New Optical Voltage Sensor Based on Closed-Loop Pockels Cell and Sliding Mode Observer: Theory and Experiments
Abstract
1. Introduction
2. Materials and Methods
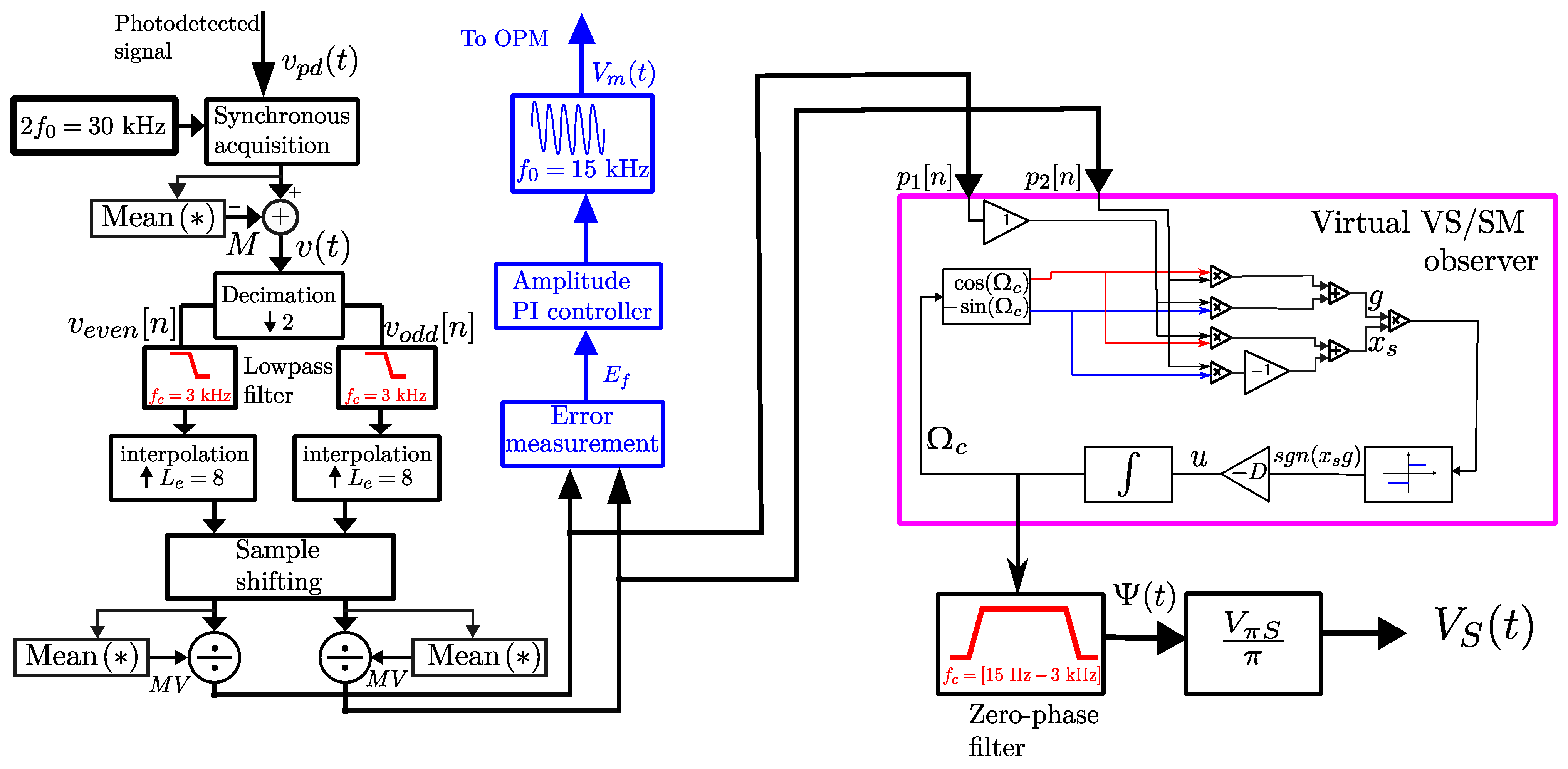
2.1. Optical Voltage Sensor
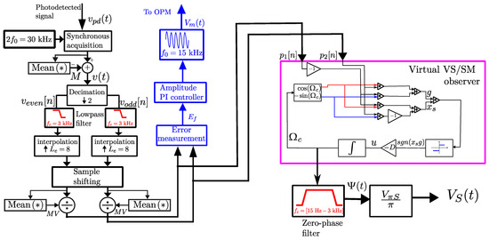
2.2. Obtaining the Controlled Signal and PI Controller
2.3. Sliding Mode Controller
3. Results
3.1. Photodetected Signal
3.2. Output Signal Using Sign and Sigmoid Functions
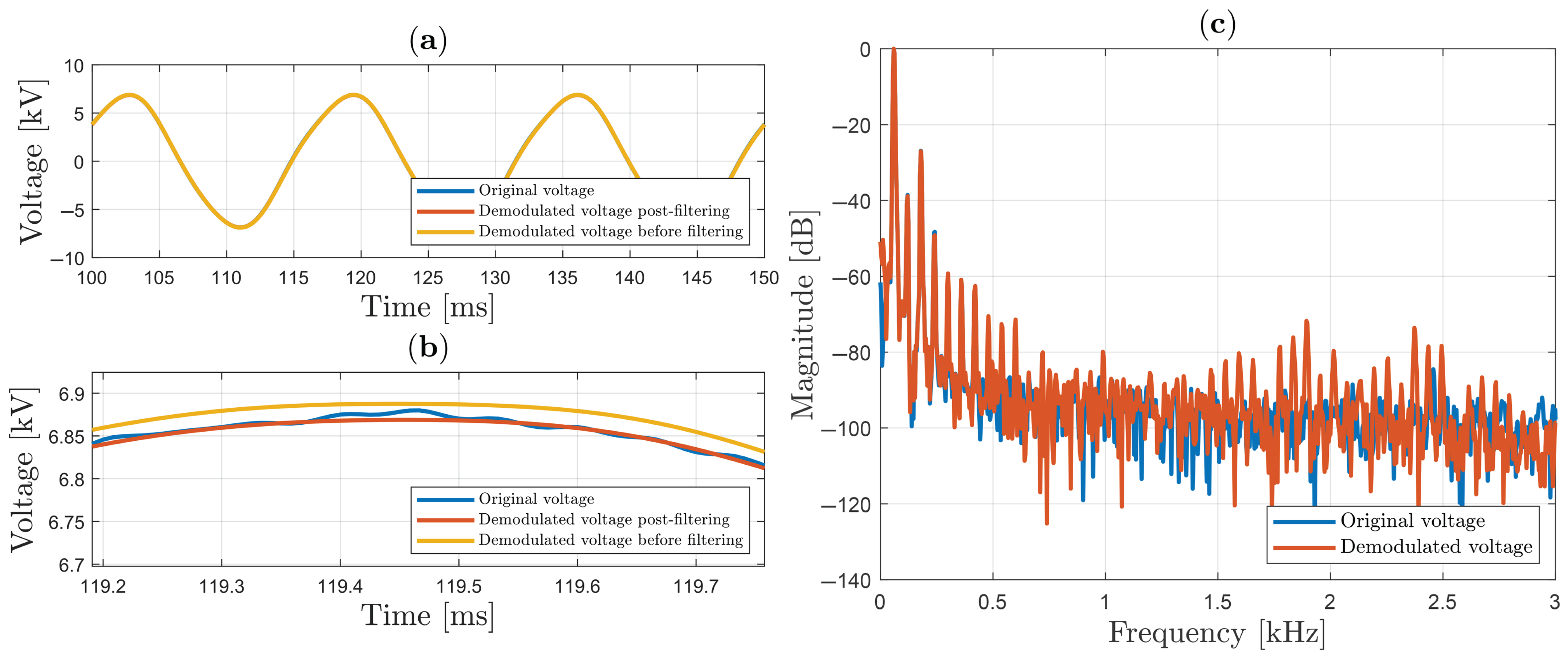
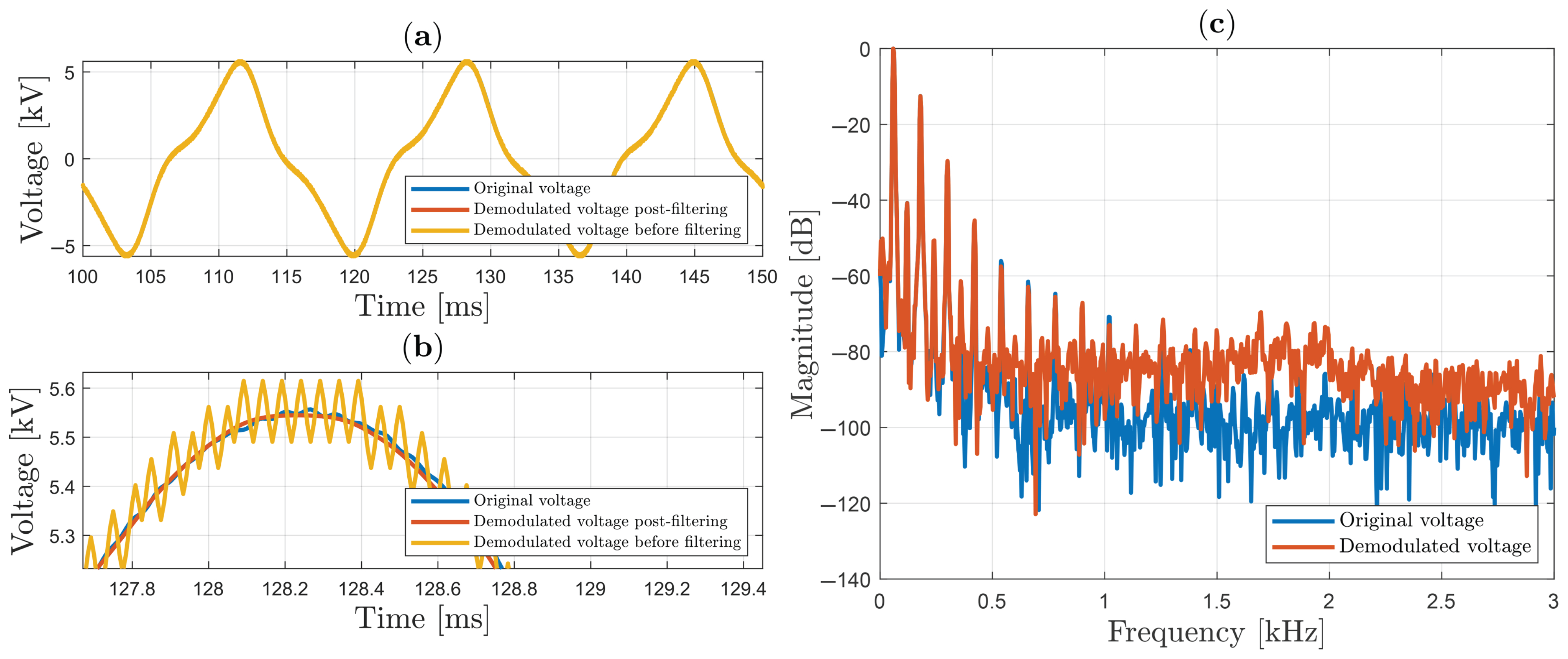
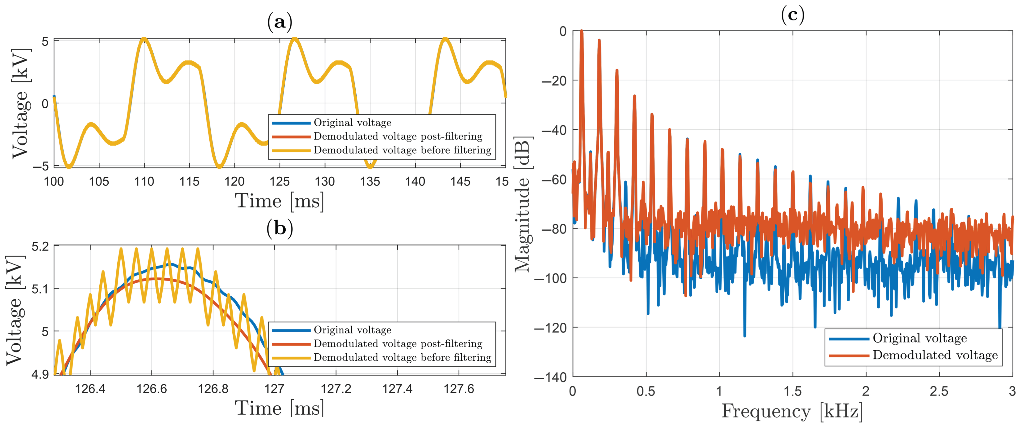
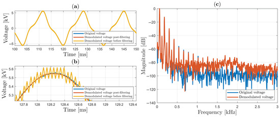
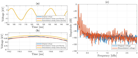
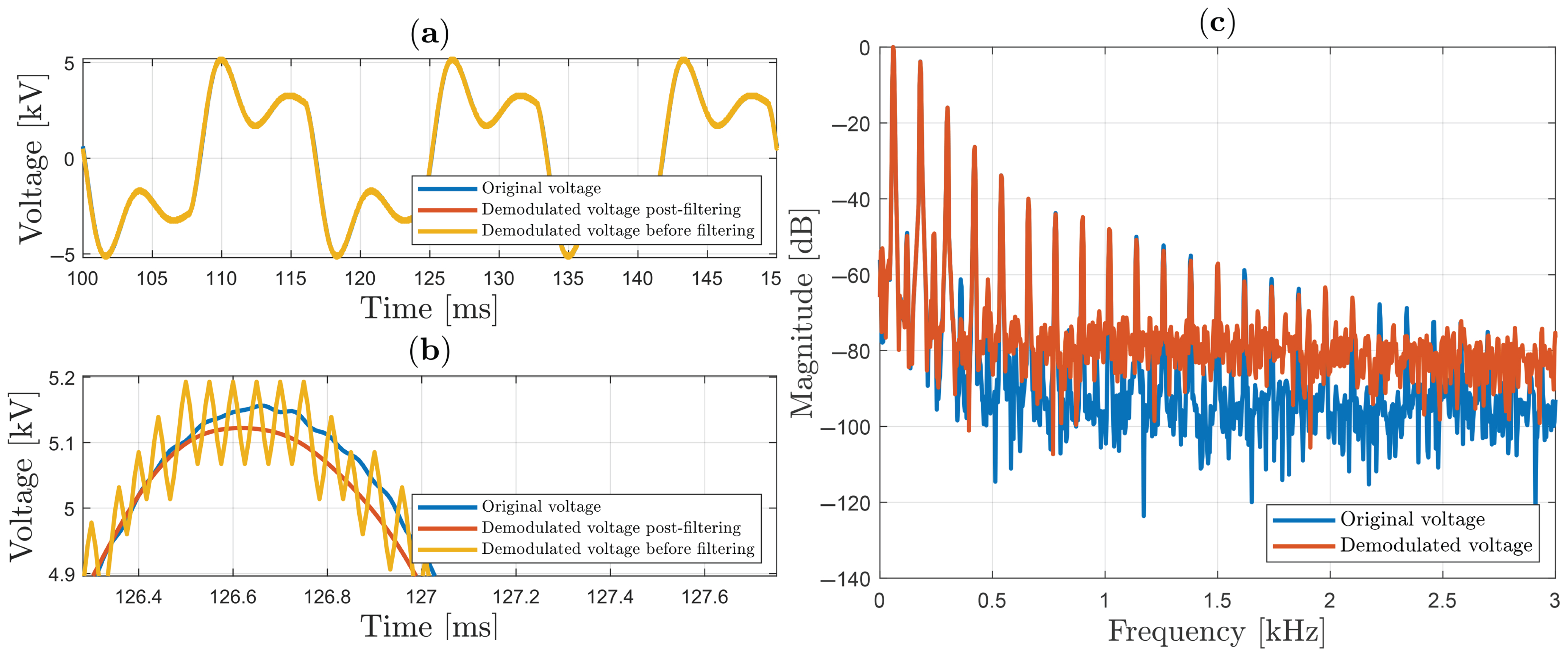
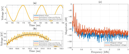
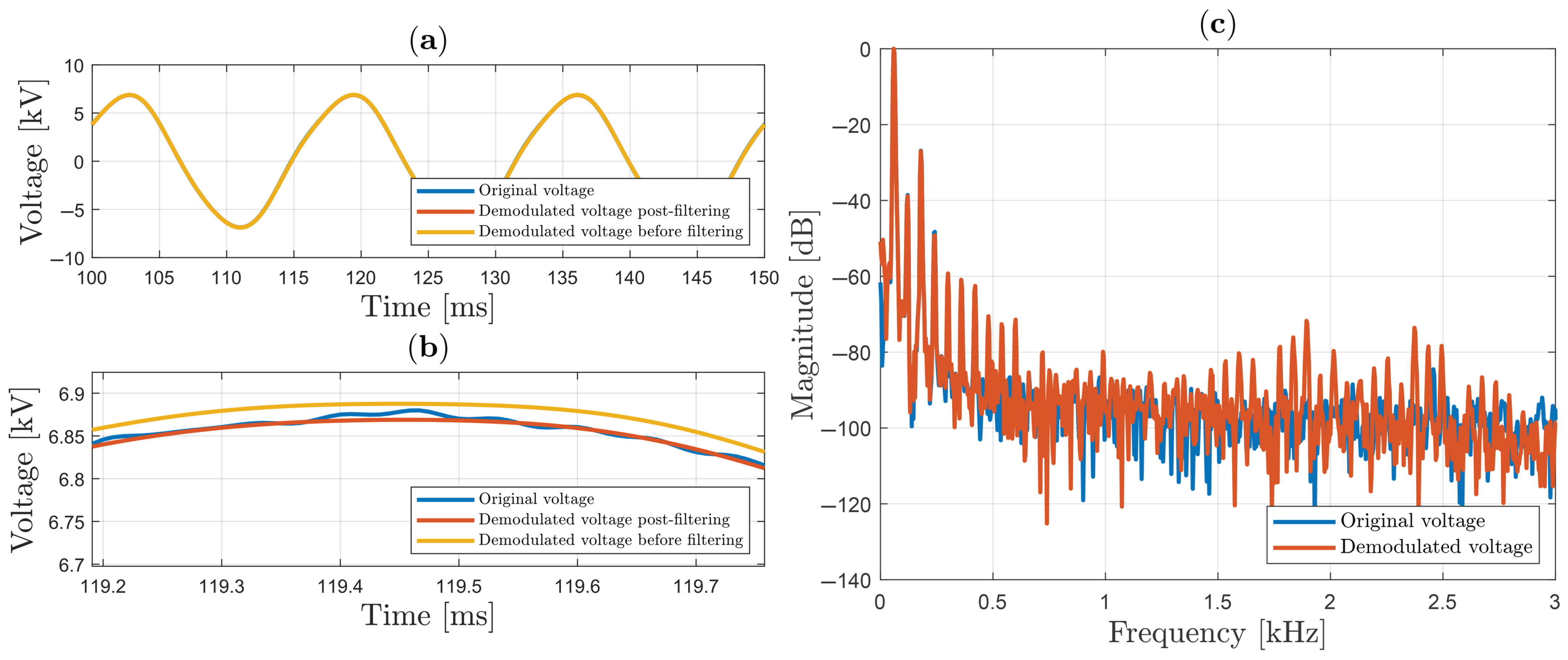
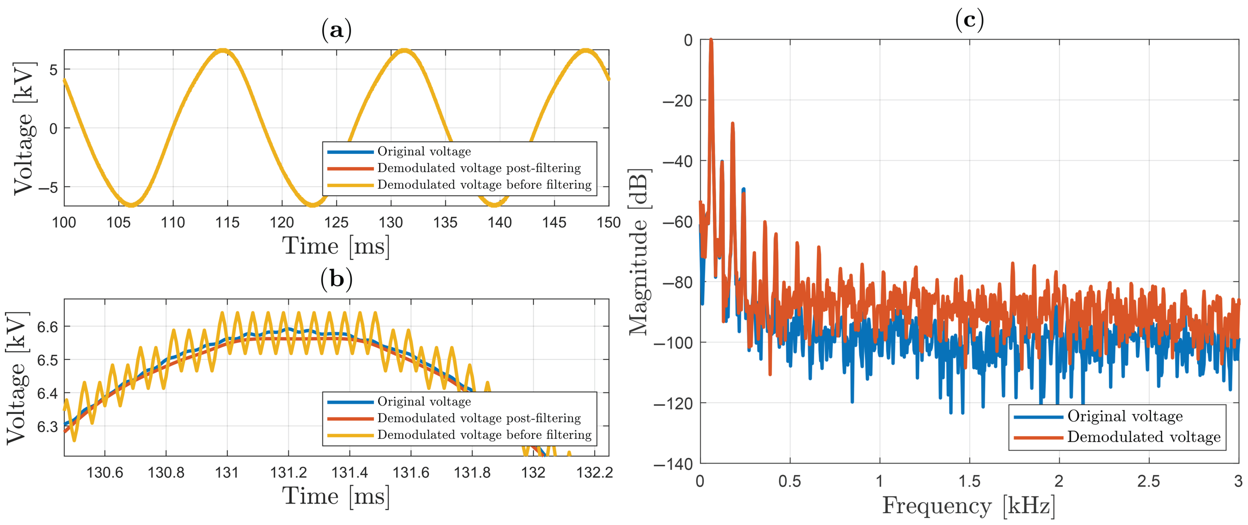
3.3. Measurement of Non-Sinusoidal Periodic Signals
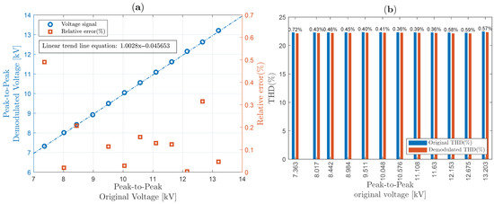
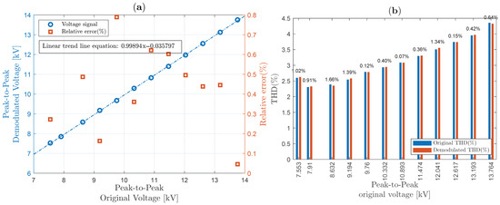
3.4. OVS Linearity Analysis and THD Analysis
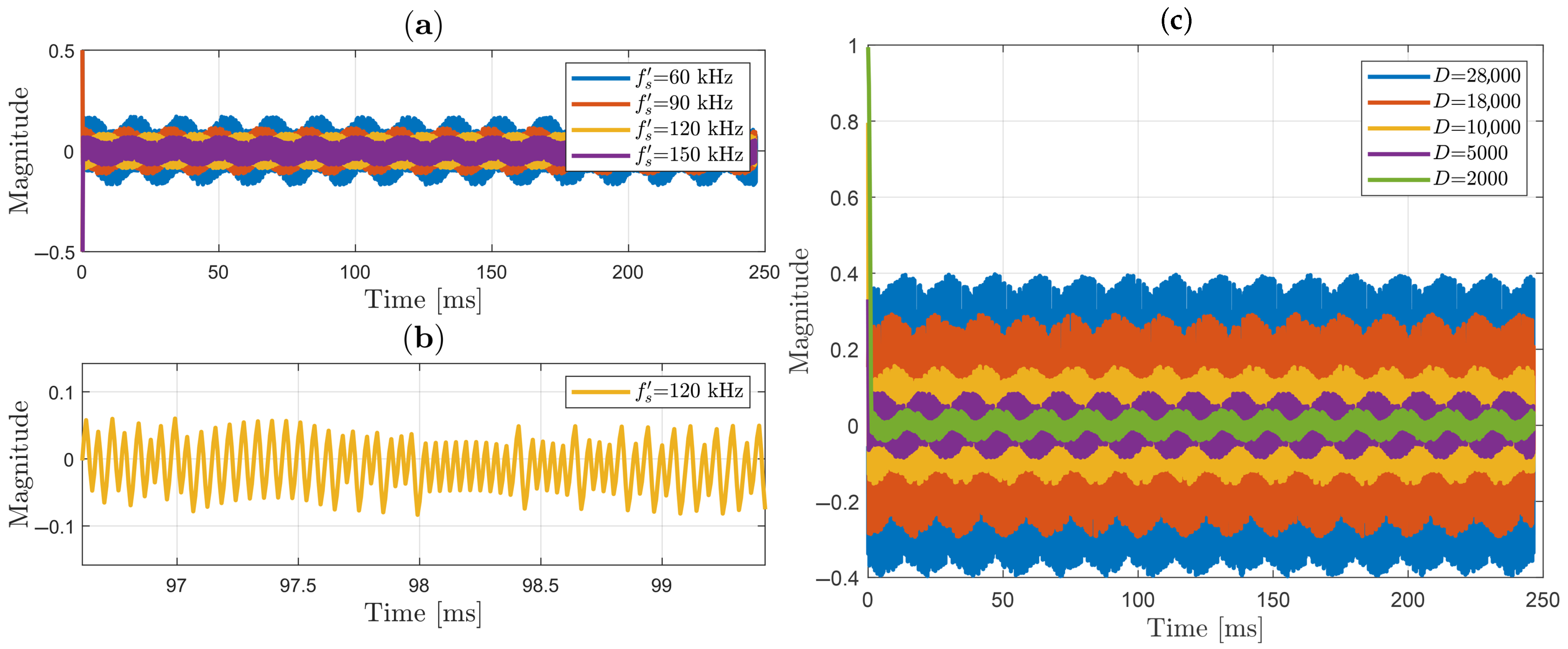
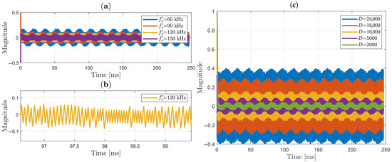
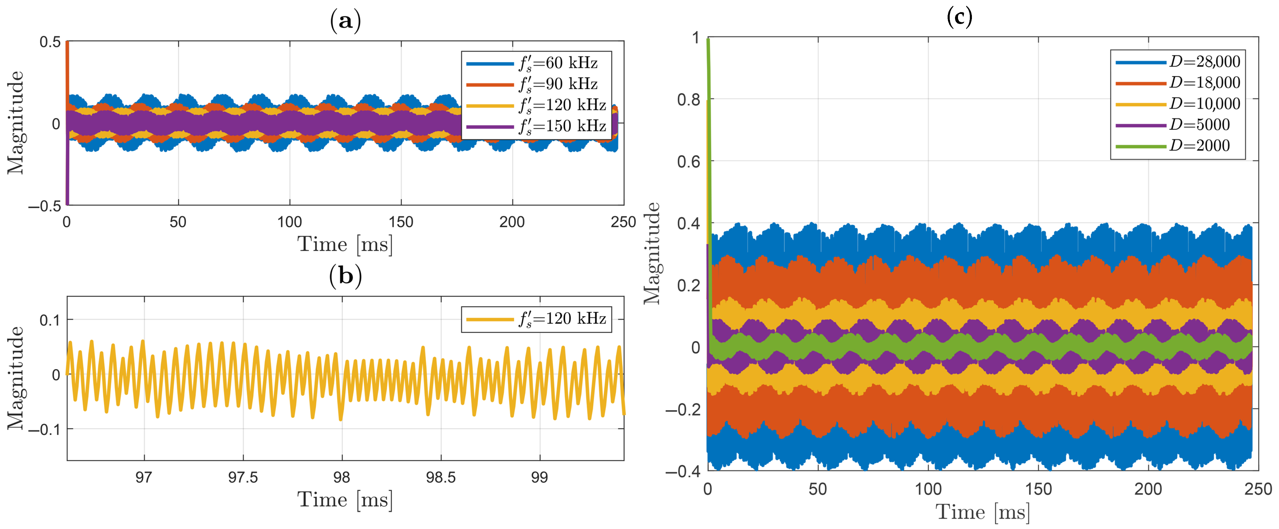
3.5. Sliding Variable Behavior
3.6. Stability Points
4. Conclusions
Author Contributions
Funding
Data Availability Statement
Acknowledgments
Conflicts of Interest
Abbreviations
| OVS | Optical voltage sensor |
