An Efficient Quantized Message Passing Receiver Design for SCMA Systems
Abstract
1. Introduction
- The Sub-log MPA is considered in order to accelerate the convergence of conventional Max-log MPA by splitting the factor graph into two parts and utilizing the latest updating messages at the current iteration.
- To improve the BER performance of SCMA systems, a new quasi-uniform quantizer is formulated without increasing the decoding complexity compared to the traditional one. To the best of our knowledge, this is the first attempt to apply the non-uniform quantizer to the SCMA system.
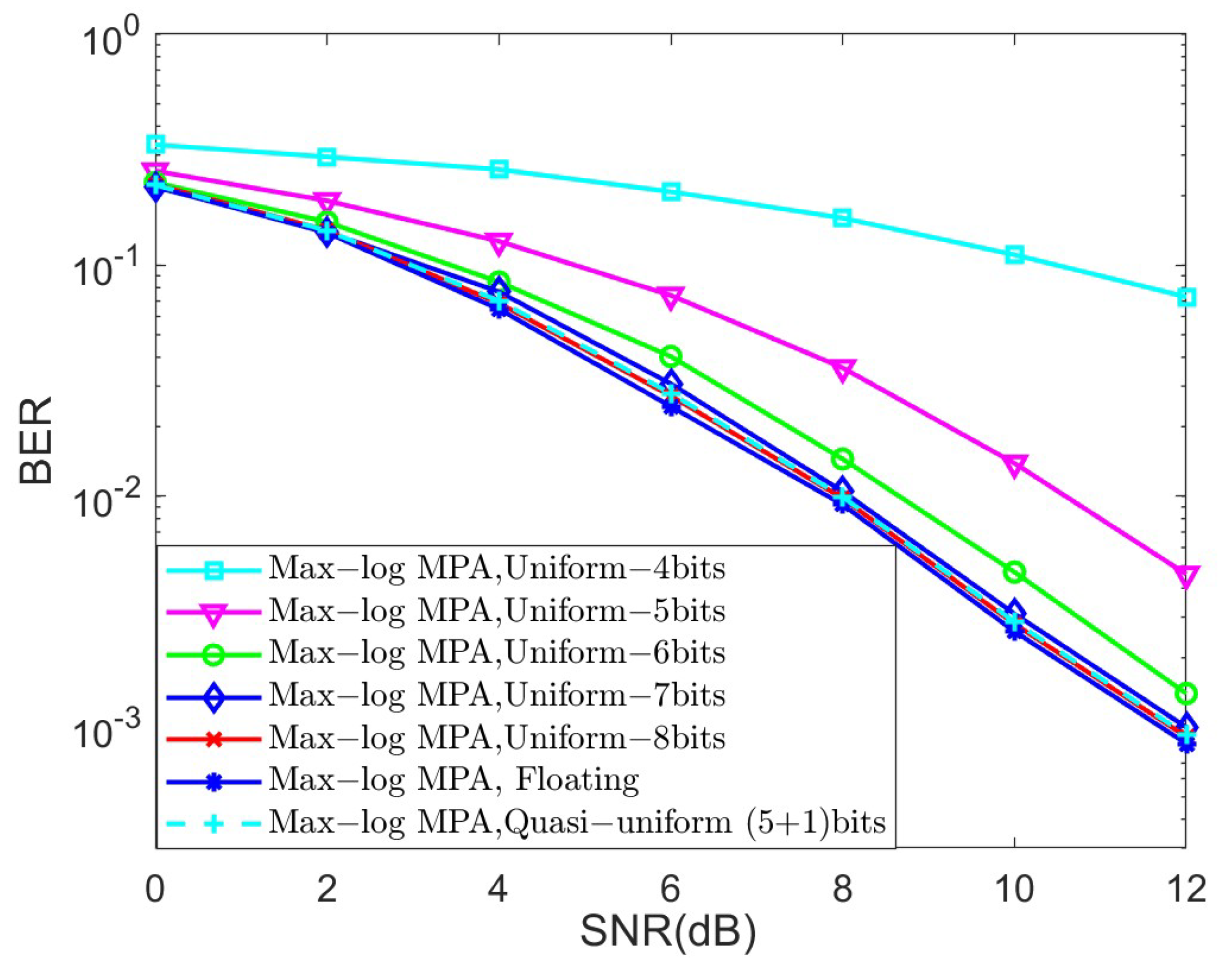
- Simulation results confirm the validity of our proposed quasi-uniform quantizer, which can significantly reduce the computational complexity to achieve the same BER as the standard one; in other words, it can improve the BER performance as compared to the uniform quantizer by using identical quantization bits.
