Deep Learning Unravels Differences Between Kinematic and Kinetic Gait Cycle Time Series from Two Control Samples of Healthy Children Assessed in Two Different Gait Laboratories
Abstract
1. Introduction
2. Methods
2.1. Patients
2.2. Gait Methods and Laboratories
2.3. Deep Learning Classification Tasks
- Multi-Layer Perceptrons (MLPs) [20]. Basic feedforward neural networks composed of two hidden layers of 320 nodes each, all of them fully connected to the units of the next layer.
- Convolutional Neural Networks (CNNs) [17]. Basic convolutional architectures, i.e., without layer skipping used in ResNet. We used a configuration with two hidden convolutional layers with 24 filters per layer, with a kernel size of 10 for each filter.
- Transformers [21]. These models are mostly used for processing textual data. They are based on encoding groups of consecutive values into vectors, which are then analyzed by “attention heads”, or small structures that evaluate the importance of one element with respect to neighboring ones. Key hyperparameters include the number of Transformer blocks, the attention head count, and the embedding dimension—all of them set to 4.
- Long Short-Term Memory (LSTM) [22]. This is a type of recurrent neural network that is capable of learning long-term dependencies in sequential data, by using memory cells and gating mechanisms to control information flow. Here, we included two hidden layers of 128 units each, and a drop-out rate of .
3. Results
3.1. Time Series Discrimination
3.2. Differences in Value Distributions
3.3. Differences in the Autocorrelation Structure
- minima (left panel), i.e., the difference between the corresponding to the minima in both sets of time series. This metric is calculated as , where and are the location of the two minima.
- area (central panel), calculated as the area between both autocorrelation curves.
- Continuous Ordinal Patterns (COPs). These are a generalization of the traditional ordinal pattern approach [24], in which not only the relative order of the data points but also their magnitudes are taken into account, and have been proven to be relevant in characterizing time series, assessing irreversibility [25], and improving causality tests [26]. In more detail, random COPs were applied to the time series, and the difference between the result obtained in each group was measured through Cohen’s D. The higher this difference, the more the structures of the correlations within the time series are different; hence, this metric can be seen as a generalized version of the previous ones.
3.4. Differences in Frequency Content
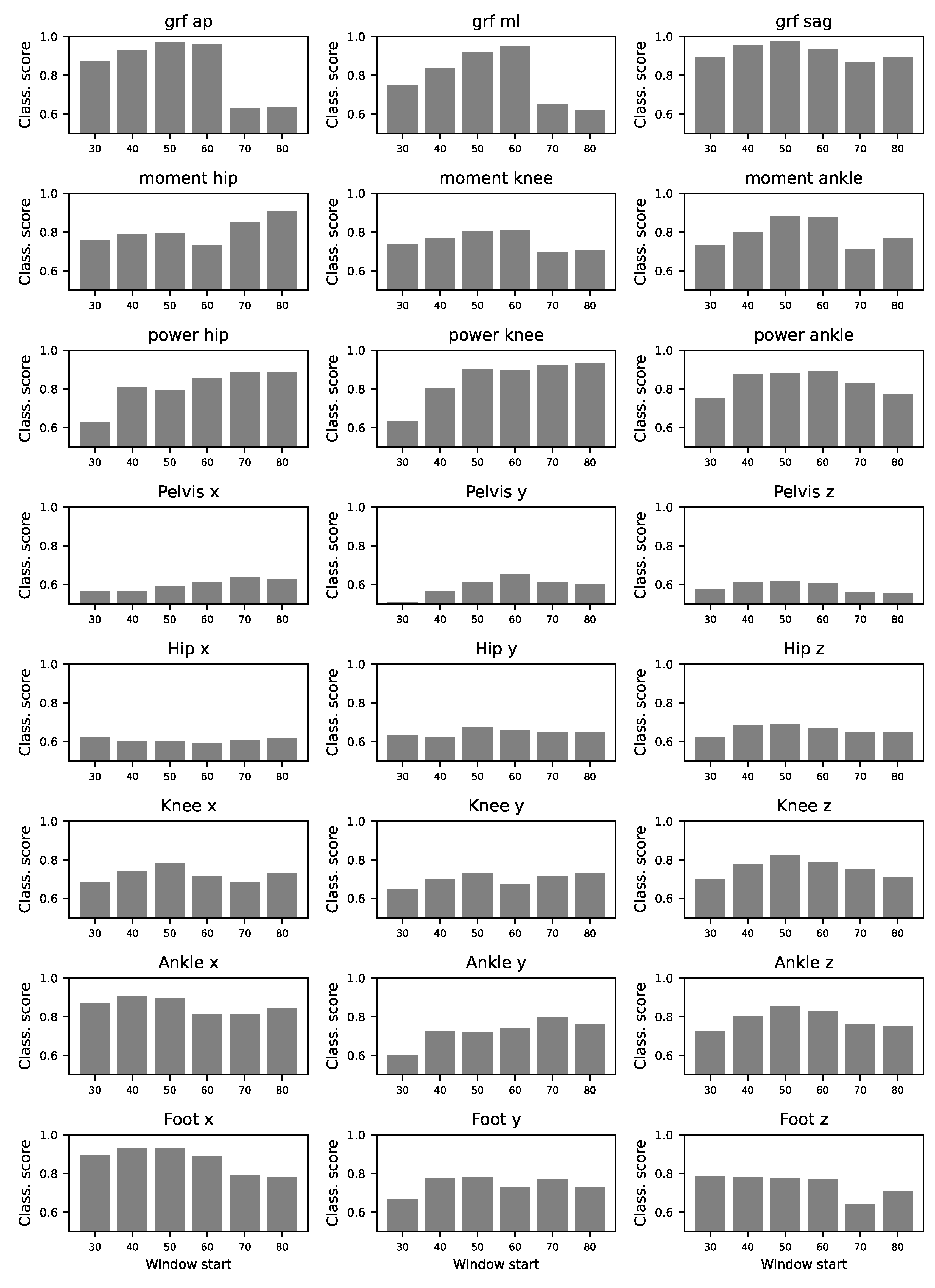
3.5. Localization of Differences
4. Discussion and Conclusions
Author Contributions
Funding
Institutional Review Board Statement
Informed Consent Statement
Data Availability Statement
Acknowledgments
Conflicts of Interest
Abbreviations
| COP | Continuous Ordinal Pattern |
| DL | Deep learning |
| GRF | Ground reaction force |
| LOCO | Leave-one-cycle-out |
| LOPO | Leave-one-patient-out |