| PI | Proportional-integral |
| THD | Total harmonic distortion |
| PT | Potential transformers |
| FBG-PZT | Fiber Bragg grating—lead titanate zirconate |
| I/O | Input-output |
| PID | Proportional-integral-derivative |
| LMI | Linear matrix inequality |
| IO | Integrated optical |
| VS/SM | Variable structure and sliding modes |
| TS | Takagi–Sugeno |
| HGA | High gain approach |
| SMC | Sliding mode control |
| IEC | International Electrotechnical Commision |
| EN | European Norm |
| OPM | Optical phase modulator |
| HVS | High-voltage sensor |
| DFT | Discrete Fourier transform |
Appendix A. Mean Blocks
References
- Christensen, L. Design, construction, and test of a passive optical prototype high voltage instrument transformer. IEEE Trans. Power Deliv. 1995, 10, 1332–1337. [Google Scholar] [CrossRef]
- Rosolem, J.B.; Dutra, C.A.; Nascimento, C.A.M. Study and Dissemination of Low Power Instrument Transformer Technologies (in Portuguese); CIGRÉ Brasil—BT 31 Brochure, A3 Study Committee: Rio de Janeiro, Brazil, 2021; pp. 1–363. [Google Scholar]
- Dewayalage, I.; Robinson, D.A.; Elphick, S.; Perera, S. Measurement of High-Frequency Voltage Harmonics above 2 kHz in High-Voltage Networks. Energies 2024, 17, 892. [Google Scholar] [CrossRef]