2. System Model
2.1. SCMA System Description
2.2. Conventional Log-MPA
3. Proposed Quasi-Uniform Quantizer for SCMA System
3.1. Max-Log MPA Detector for the SCMA System
3.2. Sub-Log MPA Detector for the SCMA System
| Algorithm 1: The iterative implementation of Sub-log MPA |
Input:
|
3.3. Complexity Analysis
3.4. The Standard Uniform Quantizer for SCMA
3.5. The Proposed Quasi-Uniform Quantizer for SCMA
- A large dynamic range of the probabilities is allowed.
- The quantization precision is less than the standard uniform quantizer; i.e., the quasi-uniform quantizer can achieve the same BER performance as the standard uniform quantizer with less quantized bits.
- The hardware implementation complexity can be controlled; in fact, the proposed quasi-uniform quantizer has the same hardware implementation complexity as the standard uniform one. The difference between the quasi-uniform and uniform quantizers lies in the quantization thresholds, i.e., the quantization thresholds of the uniform quantizer is uniformly distributed, while it becomes non-uniformly distributed for the quasi-uniform quantizer.
4. Simulation Results
4.1. BER Evolution for AWGN Channel
4.2. Ber Evolution for the Rayleigh Channel
5. Conclusions
Author Contributions
Funding
Institutional Review Board Statement
Informed Consent Statement
Data Availability Statement
Conflicts of Interest
References
- Wang, C.; You, X.; Gao, X.; Zhu, X.; Li, Z.; Zhang, C.; Wang, H.; Huang, Y.; Chen, Y.; Haas, H.; et al. On the Road to 6G: Visions, Requirements, Key Technologies, and Testbeds. IEEE Commun. Surv. Tuts. 2023, 25, 905–974. [Google Scholar] [CrossRef]
- Chafii, M.; Bariah, L.; Muhaidat, S.; Debbah, M. Twelve Scientific Challenges for 6G: Rethinking the Foundations of Communications Theory. IEEE Commun. Surv. Tuts. 2023, 25, 868–904. [Google Scholar] [CrossRef]
- Atzori, L.; Iera, A.; Morabito, G. The Internet of Things: A survey. Comput. Netw. 2010, 54, 2787–2805. [Google Scholar] [CrossRef]
- Zanella, A.; Bui, N.; Castellani, A.; Vangelista, L.; Zorzi, M. Internet of Things for smart cities. IEEE Internet Things J. 2014, 1, 22–32. [Google Scholar] [CrossRef]
- Zhong, Y.; Dutkiewicz, E.; Yang, Y.; Zhu, X.; Zhou, Z.; Jiang, T. Internet of mission-critical things: Human and animal classification-A device-free sensing approach. IEEE Internet Things J. 2018, 5, 3369–3377. [Google Scholar] [CrossRef]
- Ji, B.; Zhang, X.; Mumtaz, S.; Han, C.; Li, C.; Wen, H.; Wang, D. Survey on the internet of vehicles: Network architectures and applications. IEEE Commun. Stand. Mag. 2020, 4, 34–41. [Google Scholar] [CrossRef]
- Al-Dulaimi, O.M.K.; Al-Dulaimi, A.M.K.; Alexandra, M.O.; Al-Dulaimi, M.K.H. Strategy for Non-Orthogonal Multiple Access and Performance in 5G and 6G Networks. Sensors 2023, 23, 1705. [Google Scholar] [CrossRef]
- Wang, D.; Wu, M.; He, Y.; Pang, L.; Xu, Q.; Zhang, R. An HAP and UAVs Collaboration Framework for Uplink Secure Rate Maximization in NOMA-Enabled IoT Networks. Remote Sens. 2022, 14, 4501. [Google Scholar] [CrossRef]
- Liu, Y.; Gao, H.; Cheng, H.; Xia, Y.; Pei, W. Outage Performance Analysis of Improper Gaussian Signaling for Two-User Downlink NOMA Systems with Imperfect Successive Interference Cancellation. Entropy 2023, 25, 1172. [Google Scholar] [CrossRef]
