Compensation of Temperature-Induced Errors in Quartz Flexible Accelerometers Using a Polynomial-Based Non-Uniform Mutation Genetic Algorithm Framework
Abstract
1. Introduction
2. Analysis of Temperature Error of QFA
3. Modeling and Compensation of Temperature Error of QFA
3.1. Modeling of Temperature Error of QFA
3.2. Design of the Improved Genetic Algorithm
3.2.1. Basic Principles of Traditional Genetic Algorithm
3.2.2. Design of NUMGA
4. Experimental Validation
5. Results and Discussion
5.1. Temperature Error Compensation
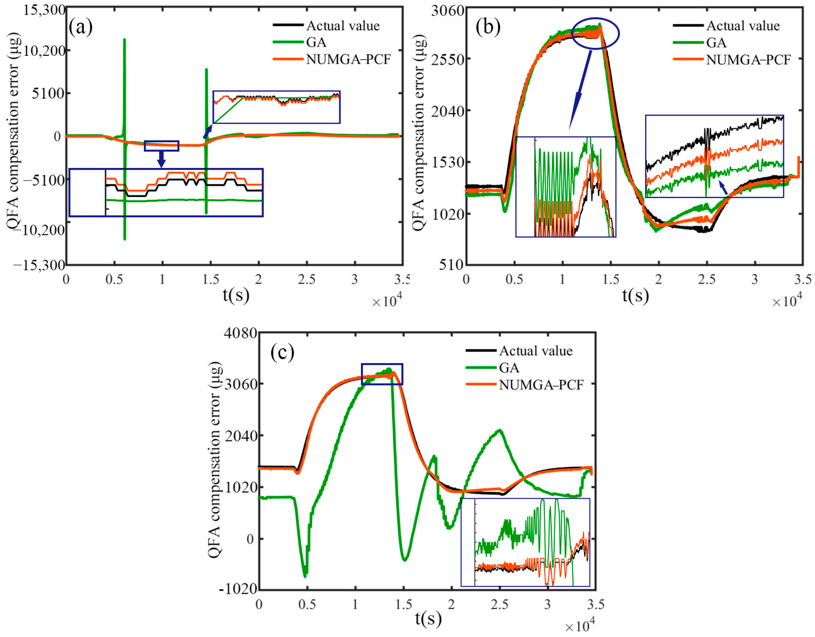
5.2. Compensation Error
5.3. Static Test Verification
6. Conclusions
Author Contributions
Funding
Institutional Review Board Statement
Informed Consent Statement
Data Availability Statement
Conflicts of Interest
References
- Tu, Y.; Yang, G.; Cai, Q.; Wang, L.; Yin, H. Dynamical analysis and experimental verification of deviation angles caused by rubber dampers deformation in high precision mechanically dithered RLG dual-axis RINS. Mech. Syst. Signal Process. 2019, 126, 553–567. [Google Scholar] [CrossRef]
- He, H.; Zha, F.; Li, F.; Wei, Q. A Combination Scheme of Pure Strapdown and Dual-Axis Rotation Inertial Navigation Systems. Sensors 2023, 23, 3091. [Google Scholar] [CrossRef] [PubMed]
- Aviev, A.A.; Bragin, A.V.; Papusha, I.A. Approaches to Solve the Problem of Determining the Moments of the Beginning and End of an Object’s Movement Using the Data of a Strapdown Inertial Navigation System. J. Comput. Syst. Sci. Int. 2022, 61, 455–465. [Google Scholar] [CrossRef]
- Cai, Q.; Quan, W.; Xing, L.; Yang, G.; Song, N.; Tu, Y. Research on case rotating modulation for nuclear-spin comagnetometer in space-stable INS. Measurement 2019, 140, 388–394. [Google Scholar] [CrossRef]
- Camomilla, V.; Bergamini, E.; Fantozzi, S.; Vannozzi, G. Trends supporting the in-field use of wearable inertial sensors for sport performance evaluation: A systematic review. Sensors 2018, 18, 873. [Google Scholar] [CrossRef] [PubMed]
- Chen, W.; Yang, G.; Tu, Y. Estimation and Compensation of Heading Misalignment Angle for Train SINS/GNSS Integrated Navigation System Based on Observability Analysis. Appl. Sci. 2023, 13, 12085. [Google Scholar] [CrossRef]
- Zhao, W.; Liu, G.; Gao, M.; Lv, D.; Wang, R. INS-assisted inter-system biases estimation and inter-system ambiguity resolution in a complex environment. GPS Solut. 2023, 27, 3. [Google Scholar] [CrossRef]
- Jiang, J.; Yu, W.; Zhang, G. High-accuracy decoupling estimation of the systematic coordinate errors of an INS and intensified high dynamic star tracker based on the constrained least squares method. Sensors 2017, 17, 2285. [Google Scholar] [CrossRef]
- Zhao, S.; Guo, C.; Ke, C.; Zhou, Y.; Shu, X. Temperature drift compensation of fiber strapdown inertial navigation system based on GSA-SVR. Measurement 2022, 195, 111117. [Google Scholar] [CrossRef]
- Qi, B.; Wen, F.; Liu, F.; Cheng, J. Modification of MTEA-based temperature drift error compensation model for MEMS-gyros. Sensors 2020, 20, 2906. [Google Scholar] [CrossRef] [PubMed]