- Rosolem, J.B.; Floridia, C.; Bassan, F.R.; da Costa, E.F.; Barbosa, C.F.; Dini, D.C.; Penze, R.S.; dos Reis Marques, F.L.; Teixeira, R.A.V. Optical sensors technologies evolution applied for power quality monitoring in the medium-voltage. In Fiber Optic Sensors and Applications XV; Mendez, A., Baldwin, C.S., Du, H.H., Eds.; International Society for Optics and Photonics; SPIE: Bellingham, WA, USA, 2018; Volume 10654, p. 1065404. [Google Scholar] [CrossRef]
- Gonçalves, M.N.; Werneck, M.M. Optical Voltage Transformer Based on FBG-PZT for Power Quality Measurement. Sensors 2021, 21, 2699. [Google Scholar] [CrossRef]
- Aristizabal-Tique, V.H.; Gómez-Montoya, N.A.; Salazar-Escobar, H.d.J.; Vélez-Hoyos, F.J.; Flórez-Velasquez, C.A. Performance Parameters Estimation of Pockels High-Voltage Sensors by Means of Numerical Optimization. IEEE Trans. Instrum. Meas. 2020, 69, 1540–1546. [Google Scholar] [CrossRef]
- Patel, N.; Branch, D.W.; Schamiloglu, E.; Cular, S. Comparative study of 0° X-cut and Y + 36°-cut lithium niobate high-voltage sensing. Rev. Sci. Instruments 2015, 86, 085001. [Google Scholar] [CrossRef]
- Pan, F.; Xiao, X.; Xu, Y.; Ren, S. An Optical AC Voltage Sensor Based on the Transverse Pockels Effect. Sensors 2011, 11, 6593–6602. [Google Scholar] [CrossRef] [PubMed]
- Martinez-Leon, L.; Diez, A.; Cruz, J.; Andres, M. Frequency-Output Fiber-Optic Voltage Sensor for High-Voltage Lines. IEEE Photonics Technol. Lett. 2001, 13, 996–998. [Google Scholar] [CrossRef]