- Vidal-Beltrán, S.; López-Bonilla, J.L. Improving Spectral Efficiency in the SCMA Uplink Channel. Mathematics 2021, 9, 651. [Google Scholar] [CrossRef]
- Sultana, A.; Woungang, I.; Anpalagan, A.; Zhao, L.; Ferdouse, L. Efficient resource allocation in SCMA-enabled device-to-device communication for 5G networks. IEEE Trans. Veh. Technol. 2020, 69, 5343–5354. [Google Scholar] [CrossRef]
- Yu, L.; Liu, Z.; Wen, M.; Cai, D.; Dang, S.; Wang, Y.; Xiao, P. Sparse code multiple access for 6G wireless communication networks: Recent advances and future directions. IEEE Commun. Stand. Mag. 2021, 5, 92–99. [Google Scholar] [CrossRef]
- Islam, S.M.R.; Avazov, N.; Dobre, O.A.; Kwak, K. Power-domain non-orthogonal multiple access (NOMA) in 5G systems: Potentials and challenges. IEEE Commun. Surv. Tut. 2017, 19, 721–742. [Google Scholar] [CrossRef]
- Wang, P.; Ye, N.; Li, J.; Di, B.; Wang, A. Asynchronous Multi-User Detection for Code-Domain NOMA: Expectation Propagation Over 3D Factor-Graph. IEEE Trans. Veh. Technol. 2022, 71, 10770–10781. [Google Scholar] [CrossRef]
- Nikopour, H.; Baligh, H. Sparse code multiple access. In Proceedings of the 2013 IEEE 24th Annual International Symposium on Personal, Indoor, and Mobile Radio Communications (PIMRC), London, UK, 8–11 September 2013. [Google Scholar]
- Wei, F.; Chen, W.; Wu, Y.; Ma, J.; Tsiftsis, T.A. Message-passing receiver design for joint channel estimation and data decoding in uplink grant-free SCMAsystems. IEEE Trans. Wirel. Commun. 2019, 18, 167–181. [Google Scholar] [CrossRef]
- Bao, J.; Ma, Z.; Xiao, M.; Ding, Z.; Zhu, Z. Performance analysis of uplink SCMA with receiver diversity and randomly deployed users. IEEE Trans. Veh. Technol. 2018, 67, 2792–2797. [Google Scholar] [CrossRef]
- Moltafet, M.; Yamchi, N.M.; Javan, M.R.; Azmi, P. Comparison study between PD-NOMA and SCMA. IEEE Trans. Veh. Technol. 2018, 67, 1830–1834. [Google Scholar] [CrossRef]
- Dai, L.; Wang, B.; Yuan, Y.; Han, S.; Chih-lin, I.; Wang, Z. Non-orthogonal multiple access for 5G: Solutions, challenges, opportunities, and future research trends. IEEE Commun. Mag. 2015, 53, 74–81. [Google Scholar] [CrossRef]
- Li, S.; Feng, Y.; Sun, Y.; Xia, Z. A Low-Complexity Detector for Uplink SCMA by Exploiting Dynamical Superior User Removal Algorithm. Electronics 2022, 11, 1020. [Google Scholar] [CrossRef]
- Ye, N.; Miao, S.; Pan, J.; Xiang, Y.; Mumtaz, S. Dancing With Chains: Spaceborne Distributed Multi-User Detection Under Inter-Satellite Link Constraints. IEEE J. Sel. Top. Signal Process. 2025, 19, 430–446. [Google Scholar] [CrossRef]
- Luo, Q.; Gao, P.; Liu, Z.; Xiao, L.; Mheich, Z.; Xiao, P. An error rate comparison of power domain non-orthogonal multiple access and sparse code multiple access. IEEE Open J. Commun. Soc. 2021, 2, 500–511. [Google Scholar] [CrossRef]
- Yang, L.; Liu, Y.; Siu, Y. Low Complexity Message Passing Algorithm for SCMA System. IEEE Commun. Lett. 2016, 20, 2466–2469. [Google Scholar] [CrossRef]
- Mu, H.; Ma, Z.; Alhaji, M.; Fan, P.; Chen, D. A Fixed Low Complexity Message Pass Algorithm Detector for Up-Link SCMA System. IEEE Wirel. Commun. Lett. 2015, 4, 585–588. [Google Scholar] [CrossRef]
- Jia, M.; Wang, L.; Guo, Q.; Gu, X.; Xiang, W. A Low Complexity Detection Algorithm for Fixed Up-Link SCMA System in Mission Critical Scenario. IEEE Internet Things J. 2018, 5, 3289–3298. [Google Scholar] [CrossRef]