| ML | Machine learning |
Appendix A










References
- Feng, J.; Wick, J.; Bompiani, E.; Aiona, M. Applications of gait analysis in pediatric orthopaedics. Curr. Orthop. Pract. 2016, 27, 455–464. [Google Scholar] [CrossRef]
- Armand, S.; Decoulon, G.; Bonnefoy-Mazure, A. Gait analysis in children with cerebral palsy. EFORT Open Rev. 2016, 1, 448–460. [Google Scholar] [CrossRef] [PubMed]
- Goudriaan, M.; Van den Hauwe, M.; Dekeerle, J.; Verhelst, L.; Molenaers, G.; Goemans, N.; Desloovere, K. Gait deviations in Duchenne muscular dystrophy—Part 1. A systematic review. Gait Posture 2018, 62, 247–261. [Google Scholar] [CrossRef] [PubMed]
- Kennedy, R.A.; Carroll, K.; McGinley, J.L.; Paterson, K.L. Walking and weakness in children: A narrative review of gait and functional ambulation in paediatric neuromuscular disease. J. Foot Ankle Res. 2020, 13, 10. [Google Scholar] [CrossRef]
- Faccioli, S.; Cavalagli, A.; Falocci, N.; Mangano, G.; Sanfilippo, I.; Sassi, S. Gait analysis patterns and rehabilitative interventions to improve gait in persons with hereditary spastic paraplegia: A systematic review and meta-analysis. Front. Neurol. 2023, 14, 1256392. [Google Scholar] [CrossRef]
- Vasco, G.; Gazzellini, S.; Petrarca, M.; Lispi, M.L.; Pisano, A.; Zazza, M.; Della Bella, G.; Castelli, E.; Bertini, E. Functional and gait assessment in children and adolescents affected by Friedreich’s ataxia: A one-year longitudinal study. PLoS ONE 2016, 11, e0162463. [Google Scholar] [CrossRef]
- Ilg, W.; Milne, S.; Schmitz-Hübsch, T.; Alcock, L.; Beichert, L.; Bertini, E.; Mohamed Ibrahim, N.; Dawes, H.; Gomez, C.M.; Hanagasi, H.; et al. Quantitative gait and balance outcomes for ataxia trials: Consensus recommendations by the ataxia global initiative working group on digital-motor biomarkers. Cerebellum 2024, 23, 1566–1592. [Google Scholar] [CrossRef]
- Marin, J.; Marin, J.J.; Blanco, T.; de la Torre, J.; Salcedo, I.; Martitegui, E. Is my patient improving? Individualized gait analysis in rehabilitation. Appl. Sci. 2020, 10, 8558. [Google Scholar] [CrossRef]
- Halilaj, E.; Rajagopal, A.; Fiterau, M.; Hicks, J.L.; Hastie, T.J.; Delp, S.L. Machine learning in human movement biomechanics: Best practices, common pitfalls, and new opportunities. J. Biomech. 2018, 81, 1–11. [Google Scholar] [CrossRef]
- Özateş, M.E.; Yaman, A.; Salami, F.; Campos, S.; Wolf, S.I.; Schneider, U. Identification and interpretation of gait analysis features and foot conditions by explainable AI. Sci. Rep. 2024, 14, 5998. [Google Scholar] [CrossRef]
- Khan, A.; Galarraga, O.; Garcia-Salicetti, S.; Vigneron, V. Deep Learning for Quantified Gait Analysis: A Systematic Literature Review. IEEE Access 2024, 12, 138932–138957. [Google Scholar] [CrossRef]
- Banerjee, J.; Taroni, J.N.; Allaway, R.J.; Prasad, D.V.; Guinney, J.; Greene, C. Machine learning in rare disease. Nat. Methods 2023, 20, 803–814. [Google Scholar] [CrossRef] [PubMed]
- Herring, J.A. Tachdjian’s Pediatric Orthopaedics: Texas Scottish Rite Hospital for Children; Elsevier: Amsterdam, The Netherlands, 2008. [Google Scholar]