- Dante, A.; Bacurau, R.M.; Carvalho, C.C.; Allil, R.C.S.B.; Werneck, M.M.; Ferreira, E.C. Optical high-voltage sensor based on fiber Bragg gratings and stacked piezoelectric actuators for a.c. measurements. Appl. Opt. 2019, 58, 8322–8330. [Google Scholar] [CrossRef] [PubMed]
- Gonçalves, M.N.; Werneck, M.M. A temperature-independent optical voltage transformer based on FBG-PZT for 13.8 kV distribution lines. Measurement 2019, 147, 106891. [Google Scholar] [CrossRef]
- Chen, C.; Liang, X.; Li, Y.; Peng, Z.; Song, P.; Sun, Z. Probe-type optical fiber sensors for electric field distribution measurement. Rev. Sci. Instruments 2024, 95, 125101. [Google Scholar] [CrossRef]
- Zheng, W.; Li, H.; Feng, C.; Wen, C.; Zeng, X. Design of Novel Resonant Optical Voltage Sensor Based on Pockels Effect. IEEE Sens. J. 2022, 22, 21694–21698. [Google Scholar] [CrossRef]
- Xie, N.; Zhu, D.; Xu, Q.; Tan, Q. Linear phase delay detection method for optical voltage transformer based on S-wave plate. Meas. Sci. Technol. 2021, 32, 085107. [Google Scholar] [CrossRef]
- Zhou, Y.; Bu, L.; Wang, L. Simulation and Research of Light Path Optical Wave Field of Optical Voltage Sensor Based on Pockels Effect. J. Phys. Conf. Ser. 2020, 1549, 052108. [Google Scholar] [CrossRef]