- Du, Y.; Dong, B.; Chen, Z.; Fang, J.; Yang, L. Shuffled Multiuser Detection Schemes for Uplink Sparse Code Multiple Access Systems. IEEE Commun. Lett. 2016, 20, 1231–1234. [Google Scholar] [CrossRef]
- Du, Y.; Dong, B.; Chen, Z.; Fang, J.; Wang, X. A Fast Convergence Multiuser Detection Scheme for Uplink SCMA Systems. IEEE Wirel. Commun. Lett. 2016, 25, 388–391. [Google Scholar] [CrossRef]
- Du, Y.; Dong, B.; Chen, Z.; Wang, X.; Gao, P. Improved Serial Scheduling-Based Detection for Sparse Code Multiple Access Systems. IEEE Wirel. Commun. Lett. 2017, 6, 570–573. [Google Scholar] [CrossRef]
- Du, Y.; Dong, B.; Chen, Z.; Gao, P.; Fang, J. Joint Sparse Graph-Detector Design for Downlink MIMO-SCMA Systems. IEEE Wirel. Commun. Lett. 2017, 6, 14–17. [Google Scholar] [CrossRef]
- Dai, J.; Niu, K.; Dong, C.; Lin, J. Scaling Factor Aided Iterative Multiuser Receiver for Sparse Code Multiple Access. IEEE Commun. Lett. 2017, 21, 1273–1276. [Google Scholar] [CrossRef]
- Dai, J.; Niu, K.; Dong, C.; Lin, J. Improved Message Passing Algorithms for Sparse Code Multiple Access. IEEE Trans. Veh. Technol. 2017, 66, 9986–9999. [Google Scholar] [CrossRef]
- Han, K.; Hu, J.; Chen, J.; Lu, H. A Low Complexity Sparse Code Multiple Access Detector Based on Stochastic Computing. IEEE Trans. Circuits Syst. I Reg. Papers 2018, 65, 769–782. [Google Scholar] [CrossRef]
- Yang, L.; Lin, X.; Ma, X.; Song, K. Clipping Noise-Aided Message Passing Algorithm for SCMA-OFDM System. IEEE Commun. Lett. 2018, 22, 2156–2159. [Google Scholar] [CrossRef]
- Cheng, H.; Zhang, M.; Zhang, C.; Zhang, H.; Huang, Y.; Wang, B. Low Complexity Message Passing Receiver Design for SCMA-GFDM System. IEEE Trans. Veh. Technol. 2024, 73, 18755–18768. [Google Scholar] [CrossRef]
- Wei, F.; Chen, W. Low Complexity Iterative Receiver Design for Sparse Code Multiple Access. IEEE Trans. Commun. 2017, 65, 621–634. [Google Scholar] [CrossRef]
- Vameghestahbanati, M.; Bedeer, E.; Marsland, I.; Gohary, R.H.; Yanikomeroglu, H. Enabling Sphere Decoding for SCMA. IEEE Commun. Lett. 2017, 21, 2750–2753. [Google Scholar] [CrossRef]
- Yang, L.; Ma, X.; Siu, Y. Low Complexity MPA Detector Based on Sphere Decoding for SCMA. IEEE Commun. Lett. 2017, 21, 1855–1858. [Google Scholar] [CrossRef]
- Li, L.; Wen, J.; Tang, X.; Tellambura, C. Modified Sphere Decoding for Sparse Code Multiple Access. IEEE Commun. Lett. 2018, 22, 1544–1547. [Google Scholar] [CrossRef]
- Vameghestahbanati, M.; Marsland, I.; Gohary, R.H.; Yanikomeroglu, H. A Novel SD-Based Detection for Generalized SCMA Constellations. IEEE Trans. Veh. Technol. 2019, 68, 10278–10282. [Google Scholar] [CrossRef]
- Cheng, H.; Zhang, C.; Huang, Y.; Yang, L. Efficient Message Passing Receivers for Downlink MIMO-SCMA Systems. IEEE Trans. Veh. Technol. 2022, 71, 5073–5086. [Google Scholar] [CrossRef]
- Liu, Y.; Zhang, C.; Hu, J.; Chen, J.; Yang, K. Low-Complexity MIMO-SCMA Detection for LEO Satellite Communications. IEEE Trans. Veh. Technol. 2025, 74, 5253–5258. [Google Scholar] [CrossRef]
- Deka, K.; Thomas, A.; Sharma, S. OTFS-SCMA: A Code-Domain NOMA Approach for Orthogonal Time Frequency Space Modulation. IEEE Trans. Commun. 2021, 69, 5043–5058. [Google Scholar] [CrossRef]
- Li, Q.; Liu, G.; Zhao, Y.; Liu, C.; Xu, F. Deep Learning-Based Downlink OTFS-SCMA. IEEE Wirel. Commun. Lett. 2024, 13, 3434–3438. [Google Scholar] [CrossRef]