- Ismail Fawaz, H.; Forestier, G.; Weber, J.; Idoumghar, L.; Muller, P.A. Deep learning for time series classification: A review. Data Min. Knowl. Discov. 2019, 33, 917–963. [Google Scholar] [CrossRef]
- Crespo-Otero, A.; Esteve, P.; Zanin, M. Deep Learning models for the analysis of time series: A practical introduction for the statistical physics practitioner. Chaos Solitons Fractals 2024, 187, 115359. [Google Scholar] [CrossRef]
- Simonyan, K.; Zisserman, A. Very deep convolutional networks for large-scale image recognition. arXiv 2014, arXiv:1409.1556. [Google Scholar]
- Zhao, B.; Lu, H.; Chen, S.; Liu, J.; Wu, D. Convolutional neural networks for time series classification. J. Syst. Eng. Electron. 2017, 28, 162–169. [Google Scholar] [CrossRef]
- Abadi, M.; Agarwal, A.; Barham, P.; Brevdo, E.; Chen, Z.; Citro, C.; Corrado, G.S.; Davis, A.; Dean, J.; Devin, M.; et al. Tensorflow: Large-scale machine learning on heterogeneous distributed systems. arXiv 2016, arXiv:1603.04467. [Google Scholar]
- Gulli, A.; Pal, S. Deep Learning with Keras; Packt Publishing Ltd.: Birmingham, UK, 2017. [Google Scholar]
- Wang, Z.; Yan, W.; Oates, T. Time series classification from scratch with deep neural networks: A strong baseline. In Proceedings of the 2017 International Joint Conference on Neural Networks (IJCNN), Anchorage, AK, USA, 14–19 May 2017; pp. 1578–1585. [Google Scholar]
- Vaswani, A.; Shazeer, N.; Parmar, N.; Uszkoreit, J.; Jones, L.; Gomez, A.N.; Kaiser, Ł.; Polosukhin, I. Attention is all you need. Adv. Neural Inf. Process. Syst. 2017, 30, 1–11. [Google Scholar]
- Karim, F.; Majumdar, S.; Darabi, H.; Chen, S. LSTM fully convolutional networks for time series classification. IEEE Access 2017, 6, 1662–1669. [Google Scholar]
- Savitzky, A.; Golay, M.J. Smoothing and differentiation of data by simplified least squares procedures. Anal. Chem. 1964, 36, 1627–1639. [Google Scholar] [CrossRef]
- Bandt, C.; Pompe, B. Permutation entropy: A natural complexity measure for time series. Phys. Rev. Lett. 2002, 88, 174102. [Google Scholar] [PubMed]
- Zanin, M. Continuous ordinal patterns: Creating a bridge between ordinal analysis and deep learning. Chaos Interdiscip. J. Nonlinear Sci. 2023, 33, 033114. [Google Scholar] [CrossRef] [PubMed]
- Zanin, M. Augmenting granger causality through continuous ordinal patterns. Commun. Nonlinear Sci. Numer. Simul. 2024, 128, 107606. [Google Scholar] [CrossRef]
- Welch, P. The use of fast Fourier transform for the estimation of power spectra: A method based on time averaging over short, modified periodograms. IEEE Trans. Audio Electroacoust. 1967, 15, 70–73. [Google Scholar] [CrossRef]
- Fukuchi, C.A.; Fukuchi, R.K.; Duarte, M. Effects of walking speed on gait biomechanics in healthy participants: A systematic review and meta-analysis. Syst. Rev. 2019, 8, 1–11. [Google Scholar] [CrossRef]
- Schwartz, M.H.; Rozumalski, A.; Trost, J.P. The effect of walking speed on the gait of typically developing children. J. Biomech. 2008, 41, 1639–1650. [Google Scholar] [CrossRef]