- Wang, D.; Xie, N. An Optical Voltage Sensor Based on Wedge Interference. IEEE Trans. Instrum. Meas. 2018, 67, 57–64. [Google Scholar] [CrossRef]
- Yariv, A.; Yeh, P. Optical Waves in Crystal: Propagation and Control of Laser Radiation; John Wiley and Sons, Inc.: New York, NY, USA, 1983; pp. 1–589. [Google Scholar]
- Tobal, F.H.F.; Galeti, J.H.; Felao, L.H.V.; Higuti, R.T.; Kitano, C. Optical Phase Detection Method for Measurements and Calibration of Pockels Cell-Based Sensors. IEEE Trans. Instrum. Meas. 2020, 69, 9822–9832. [Google Scholar] [CrossRef]
- Pereira, F.C.; Galeti, J.H.; Higuti, R.T.; Connelly, M.J.; Kitano, C. Real-Time Polarimetric Optical High-Voltage Sensor Using Phase-Controlled Demodulation. J. Light. Technol. 2018, 36, 3275–3283. [Google Scholar] [CrossRef]
- Galeti, J.H.; Higuti, R.T.; Kitano, C.; Connelly, M.J. Polarimetric Optical High-Voltage Sensor Using Synthetic-Heterodyne Demodulation and Hilbert Transform With Gain Control Feedback. IEEE J. Sel. Top. Quantum Electron. 2017, 23, 417–423. [Google Scholar] [CrossRef]
- Santos, J.C.; Taplamacioglu, M.C.; Hidaka, K. Pockels High-Voltage Measurement System. IEEE Trans. Power Deliv. 2000, 15, 8–13. [Google Scholar] [CrossRef]