- Zhao, L.; Wang, C.; Pang, M.; Wang, W.; Wang, W.; Jiang, F.; Xu, L. A Novel Spherical Codebook Design for Uplink SCMA in Satellite Communications. In Proceedings of the 2024 IEEE 99th Vehicular Technology Conference (VTC2024-Spring), Singapore, 24–27 June 2024. [Google Scholar]
- Wu, Y.; Dai, J.; Niu, K.; Dong, C.; Bian, X. Hardware Design and Implementation of Sparse Code Multiple Access. In Proceedings of the 2017 IEEE 86th Vehicular Technology Conference (VTC-Fall), Toronto, ON, Canada, 24–27 September 2017. [Google Scholar]
- Zhang, C.; Yang, C.; Pang, X.; Song, W.; Xu, W.; Zhang, S.; Zhang, Z.; You, X. Efficient Sparse Code Multiple Access Decoder Based on Deterministic Message Passing Algorithm. IEEE Trans. Veh. Technol. 2020, 69, 3562–3574. [Google Scholar] [CrossRef]
- Pang, X.; Song, W.; Shen, Y.; You, X.; Zhang, C. Efficient Row-Layered Decoder for Sparse Code Multiple Access. IEEE Trans. Circuits Syst. I Reg. Papers 2021, 68, 3495–3507. [Google Scholar] [CrossRef]
- Li, X.; Gao, Z.; Gui, Y.; Liu, Z.; Xiao, P.; Yu, L. Design of Power-Imbalanced SCMA Codebook. IEEE Trans. Veh. Technol. 2022, 71, 2140–2145. [Google Scholar] [CrossRef]
- Robertson, P.; Villebrun, E.; Hoeher, P. A comparison of optimal and sub-optimal MAP decoding algorithms operating in the log domain. In Proceedings of the 1995 IEEE International Conference on Communications (ICC), Seattle, WA, USA, 18–22 June 1995. [Google Scholar]
- Chen, J.; Dholakia, A.; Eleftheriou, E.; Fossorier, M.P.C.; Hu, X.-Y. Reduced-complexity decoding of LDPC codes. IEEE Trans. Commun. 2005, 53, 1288–1299. [Google Scholar] [CrossRef]













| Input Range | Quantized Value (Decimal) | Binary Form |
|---|---|---|
| 0 | 00000 | |
| 0.5 | 00001 | |
| 1 | 00010 | |
| 1.5 | 00011 | |
| 2 | 00100 | |
| 2.5 | 00101 | |
| 3 | 00110 | |
| 3.5 | 00111 | |
| 4 | 01000 | |
| 8 | 01001 | |
| 16 | 01010 | |
| 32 | 01011 | |
| 64 | 01100 | |
| 128 | 01101 | |
| 256 | 01110 | |
| 512 | 01111 |
Disclaimer/Publisher’s Note: The statements, opinions and data contained in all publications are solely those of the individual author(s) and contributor(s) and not of MDPI and/or the editor(s). MDPI and/or the editor(s) disclaim responsibility for any injury to people or property resulting from any ideas, methods, instructions or products referred to in the content. |
© 2025 by the authors. Licensee MDPI, Basel, Switzerland. This article is an open access article distributed under the terms and conditions of the Creative Commons Attribution (CC BY) license (https://creativecommons.org/licenses/by/4.0/).
Share and Cite
Cheng, H.; Zhang, M.; Su, R. An Efficient Quantized Message Passing Receiver Design for SCMA Systems. Sensors 2025, 25, 3098. https://doi.org/10.3390/s25103098
Cheng H, Zhang M, Su R. An Efficient Quantized Message Passing Receiver Design for SCMA Systems. Sensors. 2025; 25(10):3098. https://doi.org/10.3390/s25103098
Chicago/Turabian StyleCheng, Hao, Min Zhang, and Ruoyu Su. 2025. "An Efficient Quantized Message Passing Receiver Design for SCMA Systems" Sensors 25, no. 10: 3098. https://doi.org/10.3390/s25103098
APA StyleCheng, H., Zhang, M., & Su, R. (2025). An Efficient Quantized Message Passing Receiver Design for SCMA Systems. Sensors, 25(10), 3098. https://doi.org/10.3390/s25103098