- Thevenon, A.; Gabrielli, F.; Lepvrier, J.; Faupin, A.; Allart, E.; Tiffreau, V.; Wieczorek, V. Collection of normative data for spatial and temporal gait parameters in a sample of French children aged between 6 and 12. Ann. Phys. Rehabil. Med. 2015, 58, 139–144. [Google Scholar]
- Brinkerhoff, S.A.; Murrah, W.M.; Hutchison, Z.; Miller, M.; Roper, J.A. Words matter: Instructions dictate “self-selected” walking speed in young adults. Gait Posture 2022, 95, 223–226. [Google Scholar] [CrossRef]
- Hollman, J.H.; Watkins, M.K.; Imhoff, A.C.; Braun, C.E.; Akervik, K.A.; Ness, D.K. A comparison of variability in spatiotemporal gait parameters between treadmill and overground walking conditions. Gait Posture 2016, 43, 204–209. [Google Scholar] [CrossRef]
- Janeh, O.; Langbehn, E.; Steinicke, F.; Bruder, G.; Gulberti, A.; Poetter-Nerger, M. Walking in Virtual Reality: Effects of Manipulated Visual Self-Motion on Walking Biomechanics. ACM Trans. Appl. Percept. 2017, 14, 1–15. [Google Scholar] [CrossRef]
- Baker, R. Gait analysis methods in rehabilitation. J. Neuroeng. Rehabil. 2006, 3, 4. [Google Scholar] [CrossRef] [PubMed]
- Figueiredo, J.; Santos, C.P.; Moreno, J.C. Automatic recognition of gait patterns in human motor disorders using machine learning: A review. Med. Eng. Phys. 2018, 53, 1–12. [Google Scholar] [CrossRef] [PubMed]
- Rehman, R.Z.U.; Del Din, S.; Guan, Y.; Yarnall, A.J.; Shi, J.Q.; Rochester, L. Selecting Clinically Relevant Gait Characteristics for Classification of Early Parkinson’s Disease: A Comprehensive Machine Learning Approach. Sci. Rep. 2019, 9, 17269. [Google Scholar] [CrossRef]
- An, L.; Chen, J.; Chen, P.; Zhang, C.; He, T.; Chen, C.; Zhou, J.H.; Yeo, B.T.T.; Alzheimer’s Disease Neuroimaging Initiative; Australian Imaging Biomarkers and Lifestyle Study of Aging. Goal-specific brain MRI harmonization. NeuroImage 2022, 263, 119570. [Google Scholar] [CrossRef]
- Pomponio, R.; Erus, G.; Habes, M.; Doshi, J.; Srinivasan, D.; Mamourian, E.; Bashyam, V.; Nasrallah, I.M.; Satterthwaite, T.D.; Fan, Y.; et al. Harmonization of large MRI datasets for the analysis of brain imaging patterns throughout the lifespan. NeuroImage 2020, 208, 116450. [Google Scholar] [CrossRef]
- Farahani, A.; Voghoei, S.; Rasheed, K.; Arabnia, H.R. A brief review of domain adaptation. In Advances in Data Science and Information Engineering: Proceedings from ICDATA 2020 and IKE 2020; Springer: Berlin/Heidelberg, Germany, 2021; pp. 877–894. [Google Scholar]
- Weber, M.; Auch, M.; Doblander, C.; Mandl, P.; Jacobsen, H.A. Transfer learning with time series data: A systematic mapping study. IEEE Access 2021, 9, 165409–165432. [Google Scholar] [CrossRef]
- Skiadopoulos, A.; Stergiou, N. Power spectrum and filtering. In Biomechanics and Gait Analysis; Elsevier: Amsterdam, The Netherlands, 2020; pp. 99–148. [Google Scholar]
- Horst, F.; Lapuschkin, S.; Samek, W.; Müller, K.R.; Schöllhorn, W.I. Explaining the unique nature of individual gait patterns with deep learning. Sci. Rep. 2019, 9, 2391. [Google Scholar] [CrossRef]