- Maria, L.D.; Bartalesi, D.; Brambilla, R.L.; Pistoni, N.C.; Orrea, A. Optical Voltage Transducer for Embedded Medium Voltage Equipment: Design and Parameters Optimization. Proceedings 2019, 15, 17. [Google Scholar] [CrossRef]
- Choi, S.; Lee, D.G.; Woo, H.J.; Hong, S.H.; Ham, S.; Ryu, J.; Chung, K.J.; Hwang, Y.S.; Ghim, Y.c. Data analysis scheme for correcting general misalignments of an optics configuration for a voltage measurement system based on the Pockels electro-optic effect. Rev. Sci. Instruments 2021, 92, 043105. [Google Scholar] [CrossRef]
- Chabani, S.B.; Dekkiche, L.; Kouddad, E.; Hassani, I. A Novel Proposal of an Electro-Optical Sensor to Measure Various Levels of an Electric Field Using Pockels Effect Photonic Crystals. J. Nanoelectron. Optoelectron. 2024, 19, 665–668. [Google Scholar] [CrossRef]
- Udd, E.; Spillman, W.B. Fiber Optic Sensors: An Introduction for Engineers and Scientists, 2nd ed.; John Wiley & Sons, Inc.: Hoboken, NJ, USA, 2011; pp. 231–275. [Google Scholar] [CrossRef]
- Quispe-Valencia, L.M.; Coradini, M.F.; Lyra, S.S.; Higuti, R.T.; Teixeira, M.C.M.; Kitano, C. Simulation of a sliding mode controller applied to an optical voltage sensor. In Proceedings of the Anais do XXV Congresso Brasileiro de Automática, Rio de Janeiro, Brazil, 15–18 October 2024; Available online: https://www.sba.org.br/cba2024/papers/paper_2942.pdf (accessed on 24 May 2025).
