1.21 | 0.22 (−0.39 0.84) | t(19) = −3.18, p = 0.005 | 0.946 |
| AR | IWW | |||||
| CWS | Completion time (s) | 8.56 ± 1.10 | 8.66 ± 1.29 | 0.10 (−0.83 1.03) | t(19) = −0.97, p = 0.345 | 0.922 |
| Step length (m) | 0.67 ± 0.10 | 0.68 ± 0.10 | 0.00 (−0.02 0.02) | t(19) = −0.73, p = 0.473 | 0.994 | |
| Cadence (steps/min.) | 109.6 ± 6.8 | 110.8 ± 8.1 | 1.24 (−3.31 5.80) | t(19) = −2.39, p = 0.027 | 0.942 | |
| Max. gait speed (m/s) | 1.33 ± 0.16 | 1.34 ± 0.16 | 0.01 (−0.04 0.06) | t(19) = −1.94, p = 0.067 | 0.985 | |
| FWS | Completion time (s) | 6.93 ± 1.08 | 6.89 ± 1.25 | −0.04 (−0.36 0.28) | t(19) = 1.03, p = 0.318 | 0.989 |
| Step length (m) | 0.75 ± 0.11 | 0.76 ± 0.12 | 0.00 (−0.02 0.03) | t(19) = −1.36, p = 0.190 | 0.993 | |
| Cadence (steps/min.) | 123.8 ± 12.0 | 125.3 ± 12.7 | 1.51 (−1.49 4.50) | t(19) = −4.40, p < 0.001 | 0.985 | |
| Max. gait speed (m/s) | 1.69 ± 0.31 | 1.69 ± 0.29 | 0.00 (−0.10 0.10) | t(19) = 0.01, p = 0.990 | 0.985 |
Disclaimer/Publisher’s Note: The statements, opinions and data contained in all publications are solely those of the individual author(s) and contributor(s) and not of MDPI and/or the editor(s). MDPI and/or the editor(s) disclaim responsibility for any injury to people or property resulting from any ideas, methods, instructions or products referred to in the content. |
© 2025 by the authors. Licensee MDPI, Basel, Switzerland. This article is an open access article distributed under the terms and conditions of the Creative Commons Attribution (CC BY) license (https://creativecommons.org/licenses/by/4.0/).
Share and Cite
van Doorn, P.F.; Geerse, D.J.; van Bergem, J.S.; Hoogendoorn, E.M.; Nyman, E., Jr.; Roerdink, M. Gait Parameters Can Be Derived Reliably and Validly from Augmented Reality Glasses in People with Parkinson’s Disease Performing 10-m Walk Tests at Comfortable and Fast Speeds. Sensors 2025, 25, 1230. https://doi.org/10.3390/s25041230
van Doorn PF, Geerse DJ, van Bergem JS, Hoogendoorn EM, Nyman E Jr., Roerdink M. Gait Parameters Can Be Derived Reliably and Validly from Augmented Reality Glasses in People with Parkinson’s Disease Performing 10-m Walk Tests at Comfortable and Fast Speeds. Sensors. 2025; 25(4):1230. https://doi.org/10.3390/s25041230
Chicago/Turabian Stylevan Doorn, Pieter F., Daphne J. Geerse, Jara S. van Bergem, Eva M. Hoogendoorn, Edward Nyman, Jr., and Melvyn Roerdink. 2025. "Gait Parameters Can Be Derived Reliably and Validly from Augmented Reality Glasses in People with Parkinson’s Disease Performing 10-m Walk Tests at Comfortable and Fast Speeds" Sensors 25, no. 4: 1230. https://doi.org/10.3390/s25041230
APA Stylevan Doorn, P. F., Geerse, D. J., van Bergem, J. S., Hoogendoorn, E. M., Nyman, E., Jr., & Roerdink, M. (2025). Gait Parameters Can Be Derived Reliably and Validly from Augmented Reality Glasses in People with Parkinson’s Disease Performing 10-m Walk Tests at Comfortable and Fast Speeds. Sensors, 25(4), 1230. https://doi.org/10.3390/s25041230