- Wu, F.; Luo, H.; Jia, H.; Zhao, F.; Xiao, Y.; Gao, X. Predicting the noise covariance with a multitask learning model for Kalman filter-based GNSS/INS integrated navigation. IEEE Trans. Instrum. Meas. 2020, 70, 1–13. [Google Scholar] [CrossRef]
- Feng, Z.; He, Y.; Yan, W.; Yang, F.; Han, W.; Li, Z. Progress of waveguide ring resonators used in micro-optical gyroscopes. Photonics 2020, 7, 96. [Google Scholar] [CrossRef]
- Faisal, I.A.; Purboyo, T.W.; Ansori, A.S.R. A review of accelerometer sensor and gyroscope sensor in IMU sensors on motion capture. J. Eng. Appl. Sci. 2019, 15, 826–829. [Google Scholar]
- Wen, J.; Yao, H.; Ji, Z.; Wu, B.; Xia, M. On fault diagnosis for high-g accelerometers via data-driven models. IEEE Sens. J. 2020, 21, 1359–1368. [Google Scholar] [CrossRef]
- Zhao, X.; Chen, G.; Liu, H.; Wang, L. A Multivariate Temperature Drift Modeling and Compensation Method for Large-Diameter High-Precision Fiber Optic Gyroscopes. IEEE Trans. Instrum. Meas. 2022, 71, 1–12. [Google Scholar] [CrossRef]
- Zhang, C.; Wang, X.; Song, L.; Ran, L. Temperature hysteresis mechanism and compensation of quartz flexible accelerometer in aerial inertial navigation system. Sensors 2021, 21, 294. [Google Scholar] [CrossRef] [PubMed]
- Wang, X.; Zhang, C.; Song, L.; Ran, L.; Xiao, T. Temperature compensation for quartz flexible accelerometer based on nonlinear auto-regressive improved model. Meas. Control 2023, 56, 124–132. [Google Scholar] [CrossRef]
- Skalský, M.; Fialka, J.; Kopečný, L.; Havránek, Z. Scale-Factor Stability Control Technique for Closed-Loop All-Fiber Interferometric Optical Gyroscope. In Proceedings of the 2021 IEEE International Symposium on Inertial Sensors and Systems (INERTIAL), Kailua-Kona, HI, USA, 22–25 March 2021. [Google Scholar]
- Schlischting, M.W.; Bacurau, R.M.; Ferreira, E.C. Linearization of open-loop fiber optic gyroscopes with Mean-Value demodulation scheme. In Proceedings of the 2021 DGON Inertial Sensors and Systems (ISS), Braunschweig, Germany, 29–30 September 2021. [Google Scholar]
- Li, C.; Xue, H.; Zhang, Y.; Ai, J.; Zhao, Y. A laterally sensitive quartz vibrating beam accelerometer for inertial navigation application. Sens. Actuators A Phys. 2024, 366, 115015. [Google Scholar] [CrossRef]
- Du, X.-Y.; Wang, M.-S.; Wu, W.-Q.; Zhou, P.Y.; Cui, J.-R. State transformation extended Kalman filter–based tightly coupled strapdown inertial navigation system/global navigation satellite system/laser Doppler velocimeter integration for seamless navigation of unmanned ground vehicle in urban areas. Int. J. Adv. Robot. Syst. 2023, 20, 812797630. [Google Scholar] [CrossRef]
- Zhou, X.; Yang, G.; Niu, W.; Tu, Y. Analysis and Suppression of Nonlinear Error of Pendulous Integrating Gyroscopic Accelerometer at Instrument Level. Sensors 2023, 23, 1221. [Google Scholar] [CrossRef] [PubMed]
- Keskin, H.; Vural, H.A.; Altınöz, B.; Bektik, Ü.; Altan, H. 1030 nm All-Fiber Closed-Loop Fiber Optic Gyroscope with High Sensitivity. J. Sens. 2022, 2022, 8967827. [Google Scholar] [CrossRef]