- Tan, Q.; Xu, Q.; Chen, L.; Huang, Y. A New Method to Improve Internal Electric Field Distributions of Pockels OVS. IEEE Sens. J. 2017, 17, 4115–4121. [Google Scholar] [CrossRef]
- Zhao, J.; Yan, M.; Xu, S.; Sun, X. Fiber Optic Voltage Sensor Based on Capacitance Current Measurement With Temperature and Wavelength Error Correction Capability. IEEE Sens. J. 2022, 22, 23829–23836. [Google Scholar] [CrossRef]
- Kaminow, I.P. An Introduction to Electrooptic Devices; Academic Press: New York, NY, USA, 1974; pp. 1–424. [Google Scholar]
- Dong, Y.; Li, W.; Zhang, J.; Luo, W.; Fu, H.; Xing, X.; Hu, P.; Dong, Y.; Tan, J. High-speed PGC demodulation model and method with subnanometer displacement resolution in a fiber-optic micro-probe laser interferometer. Photon. Res. 2024, 12, 921–931. [Google Scholar] [CrossRef]
- Mu, S.; Yu, B.; Gui, L.; Shi, J.; Guang, D.; Zuo, C.; Zhang, W.; Zhao, X.; Wu, X. High-stability PGC demodulation technique with an additional sinusoidal modulation based on an auxiliary reference interferometer and EFA. Opt. Express 2022, 30, 26941–26954. [Google Scholar] [CrossRef]
- Ma, R.; Li, X.; Dong, X.; Xia, Y. Wavelength scanning distance interferometry using inflection point retrieval for phase unwrapping. Opt. Commun. 2018, 410, 292–296. [Google Scholar] [CrossRef]
- Kumada, A.; Hidaka, K. Directly High-Voltage Measuring System Based on Pockels Effect. IEEE Trans. Power Deliv. 2013, 28, 1306–1313. [Google Scholar] [CrossRef]
- Zhang, C.; Feng, X.; Liang, S.; Zhang, C.; Li, C. Quasi-reciprocal reflective optical voltage sensor based on Pockels effect with digital closed-loop detection technique. Opt. Commun. 2010, 283, 3878–3883. [Google Scholar] [CrossRef]
- Li, H.; Cui, L.; Lin, Z.; Li, L.; Wang, R.; Zhang, C. Signal Detection for Optical AC and DC Voltage Sensors Based on Pockels Effect. IEEE Sens. J. 2013, 13, 2245–2252. [Google Scholar] [CrossRef]
- Deng, W.; Li, H.; Zhang, C.; Wang, P. Optimization of Detection Accuracy of Closed-Loop Optical Voltage Sensors Based on Pockels Effect. Sensors 2017, 17, 1723. [Google Scholar] [CrossRef]
- Li, H.; Cui, L.; Lin, Z.; Li, L.; Zhang, C. An Analysis on the Optimization of Closed-Loop Detection Method for Optical Voltage Sensor Based on Pockels Effect. J. Light. Technol. 2014, 32, 1006–1013. [Google Scholar] [CrossRef]
- Li, H.; Bi, L.; Wang, R.; Lijing, L.; Lin, Z.; Zhang, C. Design of Closed-Loop Detection System for Optical Voltage Sensors Based on Pockels Effect. J. Light. Technol. 2013, 31, 1921–1928. [Google Scholar] [CrossRef]
- Nunes, G.F.S.; Palma, V.B.; Martin, R.I.; ao, L.H.V.F.; Teixeira, M.C.M.; Kitano, C.; Cazo, R.M.; Sakamoto, J.M.S. Characterization of a thin-film metal-coated fiber optical phase modulator based on thermal effect with a nonlinear control interferometer. Appl. Opt. 2021, 60, 7611–7618. [Google Scholar] [CrossRef]
- Lyra, S.S.; Martin, R.I.; Pereira, F.C.; Silva, E.C.N.; Teixeira, M.C.M.; Kitano, C. Digital control system for two-beam optical interferometry using variable structure and sliding modes method. In Terahertz, RF, Millimeter, and Submillimeter-Wave Technology and Applications XII; Sadwick, L.P., Yang, T., Eds.; International Society for Optics and Photonics; SPIE: Bellingham, WA, USA, 2019; Volume 10917, p. 109171N. [Google Scholar] [CrossRef]
- Martin, R.I.; Sakamoto, J.M.S.; Teixeira, M.C.M.; Martinez, G.A.; Pereira, F.C.; Kitano, C. Nonlinear control system for optical interferometry based on variable structure control and sliding modes. Opt. Express 2017, 25, 6335–6348. [Google Scholar] [CrossRef]
- Coradini, M.F.; Felão, L.H.V.; Lyra, S.d.S.; Teixeira, M.C.M.; Kitano, C. Takagi–Sugeno Fuzzy Nonlinear Control System for Optical Interferometry. Sensors 2025, 25, 1853. [Google Scholar] [CrossRef]
- Felão, L.H.V.; Martin, R.I.; Sakamoto, J.M.S.; Teixeira, M.C.M.; Kitano, C. Wide dynamic range quadrature interferometer with high-gain approach and sliding mode control. Opt. Express 2019, 27, 25031. [Google Scholar] [CrossRef]
- Dandridge, A.; Tveten, A.B. Phase compensation in interferometric fiber-optic sensors. Opt. Lett. 1982, 7, 279–281. [Google Scholar] [CrossRef]
- Kirkendall, C.K.; Dandridge, A. Overview of high performance fibre-optic sensing. J. Phys. D Appl. Phys. 2004, 37, R197. [Google Scholar] [CrossRef]
- Felão, L.H.V.; Martin, R.I.; Martinez, G.A.; Sakamoto, J.M.S.; Teixeira, M.C.M.; Kitano, C. All digital sliding mode observer of a feedback-free interferometer for high dynamic range detection. Opt. Lett. 2022, 47, 3852. [Google Scholar] [CrossRef]
- Arranz-Gimon, A.; Zorita-Lamadrid, A.; Morinigo-Sotelo, D.; Duque-Perez, O. A Review of Total Harmonic Distortion Factors for the Measurement of Harmonic and Interharmonic Pollution in Modern Power Systems. Energies 2021, 14, 6467. [Google Scholar] [CrossRef]
- Nobela, O.N.; Bansal, R.C.; Justo, J.J. A review of power quality compatibility of wind energy conversion systems with the South African utility grid. Renew. Energy Focus 2019, 31, 63–72. [Google Scholar] [CrossRef]
- Srividhya, J.; Sivakumar, D.; Shanmathi, T. A Review on causes, effects, and detection techniques of harmonics in the power system. In Proceedings of the 2016 International Conference on Computation of Power, Energy Information and Commuincation (ICCPEIC), Melmaruvathur, India, 20–21 April 2016; pp. 680–686. [Google Scholar] [CrossRef]
- IEC 61869-3:2011; Instrument Transformers–Part 3: Additional Requirements for Inductive Voltage Transformers. International Electrotechnical Commission: Geneva, Switzerland, 2011; pp. 1–23.
- IEC 61869-5:2011; Instrument Transformers–Part 5: Additional Requirements for Capacitor Voltage Transformers. International Electrotechnical Commission: Geneva, Switzerland, 2011; pp. 1–46.
- Welcome to the IEC Webstore. Available online: https://webstore.iec.ch/ (accessed on 24 May 2025).
- IEC 60044-7:1999; Instrument Transformers—Part 7: Electronic Voltage Transformers. International Electrotechnical Commission: Geneva, Switzerland, 1999; pp. 1–137.
- UNE-EN 60044:7; Instrument Transformers. Part 7: Electronic Voltage transformers. Comité Técnico AEN/CTN 207: Madrid, Spain, 2001; pp. 1–70.