- Semwal, V.B.; Jain, R.; Maheshwari, P.; Khatwani, S. Gait reference trajectory generation at different walking speeds using LSTM and CNN. Multimed. Tools Appl. 2023, 82, 33401–33419. [Google Scholar] [CrossRef]








| Feature | Dublin Children (n = 96) | Madrid Children (n = 31) |
| Sex (Female/Male) | 48 F (50%)/48 M (50%) | 12 F (39%)/19 M (61%) |
| Age (years, median [min, max]) | 9.00 [4.00, 16.00] | 9.00 [5.00, 16.00] |
| Weight (kg, median [min, max]) | 31.3 [14.6, 94.7] | 28.6 [18.5, 75.3] |
| Height (cm, median [min, max]) | 1.37 [1.05, 1.83] | 1.38 [1.00, 1.82] |
| Norm. Walking Speed (s−1, median [min, max]) | 1.74 [1.16, 2.44] | 1.49 [1.15, 2.03] |
| Cadence (steps/s, median [min, max]) | 2.18 [1.70, 2.95] | 1.92 [1.56, 2.73] |
| Stance Time (% of gait cycle, median [min, max]) | 61.2 [57.8, 66.7] | 63.3 [60.2, 66.8] |
Disclaimer/Publisher’s Note: The statements, opinions and data contained in all publications are solely those of the individual author(s) and contributor(s) and not of MDPI and/or the editor(s). MDPI and/or the editor(s) disclaim responsibility for any injury to people or property resulting from any ideas, methods, instructions or products referred to in the content. |
© 2024 by the authors. Licensee MDPI, Basel, Switzerland. This article is an open access article distributed under the terms and conditions of the Creative Commons Attribution (CC BY) license (https://creativecommons.org/licenses/by/4.0/).
Share and Cite
de Gorostegui, A.; Kiernan, D.; Martín-Gonzalo, J.-A.; López-López, J.; Pulido-Valdeolivas, I.; Rausell, E.; Zanin, M.; Gómez-Andrés, D. Deep Learning Unravels Differences Between Kinematic and Kinetic Gait Cycle Time Series from Two Control Samples of Healthy Children Assessed in Two Different Gait Laboratories. Sensors 2025, 25, 110. https://doi.org/10.3390/s25010110
de Gorostegui A, Kiernan D, Martín-Gonzalo J-A, López-López J, Pulido-Valdeolivas I, Rausell E, Zanin M, Gómez-Andrés D. Deep Learning Unravels Differences Between Kinematic and Kinetic Gait Cycle Time Series from Two Control Samples of Healthy Children Assessed in Two Different Gait Laboratories. Sensors. 2025; 25(1):110. https://doi.org/10.3390/s25010110
Chicago/Turabian Stylede Gorostegui, Alfonso, Damien Kiernan, Juan-Andrés Martín-Gonzalo, Javier López-López, Irene Pulido-Valdeolivas, Estrella Rausell, Massimiliano Zanin, and David Gómez-Andrés. 2025. "Deep Learning Unravels Differences Between Kinematic and Kinetic Gait Cycle Time Series from Two Control Samples of Healthy Children Assessed in Two Different Gait Laboratories" Sensors 25, no. 1: 110. https://doi.org/10.3390/s25010110
APA Stylede Gorostegui, A., Kiernan, D., Martín-Gonzalo, J.-A., López-López, J., Pulido-Valdeolivas, I., Rausell, E., Zanin, M., & Gómez-Andrés, D. (2025). Deep Learning Unravels Differences Between Kinematic and Kinetic Gait Cycle Time Series from Two Control Samples of Healthy Children Assessed in Two Different Gait Laboratories. Sensors, 25(1), 110. https://doi.org/10.3390/s25010110