- Li, Y.; Ben, F.; Luo, R.; Peng, C.; Li, Z. Excess relative intensity noise suppression in depolarized interferometric fiber optic gyroscopes. Opt. Commun. 2019, 440, 83–88. [Google Scholar] [CrossRef]
- Tu, Y.; Yang, G.; Cai, Q.; Wang, L.; Zhou, X. Optimal design of SINS’s Stewart platform bumper for restoration accuracy based on genetic algorithm. Mech. Mach. Theory 2018, 124, 42–54. [Google Scholar] [CrossRef]
- Zhang, H.; Rui, X.; Yang, F.; Chen, G. Research on the Adaptive Damping Method of Strap-Down Inertial Measurement Unit Based on the Magneto Rheological Technology. Shock. Vib. 2017, 201, 5626912. [Google Scholar] [CrossRef]
- Zhou, X.; Yang, G.; Niu, W.; Tu, Y. Precise Measurement and Compensation of the Micro Product of Inertia for Float Assembly in Pendulous Integrating Gyroscopic Accelerometers. Sensors 2023, 23, 1564. [Google Scholar] [CrossRef]
- Chen, W.; Jia, W.; Xiao, Y.; Feng, Z.; Wu, G. A temperature-stable and low impedance piezoelectric MEMS resonator for drop-in replacement of quartz crystals. IEEE Electron Device Lett. 2021, 42, 1382–1385. [Google Scholar] [CrossRef]
- Liu, X.; Yang, J.; Li, W.; Huang, P.; Guo, L. Tightly coupled modeling and reliable fusion strategy for polarization-based attitude and heading reference system. IEEE Trans. Ind. Inform. 2022, 19, 62–73. [Google Scholar] [CrossRef]
- Zhang, C.; Xiao, T.; Ran, L.; Zhu, Z.; Song, L. The Output Nonlinear Mechanism and the Compensation Method of Digital Closed-loop Quartz Flexible Accelerometer. IEEE Sens. J. 2023, 23, 21029–21039. [Google Scholar] [CrossRef]
- Li, H.; Li, X.; Xu, D.; Wang, J.; Yang, H. Improved thermal stability of a fiber optic gyroscope using a geometric birefringence-enhanced polarization-maintaining fiber. J. Light. Technol. 2023, 41, 2547–2554. [Google Scholar] [CrossRef]
- Pan, J.; Zhou, G.; Li, B.; Gao, F.; Ma, A.; Sun, X. Systematic Measurement of Temperature Errors of Positive and Negative FOG Scale Factors Using a Low-Precision Turntable. IEEE Sens. J. 2023, 23, 16136–16144. [Google Scholar] [CrossRef]
- Tao, Y.; Li, S.; Liu, S. Analysis and improvement of frequency stabilization characteristics of a total reflection prism laser gyro. IEEE Access 2018, 6, 69185–69194. [Google Scholar] [CrossRef]
- Helal, I.A.; Vuong, T.H.; David, J.; Bellaaj, N.M.; Pietrzak-David, M. GA based reconstruction method of MEMS accelerometer signal for electrical actuators. In Proceedings of the 2016 18th European Conference on Power Electronics and Applications (EPE’16 ECCE Europe), Karlsruhe, Germany, 5–9 September 2016; pp. 1–7. [Google Scholar]
- Du, C.; Kong, D. Sensitivity calibration of a three-axis accelerometer under different temperature conditions using the hybrid GA–PSO–BPNN algorithm. Sens. Rev. 2022, 42, 8–18. [Google Scholar] [CrossRef]
- Chen, J.; Lu, Q.; Bai, J.; Xu, X.; Yao, Y.; Fang, W. A temperature control method for microaccelerometer chips based on genetic algorithm and fuzzy PID control. Micromachines 2021, 12, 1511. [Google Scholar] [CrossRef] [PubMed]










| Model Number | Subproject | Technical Indicator |
|---|---|---|
| GJN-11 | Range (g) | ±30 |
| Bias (mg) | ≤8 | |
| Temperature coefficient (μg/°C) | ≤40 | |