- Cai, Y.; Li, D. Current status and application prospect of electronic transformer. In Proceedings of the CICED 2010 Proceedings, Nanjing, China, 13–16 September 2010; pp. 1–5. [Google Scholar]
- Fusiek, G.; Nelson, J.; Niewczas, P.; Havunen, J.; Suomalainen, E.P.; Hällström, J. Optical voltage sensor for MV networks. In Proceedings of the 2017 IEEE SENSORS, Glasgow, UK, 29 October–1 November 2017; pp. 1–3. [Google Scholar] [CrossRef]
- Fusiek, G.; Niewczas, P. Conceptual design and evaluation of an optical sensor for wide-area high-voltage metering and protection applications. In Proceedings of the 2021 IEEE International Instrumentation and Measurement Technology Conference (I2MTC), Glasgow, UK, 17–20 May 2021; pp. 1–6. [Google Scholar] [CrossRef]
- Jiang, C.; Ren, A.; Dong, T.; Wu, H.; Xu, K.; Chen, P. An optical fiber voltage sensor based on self-mixing interference. Opt. Fiber Technol. 2023, 75, 103201. [Google Scholar] [CrossRef]
- Fusiek, G.; Niewczas, P. Construction and Evaluation of an Optical Medium Voltage Transducer Module Aimed at a 132 kV Optical Voltage Sensor for WAMPAC Systems. Sensors 2022, 22, 5307. [Google Scholar] [CrossRef]
- Yariv, A.; Yeh, P. Photonics: Optical Electronics in Modern Communications, 6th ed.; Oxford University Press, Inc.: New York, NY, USA, 2007; pp. 1–830. [Google Scholar]
- Sima, W.; Liu, T.; Yang, Q.; Han, R.; Sun, S. Temperature characteristics of Pockels electro-optic voltage sensor with double crystal compensation. AIP Adv. 2016, 6, 055109. [Google Scholar] [CrossRef]
- Zhang, J.; Liu, B.; Liu, X.; Li, Y. An Optical Electric Field Sensor Using Two Cascaded LiNbO3 Crystals With Improved Sensitivity. IEEE Sens. J. 2025, 25, 21377–21385. [Google Scholar] [CrossRef]
- Pan, F.; Xiao, X.; Xu, Y.; Ren, S. Optical AC Voltage Sensor Based on Two Bi4Ge3O12 Crystals. IEEE Trans. Instrum. Meas. 2012, 61, 1125–1129. [Google Scholar] [CrossRef]
- Li, Y.; Wang, Y.; Xiao, L.; Bai, Q.; Liu, X.; Gao, Y.; Zhang, H.; Jin, B. Phase Demodulation Methods for Optical Fiber Vibration Sensing System: A Review. IEEE Sens. J. 2022, 22, 1842–1866. [Google Scholar] [CrossRef]
- Zhu, J.; Hu, P.; Tan, J. Homodyne laser vibrometer capable of detecting nanometer displacements accurately by using optical shutters. Appl. Opt. 2015, 54, 10196–10199. [Google Scholar] [CrossRef]
- Utkin, V. Variable Structure Systems with Sliding Modes. IEEE Trans. Autom. Control 1977, 22, 212–222. [Google Scholar] [CrossRef]
- Slotine, J.J.E.; Li, W. Applied Nonlinear Control; Prentice Hall, Inc.: Englewood Cliffs, NJ, USA, 1991; pp. 1–461. [Google Scholar]
- IEC/TR 61869-103:2012; Instrument Transformers–The Use of Instrument Transformers for Power Quality Measurement. International Electrotechnical Commission: Geneva, Switzerland, 2012; pp. 1–84.
- IEEE Std 519-2014; IEEE Recommended Practice and Requirements for Harmonic Control in Electric Power Systems. (Revision of IEEE Std 519-1992). IEEE: New York, NY, USA, 2014; pp. 1–29. [CrossRef]
- Xu, J.; Xu, Q.; Chai, L.; Li, Y.; Wang, H. Direct phase extraction from interferograms with random phase shifts. Opt. Express 2010, 18, 20620–20627. [Google Scholar] [CrossRef]



















| Article/Year | Anti-Environmental Interference | Technology | Peak-to-Peak Relative Error | Bandwidth |
|---|---|---|---|---|
| [11]/2019 | Thermo-optic effect and thermal expansion | FBG-PZT | 0.2% (for signals with THD < 10%) | - |
| [10]/2019 | Thermo-optic effect and thermal expansion | FBG-PZT | 3% | - |
| [5]/2021 | Thermo-optic effect and thermal expansion | FBG-PZT | - | 2.5 kHz |
| This paper/2025 | General environmental perturbation | LN bulk crystal | 0.8% (for signals with THD < 65%) | 3 kHz |
| D | Number of Points | Time [ms] |
|---|---|---|
| 2000 | 80 | 0.66 |
| 5000 | 28 | 0.23 |
| 10,000 | 9 | 0.075 |
Disclaimer/Publisher’s Note: The statements, opinions and data contained in all publications are solely those of the individual author(s) and contributor(s) and not of MDPI and/or the editor(s). MDPI and/or the editor(s) disclaim responsibility for any injury to people or property resulting from any ideas, methods, instructions or products referred to in the content. |
© 2025 by the authors. Licensee MDPI, Basel, Switzerland. This article is an open access article distributed under the terms and conditions of the Creative Commons Attribution (CC BY) license (https://creativecommons.org/licenses/by/4.0/).
Share and Cite
Quispe-Valencia, L.M.; Higuti, R.T.; Teixeira, M.C.M.; Kitano, C. New Optical Voltage Sensor Based on Closed-Loop Pockels Cell and Sliding Mode Observer: Theory and Experiments. Sensors 2025, 25, 5319. https://doi.org/10.3390/s25175319
Quispe-Valencia LM, Higuti RT, Teixeira MCM, Kitano C. New Optical Voltage Sensor Based on Closed-Loop Pockels Cell and Sliding Mode Observer: Theory and Experiments. Sensors. 2025; 25(17):5319. https://doi.org/10.3390/s25175319
Chicago/Turabian StyleQuispe-Valencia, Luis Miguel, Ricardo Tokio Higuti, Marcelo Carvalho M. Teixeira, and Claudio Kitano. 2025. "New Optical Voltage Sensor Based on Closed-Loop Pockels Cell and Sliding Mode Observer: Theory and Experiments" Sensors 25, no. 17: 5319. https://doi.org/10.3390/s25175319
APA StyleQuispe-Valencia, L. M., Higuti, R. T., Teixeira, M. C. M., & Kitano, C. (2025). New Optical Voltage Sensor Based on Closed-Loop Pockels Cell and Sliding Mode Observer: Theory and Experiments. Sensors, 25(17), 5319. https://doi.org/10.3390/s25175319