| Scale factor (mA/g)Working temperature (°C) | 1.0~1.6 | |
| −45~100 |
| Parameter | Specification | Parameter | Specification |
|---|---|---|---|
| Temperature Range | −55 °C to 100 °C | Temperature Deviation | ≤±2 °C |
| Temperature Control Accuracy | ±0.5 °C | Outer Dimensions | W800 × H1390 × D1330 mm |
| Temperature Uniformity | ≤2 °C | Inner Dimensions | W600 × H600 × D600 mm |
| Heating Rate | Average 3.0 °C/min | Power Supply | AC 380 V 50 HZ |
| Cooling Rate | Average 3.0 °C/min | Power Consumption | 6 KW |
| Experiment | Axial Direction | Primitive Output Value | GA Error Mean Value (μg) | NUMGA-PCF Error Mean Value (μg) | GA Error Standard Deviation (μg) | NUMGA-PCF Standard Deviation (μg) |
|---|---|---|---|---|---|---|
| X pointing upwards | x-axis | 0.004469 | −78.660053 | 1.903989 | 620.138035 | 8.390773 |
| y-axis | 0.006690 | 16.062949 | 9.912266 | 109.936154 | 49.157259 | |
| z-axis | 0.008218 | 496.301739 | 6.398660 | 916.403852 | 41.150237 | |
| Y pointing upwards | x-axis | 0.002171 | −16.648920 | 1.438964 | 73.496613 | 47.362208 |
| y-axis | 0.011598 | 6.263541 | −5.556781 | 13.236164 | 11.302934 | |
| z-axis | 0.008682 | 22.823716 | −14.243499 | 123.491517 | 78.839603 | |
| Z pointing upwards | x-axis | 0.001845 | −36.249141 | 23.012903 | 93.821243 | 87.621637 |
| y-axis | 0.007024 | 20.266104 | 10.249569 | 121.221393 | 47.356799 | |
| z-axis | 0.001367 | −16.577388 | −2.322887 | 109.981710 | 7.917484 |
Disclaimer/Publisher’s Note: The statements, opinions and data contained in all publications are solely those of the individual author(s) and contributor(s) and not of MDPI and/or the editor(s). MDPI and/or the editor(s) disclaim responsibility for any injury to people or property resulting from any ideas, methods, instructions or products referred to in the content. |
© 2025 by the authors. Licensee MDPI, Basel, Switzerland. This article is an open access article distributed under the terms and conditions of the Creative Commons Attribution (CC BY) license (https://creativecommons.org/licenses/by/4.0/).
Share and Cite
Zhao, J.; He, K.; Le, K.; Tu, Y. Compensation of Temperature-Induced Errors in Quartz Flexible Accelerometers Using a Polynomial-Based Non-Uniform Mutation Genetic Algorithm Framework. Sensors 2025, 25, 653. https://doi.org/10.3390/s25030653
Zhao J, He K, Le K, Tu Y. Compensation of Temperature-Induced Errors in Quartz Flexible Accelerometers Using a Polynomial-Based Non-Uniform Mutation Genetic Algorithm Framework. Sensors. 2025; 25(3):653. https://doi.org/10.3390/s25030653
Chicago/Turabian StyleZhao, Jinyue, Kunpeng He, Kang Le, and Yongqiang Tu. 2025. "Compensation of Temperature-Induced Errors in Quartz Flexible Accelerometers Using a Polynomial-Based Non-Uniform Mutation Genetic Algorithm Framework" Sensors 25, no. 3: 653. https://doi.org/10.3390/s25030653
APA StyleZhao, J., He, K., Le, K., & Tu, Y. (2025). Compensation of Temperature-Induced Errors in Quartz Flexible Accelerometers Using a Polynomial-Based Non-Uniform Mutation Genetic Algorithm Framework. Sensors, 25(3), 653. https://doi.org/10.3390/s25030653

